Chemical Structure and Biological Activities of Secondary Metabolites from Salicornia europaea L.
Abstract
1. Introduction
2. Oleanane Triterpenoid Saponins
3. Caffeoylquinic Acid Derivatives
4. Flavonoids and Flavanones
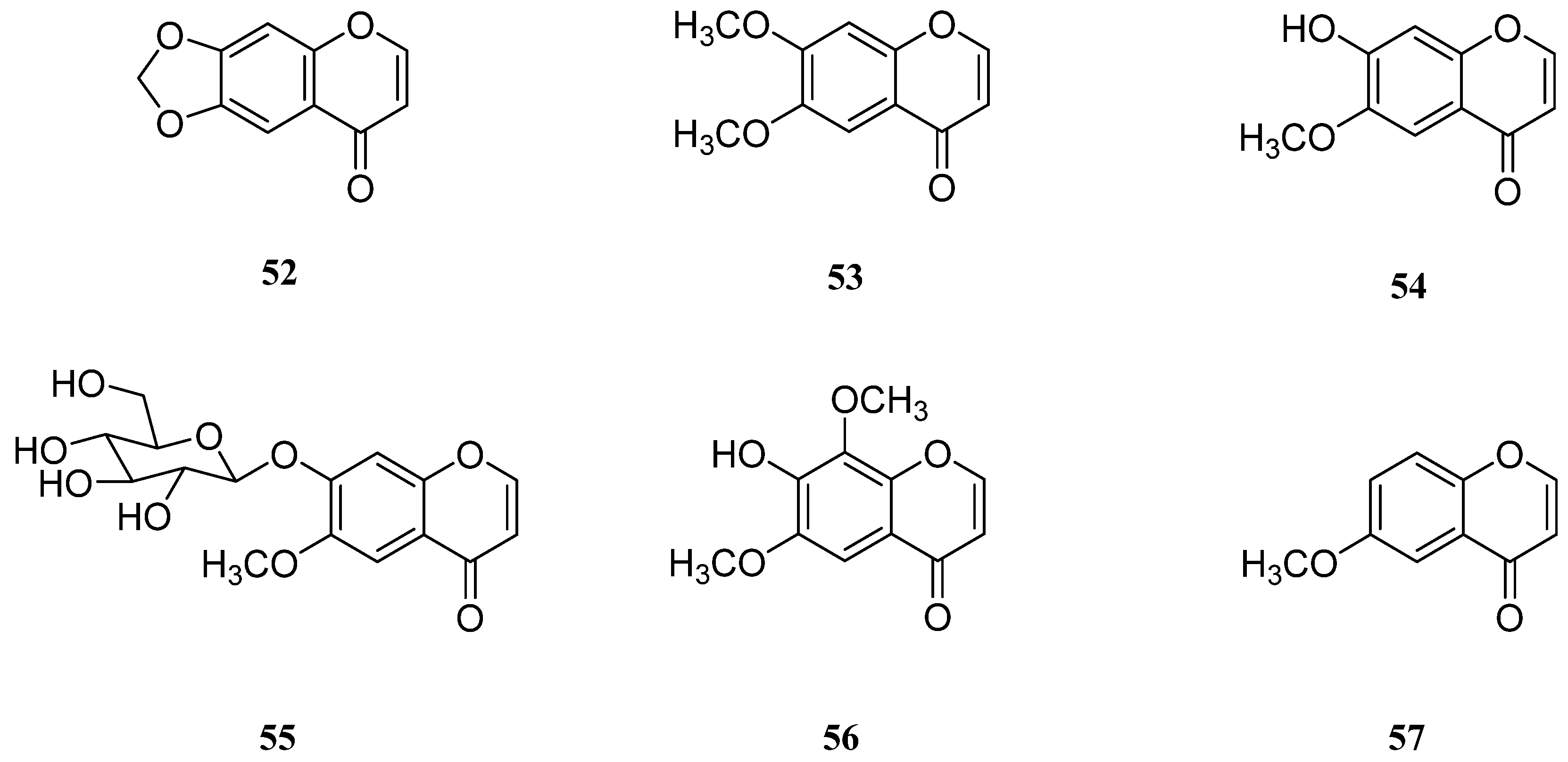
5. Chromones
6. Sterols
7. Lignans
8. Aliphatic Compounds
9. Others
10. Conclusions
Author Contributions
Funding
Institutional Review Board Statement
Informed Consent Statement
Conflicts of Interest
References
- Singh, D.; Buhmann, A.K.; Flowers, T.J.; Seal, C.E.; Papenbrock, J. Salicornia as a crop plant in temperate regions: Selection of genetically characterized ecotypes and optimization of their cultivation conditions. AoB Plants 2014, 6, 6. [Google Scholar] [CrossRef]
- Yamamoto, K.; Oguri, S.; Chiba, S.; Momonoki, Y.S. Molecular cloning of acetylcholinesterase gene from Salicornia europaea L. Plant Signal. Behav. 2009, 4, 361–366. [Google Scholar] [CrossRef]
- Kim, C.S.; Song, T.G. Ecological Studies on the Halophyte Communities at Western and Southern Coasts in Korea (IV). Korean J. Ecol. 1983, 6, 167–176. [Google Scholar]
- Rhee, M.H.; Park, H.J.; Cho, J.Y. Salicornia herbacea: Botanical, chemical and pharmacological review of halophyte marsh plant. J. Med. Plants Res. 2009, 3, 548–555. [Google Scholar]
- Kim, Y.A.; Kong, C.S.; Lee, J.I.; Kim, H.; Park, H.Y.; Lee, H.S.; Lee, C.; Seo, Y. Evaluation of novel antioxidant triterpenoid saponins from the halophyte Salicornia herbacea. Bioorganic Med. Chem. Lett. 2012, 22, 4318–4322. [Google Scholar] [CrossRef]
- Kim, J.Y.; Cho, J.Y.; Ma, Y.K.; Park, K.Y.; Lee, S.H.; Ham, K.S.; Lee, H.J.; Park, K.H.; Moon, J.H. Dicaffeoylquinic acid derivatives and flavonoid glucosides from glasswort (Salicornia herbacea L.) and their antioxidative activity. Food Chem. 2011, 125, 55–62. [Google Scholar] [CrossRef]
- Patel, S. Salicornia: Evaluating the halophytic extremophile as a food and a pharmaceutical candidate. 3 Biotech 2016, 6, 104. [Google Scholar] [CrossRef]
- Im, S.-A.; Kim, G.-W.; Lee, C.-K. Immunomodulatory Activity of Salicornia herbacea L. Components. Nat. Prod. Sci. 2003, 9, 273–277. [Google Scholar]
- Lee, J.M.; Yim, M.J.; Choi, G.; Lee, M.S.; Park, Y.G.; Lee, D.S. Antioxidant and anti-inflammatory activity of six halophytes in Korea. Nat. Prod. Sci. 2018, 24, 40–46. [Google Scholar] [CrossRef]
- Park, S.H.; Ko, S.K.; Choi, J.G.; Chung, S.H. Salicornia herbacea prevents high fat diet-induced hyperglycemia and hyperlipidemia in ICR mice. Arch. Pharm. Res. 2006, 29, 256–264. [Google Scholar] [CrossRef]
- Lee, K.Y.; Lee, M.H.; Chang, I.Y.; Yoon, S.P.; Lim, D.Y.; Jeon, Y.J. Macrophage activation by polysaccharide fraction isolated from Salicornia herbacea. J. Ethnopharmacol. 2006, 103, 372–378. [Google Scholar] [CrossRef]
- Favel, A.; Steininetz, M.D.; Regli, P.; Vidal-Ollivier, E.; Flias, R.; Balansard, G. In Vitro Antifungal Activity of Triterpenoid Saponins. Planta Med. 1994, 60, 50–53. [Google Scholar] [CrossRef]
- Simões, C.M.O.; Amoros, M.; Girre, L. Mechanism of antiviral activity of triterpenoid saponins. Phyther. Res. 1999, 13, 323–328. [Google Scholar] [CrossRef]
- Xi, M.; Hai, C.; Tang, H.; Wen, A.; Chen, H.; Liu, R.; Liang, X.; Chen, M. Antioxidant and antiglycation properties of triterpenoid saponins from Aralia taibaiensis traditionally used for treating diabetes mellitus. Redox Rep. 2010, 15, 20–28. [Google Scholar] [CrossRef]
- Jia, L.Y.; Wu, X.J.; Gao, Y.; Rankin, G.O.; Pigliacampi, A.; Bucur, H.; Li, B.; Tu, Y.Y.; Chen, Y.C. Inhibitory effects of total triterpenoid saponins isolated from the seeds of the tea plant (camellia sinensis) on human ovarian cancer cells. Molecules 2017, 22, 1649. [Google Scholar] [CrossRef]
- Shan, Y.; Huan, L.; Fuqin, G.; Chen, Y.; Min, Y.; Wang, M.; Feng, X.; Wang, Q. Triterpenoids from the herbs of salicornia bigelovii. Molecules 2015, 20, 20334–20340. [Google Scholar] [CrossRef]
- Braut-Boucher, F.; Achard-Ellouk, S.; Pauthe-Dayde, D.; Henry, M.; Hoellinger, H. Cytoprotective effects of Gypsophila saponins towards isolated rat hepatocytes. Food Addit. Contam. 1990, 7, S127–S130. [Google Scholar] [CrossRef]
- Li, F.; Li, W.; Fu, H.; Zhang, Q.; Koike, K. Pancreatic lipase-inhibiting triterpenoid saponins from fruits of Acanthopanax senticosus. Chem. Pharm. Bull. 2007, 55, 1087–1089. [Google Scholar] [CrossRef] [PubMed]
- Yin, M.; Wang, X.; Wang, M.; Chen, Y.; Dong, Y.; Zhao, Y.; Feng, X. A new triterpenoid saponin and other saponins from Salicornia europaea. Chem. Nat. Compd. 2012, 48, 258–261. [Google Scholar] [CrossRef]
- Chiozem, D.D.; Trinh-Van-Dufat, H.; Wansi, J.D.; Mbazoa Djama, C.; Fannang, V.S.; Seguin, E.; Tillequin, F.; Wandji, J. New friedelane triterpenoids with antimicrobial activity from the stems of Drypetes paxii. Chem. Pharm. Bull. 2009, 57, 1119–1122. [Google Scholar] [CrossRef]
- Kang, O.-H.; Kang, S.-H.; Kim, S.-B.; Mun, S.-H.; Seo, Y.-S.; Joung, D.-K.; Kim, M.-R.; Shin, D.-W.; Kweon, K.-T.; Kwon, D.-Y. Anti-inflammatory effect of oleanoic acid 28-O-β-D-glycopyranosyl ester isolated from Aralia cordata in activated HMC-1 cells. Afr. J. Pharm. Pharmacol. 2012, 6, 3206–3214. [Google Scholar] [CrossRef][Green Version]
- Guo, T.; Wu, S.; Guo, S.; Bai, L.; Liu, Q.; Bai, N. Synthesis and Evaluation of a Series of Oleanolic Acid Saponins as α-Glucosidase and α-Amylase Inhibitors. Arch. Pharm. 2015, 348, 615–628. [Google Scholar] [CrossRef]
- Wang, J.; Lu, J.; Lv, C.; Xu, T.; Jia, L. Three new triterpenoid saponins from root of Gardenia jasminoides Ellis. Fitoterapia 2012, 83, 1396–1401. [Google Scholar] [CrossRef] [PubMed]
- Lee, K.M.; Yun, J.H.; Lee, D.H.; Park, Y.G.; Son, K.H.; Nho, C.W.; Kim, Y.S. Chikusetsusaponin IVa methyl ester induces cell cycle arrest by the inhibition of nuclear translocation of β-catenin in HCT116 cells. Biochem. Biophys. Res. Commun. 2015, 459, 591–596. [Google Scholar] [CrossRef]
- Chen, X.; Wu, Q.S.; Meng, F.C.; Tang, Z.H.; Chen, X.; Lin, L.G.; Chen, P.; Qiang, W.A.; Wang, Y.T.; Zhang, Q.W.; et al. Chikusetsusaponin IVa methyl ester induces G1 cell cycle arrest, triggers apoptosis and inhibits migration and invasion in ovarian cancer cells. Phytomedicine 2016, 23, 1555–1565. [Google Scholar] [CrossRef]
- Lee, H.J.; Shin, J.S.; Lee, W.S.; Shim, H.Y.; Park, J.M.; Jang, D.S.; Lee, K.T. Chikusetsusaponin iva methyl ester isolated from the roots of achyranthes japonica suppresses LPS-Induced iNOS, TNF-α, IL-6, and IL-1β Expression by NF-eκB and AP-1 Inactivation. Biol. Pharm. Bull. 2016, 39, 657–664. [Google Scholar] [CrossRef][Green Version]
- Das, N.; Chandran, P.; Chakraborty, S. Potent spermicidal effect of oleanolic acid 3-beta-d-glucuronide, an active principle isolated from the plant Sesbania sesban Merrill. Contraception 2011, 83, 167–175. [Google Scholar] [CrossRef] [PubMed]
- Guan, F.; Wang, Q.; Wang, M.; Shan, Y.; Chen, Y.; Yin, M.; Zhao, Y.; Feng, X.; Liu, F.; Zhang, J. Isolation, identification and cytotoxicity of a new noroleanane-type triterpene saponin from Salicornia bigelovii Torr. Molecules 2015, 20, 6419–6431. [Google Scholar] [CrossRef]
- Lee, B.; Lee, D.Y.; Yoo, K.H.; Baek, N.I.; Park, J.H.; Chung, I.S. Calenduloside E 6′-methyl ester induces apoptosis in CT-26 mouse colon carcinoma cells and inhibits tumor growth in a CT-26 xenograft animal model. Oncol. Lett. 2012, 4, 22–28. [Google Scholar] [CrossRef]
- Wang, Q.Z.; Liu, X.F.; Shan, Y.; Guan, F.Q.; Chen, Y.; Wang, X.Y.; Wang, M.; Feng, X. Two new nortriterpenoid saponins from Salicornia bigelovii Torr. and their cytotoxic activity. Fitoterapia 2012, 83, 742–749. [Google Scholar] [CrossRef] [PubMed]
- Yang, B.; Zhu, J.P.; Rong, L.; Jin, J.; Cao, D.; Li, H.; Zhou, X.H.; Zhao, Z.X. Triterpenoids with antiplatelet aggregation activity from Ilex rotunda. Phytochemistry 2018, 145, 179–186. [Google Scholar] [CrossRef]
- Zhao, Y.; Wang, X.; Wang, H.; Liu, T.; Xin, Z. Two new noroleanane-type triterpene saponins from the methanol extract of Salicornia herbacea. Food Chem. 2014, 151, 101–109. [Google Scholar] [CrossRef] [PubMed]
- Ayeleso, T.B.; Matumba, M.G.; Mukwevho, E. Oleanolic acid and its derivatives: Biological activities and therapeutic potential in chronic diseases. Molecules 2017, 22, 1915. [Google Scholar] [CrossRef] [PubMed]
- Khwaza, V.; Oyedeji, O.O.; Aderibigbe, B.A. Antiviral activities of oleanolic acid and its analogues. Molecules 2018, 23, 2300. [Google Scholar] [CrossRef] [PubMed]
- Emirdaǧ-Öztürk, S.; Karayildirim, T.; Çapci-Karagöz, A.; Alankuş-Çalişkan, Ö.; Özmen, A.; Poyrazoǧlu-Çoban, E. Synthesis, antimicrobial and cytotoxic activities, and structure-activity relationships of gypsogenin derivatives against human cancer cells. Eur. J. Med. Chem. 2014, 82, 565–573. [Google Scholar] [CrossRef] [PubMed]
- Lyu, H.; Ma, X.; Guan, F.; Chen, Y.; Wang, Q.; Feng, X. 30-Noroleanane triterpenoid saponins from Salicornia europaea Linn. and their chemotaxonomic significance. Biochem. Syst. Ecol. 2018, 78, 106–109. [Google Scholar] [CrossRef]
- Wei, Y.; Ma, C.M.; Chen, D.Y.; Hattori, M. Anti-HIV-1 protease triterpenoids from Stauntonia obovatifoliola Hayata subsp. intermedia. Phytochemistry 2008, 69, 1875–1879. [Google Scholar] [CrossRef] [PubMed]
- Wang, J.; Xu, Q.L.; Zheng, M.F.; Ren, H.; Lei, T.; Wu, P.; Zhou, Z.Y.; Wei, X.Y.; Tan, J.W. Bioactive 30-noroleanane triterpenes from the pericarps of akebia trifoliata. Molecules 2014, 19, 4301–4312. [Google Scholar] [CrossRef]
- Chowdhury, M.A.; Ko, H.J.; Lee, H.; Aminul Haque, M.; Park, I.S.; Lee, D.S.; Woo, E.R. Oleanane triterpenoids from Akebiae Caulis exhibit inhibitory effects on Aβ42 induced fibrillogenesis. Arch. Pharm. Res. 2017, 40, 318–327. [Google Scholar] [CrossRef]
- Ouyang, J.K.; Dong, L.M.; Xu, Q.L.; Wang, J.; Liu, S.B.; Qian, T.; Yuan, Y.F.; Tan, J.W. Triterpenoids with α-glucosidase inhibitory activity and cytotoxic activity from the leaves of Akebia trifoliata. RSC Adv. 2018, 8, 40483–40489. [Google Scholar] [CrossRef]
- Espada, A.; Rodriguez, J.; Villaverde, M.C.; Riguera, R. Hypoglucaemic triterpenoid saponins from Boussingaultia baselloides. Can. J. Chem. 1990, 68, 2039–2044. [Google Scholar] [CrossRef]
- Fang, J.B.; Yao, Z.; Chen, J.C.; Liu, Y.W.; Takaishi, Y.; Duan, H.Q. Cytotoxic triterpene saponins from alternanthera philoxeroides. J. Asian Nat. Prod. Res. 2009, 11, 261–266. [Google Scholar] [CrossRef]
- Thiyagarajan, G.; Muthukumaran, P.; Sarath Kumar, B.; Muthusamy, V.S.; Lakshmi, B.S. Selective Inhibition of PTP1B by Vitalboside A from Syzygium cumini Enhances Insulin Sensitivity and Attenuates Lipid Accumulation Via Partial Agonism to PPARγ: In Vitro and In Silico Investigation. Chem. Biol. Drug Des. 2016, 88, 302–312. [Google Scholar] [CrossRef] [PubMed]
- Rattanathongkom, A.; Lee, J.B.; Hayashi, K.; Sripanidkulchai, B.O.; Kanchanapoom, T.; Hayashi, T. Evaluation of chikusetsusaponin IVa isolated from Alternanthera philoxeroides for its potency against viral replication. Planta Med. 2009, 75, 829–835. [Google Scholar] [CrossRef] [PubMed]
- Dahmer, T.; Berger, M.; Barlette, A.G.; Reck, J.; Segalin, J.; Verza, S.; Ortega, G.G.; Gnoatto, S.C.B.; Guimarães, J.A.; Verli, H.; et al. Antithrombotic effect of chikusetsusaponin IVa isolated from Ilex paraguariensis (Maté). J. Med. Food 2012, 15, 1073–1080. [Google Scholar] [CrossRef]
- Cui, J.; Xi, M.M.; Li, Y.W.; Duan, J.L.; Wang, L.; Weng, Y.; Jia, N.; Cao, S.S.; Li, R.L.; Wang, C.; et al. Insulinotropic effect of Chikusetsu saponin IVa in diabetic rats and pancreatic β-cells. J. Ethnopharmacol. 2015, 164, 334–339. [Google Scholar] [CrossRef] [PubMed]
- Wang, H.; Qi, J.; Li, L.; Wu, T.; Wang, Y.; Wang, X.; Ning, Q. Inhibitory effects of Chikusetsusaponin IVa on lipopolysaccharide-induced proinflammatory responses in THP-1 cells. Int. J. Immunopathol. Pharmacol. 2015, 28, 308–317. [Google Scholar] [CrossRef]
- Yin, J.; Seo, C.S.; Hwang, I.H.; Lee, M.W.; Song, K.H. Anti-obesity activities of chikusetsusaponin IVa and Dolichos lablab L. Seeds. Nutrients 2018, 10, 1221. [Google Scholar] [CrossRef]
- Miyamae, Y.; Kurisu, M.; Han, J.; Isoda, H.; Shigemori, H. Structure-activity relationship of caffeoylquinic acids on the accelerating activity on ATP production. Chem. Pharm. Bull. 2011, 59, 502–507. [Google Scholar] [CrossRef]
- Chung, Y.C.; Chun, H.K.; Yang, J.Y.; Kim, J.Y.; Han, E.H.; Kho, Y.H.; Jeong, H.G. Tungtungmadic acid, a novel antioxidant, from Salicornia herbacea. Arch. Pharm. Res. 2005, 28, 1122–1126. [Google Scholar] [CrossRef]
- Hwang, Y.P.; Yun, H.J.; Chun, H.K.; Chung, Y.C.; Kim, H.K.; Jeong, M.H.; Yoon, T.R.; Jeong, H.G. Protective mechanisms of 3-caffeoyl, 4-dihydrocaffeoyl quinic acid from Salicornia herbacea against tert-butyl hydroperoxide-induced oxidative damage. Chem. Biol. Interact. 2009, 181, 366–376. [Google Scholar] [CrossRef]
- Han, E.H.; Kim, J.Y.; Kim, H.G.; Chun, H.K.; Chung, Y.C.; Jeong, H.G. Inhibitory effect of 3-caffeoyl-4-dicaffeoylquinic acid from Salicornia herbacea against phorbol ester-induced cyclooxygenase-2 expression in macrophages. Chem. Biol. Interact. 2010, 183, 397–404. [Google Scholar] [CrossRef]
- Hwang, Y.P.; Yun, H.J.; Choi, J.H.; Chun, H.K.; Chung, Y.C.; Kim, S.K.; Kim, B.H.; Kwon, K.I.; Jeong, T.C.; Lee, K.Y.; et al. 3-Caffeoyl, 4-dihydrocaffeoylquinic acid from Salicornia herbacea inhibits tumor cell invasion by regulating protein kinase C-δ-dependent matrix metalloproteinase-9 expression. Toxicol. Lett. 2010, 198, 200–209. [Google Scholar] [CrossRef]
- Hwang, Y.P.; Kim, H.G.; Choi, J.H.; Do, M.T.; Tran, T.P.; Chun, H.K.; Chung, Y.C.; Jeong, T.C.; Gwang, J.H. 3-Caffeoyl, 4-dihydrocaffeoylquinic acid from Salicornia herbacea attenuates high glucose-induced hepatic lipogenesis in human HepG2 cells through activation of the liver kinase B1 and silent information regulator T1/AMPK-dependent pathway. Mol. Nutr. Food Res. 2013, 57, 471–482. [Google Scholar] [CrossRef]
- Ooi, L.S.M.; Wang, H.; He, Z.; Ooi, V.E.C. Antiviral activities of purified compounds from Youngia japonica (L.) DC (Asteraceae, Compositae). J. Ethnopharmacol. 2006, 106, 187–191. [Google Scholar] [CrossRef]
- Zhang, M.; Liu, W.X.; Zheng, M.F.; Xu, Q.L.; Wan, F.H.; Wang, J.; Lei, T.; Zhou, Z.Y.; Tan, J.W. Bioactive quinic acid derivatives from ageratina adenophora. Molecules 2013, 18, 14096–14104. [Google Scholar] [CrossRef]
- Gray, N.E.; Morre, J.; Kelley, J.; Maier, C.S.; Stevens, J.F.; Quinn, J.; Soumaynath, A. Caffeoylquinic Acids in Centella asiatica Protect Against β-amyloid toxicity. J. Alzheimer’s Dis. 2014, 40, 359–373. [Google Scholar] [CrossRef]
- Kim, J.Y.; Lee, H.K.; Hwang, B.Y.; Kim, S.H.; Yoo, J.K.; Seong, Y.H. Neuroprotection of ilex latifolia and caffeoylquinic acid derivatives against excitotoxic and hypoxic damage of cultured rat cortical neurons. Arch. Pharm. Res. 2012, 35, 1115–1122. [Google Scholar] [CrossRef]
- Nurul Islam, M.; Jung, H.A.; Sohn, H.S.; Kim, H.M.; Choi, J.S. Potent α-glucosidase and protein tyrosine phosphatase 1B inhibitors from Artemisia capillaris. Arch. Pharm. Res. 2013, 36, 542–552. [Google Scholar] [CrossRef]
- Chen, J.; Mangelinckx, S.; Ma, L.; Wang, Z.; Li, W.; De Kimpe, N. Caffeoylquinic acid derivatives isolated from the aerial parts of Gynura divaricata and their yeast α-glucosidase and PTP1B inhibitory activity. Fitoterapia 2014, 99, 1–6. [Google Scholar] [CrossRef] [PubMed]
- Lee, Y.K.; Hong, E.Y.; Whang, W.K. Inhibitory Effect of Chemical Constituents Isolated from Artemisia iwayomogi on Polyol Pathway and Simultaneous Quantification of Major Bioactive Compounds. Biomed Res. Int. 2017, 2017, 1–12. [Google Scholar] [CrossRef] [PubMed]
- Yoon, M.H.; Cho, C.W.; Lee, J.W.; Kim, Y.S.; An, G.H.; Lim, C.H. Antithrombotic compounds from the Leaves of Ligularia stenocephala M. Nat. Prod. Sci. 2008, 14, 62–67. [Google Scholar]
- Park, K.H.; Park, M.; Choi, S.E.; Jeong, M.S.; Kwon, J.H.; Oh, M.H.; Choi, H.K.; Seo, S.J.; Lee, M.W. The anti-oxidative and anti-inflammatory effects of caffeoyl derivatives from the roots of Aconitum koreanum R. Raymond. Biol. Pharm. Bull. 2009, 32, 2029–2033. [Google Scholar] [CrossRef]
- Hao, B.J.; Wu, Y.H.; Wang, J.G.; Hu, S.Q.; Keil, D.J.; Hu, H.J.; Lou, J.D.; Zhao, Y. Hepatoprotective and antiviral properties of isochlorogenic acid A from Laggera alata against hepatitis B virus infection. J. Ethnopharmacol. 2012, 144, 190–194. [Google Scholar] [CrossRef]
- Zhao, Y.; Geng, C.A.; Ma, Y.B.; Huang, X.Y.; Chen, H.; Cao, T.W.; He, K.; Wang, H.; Zhang, X.M.; Chen, J.J. UFLC/MS-IT-TOF guided isolation of anti-HBV active chlorogenic acid analogues from Artemisia capillaris as a traditional Chinese herb for the treatment of hepatitis. J. Ethnopharmacol. 2014, 156, 147–154. [Google Scholar] [CrossRef]
- Heyman, H.M.; Senejoux, F.; Seibert, I.; Klimkait, T.; Maharaj, V.J.; Meyer, J.J.M. Identification of anti-HIV active dicaffeoylquinic- and tricaffeoylquinic acids in Helichrysum populifolium by NMR-based metabolomic guided fractionation. Fitoterapia 2015, 103, 155–164. [Google Scholar] [CrossRef]
- Fan, L.; Wang, Y.; Liang, N.; Huang, X.J.; Fan, C.L.; Wu, Z.L.; He, Z.D.; Li, Y.L.; Ye, W.C. Quinic acid derivatives and coumarin glycoside from the roots and stems of Erycibe obtusifolia. Phytochem. Lett. 2015, 14, 185–189. [Google Scholar] [CrossRef]
- Teoh, W.Y.; Wahab, N.A.; Sim, K.S. Caffeoylquinic acids induce cell death and cell cycle arrest on HCT 116 cells via formation of extracellular H2O2and quinones. Chiang Mai J. Sci. 2018, 45, 318–330. [Google Scholar]
- Lee, S.Y.; Moon, E.; Kim, S.Y.; Lee, K.R. Quinic acid derivatives from Pimpinella brachycarpa exert anti-neuroinflammatory activity in lipopolysaccharide-induced microglia. Bioorganic Med. Chem. Lett. 2013, 23, 2140–2144. [Google Scholar] [CrossRef]
- Kim, J.Y.; Lee, H.K.; Seong, Y.H. Anti-nociceptive and anti-inflammatory properties of ilex latifolia and its active component, 3,5-di-caffeoyl quinic acid methyl ester. Nat. Prod. Sci. 2019, 25, 64–67. [Google Scholar] [CrossRef]
- Hu, W.; Shen, T.; Wang, M.H. Cell cycle arrest and apoptosis induced by methyl 3,5-dicaffeoyl quinate in human colon cancer cells: Involvement of the PI3K/Akt and MAP kinase pathways. Chem. Biol. Interact. 2011, 194, 48–57. [Google Scholar] [CrossRef]
- Hu, T.; He, X.W.; Jiang, J.G. Functional analyses on antioxidant, anti-inflammatory, and antiproliferative effects of extracts and compounds from Ilex latifolia Thunb., a Chinese bitter tea. J. Agric. Food Chem. 2014, 62, 8608–8615. [Google Scholar] [CrossRef]
- Shen, T.; Heo, S.I.; Wang, M.H. Involvement of the p38 MAPK and ERK signaling pathway in the anti-melanogenic effect of methyl 3,5-dicaffeoyl quinate in B16F10 mouse melanoma cells. Chem. Biol. Interact. 2012, 199, 106–111. [Google Scholar] [CrossRef]
- Liu, H.; Zhang, X.; Wu, C.; Wu, H.; Guo, P.; Xu, X. Anti-hyperlipidemic caffeoylquinic acids from the fruits of pandanustectorius soland. J. Appl. Pharm. Sci. 2013, 3, 16–19. [Google Scholar]
- Tuan, N.Q.; Lee, W.; Oh, J.; Kwak, S.; Lee, H.G.; Ferreira, D.; Bae, J.S.; Na, M.K. Quinic acid derivatives from Salicornia herbacea alleviate HMGB1-mediated endothelial dysfunction. J. Funct. Foods 2015, 15, 326–338. [Google Scholar] [CrossRef]
- Li, X.; Li, K.; Xie, H.; Xie, Y.; Li, Y.; Zhao, X.; Jiang, X.; Chen, D. Antioxidant and cytoprotective effects of the Di-O-Caffeoylquinic acid family: The mechanism, structure–activity relationship, and conformational effect. Molecules 2018, 23, 222. [Google Scholar] [CrossRef] [PubMed]
- Cho, J.Y.; Kim, J.Y.; Lee, Y.G.; Lee, H.J.; Shim, H.J.; Lee, J.H.; Kim, S.J.; Ham, K.S.; Moon, J.H. Four new dicaffeoylquinic acid derivatives from glasswort (Salicornia herbacea L.) and their antioxidative activity. Molecules 2016, 21, 1097. [Google Scholar] [CrossRef] [PubMed]
- Kashiwada, Y.; Ahmed, F.A.; Kurimoto, S.I.; Kim, S.Y.; Shibata, H.; Fujioka, T.; Takaishi, Y. New α-glucosides of caffeoyl quinic acid from the leaves of Moringa oleifera Lam. J. Nat. Med. 2012, 66, 217–221. [Google Scholar] [CrossRef] [PubMed]
- Kim, M.; Choi, S.Y.; Lee, P.; Hur, J. Neochlorogenic Acid Inhibits Lipopolysaccharide-Induced Activation and Pro-inflammatory Responses in BV2 Microglial Cells. Neurochem. Res. 2015, 40, 1792–1798. [Google Scholar] [CrossRef]
- Arakawa, Y.; Asada, Y.; Ishida, H. Instructions for use Structures of New Two Isoflavones and One Flavanone from Glasswort (Salicornia europaea L.). J. Fac. Agr. Hokkaido Univ. 1982, 61, 1–12. [Google Scholar]
- Geslin, M.; Verbist, J.F. Flavonoides de salicornia europaea. J. Nat. Prod. 1985, 48, 111–113. [Google Scholar] [CrossRef]
- Shimoda, H.; Nakamura, S.; Morioka, M.; Tanaka, J.; Matsuda, H.; Yoshikawa, M. Effect of cinnamoyl and flavonol glucosides derived from cherry blossom flowers on the production of advanced glycation end products (AGEs) and AGE-induced fibroblast apoptosis. Phyther. Res. 2011, 25, 1328–1335. [Google Scholar] [CrossRef] [PubMed]
- Azuma, K.; Nakayama, M.; Koshioka, M.; Ippoushi, K.; Yamaguchi, Y.; Kohata, K.; Yamauchi, Y.; Ito, H.; Higashio, H. Phenolic antioxidants from the leaves of Corchorus olitorius L. J. Agric. Food Chem. 1999, 47, 3963–3966. [Google Scholar] [CrossRef] [PubMed]
- Jaramillo, K.; Dawid, C.; Hofmann, T.; Fujimoto, Y.; Osorio, C. Identification of antioxidative flavonols and anthocyanins in Sicana odorifera fruit peel. J. Agric. Food Chem. 2011, 59, 975–983. [Google Scholar] [CrossRef]
- Anand David, A.V.; Arulmoli, R.; Parasuraman, S. Overviews of biological importance of quercetin: A bioactive flavonoid. Pharmacogn. Rev. 2016, 10, 84–89. [Google Scholar] [PubMed]
- Valentová, K.; Vrba, J.; Bancířová, M.; Ulrichová, J.; Křen, V. Isoquercitrin: Pharmacology, toxicology, and metabolism. Food Chem. Toxicol. 2014, 68, 267–282. [Google Scholar] [CrossRef] [PubMed]
- Ganeshpurkar, A.; Saluja, A.K. The Pharmacological Potential of Rutin. Saudi Pharm. J. 2017, 25, 149–164. [Google Scholar] [CrossRef]
- Lee, Y.S.; Lee, S.; Lee, H.S.; Kim, B.K.; Ohuchi, K.; Shin, K.H. Inhibitory effects of isorhamnetin-3-O-β-D-glucoside from salicornia herbacea on rat lens aldose reductase and sorbitol accumulation in streptozotocin-induced diabetic rat tissues. Biol. Pharm. Bull. 2005, 28, 916–918. [Google Scholar] [CrossRef]
- Kong, C.S.; Kim, Y.A.; Kim, M.M.; Park, J.S.; Kim, J.A.; Kim, S.K.; Lee, B.J.; Nam, T.J.; Seo, Y. Flavonoid glycosides isolated from Salicornia herbacea inhibit matrix metalloproteinase in HT1080 cells. Toxicol. Vitr. 2008, 22, 1742–1748. [Google Scholar] [CrossRef]
- Kong, C.S.; Kim, J.A.; Qian, Z.J.; Kim, Y.A.; Lee, J.I.; Kim, S.K.; Nam, T.J.; Seo, Y. Protective effect of isorhamnetin 3-O{cyrillic}-β-d-glucopyranoside from Salicornia herbacea against oxidation-induced cell damage. Food Chem. Toxicol. 2009, 47, 1914–1920. [Google Scholar] [CrossRef]
- Kong, C.S.; Lee, J.I.; Kim, Y.A.; Kim, J.A.; Bak, S.S.; Hong, J.W.; Park, H.Y.; Yea, S.S.; Seo, Y. Evaluation on anti-adipogenic activity of flavonoid glucopyranosides from Salicornia herbacea. Process Biochem. 2012, 47, 1073–1078. [Google Scholar] [CrossRef]
- Kim, K.-S.; Park, S.-H. Isolation and Identification of Antioxidant Flavonoids from Salicornia herbacea L. Appl. Biol. Chem. 2004, 47, 120–123. [Google Scholar]
- Rice-Evans, C.A.; Miller, N.J.; Paganga, G. Structure-Antioxidant Activity Relationships of Flavonoids and Phenolic Acids. Free Radic. Biol. Med. 1996, 20, 933–956. [Google Scholar] [CrossRef]
- Burda, S.; Oleszek, W. Antioxidant and antiradical activities of flavonoids. J. Agric. Food Chem. 2001, 49, 2774–2779. [Google Scholar] [CrossRef]
- Tuan, N.Q.; Lee, W.; Oh, J.; Kulkarni, R.R.; Gény, C.; Jung, B.; Kang, H.; Bae, J.S.; Na, M.K. Flavanones and Chromones from Salicornia herbacea Mitigate Septic Lethality via Restoration of Vascular Barrier Integrity. J. Agric. Food Chem. 2015, 63, 10121–10130. [Google Scholar] [CrossRef]
- Mosihuzzman, M.; Naheed, S.; Hareem, S.; Talib, S.; Abbas, G.; Khan, S.N.; Choudhary, M.I.; Sener, B.; Tareen, R.B.; Israr, M. Studies on α-glucosidase inhibition and anti-glycation potential of Iris loczyi and Iris unguicularis. Life Sci. 2013, 92, 187–192. [Google Scholar] [CrossRef]
- Luo, Y.; Shang, P.; Li, D. Luteolin: A Flavonoid that has multiple cardio-protective effects and its molecular mechanisms. Front. Pharmacol. 2017, 8, 1–10. [Google Scholar] [CrossRef]
- Calderón-Montaño, J.M.; Burgos-Morón, E.; Pérez-Guerrero, C.; López-Lázaro, M. A Review on the Dietary Flavonoid Kaempferol | BenthamScience. Mini Rev. Med. Chem. 2011, 11, 298–344. [Google Scholar] [CrossRef]
- Riaz, A.; Rasul, A.; Hussain, G.; Zahoor, M.K.; Jabeen, F.; Subhani, Z.; Younis, T.; Ali, M.; Sarfraz, I.; Selamoglu, Z. Astragalin: A Bioactive Phytochemical with Potential Therapeutic Activities. Adv. Pharmacol. Sci. 2018, 2018, 1–15. [Google Scholar] [CrossRef]
- Kim, J.; Karthivashan, G.; Kweon, M.H.; Kim, D.H.; Choi, D.K. The Ameliorative Effects of the Ethyl Acetate Extract of Salicornia europaea L. and Its Bioactive Candidate, Irilin B, on LPS-Induced Microglial Inflammation and MPTP-Intoxicated PD-Like Mouse Model. Oxid. Med. Cell. Longev. 2019, 2019, 1–16. [Google Scholar] [CrossRef]
- Bergeron, C.; Marston, A.; Hakizamungu, E.; Hostettmann, K. Antifungal constituents of chenopodium procerum. Pharm. Biol. 1995, 33, 115–119. [Google Scholar] [CrossRef]
- Moein, M.R.; Khan, S.I.; Ali, Z.; Ayatollahi, S.A.M.; Kobarfard, F.; Nasim, S.; Choudhary, M.I.; Khan, I.A. Flavonoids from Iris songarica and their antioxidant and estrogenic activity. Planta Med. 2008, 74, 1492–1495. [Google Scholar] [CrossRef] [PubMed]
- Gaspar, A.; Matos, M.J.; Garrido, J.; Uriarte, E.; Borges, F. Chromone: A valid scaffold in medicinal chemistry. Chem. Rev. 2014, 114, 4960–4992. [Google Scholar] [CrossRef] [PubMed]
- Reis, J.; Gaspar, A.; Milhazes, N.; Borges, F. Chromone as a Privileged Scaffold in Drug Discovery: Recent Advances. J. Med. Chem. 2017, 60, 7941–7957. [Google Scholar] [CrossRef] [PubMed]
- Chiji, H.; Izawa, M.; Aiba, T. Isolation and Identification of Two 2,3-Unsubstituted Chromones from Glasswort (Salicornia europaea L.). Agric. Biol. Chem. 1978, 42, 159–165. [Google Scholar] [CrossRef]
- Arakawa, Y.; Chiji, H.; Izawa, M. Structural Elucidation of Two New Chromones Isolated from Glasswort (Salicornia europaea L.). Agric. Biol. Chem. 1983, 47, 2029–2033. [Google Scholar]
- Hartmann, M.A. Plant sterols and the membrane environment. Trends Plant Sci. 1998, 3, 170–175. [Google Scholar] [CrossRef]
- Lee, Y.S.; Hye, S.L.; Kuk, H.S.; Kim, B.K.; Lee, S. Constituents of the halophyte Salicornia herbacea. Arch. Pharm. Res. 2004, 27, 1034–1036. [Google Scholar] [CrossRef]
- Saeidnia, S. The Story of Beta-sitosterol- A Review. Eur. J. Med. Plants 2014, 4, 590–609. [Google Scholar] [CrossRef]
- Kaur, N.; Chaudhary, J.; Jain, A.; Kishore, L. Stigmasterol: A comprehensive Review. Int. J. Pharm. Sci. Res. 2011, 2, 2259–2265. [Google Scholar]
- Wang, X.; Zhang, M.; Zhao, Y.; Wang, H.; Liu, T.; Xin, Z. Pentadecyl ferulate, a potent antioxidant and antiproliferative agent from the halophyte Salicornia herbacea. Food Chem. 2013, 141, 2066–2074. [Google Scholar] [CrossRef]
- Kim, J.A.; Tay, D.; de Blanco, E.C. NF-κB Inhibitory Activity of Compounds isolated from Cantharellus cibarius. Phyther. Res. 2008, 22, 1104–1106. [Google Scholar] [CrossRef]
- Kawagishi, H.; Katsumi, R.; Sazawa, T.; Mizuno, T.; Hagiwara, T.; Nakamura, T. Cytotoxic Steroids from the Mushroom Agaricus Blazei. Phytochemistry 1988, 27, 2777–2779. [Google Scholar] [CrossRef]
- Appiah, T.; Agyare, C.; Luo, Y.; Boamah, V.E.; Boakye, Y.D. Antimicrobial and Resistance Modifying Activities of Cerevisterol Isolated from Trametes Species. Curr. Bioact. Compd. 2018, 16, 115–123. [Google Scholar] [CrossRef]
- Lee, J.H.; Lee, J.Y.; Park, J.H.; Jung, H.S.; Kim, J.S.; Kang, S.S.; Kim, Y.S.; Han, Y. Immunoregulatory activity by daucosterol, a β-sitosterol glycoside, induces protective Th1 immune response against disseminated Candidiasis in mice. Vaccine 2007, 25, 3834–3840. [Google Scholar] [CrossRef] [PubMed]
- Choi, J.N.; Choi, Y.H.; Lee, J.M.; Noh, I.C.; Park, J.W.; Choi, W.S.; Choi, J.H. Anti-inflammatory effects of β-sitosterol-β-D-glucoside from Trachelospermum jasminoides (Apocynaceae) in lipopolysaccharide-stimulated RAW 264.7 murine macrophages. Nat. Prod. Res. 2012, 26, 2340–2343. [Google Scholar] [CrossRef] [PubMed]
- Zhao, C.; She, T.; Wang, L.; Su, Y.; Qu, L.; Gao, Y.; Xu, S.; Cai, S.; Shou, C. Daucosterol inhibits cancer cell proliferation by inducing autophagy through reactive oxygen species-dependent manner. Life Sci. 2015, 137, 37–43. [Google Scholar] [CrossRef]
- Jiang, L.H.; Yang, N.Y.; Yuan, X.L.; Zou, Y.J.; Zhao, F.M.; Chen, J.P.; Wang, M.Y.; Lu, D.X. Daucosterol promotes the proliferation of neural stem cells. J. Steroid Biochem. Mol. Biol. 2014, 140, 90–99. [Google Scholar] [CrossRef]
- Saleem, M.; Hyoung, J.K.; Ali, M.S.; Yong, S.L. An update on bioactive plant lignans. Nat. Prod. Rep. 2005, 22, 696–716. [Google Scholar] [CrossRef]
- Wang, X.; Feng, X.; Wang, M.; Chen, Y.; Dong, Y.; Zhao, Y.; Sun, H. Studies on the chemical constituents of Salicornia europaea. Zhong Yao Cai 2011, 34, 67–69. [Google Scholar]
- Jung, M.J.; Kang, S.S.; Jung, H.A.; Kim, G.J.; Choi, J.S. Isolation of flavonoids and a cerebroside from the stem bark of Albizzia julibrissin. Arch. Pharm. Res. 2004, 27, 593–599. [Google Scholar] [CrossRef] [PubMed]
- Luecha, P.; Umehara, K.; Miyase, T.; Noguchi, H. Antiestrogenic constituents of the Thai medicinal plants Capparis flavicans and Vitex glabrata. J. Nat. Prod. 2009, 72, 1954–1959. [Google Scholar] [CrossRef] [PubMed]
- Wei, Q.; Qiu, Z.; Xu, F.; Li, Q.; Yin, H. Chemical Components from Leaves of Fatisai Japonica and Their Antitumor Activities in Vitro. Zhong Yao Cai 2015, 38, 745–750. [Google Scholar] [PubMed]
- Wang, S.; Wu, C.; Li, X.; Zhou, Y.; Zhang, Q.; Ma, F.; Wei, J.; Zhang, X.; Guo, P. Syringaresinol-4-O-β-D-glucoside alters lipid and glucose metabolism in HepG2 cells and C2C12 myotubes. Acta Pharm. Sin. B 2017, 7, 453–460. [Google Scholar] [CrossRef]
- Yang, Y.P.; Cheng, M.J.; Teng, C.M.; Chang, Y.L.; Tsai, I.L.; Chen, I.S. Chemical and anti-platelet constituents from Formosan Zanthoxylum simulans. Phytochemistry 2002, 61, 567–572. [Google Scholar] [CrossRef]
- Wang, L.Y.; Unehara, N.; Kitanaka, S. Lignans from the Roots of Wikstroemia indica and their DPPH radical scavenging and nitric oxide inhibitory activities. Chem. Pharm. Bull. 2005, 53, 1348–1351. [Google Scholar] [CrossRef][Green Version]
- Jeong, Y.H.; Chung, S.Y.; Han, A.R.; Sung, M.K.; Jang, D.S.; Lee, J.; Kwon, Y.; Lee, H.J.; Seo, E.K. P-glycoprotein inhibitory activity of two phenolic compounds, (-)-syringaresinol and tricin from Sasa borealis. Chem. Biodivers. 2007, 4, 12–16. [Google Scholar] [CrossRef]
- Oh, J.H.; Joo, Y.H.; Karadeniz, F.; Ko, J.; Kong, C.S. Syringaresinol inhibits UVA-induced MMP-1 expression by suppression of mapk/ap-1 signaling in hacat keratinocytes and human dermal fibroblasts. Int. J. Mol. Sci. 2020, 21, 3981. [Google Scholar] [CrossRef] [PubMed]
- Wang, W.; Li, N.; Wang, J.; Chen, G.; Huang, R.; Zhao, W.; Li, J.; Si, Y. Bioactive benzofuran-chalcanes as potential NQO1 inducers from Millettia pulchra (Benth) kurzvar-laxior (Dunn) Z.Wei. Phytochemistry 2016, 131, 107–114. [Google Scholar] [CrossRef]
- Karthivashan, G.; Kweon, M.H.; Park, S.Y.; Kim, J.S.; Kim, D.H.; Ganesan, P.; Choi, D.K. Cognitive-enhancing and ameliorative effects of acanthoside B in a scopolamine-induced amnesic mouse model through regulation of oxidative/inflammatory/cholinergic systems and activation of the TrkB/CREB/BDNF pathway. Food Chem. Toxicol. 2019, 129, 444–457. [Google Scholar] [CrossRef]
- Kapoor, R.; Huang, Y.-S. Gamma Linolenic Acid: An Antiinflammatory Omega-6 Fatty Acid. Curr. Pharm. Biotechnol. 2006, 7, 531–534. [Google Scholar] [CrossRef] [PubMed]
- Taylor, J.C.; Rapport, L.; Lockwood, G.B. Octacosanol in human health. Nutrition 2003, 19, 192–195. [Google Scholar] [CrossRef]
- Wang, T.; Liu, Y.Y.; Wang, X.; Yang, N.; Zhu, H.B.; Zuo, P.P. Protective effects of octacosanol on 6-hydroxydopamine-induced Parkinsonism in rats via regulation of ProNGF and NGF signaling. Acta Pharmacol. Sin. 2010, 31, 765–774. [Google Scholar] [CrossRef] [PubMed]
- Kaushik, M.K.; Aritake, K.; Takeuchi, A.; Yanagisawa, M.; Urade, Y. Octacosanol restores stress-affected sleep in mice by alleviating stress. Sci. Rep. 2017, 7, 1–8. [Google Scholar]
- Oh, J.H.; Kim, E.O.; Lee, S.K.; Woo, M.H.; Choi, S.W. Antioxidant activities of the ethanol extract of Hamcho (Salicornia herbacea L.) cake prepared by enzymatic treatment. Food Sci. Biotechnol. 2007, 16, 90–98. [Google Scholar]
- Kakkar, S.; Bais, S. A Review on Protocatechuic Acid and Its Pharmacological Potential. ISRN Pharmacol. 2014, 2014, 952943. [Google Scholar] [CrossRef]
- Ou, S.; Kwok, K.C. Ferulic acid: Pharmaceutical functions, preparation and applications in foods. J. Sci. Food Agric. 2004, 84, 1261–1269. [Google Scholar] [CrossRef]
- Monteiro Espíndola, K.M.; Ferreira, R.G.; Mosquera Narvaez, L.E.; Rocha Silva Rosario, A.C.; Machado Da Silva, A.H.; Bispo Silva, A.G.; Oliveira Vieira, A.P.; Chagas Monteiro, M. Chemical and pharmacological aspects of caffeic acid and its activity in hepatocarcinoma. Front. Oncol. 2019, 9, 3–5. [Google Scholar]
- Zhou, Y.; Jin, M.; Jin, C.; Ye, C.; Wang, J.; Wang, R.; Wei, C.; Zhou, W.; Li, G. Megastigmane derivatives from Corispermum mongolicum and their anti-inflammatory activities. Phytochem. Lett. 2019, 30, 186–189. [Google Scholar] [CrossRef]
- Islam, M.T.; Ali, E.S.; Uddin, S.J.; Shaw, S.; Islam, M.A.; Ahmed, M.I.; Chandra Shill, M.; Karmakar, U.K.; Yarla, N.S.; Khan, I.N.; et al. Phytol: A review of biomedical activities. Food Chem. Toxicol. 2018, 121, 82–94. [Google Scholar] [CrossRef]
- Sastry, V.M.V.S.; Rao, G.R.K. Dioctyl phthalate, and antibacterial compound from the marine brown alga—Sargassum wightii. J. Appl. Phycol. 1995, 7, 185–186. [Google Scholar] [CrossRef]
- Nguyen, D.T.M.; Nguyen, D.H.; La Lyun, H.; Lee, H.B.; Shin, J.H.; Kim, E.K. Inhibition of melanogenesis by dioctyl phthalate isolated from Nigella glandulifera Freyn. J. Microbiol. Biotechnol. 2007, 17, 1585–1590. [Google Scholar]
- Aboul-Enein, A.M.; Shanab, S.M.M.; Shalaby, E.A.; Zahran, M.M.; Lightfoot, D.A.; El-Shemy, H.A. Cytotoxic and antioxidant properties of active principals isolated from water hyacinth against four cancer cells lines. BMC Complement. Altern. Med. 2014, 14, 397. [Google Scholar] [CrossRef] [PubMed]
- Roy, R.N.; Laskar, S.; Sen, S.K. Dibutyl phthalate, the bioactive compound produced by Streptomyces albidoflavus 321.2. Microbiol. Res. 2006, 161, 121–126. [Google Scholar] [CrossRef]
- Khatiwora, E.; Adsul, V.B.; Kulkarni, M.; Deshpande, N.R.; Kashalkar, R.V. Antibacterial activity of Dibutyl Phthalate: A secondary metabolite isolated from Ipomoea carnea stem. J. Pharm. Res. 2012, 5, 150–152. [Google Scholar]
- Mini Shobi, T.; Gowdu Viswanathan, M.B. Antibacterial activity of di-butyl phthalate isolated from Begonia malabarica. J. Appl. Biotechnol. Bioeng. 2018, 5, 97–100. [Google Scholar] [CrossRef]
- Lee, D.S. Dibutyl phthalate, an α-glucosidase inhibitor from Streptomyces melanosporofaciens. J. Biosci. Bioeng. 2000, 89, 271–273. [Google Scholar] [CrossRef]
- Hoang, V.L.T.; Li, Y.; Kim, S.K. Cathepsin B inhibitory activities of phthalates isolated from a marine Pseudomonas strain. Bioorg. Med. Chem. Lett. 2008, 18, 2083–2088. [Google Scholar] [CrossRef] [PubMed]
- Fitzgerald, D.J.; Stratford, M.; Gasson, M.J.; Ueckert, J.; Bos, A.; Narbad, A. Mode of antimicrobial of vanillin against Escherichia coli, Lactobacillus plantarum and Listeria innocua. J. Appl. Microbiol. 2004, 97, 104–113. [Google Scholar] [CrossRef]
- Cava-Roda, R.M.; Taboada-Rodríguez, A.; Valverde-Franco, M.T.; Marín-Iniesta, F. Antimicrobial Activity of Vanillin and Mixtures with Cinnamon and Clove Essential Oils in Controlling Listeria monocytogenes and Escherichia coli O157:H7 in Milk. Food Bioprocess Technol. 2012, 5, 2120–2131. [Google Scholar] [CrossRef]
- Tai, A.; Sawano, T.; Yazama, F.; Ito, H. Evaluation of antioxidant activity of vanillin by using multiple antioxidant assays. Biochim. Biophys. Acta Gen. Subj. 2011, 1810, 170–177. [Google Scholar] [CrossRef]
- Shoeb, A.; Chowta, M.N.; Pallempati, G.; Rai, A.; Singh, A. Evaluation of antidepressant activity of vanillin in mice. Indian J. Pharmacol. 2013, 45, 141–144. [Google Scholar] [PubMed]
- Kang, S.Y.; Sung, S.H.; Park, J.H.; Kim, Y.C. Hepatoprotective activity of scopoletin, a constituent of Solanum lyratum. Arch. Pharm. Res. 1998, 21, 718–722. [Google Scholar] [CrossRef]
- Liu, X.-L.; Zhang, L.; Fu, X.-L.; Chen, K.; Qian, B.-C. Effect of scopoletic on PC3 cell proliferation and apoptosis. Acta Pharmacol. Sin. 2001, 22, 929–933. [Google Scholar] [PubMed]
- Shaw, C.Y.; Chen, C.H.; Hsu, C.C.; Chen, C.C.; Tsai, Y.C. Antioxidant properties of scopoletin isolated from Sinomonium acutum. Phyther. Res. 2003, 17, 823–825. [Google Scholar] [CrossRef] [PubMed]
- Rollinger, J.M.; Hornick, A.; Langer, T.; Stuppner, H.; Prast, H. Acetylcholinesterase inhibitory activity of scopolin and scopoletin discovered by virtual screening of natural products. J. Med. Chem. 2004, 47, 6248–6254. [Google Scholar] [CrossRef] [PubMed]
- Ding, Z.; Dai, Y.; Wang, Z. Hypouricemic action of scopoletin arising from xanthine oxidase inhibition and uricosuric activity. Planta Med. 2005, 71, 183–185. [Google Scholar] [CrossRef]
- Carpinella, M.C.; Ferrayoli, C.G.; Palacios, S.M. Antifungal synergistic effect of scopoletin, a hydroxycoumarin isolated from Melia azedarach L. fruits. J. Agric. Food Chem. 2005, 53, 2922–2927. [Google Scholar] [CrossRef]
- Manuele, M.G.; Ferraro, G.; Barreiro Arcos, M.L.; López, P.; Cremaschi, G.; Anesini, C. Comparative immunomodulatory effect of scopoletin on tumoral and normal lymphocytes. Life Sci. 2006, 79, 2043–2048. [Google Scholar] [CrossRef]
- Panda, S.; Kar, A. Evaluation of the Antithyroid, Antioxidative and Antihyperglycemic Activity of Scopoletin from Aegle marmelos leaves in Hyperthyroid Rats. Phyther. Res. 2006, 20, 1103–1105. [Google Scholar] [CrossRef]
- Darmawan, A.; Kosela, S.; Kardono, L.B.S.; Syah, Y.M. Scopoletin, a coumarin derivative compound isolated from Macaranga gigantifolia Merr. J. Appl. Pharm. Sci. 2012, 2, 175–177. [Google Scholar]
- Verma, A.; Dewangan, P.; Kesharwani, D.; Kela, S.P. Hypoglycemic and hypolipidemic activity of scopoletin (coumarin derivative) in streptozotocin induced diabetic rats. Int. J. Pharm. Sci. Rev. Res. 2013, 22, 79–83. [Google Scholar]
- Nam, H.; Kim, M.M. Scopoletin has a potential activity for anti-aging via autophagy in human lung fibroblasts. Phytomedicine 2015, 22, 362–368. [Google Scholar] [CrossRef]
- Nakamura, Y.; Murakami, A.; Koshimizu, K.; Ohigashi, H. Identification of Pheophorbide a and Its Related Compounds as Possible Anti-tumor Promoters in the Leaves of Neptunia oleracea. Biosci. Biotechnol. Biochem. 1996, 60, 1028–1030. [Google Scholar] [CrossRef]
- Cheng, H.H.; Wang, H.K.; Ito, J.; Bastow, K.F.; Tachibana, Y.; Nakanishi, Y.; Xu, Z.; Luo, T.Y.; Lee, K.H. Cytotoxic pheophorbide-related compounds from Clerodendrum calamitosum and C. cyrtophyllum. J. Nat. Prod. 2001, 64, 915–919. [Google Scholar] [CrossRef]
- Chan, J.Y.W.; Tang, P.M.K.; Hon, P.M.; Au, S.W.N.; Tsui, S.K.W.; Waye, M.M.Y.; Kong, S.K.; Mak, T.C.W.; Fung, K.P. Pheophorbide a, a major antitumor component purified from Scutellaria barbata, induces apoptosis in human hepatocellular carcinoma cells. Planta Med. 2006, 72, 28–33. [Google Scholar] [CrossRef]
- Tang, P.M.K.; Chan, J.Y.W.; Au, S.W.N.; Kong, S.K.; Tsui, S.K.W.; Waye, M.M.Y.; Mak, T.C.W.; Fong, W.P.; Fung, K.P. Pheophorbide a, an active compound isolated from Scutellaria barbata, possesses photodynamic activities by inducing apoptosis in human hepatocellular carcinoma. Cancer Biol. Ther. 2006, 5, 1111–1116. [Google Scholar] [CrossRef] [PubMed]
- Busch, T.M.; Cengel, K.A.; Finlay, J.C. Pheophorbide a as a photosensitizer in photodynamic therapy: In vivo considerations. Cancer Biol. Ther. 2009, 8, 540–542. [Google Scholar] [CrossRef] [PubMed]
- Bui-Xuan, N.H.; Tang, P.M.K.; Wong, C.K.; Fung, K.P. Photo-activated pheophorbide-a, an active component of Scutellaria barbata, enhances apoptosis via the suppression of ERK-mediated autophagy in the estrogen receptor-negative human breast adenocarcinoma cells MDA-MB-231. J. Ethnopharmacol. 2010, 131, 95–103. [Google Scholar] [CrossRef]
- Islam, M.N.; Ishita, I.J.; Jin, S.E.; Choi, R.J.; Lee, C.M.; Kim, Y.S.; Jung, H.A.; Choi, J.S. Anti-inflammatory activity of edible brown alga Saccharina japonica and its constituents pheophorbide a and pheophytin a in LPS-stimulated RAW 264.7 macrophage cells. Food Chem. Toxicol. 2013, 55, 541–548. [Google Scholar] [CrossRef]
- Jansen, O.; Tchinda, A.T.; Loua, J.; Esters, V.; Cieckiewicz, E.; Ledoux, A.; Toukam, P.D.; Angenot, L.; Tits, M.; Balde, A.M.; et al. Antiplasmodial activity of Mezoneuron benthamianum leaves and identification of its active constituents. J. Ethnopharmacol. 2017, 203, 20–26. [Google Scholar] [CrossRef] [PubMed]
- Choi, D.; Lim, G.S.; Piao, Y.L.; Choi, O.Y.; Cho, K.A.; Park, C.B.; Chang, Y.C.; Song, Y., II; Lee, M.K.; Cho, H. Characterization, stability, and antioxidant activity of Salicornia herbaciea seed oil. Korean J. Chem. Eng. 2014, 31, 2221–2228. [Google Scholar] [CrossRef]








| No. | Biological Activities 1 | ||||||||||||||
|---|---|---|---|---|---|---|---|---|---|---|---|---|---|---|---|
| Antioxidant | Antidiabetic | Cytotoxic | Antibacterial/ Antifungal | Anti-Inflammatory | Others | ||||||||||
| DPPH IC50 (μM) | Authentic ONOO¯ IC50 (μM) | SIN-1 IC50 (μM) | α-Glucosidase inhibitory IC50 (μM) | A2780 IC50 (μM) | HEY IC50 (μM) | HeLa IC50 (μM) | MCF-7 IC50 (μM) | A549 IC50 (μM) | A354-S2 IC50 (μM) | HepG2 IC50 (μM) | Antibacterial | Antifungal | |||
| 1 | >>5 × 102 | 4.9 | 6.6 | O | |||||||||||
| 2 | 3.9 × 102 | <<1 | <<1 | ||||||||||||
| 3 | >>5 × 102 | 21.9 | 20.4 | Pancreatic lipase inhibitory, hepatoprotective | |||||||||||
| 4 | >>5 × 102 | 7.1 | 1.4 | ||||||||||||
| 5 | |||||||||||||||
| 6 | 251.7 | 47.4 | 28.2 | O | O | α-Amylase inhibitory | |||||||||
| 7 | 7.4 | 7.9 | 17.7 | 44.1 | 47.2 | 33.2 | O | O | |||||||
| 8 | 5.4 | 56.0 | 97.5 | 29.9 | Spermicidal | ||||||||||
| 9 | 20.7 | 13.3 | 9.6 | 25.1 | Anticlotting | ||||||||||
| 10 | O | O | O | O | O | Hepatoprotective, antihypertensive, antiparasitic, antiviral | |||||||||
| 11 | 22.5 | 9.0 | O | ||||||||||||
| 12 | 52.4 | ||||||||||||||
| 13 | 79.4 | ||||||||||||||
| 14 | |||||||||||||||
| 15 | 9 | 27.8 | 48.8 | 51.9 | O | Anti-HIV-1 protease, fibrillogenesis inhibitory | |||||||||
| 16 | O | ||||||||||||||
| 17 | |||||||||||||||
| 18 | O | O | |||||||||||||
| 19 | O | PTP1B inhibitory | |||||||||||||
| 20 | O | O | Antiviral, antithrombotic, insulinotropic, anti-obesity | ||||||||||||
| 21 | |||||||||||||||
| No. | Biological Activities 1 | ||||||
|---|---|---|---|---|---|---|---|
| Antioxidant | Antidiabetic | Cytotoxic | Antibacterial | Anti-Inflammatory | Anti-HMGB1 | Others | |
| DPPH Scavenging IC50 (μM) | |||||||
| 22 | 5.1 | O | O | Hepatoprotective, lipogenesis inhibitory | |||
| 23 | 6.1 | O | O | O | O | Neuroprotective, antithrombotic, hepatoprotective, antiviral, | |
| 24 | O | O | O | O | O | X | Neuroprotective, anti-melanogenic |
| 25 | 3.4 | O | O | O | Neuroprotective, antithrombotic, antihyperlipidemic, antiviral | ||
| 26 | O | ||||||
| 27 | O | O | |||||
| 28 | X | ||||||
| 29 | 9.2 | O | O | ||||
| 30 | O | ||||||
| 31 | O | Influenza A neuraminidase inhibitory, neuroprotective | |||||
| 32 | O | ||||||
| 33 | O | ||||||
| 34 | O | ||||||
| 35 | O | ||||||
| No. | Biological Activities 1 | |||||
|---|---|---|---|---|---|---|
| Antioxidant | Antidiabetic | Cytotoxic | Anti-Inflammatory | Anti-HMGB1 | Others | |
| AGE Production Inhibitory IC50 (μM) | ||||||
| 36 | ||||||
| 37 | ||||||
| 38 | ||||||
| 39 | O | 65.4 | ||||
| 40 | O | 105.9 | O | O | Cardiovascular protection | |
| 41 | O | 64.6 | O | O | Cardiovascular protection | |
| 42 | O | O | O | O | Cardiovascular protection | |
| 43 | O | O | O | anti-obesity | ||
| 44 | O | |||||
| 45 | O | |||||
| 46 | O | |||||
| 47 | O | Antiglycation | ||||
| 48 | O | O | O | Antiapoptotic, cardioprotective | ||
| 49 | O | 73.4 | O | O | Neuroprotective, cardioprotective | |
| 50 | O | 227.5 | O | O | Neuroprotective, cardioprotective | |
| 51 | O | O | Antifungal, estrogenic | |||
| No. | Biological Activity 1 |
|---|---|
| Anti-HMGB1 | |
| 52 | |
| 53 | O |
| 54 | |
| 55 | |
| 56 | O |
| 57 | O |
| No. | Biological Activities 1 | |||||
|---|---|---|---|---|---|---|
| Antioxidant | Antidiabetic | Cytotoxic | Anti-Inflammatory | Anticancer | Others | |
| AGE Production Inhibitory | ||||||
| 58 | O | O | O | O | Hypocholesterolemic, immunodulatory, neuroprotective | |
| 60 | O | O | O | Anti-osteoarthritic, anti-hypercholesterolemic, antitumor, hypolgycemic, antimuatiogenic | ||
| 61 | O | O | Immunoregulatory, proliferation of neural stem cell | |||
| 62 | Antimicrobial, antibiotic | |||||
| No. | Biological Activities 1 | ||
|---|---|---|---|
| Antioxidant | Anti-Inflammatory | Others | |
| DPPH Scavenging IC50 (μM) | |||
| 63 | 10.5 | O | Antiestrogenic, antitumor |
| 64 | O | ||
| 65 | O | ||
| 66 | 19.5 | O | Antiplatelet, nitric oxide inhibition, P-glycoprotein inhibition |
| 67 | O | NQO1-inducing | |
| 68 | O | O | Anticholinergic, anti-neuroinflammatory, anti-amnesic |
| No. | Biological Activities 1 | |||
|---|---|---|---|---|
| Antioxidant | Cytotoxic | Others | ||
| HepG2 EC50 (μM) | A549 EC50 (μM) | |||
| 69 | O | O | Antiproliferative | |
| 70 | O | O | Antiproliferative | |
| 71 | O | O | Antiproliferative | |
| 72 | O | 65.4 | 83.2 | Antiproliferative |
| 73 | ||||
| 74 | ||||
| 74 | Antiaggregatory, cytoprotective, antiparkinsonian | |||
| No. | Biological Activities 1 | |||||||
|---|---|---|---|---|---|---|---|---|
| Antioxidant | Antidiabetic | Cytotoxic | Anti-Inflammatory | Antibacterial | Others | |||
| DPPH Scavenging IC50 (μM) | Superoxide Radical Scavenging IC50 (μM) | AGE Production Inhibitory IC50 (μM) | HepG2 EC50 (μM) | A549 EC50 (μM) | ||||
| 76 | O | O | O | O | O | Anticancer, anti-ulcerantiaging, antifibrotic, antiviral | ||
| 77 | O | O | O | Anti-microbial, anticancer | ||||
| 78 | O | O | O | O | O | Antiviral, anti-atherosclerotic, immunostimulatory, cardioprotective, antiproliferative, hepatoprotective, anticancer, antihepatocarcinoma | ||
| 79 | ||||||||
| 80 | O | |||||||
| 81 | O | 78.5 | O | Antimicrobial, apoptosis- and autophagy-modulating, anxiolytic, anticonvulsant, immunomodulatory, antinociceptive | ||||
| 82 | 27.6 | 38.6 | 56.3 | 48.9 | ||||
| 83 | O | O | O | Melanogenesis-inhibitory | ||||
| 84 | Antimicrobial, α-glucosidase inhibition, cathepsin B inhibition | |||||||
| 85 | O | Antidepressant | ||||||
| 86 | O | O | Hepatoprotective, acetylcholinesterase, hypouricemic, antifungal, immunomoudlatory, antithyroid, anti-P-388 murine leukemia cell, hypoglycemic, hypolipidemic, antiaging | |||||
| 87 | 17.6 | 6.2 | ||||||
| 88 | O | Anti-plasmodial | ||||||
| 89 | O | |||||||
| Compound No. | Yield 2 (ppm) | Note 1 and Reference No. | Compound No. | YieldN 2 (ppm) | Note 1 and Reference No. | Compound No. | Yield 2 (ppm) | Note 1 and Reference No. |
|---|---|---|---|---|---|---|---|---|
| 1 | 123.9 | Dried [16] | 31 | 0.2 | Wet [77] | 61 | 0.2 | Wet [36] |
| 2 | N.A. | 32 | 0.3 | 62 | 0.12 | |||
| 3 | N.A. | 33 | 1.3 | 63 | 0.2 | Wet [120] | ||
| 4 | N.A. | 34 | 0.2 | 64 | 0.2 | |||
| 5 | 0.1 | Wet [19] | 35 | 0.4 | 65 | 0.3 | ||
| 6 | 0.2 | 36 | 1.6 | Wet [80] | 66 | N.A. | ||
| 7 | 0.1 | 37 | 0.9 | 67 | 0.2 | Wet [36] | ||
| 8 | 0.1 | 38 | 0.4 | 68 | 3.8 | Wet [130] | ||
| 9 | 0.1 | 39 | 700 | Dried [81] | 69 | 0.3 | Wet [111] | |
| 10 | 0.6 | Wet [32] | 40 | 93.3 | 70 | 0.5 | ||
| 11 | 0.5 | 41 | 466.7 | 71 | 0.6 | |||
| 12 | 0.3 | 42 | 33.3 | 72 | 0.2 | |||
| 13 | 0.4 | 43 | 41.7 | 73 | 0.1 | Wet [36] | ||
| 14 | 0.1 | Wet [36] | 44 | 0.5 | Wet [6] | 74 | 0.1 | |
| 15 | 0.1 | 45 | 0.9 | Dried [95] | 75 | 0.1 | ||
| 16 | 0.1 | 46 | 0.6 | 76 | 1.54 | Dried [135] | ||
| 17 | 0.1 | 47 | 0.7 | 77 | 8.54 | |||
| 18 | 0.1 | 48 | 0.1 | Wet [36] | 78 | 6.87 | ||
| 19 | 0.2 | 49 | 0.3 | 79 | 1.3 | Dried [108] | ||
| 20 | 0.1 | 50 | 0.1 | 80 | 0.9 | Wet [120] | ||
| 21 | 0.1 | 51 | N.A. | 81 | 0.2 | Wet [111] | ||
| 22 | 8 | Dried [50] | 52 | 0.3 | Wet [105] | 82 | 1.2 | |
| 23 | 6.2 | Wet [6] | 53 | 0.4 | 83 | 0.3 | ||
| 24 | 0.1 | 54 | 0.5 | 84 | 0.2 | |||
| 25 | 0.4 | 55 | 0.3 | 85 | 0.5 | |||
| 26 | 0.6 | 56 | 0.4 | Dried [95] | 86 | 0.2 | ||
| 27 | 16.3 | Dried [75] | 57 | 0.4 | 87 | 1.1 | Wet [32] | |
| 28 | 1.4 | 58 | 20.7 | Dried [108] | 88 | 0.6 | ||
| 29 | 12.8 | 59 | 9.7 | 89 | 0.9 | |||
| 30 | 1.7 | 60 | 0.3 | Wet [111] |
Publisher’s Note: MDPI stays neutral with regard to jurisdictional claims in published maps and institutional affiliations. |
© 2021 by the authors. Licensee MDPI, Basel, Switzerland. This article is an open access article distributed under the terms and conditions of the Creative Commons Attribution (CC BY) license (https://creativecommons.org/licenses/by/4.0/).
Share and Cite
Kim, S.; Lee, E.-Y.; Hillman, P.F.; Ko, J.; Yang, I.; Nam, S.-J. Chemical Structure and Biological Activities of Secondary Metabolites from Salicornia europaea L. Molecules 2021, 26, 2252. https://doi.org/10.3390/molecules26082252
Kim S, Lee E-Y, Hillman PF, Ko J, Yang I, Nam S-J. Chemical Structure and Biological Activities of Secondary Metabolites from Salicornia europaea L. Molecules. 2021; 26(8):2252. https://doi.org/10.3390/molecules26082252
Chicago/Turabian StyleKim, Sojeong, Eun-Young Lee, Prima F. Hillman, Jaeyoung Ko, Inho Yang, and Sang-Jip Nam. 2021. "Chemical Structure and Biological Activities of Secondary Metabolites from Salicornia europaea L." Molecules 26, no. 8: 2252. https://doi.org/10.3390/molecules26082252
APA StyleKim, S., Lee, E.-Y., Hillman, P. F., Ko, J., Yang, I., & Nam, S.-J. (2021). Chemical Structure and Biological Activities of Secondary Metabolites from Salicornia europaea L. Molecules, 26(8), 2252. https://doi.org/10.3390/molecules26082252

