Phytochemistry and Pharmacological Activity of Plants of Genus Curculigo: An Updated Review Since 2013
Abstract
1. Introduction
2. Phytochemistry
2.1. Polysaccharides and Monosaccharide
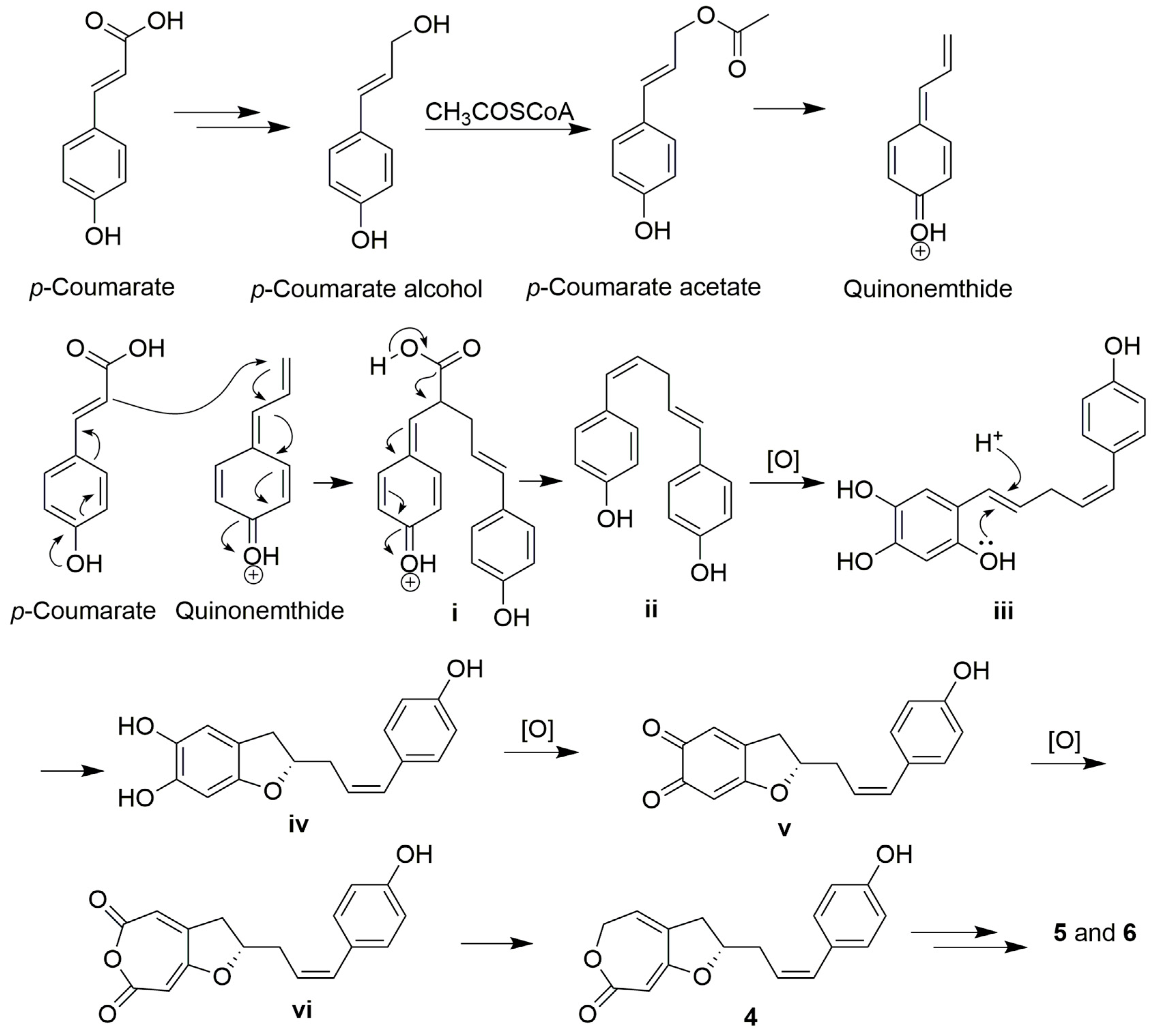
2.2. Norlignans
2.3. Chlorophenolic Glucosides
2.4. Phenolic Compounds
2.5. Terpenoids
2.6. Cyclic Peptides
3. Pharmacological Properties
3.1. Anti-Diabetic Activity
3.2. Anti-Osteoporosis
3.3. Antioxidant
3.4. Neuroprotective Effect
3.5. Antitumor
3.6. Antibacteria
3.7. Anti-Inflammation and Anti-Arthritis
3.8. Anti-Diarrhea and Anti-Nociception
3.9. Effect on Perimenopausal Syndrome
3.10. Male Reproductive Improvement
3.11. Cardio-Protection
3.12. Other Activities
4. Conclusions
Author Contributions
Funding
Institutional Review Board Statement
Informed Consent Statement
Data Availability Statement
Conflicts of Interest
References
- Li, L.Y.; Chen, D.X.; Qin, S.Y.; Li, Q.S.; Zhong, G.Y. Studies on genetic relationship of seven species of Curculigo plant from China using SRAP. China J. Chin. Mater. Med. 2008, 33, 117–120. [Google Scholar]
- World Checklist of Hypoxidaceae. Facilitated by the Royal Botanic Gardens, Kew. Available online: http://apps.kew.org/wcsp/ (accessed on 20 March 2016).
- Chinese Academy of Sciences; Editorial Board of Flora of China. Flora of China; Science Press: Beijing, China, 2000; Volume 24, pp. 264–273. [Google Scholar]
- Mehta, J.; Nama, K.S. A Review on Ethnomedicines of Curculigo orchioides Gaertn (Kali Musli): Black Gold. Int. J. Pharm. Biomedic. Res. 2014, 1, 12–16. [Google Scholar]
- Editorial Board of China Herbal. China Herbal (Chinese Herbal Medicine); Shanghai Science and Technology Press: Shanghai, China, 1999; Volume 22, pp. 215–219. [Google Scholar]
- Khare, C.P. Indian Medicinal Plants; Springer: Berlin/Heidelberg, Germany, 2007; p. 22. [Google Scholar]
- Editorial Board of China Herbal. China Herbal (Chinese Herbal Medicine); Shanghai Science and Technology Press: Shanghai, China, 2005; Volume 34, pp. 104–105. [Google Scholar]
- Chen, X.Q. The Genus Curculigo in China. Acta Phytotaxon. Sin. 1966, 11, 131–132. [Google Scholar]
- Karigidi, K.O.; Olaiya, C.O. In vitro Antidiabetic, Antioxidant and Antilipid peroxidative Activities of Corn Steep Liquor Extracts of Curculigo pilosa and its Solvent Fractions. J. Herbs Spices Med. Plants 2019, 25, 377–388. [Google Scholar] [CrossRef]
- Kusamba, C.; Messana, I.; Galeffi, C.; De Vicente, Y. Research on African medicinal plants -XXV- the (1, 2S) absolute configuration of nyasicoside. Its occurrence in Curculigo recurvata. Tetrahedron 1991, 47, 4369–4374. [Google Scholar]
- Nie, Y.; Dong, X.; He, Y.J.; Yuan, T.T.; Han, T.; Rahman, K.; Qin, L.P.; Zhang, Q.Y. Medicinal plants of genus Curculigo: Traditional uses and a phytochemical and ethnopharmacological review. J. Ethnopharmacol. 2013, 147, 547–563. [Google Scholar] [CrossRef] [PubMed]
- Chen, Q.S.; Chen, W.Q.; Yang, S.Y. Pharmacologic study of Curculigo orchioides Gaertn. China J. Chin. Mater. Med. 1989, 14, 618–620. [Google Scholar]
- Lakshmi, V.; Pandey, K.; Puri, A.; Saxena, R.; Saxena, K. Immunostimulant principles from Curculigo orchioides. J. Ethnopharmacol. 2003, 89, 181–184. [Google Scholar] [CrossRef]
- Wang, K.-J.; Li, N. Antioxidant phenolic compounds from rhizomes of Curculigo crassifolia. Arch. Pharm. Res. 2007, 30, 8–12. [Google Scholar] [CrossRef] [PubMed]
- Wang, K.-J.; Li, N. Norlignan derivatives from Curculigo crassifolia and their DPPH radical scavenging activity. Arch. Pharm. Res. 2008, 31, 1313–1316. [Google Scholar] [CrossRef]
- Zhu, F.B.; Wang, J.Y.; Zhang, Y.L.; Quan, R.F.; Yue, Z.S.; Zeng, L.R.; Zheng, W.J.; Hou, Q.; Yan, S.G.; Hu, Y.G. Curculigoside regulates proliferation, differentiation, and pro-inflammatory cytokines levels in dexamethasone -induced rat calvarial osteo-blasts. Int. J. Clin. Exp. Med. 2015, 8, 12337–12346. [Google Scholar] [PubMed]
- Chauhan, N.; Rao, C.V.; Dixit, V. Effect of Curculigo orchioides rhizomes on sexual behaviour of male rats. Fitoterapia 2007, 78, 530–534. [Google Scholar] [CrossRef]
- Zhao, Y.; Guo, Y.; Chen, Y.; Liu, S.; Wu, N.; Jia, D. Curculigoside attenuates myocardial ischemia-reperfusion injury by inhibiting the opening of the mitochondrial permeability transition pore. Int. J. Mol. Med. 2020, 45, 1514–1524. [Google Scholar] [CrossRef]
- Ge, J.-F.; Gao, W.-C.; Cheng, W.-M.; Lu, W.-L.; Tang, J.; Peng, L.; Li, N.; Chen, F.-H. Orcinol glucoside produces antidepressant effects by blocking the behavioural and neuronal deficits caused by chronic stress. Eur. Neuropsychopharmacol. 2014, 24, 172–180. [Google Scholar] [CrossRef]
- Miao, M.; Tian, S.; Bai, M.; Weiyun, X. Total glucosides of Curculigo rhizome to perimenopausal period mice model. Pak. J. Pharm. Sci. 2017, 30, 975–978. [Google Scholar]
- Zhang, Y.; Ge, J.-F.; Wang, F.-F.; Liu, F.; Shi, C.; Li, N. Crassifoside H improve the depressive-like behavior of rats under chronic unpredictable mild stress: Possible involved mechanisms. Brain Res. Bull. 2017, 135, 77–84. [Google Scholar] [CrossRef] [PubMed]
- Singla, K.; Singh, R. Nephroprotective effect of Curculigo orchiodies in streptozotocin–nicotinamide induced diabetic nephropathy in wistar rats. J. Ayurveda Integr. Med. 2020, 11, 399–404. [Google Scholar] [CrossRef] [PubMed]
- Liu, M.; Li, Y.; Yang, S.-T. Curculigoside Improves Osteogenesis of Human Amniotic Fluid-Derived Stem Cells. Stem Cells Dev. 2014, 23, 146–154. [Google Scholar] [CrossRef] [PubMed]
- Zhang, Q.L.; Zhao, L.; Shen, Y.; He, Y.Q.; Cheng, G.; Yin, M.; Zhang, Q.Y.; Qin, L.P. Curculigoside Protects against ex-cess-iron-induced bone loss by attenuating Akt-FoxO1- dependent oxidative damage to mice and osteoblastic MC3T3-E1 cells. Oxid. Med. Cell. Longev. 2019, 2019, 1–14. [Google Scholar] [CrossRef]
- Zhang, J.; Li, Y.D.; Liu, X.M.; Gao, L.; Zhang, Y.P.; Dang, L.Z. The study of terpeniods from Curculigo orchioides. J. Yunnan Univ. 2019, 41, 367–371. [Google Scholar]
- Tan, S.; Xu, J.; Lai, A.; Cui, R.; Bai, R.; Liang, W.; Zhang, G.; Jiang, S.; Liu, S.; Zheng, M.; et al. Curculigoside exerts sig-nificant anti-arthritic effects in vivo and in vitro via regulation of the JAK/STAT/NF-κB signaling pathway. Mol. Med. Rep. 2019, 19, 2057–2064. [Google Scholar]
- Xia, L.-F.; Liang, S.-H.; Tang, J.; Huang, Y.; Wen, H. Anti-tumor effect of polysaccharides from rhizome of Curculigo orchioides Gaertn on cervical cancer. Trop. J. Pharm. Res. 2016, 15, 1731. [Google Scholar] [CrossRef]
- Venkatesh, P.; Mukherjee, P.K.; Kumar, S.N.; Nema, N.K.; Bandyopadhyay, A.; Fukui, H.; Mizuguchi, H. Mast cell stabilization and antihistaminic potentials of Curculigo orchioides rhizomes. J. Ethnopharmacol. 2009, 126, 434–436. [Google Scholar] [CrossRef]
- Zabidi, N.A.; Ishak, N.A.; Hamid, M.; Ashari, S.E.; Latif, M.A.M. Inhibitory evaluation of Curculigo latifolia on α-glucosidase, DPP (IV) and in vitro studies in antidiabetic with molecular docking relevance to type 2 diabetes mellitus. J. Enzym. Inhib. Med. Chem. 2021, 36, 109–121. [Google Scholar] [CrossRef] [PubMed]
- Chen, Z.Q.; Liu, X.X.; Yi, X.H.; Zhou, J.; Yang, D. Research progress on chemical constituents of genus Curculigo. J. Guilin Norm. Coll. 2012, 26, 163–169. (In Chinese) [Google Scholar]
- Yang, H.; Pei, G.; Chen, S.B. Research progress on medicinal herbs of genus Curculigo. Cent. South Pharm. 2011, 9, 916–920. (In Chinese) [Google Scholar]
- Pradeep, G.; Atul, K. A review on phytochemical and pharmacological profile on Curculigo orchioides. Plant Cell Bio-Technol. Mol. Biol. 2020, 21, 243–252. [Google Scholar]
- Wang, X.; Zhang, M.; Zhang, D.; Wang, S.; Yan, C. An O-acetyl-glucomannan from the rhizomes of Curculigo orchioides: Structural characterization and anti-osteoporosis activity in vitro. Carbohydr. Polym. 2017, 174, 48–56. [Google Scholar] [CrossRef]
- Wang, X.; Zhang, M.; Zhang, D.; Wang, S.M.; Yan, C.Y. Structural elucidation and anti-osteoporosis activities of polysaccha-rides obtained from Curculigo orchioides. Carbohydr. Polym. 2019, 203, 292–301. [Google Scholar] [CrossRef]
- Niu, C.; Zhang, Z.Z.; Yang, L.P.; Zhai, Y.Y.; Wang, Z.H. Chemical Constituents of Curculigo orchioides. Chem. Nat. Compd. 2020, 56, 1–3. [Google Scholar] [CrossRef]
- Li, N.; Chen, J.-J.; Zhao, Y.-X.; Zhou, J. Three new norlignans from Curculigo capitulata. J. Asian Nat. Prod. Res. 2005, 7, 189–195. [Google Scholar] [CrossRef]
- Li, N.; Wang, K.-J.; Chen, J.-J.; Zhou, J. Two novel glucosyl-fused compounds from Curculigo crassifolia (Hypoxidaceae). Tetrahedron Lett. 2005, 46, 6445–6447. [Google Scholar] [CrossRef]
- Li, N.; Li, S.-P.; Wang, K.-J.; Yan, G.-Q.; Zhu, Y.-Y. Novel norlignan glucosides from rhizomes of Curculigo sinensis. Carbohydr. Res. 2012, 351, 64–67. [Google Scholar] [CrossRef]
- Li, S.; Yu, J.-H.; Fan, Y.-Y.; Liu, Q.-F.; Li, Z.-C.; Xie, Z.-X.; Li, Y.; Yue, J.-M. Structural Elucidation and Total Synthesis of Three 9-Norlignans from Curculigo capitulata. J. Org. Chem. 2019, 84, 5195–5202. [Google Scholar] [CrossRef]
- Paresh, M.V.; Chepuri, V.R. Total synthesis of sinenside A. Org. Lett. 2015, 17, 1717–1724. [Google Scholar]
- Xu, J.P.; Dong, Q.Y. Chemical study on Curculigo orchioides II, The isolation and structural determination of new compound curculigine A. Chin. Tradit. Herb. Drugs 1987, 18, 194–196. (In Chinese) [Google Scholar]
- Xu, J.P.; Xu, R.S. Phenyl glucosides Curculigo orchioides. Acta Pharm. Sin. 1992, 27, 353–357. [Google Scholar]
- Cao, D.P.; Han, T.; Zheng, Y.N.; Qin, L.P.; Zhang, Q.Y. Phenolic glycosides and lignans components in Curculigo orchioides Gaertn. Acad. J. Second Milit. Univ. 2009, 30, 194–197. [Google Scholar] [CrossRef]
- Wang, Z.-H.; Huang, J.; Ma, X.-C.; Li, G.-Y.; Ma, Y.-P.; Li, N.; Wang, J.-H. Phenolic glycosides from Curculigo orchioides Gaertn. Fitoterapia 2013, 86, 64–69. [Google Scholar] [CrossRef] [PubMed]
- Wang, Z.H.; Ma, X.C.; Li, G.Y.; Niu, C.; Ma, Y.P.; Kasimu, R.; Huang, J.; Wang, J.H. Four new phenolic glucosides from Curculigo orchioides Gaertn. Phytochem. Lett. 2014, 9, 153–157. [Google Scholar] [CrossRef]
- Wang, Z.H.; Gong, X.Y.; Zhou, D.J.; Xu, P.F.; Huang, M.; Zhang, Q.L.; Meng, Y.L.; Niu, C.; Zhang, Y.R. Three new chloro-phenolic glucosides from Curculigo orchioides Gaertn. Phytochem. Lett. 2018, 26, 9–11. [Google Scholar] [CrossRef]
- Deng, X.-L.; Zheng, R.-R.; Han, Z.-Z.; Gu, L.-H.; Wang, Z.-T. New chlorophenolic glycoside from Curculigo orchioides and their activities on 5α-reductase. J. Asian Nat. Prod. Res. 2020, 22, 1–8. [Google Scholar] [CrossRef]
- Chen, X.; Zuo, A.; Deng, Z.; Huang, X.; Zhang, X.; Geng, C.; Li, T.; Chen, J. New phenolic glycosides from Curculigo orchioides and their xanthine oxidase inhibitory activities. Fitoterapia 2017, 122, 144–149. [Google Scholar] [CrossRef] [PubMed]
- Jiao, W.; Chen, X.; Wang, H.; Lu, R.; Shao, H. A new hepatotoxic triterpenoid ketone from Curculigo orchioides. Fitoterapia 2013, 84, 1–5. [Google Scholar] [CrossRef]
- Karigidi, K.O.; Akintimehin, E.S.; Omoboyowa, D.A.; Adetuyi, F.O.; Olaiya, C.O. Effect of Curculigo pilosa supplemented diet on blood sugar, lipid metabolism, hepatic oxidative stress and carbohydrate metabolism enzymes in streptozotocin-induced diabetic rats. J. Diabetes Metab. Disord. 2020, 19, 1173–1184. [Google Scholar] [CrossRef]
- Karigidi, K.O.; Olaiya, C.O. Curculigo pilosa mitigates against oxidative stress and structural derangements in pancreas and kidney of streptozotocin-induced diabetic rats. J. Complement. Integr. Med. 2020, 20190217. [Google Scholar] [CrossRef]
- Karigidi, K.O.; Olaiya, C.O. Antidiabetic activity of corn steep liquor extract of Curculigo pilosa and its solvent fractions in streptozotocin-induced diabetic rats. J. Tradit. Complement. Med. 2020, 10, 555–564. [Google Scholar] [CrossRef] [PubMed]
- Ishak, N.A.; Ismail, M.; Hamid, M.; Ahmad, Z.; Ghafar, S.A.A. Antidiabetic and Hypolipidemic Activities of Curculigo latifolia Fruit:Root Extract in High Fat Fed Diet and Low Dose STZ Induced Diabetic Rats. Evid. Based Complement. Altern. Med. 2013, 2013, 601838. [Google Scholar] [CrossRef] [PubMed]
- Gulati, V.; Gulati, P.; Harding, I.H.; Palombo, E.A. Exploring the anti-diabetic potential of Australian Aboriginal and Indian Ayurvedic plant extracts using cell-based assays. BMC Complement. Altern. Med. 2015, 15, 8. [Google Scholar] [CrossRef]
- Rodan, G.A.; Martin, T.J. Therapeutic approaches to bone diseases. Science 2000, 289, 1508–1514. [Google Scholar] [CrossRef]
- Cao, D.; Zheng, Y.; Qin, L.; Han, T.; Zhang, H.; Rahman, K.; Zhang, Q. Curculigo orchioides, a traditional Chinese medicinal plant, prevents bone loss in ovariectomized rats. Maturitas 2008, 59, 373–380. [Google Scholar] [CrossRef]
- Han, J.; Wan, M.; Ma, Z.; Hu, C.; Yi, H. Prediction of Targets of Curculigoside A in Osteoporosis and Rheumatoid Arthritis Using Network Pharmacology and Experimental Verification. Drug Des. Dev. Ther. 2020, 14, 5235–5250. [Google Scholar] [CrossRef] [PubMed]
- Zhao, G.; Yuan, F.; Zhu, J. An LC-MS/MS method for determination of curculigoside with anti-osteoporotic activity in rat plasma and application to a pharmacokinetic study. Biomed. Chromatogr. 2013, 28, 341–347. [Google Scholar] [CrossRef]
- Wang, N.; Zhao, G.; Zhang, Y.; Wang, X.; Zhao, L.; Xu, P.; Shou, D. A Network Pharmacology Approach to Determine the Active Components and Potential Targets of Curculigo orchioides in the Treatment of Osteoporosis. Med. Sci. Monit. 2017, 23, 5113–5122. [Google Scholar] [CrossRef] [PubMed][Green Version]
- Shen, Q.P.; Zeng, D.L.; Zhou, Y.T.; Xia, L.G.; Zhao, Y.F.; Qiao, G.Y.; Xu, L.Y.; Liu, Y.; Zhu, Z.Y.; Jiang, X.Q. Curculigoside promotes osteogenic differentiation of bone marrow stromal cells from ovariectomized rats. J. Pharm. Pharmacol. 2013, 65, 1005–1013. [Google Scholar] [CrossRef]
- Zhao, L.; Liu, S.; Wang, Y.; Zhang, Q.; Zhao, W.; Wang, Z.; Yin, M. Effects of Curculigoside on Memory Impairment and Bone Loss via Anti-Oxidative Character in APP/PS1 Mutated Transgenic Mice. PLoS ONE 2015, 10, e0133289. [Google Scholar] [CrossRef] [PubMed]
- Halliwell, B. Free radicals, antioxidants, and human disease: Curiosity, cause, or consequence? Lancet 1994, 344, 721–724. [Google Scholar] [CrossRef]
- Kang, T.H.; Na Hong, B.; Jung, S.-Y.; Lee, J.-H.; So, H.-S.; Park, R.; You, Y.-O. Curculigo orchioides Protects Cisplatin-Induced Cell Damage. Am. J. Chin. Med. 2013, 41, 425–441. [Google Scholar] [CrossRef] [PubMed]
- Murali, V.P.; Kuttan, G. Enhancement of Cancer Chemotherapeutic Efficacy of Cyclophosphamide by Curculigo orchioides Gaertn and Its Ameliorative Effects on Cyclophosphamide-Induced Oxidative Stress. Integr. Cancer Ther. 2015, 14, 172–183. [Google Scholar] [CrossRef]
- Tacchini, M.; Spagnoletti, A.; Marieschi, M.; Caligiani, A.; Bruni, R.; Efferth, T.; Sacchetti, G.; Guerrini, A. Phytochemical profile and bioactivity of traditional ayurvedic decoctions and hydro-alcoholic macerations of Boerhaavia diffusa L. and Curculigo orchioides Gaertn. Nat. Prod. Res. 2015, 29, 2071–2079. [Google Scholar] [CrossRef] [PubMed]
- Navya, K.; Kumar, G.; Anilakumar, K. Ameliorating effect of Curculigo orchoides on chromium(VI) induced oxidative stress via, modulation of cytokines, transcription factors and apoptotic genes. J. Appl. Biomed. 2017, 15, 299–306. [Google Scholar] [CrossRef]
- Hejazi, I.I.; Khanam, R.; Mehdi, S.H.; Bhat, A.R.; Rizvi, M.M.A.; Thakur, S.C.; Athar, F. Antioxidative and anti-proliferative potential of Curculigo orchioides Gaertn in oxidative stress induced cytotoxicity: In vitro, exvivo and in silico studies. Food Chem. Toxicol. 2018, 115, 244–259. [Google Scholar] [CrossRef] [PubMed]
- Adefegha, S.A.; Oyeleye, S.I.; Oboh, G. African crocus (Curculigo pilosa) and wonderful kola (Buchholzia coriacea) seeds modulate critical enzymes relevant to erectile dysfunction and oxidative stress. J. Complement. Integr. Med. 2018, 15. [Google Scholar] [CrossRef] [PubMed]
- Ogunlana, O.O.; Ogunlana, O.E.; Ugochukwu, S.K.; Adeyemi, A.O. Assessment of the ameliorative effect of Ruzu Herbal Bitters on the biochemical and antioxidant abnormalities induced by high fat diet in Wistar rats. Int. J. Pharmacol. 2018, 14, 329–341. [Google Scholar] [CrossRef]
- Farzinebrahimi, R.; Taha, R.M.; Rashid, K.A.; Ahmed, B.A.; Danaee, M.; Rozali, S.E. Preliminary Screening of Antioxidant and Antibacterial Activities and Establishment of an Efficient Callus Induction in Curculigo latifolia Dryand (Lemba). Evid. Based Complement. Altern. Med. 2016, 2016, 1–9. [Google Scholar] [CrossRef]
- Zabidi, N.A.; Ishak, N.A.; Hamid, M.; Ashari, S.E. Subcritical Water Extraction of Antioxidants from Curculigo latifolia Root. J. Chem. 2019, 2019, 1–10. [Google Scholar] [CrossRef]
- Pratap, G.K.; Shantaram, M. A kinetic study of acetylcholinesterase inhibition by fractions of Oleo dioica Roxb. leaf and Curculigo orchioides Gaertn rhizome for the treatment of Alzheimer’s disease. EJMP 2019, 30, 1–12. [Google Scholar]
- Pratap, G.K. In Vitro Anti-Cholinesterase activity and mass spectrometric analysis of Curculigo orchioides Gaertn. Rhizome ex-tract. Anal. Chem. Lett. 2020, 10, 442–458. [Google Scholar] [CrossRef]
- Li, R.C.; Zeng, M.Y.; Su, Y.L.; Wu, C.X. Effects of curculigoside on the behavior and hippocampal neuronal apoptosis of Alzheimer’s rat. Chin. J. Clin. Pharmacol. 2019, 35, 654–670. (In Chinese) [Google Scholar]
- Ramchandani, D.; Ganeshpurkar, A.; Bansal, D.; Karchuli, M.S.; Dubey, N. Protective Effect of Curculigo orchioides Extract on Cyclophospha-mide-Induced Neurotoxicity in Murine Model. Toxicol. Int. 2014, 21, 232–235. [Google Scholar]
- Wang, J.; Zhao, X.-L.; Gao, L. Anti-depressant-like effect of curculigoside isolated from Curculigo orchioides Gaertn root. Trop. J. Pharm. Res. 2016, 15, 2165. [Google Scholar] [CrossRef][Green Version]
- Yang, S.-J.; Song, Z.-J.; Wang, X.-C.; Zhang, Z.-R.; Wu, S.-B.; Zhu, G.-Q. Curculigoside facilitates fear extinction and prevents depression-like behaviors in a mouse learned helplessness model through increasing hippocampal BDNF. Acta Pharmacol. Sin. 2019, 40, 1269–1278. [Google Scholar] [CrossRef] [PubMed]
- Kang, Z.; Zhu, H.; Luan, H.; Han, F.; Jiang, W. Curculigoside A induces angiogenesis through VCAM-1/Egr-3/CREB/VEGF signaling pathway. Neuroscience 2014, 267, 232–240. [Google Scholar] [CrossRef] [PubMed]
- Zhu, H.; He, J.; Ye, L.; Lin, F.; Hou, J.; Zhong, Y.; Jiang, W. Mechanisms of angiogenesis in a Curculigoside A-treated rat model of cerebral ischemia and reperfusion injury. Toxicol. Appl. Pharmacol. 2015, 288, 313–321. [Google Scholar] [CrossRef] [PubMed]
- Tian, Z.; Yu, W.; Liu, H.-B.; Zhang, N.; Li, X.-B.; Zhao, M.-G.; Liu, S.-B. Neuroprotective effects of curculigoside against NMDA-induced neuronal excitoxicity in vitro. Food Chem. Toxicol. 2012, 50, 4010–4015. [Google Scholar] [CrossRef]
- Li, H.N.; Wu, K.F.; Zhang, Y.; Li, N.; Wang, K.J. Crassifoside H ameliorates depressant-like behavior in CUMS rats: Involving improvement of HPA axis dysfunction and inhibition of inflammation in hippocampus. Trop. J. Pharm. Res. 2020, 19, 1693–1699. [Google Scholar] [CrossRef]
- Kayalvizhi, T.; Ravikumar, S.; Venkatachalam, P. Green Synthesis of Metallic Silver Nanoparticles Using Curculigo orchioides Rhizome Extracts and Evaluation of Its Antibacterial, Larvicidal, and Anticancer Activity. J. Environ. Eng. 2016, 142, 4016002. [Google Scholar] [CrossRef]
- Selvaraj, T.; Agastian, P. In vitro anticancer activity of ethyl acetate extract and green nanoparticles synthesized from Curculigo orchioides gaertn—An endangered medicinal. Int. J. Pharm. Sci. Res. 2017, 8, 3030–3038. [Google Scholar]
- Murali, V.P.; Kuttan, G. Curculigoside augments cell-mediated immune responses in metastatic tumor-bearing animals. Immunopharmacol. Immunotoxicol. 2016, 38, 264–269. [Google Scholar] [CrossRef]
- Nahak, P.; Gajbhiye, R.L.; Karmakar, G.; Guha, P.; Roy, B.; Besra, S.E.; Bikov, A.G.; Akentiev, A.V.; Noskov, B.A.; Nag, K.; et al. Orcinol Glucoside Loaded Polymer—Lipid Hybrid Nanostructured Lipid Carriers: Potential Cytotoxic Agents against Gastric, Colon and Hepatoma Carcinoma Cell Lines. Pharm. Res. 2018, 35, 198. [Google Scholar] [CrossRef]
- Wang, X.; Xu, L.; Lao, Y.; Zhang, H.; Xu, H. Natural Products Targeting EGFR Signaling Pathways as Potential Anti-cancer Drugs. Curr. Protein Pept. Sci. 2018, 19, 380–388. [Google Scholar] [CrossRef]
- Marasini, B.P.; Baral, P.; Aryal, P.; Ghimire, K.R.; Sanjiv, N.; Nabaraj, D.; Anjana, S.; Laxman, G.; Kanti, S. Evaluation of antibacterial activity of some traditionally used medicinal plants against human pathogenic bacteria. BioMed Res. Int. 2015, 2015, 265425. [Google Scholar] [CrossRef]
- Perumal, V.; Thamilchelvan, K.; Jinu, U.; Giovanni, B.; Natesan, G. Enhanced antibacterial and cytotoxic activity of phyto-chemical loaded-silver nanoparticles using Curculigo orchioides leaf extracts with different extraction techniques. J. Cluster Sci. 2017, 28, 607–619. [Google Scholar]
- Nwokonkwo, D.C. Antibacterial Susceptibility of the Constituents of Ethanol Crude Extract and the Neutral Metabolite of the Root of Curculigo pilosa Hypoxidaceae. Int. J. Chem. 2014, 6, 19–23. [Google Scholar] [CrossRef][Green Version]
- Kabir, M.; Ahmad, S.; Mahamoud, M.S.; Chakrabarty, N.; Shoibe, M. Comparative study of hypoglycemic and antibacterial activity of organic extracts of four Bangladeshi plants. J. Coast. Life Med. 2016, 4, 231–235. [Google Scholar] [CrossRef]
- Yun, T.; Zhang, M.; Zhou, D.; Jing, T.; Zang, X.; Qi, D.; Chen, Y.; Li, K.; Zhao, Y.; Tang, W.; et al. Anti-Foc RT4 Activity of a Newly Isolated Streptomyces sp. 5–10 From a Medicinal Plant (Curculigo capitulata). Front. Microbiol. 2021, 11, 98. [Google Scholar] [CrossRef] [PubMed]
- Ding, H.; Gao, G.; Zhang, L.; Shen, G.; Sun, W.; Gu, Z.; Fan, W. The protective effects of curculigoside A on adjuvant-induced arthritis by inhibiting NF-κB/NLRP3 activation in rats. Int. Immunopharmacol. 2016, 30, 43–49. [Google Scholar] [CrossRef] [PubMed]
- Ahmad, S.; Nasrin, M.S.; Reza, A.S.M.A.; Chakrabarty, N.; Hoque, A.; Islam, S.; Kabir, M.S.H.; Tareq, S.M.; Alam, A.H.M.K.; Haque, A.; et al. Curculigo recurvata W.T. Aiton exhibits anti- nociceptive and anti-diarrheal effects in Albino mice and an in silico model. Anim. Model Exp. Med. 2020, 3, 169–181. [Google Scholar] [CrossRef]
- Cao, S.; Tian, S.; Bai, M.; Liu, S.Y.; Jia, J.J.; Miao, M.S. Effects of Curculigo orchioides total glucosides in mouse perimenopause model of related organization and organs morphology. Bangladesh J. Pharmacol. 2016, 11, S72–S81. [Google Scholar]
- Miao, M.; Tian, S.; Guo, L.; Bai, M.; Fang, X.; Liu, S. The effect of curculigoside on mouse model of perimenopausal depression. Saudi J. Biol. Sci. 2017, 24, 1894–1902. [Google Scholar] [CrossRef] [PubMed]
- Swaroop, A.; Preuss, H.G.; Bagchi, M.; Bagchi, D. Safety and efficacy of a novel Curculigo orchioides extract in boosting tes-tosterone levels in male rats. FASEB J. 2018, 32, 656.26. [Google Scholar] [CrossRef]
- Bagchi, D.; Swaroop, A.; Bagchi, M.; Preuss, H.G. Safety and free testosterone boosting efficacy of a novel Curculigo orchioides extract (Blamus™) in male rats. FASEB J. 2017, 31, lb313. [Google Scholar] [CrossRef]
- Chen, T.; Tu, Q.; Cheng, L.; Li, Z.; Lin, D. Effects of curculigoside A on random skin flap survival in rats. Eur. J. Pharmacol. 2018, 834, 281–287. [Google Scholar] [CrossRef] [PubMed]








| Pharmacological Activity | Tested Substance | Species | In Vivo/In Vitro | Model | Administration (In Vivo) | Dose/Concentration | Toxicology | References |
|---|---|---|---|---|---|---|---|---|
| Anti-diabetic Activity | hydroalcoholic extract | C. orchioides | in vivo | STZ-nicotinamide induced diabetic nephropathy | oral administration | 600 mg/kg | - | [22] |
| ethanol extract | C. orchioides | in vivo | STZ-nicotinamide induced diabetic nephropathy | oral administration | 600 mg/kg | - | [22] | |
| supplemented diet | C. pilosa | in vitro | STZ-induced diabetic rats | oral administration | 5 and 10% CP-supplemented diet for 21 days | nephrotoxicity | [50] | |
| corn steep liquor extract | C. pilosa | in vitro | STZ-induced diabetic rats | oral administration | 300 mg/kg of the extract(s) for 28 days | - | [51] | |
| corn steep liquor extract | C. pilosa | in vitro | STZ-induced diabetic rats | oral administration | 300 mg/kg of the extract(s) for 28 days | LD50 = 2828 mg/kg | [52] | |
| aqueous extract | C. latifolia | in vivo | HFD+STZ-induced diabetic rats | oral administration | 5 g/d | non-toxic | [53] | |
| ethanol extract | C. orchioides | in vitro | 3T3-L1 | - | 10 and 100 μg/mL | - | [54] | |
| Anti-osteoporosis | curculigoside | C. orchioides | in vitro | osteoblasts | - | 25–100 μg/mL | - | [16] |
| curculigoside | C. orchioides | in vitro | HAFSCs | - | 1–100 mg/mL | 200 mg/mL inhibit cell growth | [23] | |
| curculigoside | C. orchioides | in vitro | MC3T3-E1 | - | 10 μM | - | [24] | |
| curculigoside | C. orchioides | in vivo | iron-overload mice model | oral administration | 100 mg/kg | - | [24] | |
| COP90-1 | C. orchioides | in vitro | primary mouse osteoblasts | - | 21.7 μM | - | [33] | |
| COP70-3 | C. orchioides | in vitro | primary rat osteoblasts | - | - | non-toxic | [34] | |
| curculigine E-H | C. orchioides | in vitro | MC3T3-E1 | - | 10 μM | - | [44] | |
| curculigine M, N, O | C. orchioides | in vitro | MC3T3-E1 | - | - | - | [45] | |
| curculigine K, L | C. orchioides | in vitro | MC3T3-E1 | - | - | - | [46] | |
| curculigoside | C. orchioides | in vivo | BMSCs | 100 μM | 1000 μM decreased cell viability | [60] | ||
| curculigoside | C. orchioides | in vivo | transgenic mice | oral administration | - | - | [61] | |
| Antioxidant | corn steep liquor extract, n-butanol and methanol solvent fractions | C. pilosa | in vivo | STZ diabetic rats | oral administration | 300 mg/kg | - | [51] |
| ethanol extract | C. orchioides | in vitro | cisplatin-induced HEI-OC1 cell damage | - | 1–25 μg/mL | 50 μg/mL decreased cell viability | [63] | |
| methanol extract | C. orchioides | in vivo | cyclophosphamide-induced oxidative stress | oral administration | 25 mg/kg | non-toxic | [64] | |
| decoctions (DECs) and hydro-alcoholic extracts | C. orchioides | in vitro | CCRF-CEM and CEM/ADR5000 | - | 43.57 ± 4.21 mg/mL and 290.96 ± 2.31 mg/mL | non-toxic | [65] | |
| hydro-alcoholic extract | C. orchioides | in vitro | - | oral administration | 100 mg/kg | - | [66] | |
| ethylacetate fraction, aqueous ethylacetate | C. orchioides | in vivo | - | oral administration | 52 ± 0.66 μg/mL | - | [67] | |
| aqueous extract | C. pilosa | in vitro | rat penile homogenate | - | 0.95 mg/mL | [68] | ||
| Curculigo pilosa | C. pilosa | in vivo | received the high-fat diet | oral administration | 0.3 mL/kg | - | [69] | |
| Neuroprotective effect | orcinol glucoside | C. orchioides | in vivo | CUMS-induced depressive rats | - | 1.5, 3, 6 mg/kg | - | [19] |
| crassifoside H | C. orchioides | in vivo | CUMS-induced depressive rats | oral administration | 2, 4, or 8 mg/kg | - | [21] | |
| curculigoside | C. orchioides | in vivo | SD rats | oral administration | 24, 48, 72 mg/kg, qd | - | [74] | |
| methanol extract | C. orchioides | in vivo | Cyclophosphamide-Induced Neurotoxicity in Murine Model | i.p. | 200 mg/kg, 400 mg/kg | - | [75] | |
| curculigoside | C. orchioides | in vivo | mice | oral administration | 10, 20, 40 mg/kg | - | [76] | |
| curculigoside | C. orchioides | in vivo | mice | intraperitoneal injection | 5 mg/kg | - | [77] | |
| curculigoside A | C. orchioides | in vitro | human brain microvascular endothelial cell line | - | 1–24 μM | - | [78] | |
| curculigoside A | C. orchioides | in vivo | middle cerebral artery occluded (MCAO) model rats | tail vein injection | 10 mg/kg | - | [79] | |
| curculigoside | C. orchioides | in vitro | N-methyl-D-aspartate (NMDA)-induced neuronal cell | - | 1 and 10 μM | - | [80] | |
| crassifoside H | C.glabrescens | in vivo | chronic unpredictable mild stress (CUMS)-induced rats | oral administration | 2, 4, and 8 mg/kg d−1 | - | [81] | |
| Antitumor | polysaccharides | C. orchioides | in vivo | mice injected with Hela cells | injected into the lower abdominal region | 20, 40 mg/kg | - | [27] |
| polysaccharides | C. orchioides | in vitro | Hela cells | - | 10, 20, 40, 80 mg/mL | - | [27] | |
| CoBAgNPs | C. orchioides | in vitro | human breast cancer cells and Vero cells | - | 18.86, 42.43 μg/mL | - | [82] | |
| the ethyl acetate extract | C. orchioides | in vitro | MCRF-7 cells | - | 80 μg/mL | - | [83] | |
| curculigoside | C. orchioides | in vivo | C57BL/6 mice | - | 5 mg/kg | non-toxic | [84] | |
| orcinolglucoside nano- lipid carrier (NLC) | C. orchioides | in vitro | gastrointestinal tract (GIT), colon and hepatoma carcinoma cell lines | - | - | - | [85] | |
| Antibacteria | the ethanol extract | C. orchioides | in vitro | S. pyogenes | - | 49 μg/mL | - | [87] |
| Coble-AgNPs | C. orchioides | in vitro | Pseudomonas aeruginosa and Staphylococcus aureus | - | 50 μL | 6.33 μg/mL inhibit cell growth | [88] | |
| the constituents of ethanol crude extract and the neutral metabolite | C. pilosa | in vitro | Escherichia coli, Staphylococcus aureus, Pseudomonas aeruginosa and Streptococcus faecalis | - | 100 mg/mL | - | [89] | |
| methanol extract | C. recurvata | in vitro | Bacillus cereus, Salmonella typhi, Escherichia coli, | - | - | LD50 was found to be greater than 4000 mg/kg | [90] | |
| a newly isolated streptomyces sp. 5–10 | C.capitulata | in vitro | FocTR4 | - | 250 μg/mL, 500 μg/mL | - | [91] | |
| Anti-inflammation and Anti-arthritis | curculigoside | C. orchioides | in vivo | type II collagen induced rat arthritis model | oral administration | 50 mg/kg | - | [26] |
| curculigoside | C. orchioides | in vitro | MH7A cells | - | 4, 8 and 16 μg/mL | - | [26] | |
| curculigoside A | C. orchioides | in vivo | CFA-induced rat arthritis model | oral administration | 10, 20 mg/kg | - | [92] | |
| Anti-diarrhea and anti-nociception | methanol extract | C. recurvata | in vivo | mice | oral administration | 200, 400 mg/kg | lower toxicity | [93] |
| Effect on perimenopausal syndrome | total glucosides | C. orchioides | in vivo | the castrated mice | oral administration | 400 mg/kg | - | [94] |
| total glucosides | C. orchioides | in vivo | Perimenopausal mdel mice | oral administration | 400, 200, 100 mg/kg | - | [95] | |
| Male reproductive improvement | BlamusTM | C. orchioides | in vitro | - | - | - | [96,97] | |
| Cardio-protection | curculigoside | C. orchioides | in vitro | H9c2 cells | - | 10, 15 μM | - | [18] |
| curculigoside | C. orchioides | in vivo | rat | intravenous injection | 10, 15 mg/kg | - | ||
| Other activities | curculigoside A | C. orchioides | in vivo | Sprague-Dawley rats | oral administration | 10 or 20 mg/kg | - | [98] |
Publisher’s Note: MDPI stays neutral with regard to jurisdictional claims in published maps and institutional affiliations. |
© 2021 by the authors. Licensee MDPI, Basel, Switzerland. This article is an open access article distributed under the terms and conditions of the Creative Commons Attribution (CC BY) license (https://creativecommons.org/licenses/by/4.0/).
Share and Cite
Wang, Y.; Li, J.; Li, N. Phytochemistry and Pharmacological Activity of Plants of Genus Curculigo: An Updated Review Since 2013. Molecules 2021, 26, 3396. https://doi.org/10.3390/molecules26113396
Wang Y, Li J, Li N. Phytochemistry and Pharmacological Activity of Plants of Genus Curculigo: An Updated Review Since 2013. Molecules. 2021; 26(11):3396. https://doi.org/10.3390/molecules26113396
Chicago/Turabian StyleWang, Ying, Junlong Li, and Ning Li. 2021. "Phytochemistry and Pharmacological Activity of Plants of Genus Curculigo: An Updated Review Since 2013" Molecules 26, no. 11: 3396. https://doi.org/10.3390/molecules26113396
APA StyleWang, Y., Li, J., & Li, N. (2021). Phytochemistry and Pharmacological Activity of Plants of Genus Curculigo: An Updated Review Since 2013. Molecules, 26(11), 3396. https://doi.org/10.3390/molecules26113396
