The Effect of α-, β- and γ-Cyclodextrin on Wheat Dough and Bread Properties
Abstract
1. Introduction
2. Results and Discussion
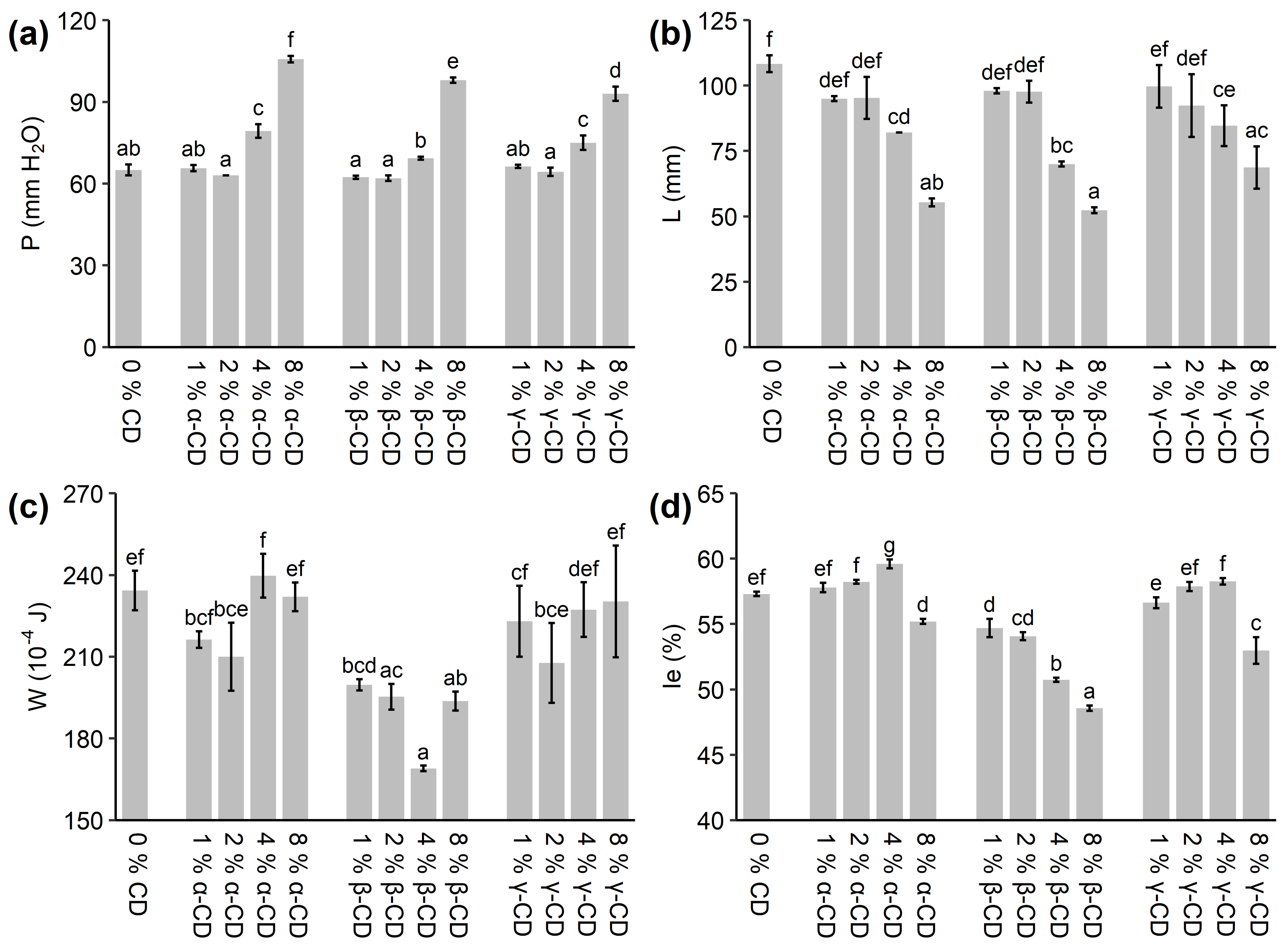
2.1. Effect on Dough Properties
2.2. Effect on Bread Properties
3. Materials and Methods
3.1. Materials
3.2. Consistographic and Alveographic Analysis
3.3. Breadmaking I
3.4. Breadmaking II
3.5. Crumb Firmness Measurements
3.6. Low Field Nuclear Magnetic Resonance Spectroscopy Measurements
3.7. Statistical Analysis
4. Conclusions
Supplementary Materials
Author Contributions
Funding
Data Availability Statement
Acknowledgments
Conflicts of Interest
Sample Availability
References
- Loftsson, T. Cyclodextrins in Parenteral Formulations. J. Pharm. Sci. 2021, 110, 654–664. [Google Scholar] [CrossRef] [PubMed]
- Jansook, P.; Ogawa, N.; Loftsson, T. Cyclodextrins: Structure, physicochemical properties and pharmaceutical applications. Int. J. Pharm. 2018, 535, 272–284. [Google Scholar] [CrossRef] [PubMed]
- Dhiman, P.; Bhatia, M. Pharmaceutical applications of cyclodextrins and their derivatives. J. Incl. Phenom. Macrocycl. Chem. 2020, 98, 171–186. [Google Scholar] [CrossRef]
- Astray, G.; Gonzalez-Barreiro, C.; Mejuto, J.C.; Rial-Otero, R.; Simal-Gándara, J. A review on the use of cyclodextrins in foods. Food Hydrocoll. 2009, 23, 1631–1640. [Google Scholar] [CrossRef]
- Fenyvesi, É.; Vikmon, M.; Szente, L. Cyclodextrins in Food Technology and Human Nutrition: Benefits and Limitations. Crit. Rev. Food Sci. Nutr. 2016, 56, 1981–2004. [Google Scholar] [CrossRef]
- Dos Santos, C.; Buera, P.; Mazzobre, F. Novel trends in cyclodextrins encapsulation. Applications in food science. Curr. Opin. Food Sci. 2017, 16, 106–113. [Google Scholar] [CrossRef]
- Matencio, A.; Navarro-Orcajada, S.; García-Carmona, F.; López-Nicolás, J.M. Applications of cyclodextrins in food science. A review. Trends Food Sci. Technol. 2020, 104, 132–143. [Google Scholar] [CrossRef]
- Tian, B.; Xiao, D.; Hei, T.; Ping, R.; Hua, S.; Liu, J. The application and prospects of cyclodextrin inclusion complexes and polymers in the food industry: A review. Polym. Int. 2020, 69, 597–603. [Google Scholar] [CrossRef]
- Feng, T.; Zhuang, H.; Yang, N. Cyclodextrins in Parenteral Formulations. In Cyclodextrins: Preparation and Application in Industry; Jin, Z., Ed.; World Scientific Publishing: Singapore, 2018; pp. 143–207. [Google Scholar]
- EFSA. Panel on Dietetic Products Nutrition and Allergies. Scientific Opinion on the substantiation of health claims related to alpha cyclodextrin and reduction of post prandial glycaemic responses (ID 2926, further assessment) pursuant to Article 13(1) of Regulation (EC) No 1924/2006. EFSA J. 2012, 10, 2713. [Google Scholar] [CrossRef][Green Version]
- Kim, H.O.; Hill, R.D. Modification of Wheat Flour Dough Characteristics by Cycloheptaamylose. Cereal Chem. 1984, 61, 406–409. [Google Scholar]
- Zhou, J.; Yang, H.; Qin, X.; Hu, X.; Liu, G.; Wang, X. Effect of β-Cyclodextrin on the Quality of Wheat Flour Dough and Prebaked Bread. Food Biophys. 2019, 14, 173–181. [Google Scholar] [CrossRef]
- Zhou, J.; Ke, Y.; Barba, F.J.; Xiao, S.; Hu, X.; Qin, X.; Ding, W.; Lyu, Q.; Wang, X.; Liu, G. The addition of α-cyclodextrin and γ-cyclodextrin affect quality of dough and prebaked bread during frozen storage. Foods 2019, 8, 174. [Google Scholar] [CrossRef] [PubMed]
- Tian, Y.Q.; Li, Y.; Jin, Z.Y.; Xu, X.M.; Wang, J.P.; Jiao, A.Q.; Yu, B.; Talba, T. Beta-Cyclodextrin (Beta-CD): A new approach in bread staling. Thermochim. Acta 2009, 489, 22–26. [Google Scholar] [CrossRef]
- Duedahl-Olesen, L.; Zimmermann, W.; Delcour, J.A. Effects of low molecular weight carbohydrates on farinograph characteristics and staling endotherms of wheat flour-water doughs. Cereal Chem. 1999, 76, 227–230. [Google Scholar] [CrossRef]
- JECFA. Summary of Evaluations Performed by the Joint FAO/WHO Expert Committee on Food Additives: Beta-Cyclodextrin. Available online: http://www.inchem.org/documents/jecfa/jeceval/jec_465.htm (accessed on 18 February 2021).
- JECFA. Safety Evaluation of Certain Food Additives: Gamma-Cyclodextrin. Available online: http://www.inchem.org/documents/jecfa/jecmono/v042je11.htm (accessed on 18 February 2021).
- JECFA. Summary of Evaluations Performed by the Joint FAO/WHO Expert Committee on Food Additives: Alpha-Cyclodextrin. Available online: http://www.inchem.org/documents/jecfa/jeceval/jec_464.htm (accessed on 18 February 2021).
- JECFA. Safety Evaluation of Certain Food Additives; World Health Organization: Geneva, Switzerland, 2006; Volume 54. [Google Scholar]
- JECFA. Evaluations of the Joint FAO/WHO Expert Committee on Food Additives: Gamma-Cyclodextrin. Available online: https://apps.who.int/food-additives-contaminants-jecfa-database/chemical.aspx?chemID=2067 (accessed on 18 February 2021).
- FDA. GRAS Notice GRN No. 46 Gamma-Cyclodextrin. Available online: https://www.cfsanappsexternal.fda.gov/scripts/fdcc/index.cfm?set=GRASNotices&id=46 (accessed on 18 February 2021).
- FDA. GRAS Notice GRN No. 74 Beta-Cyclodextrin. Available online: https://www.cfsanappsexternal.fda.gov/scripts/fdcc/index.cfm?set=GRASNotices&id=74 (accessed on 18 February 2021).
- FDA. GRAS Notice GRN No. 155 Alpha-Cyclodextrin. Available online: https://www.cfsanappsexternal.fda.gov/scripts/fdcc/index.cfm?set=GRASNotices&id=155 (accessed on 18 February 2021).
- Scazzina, F.; Siebenhandl-Ehn, S.; Pellegrini, N. The effect of dietary fibre on reducing the glycaemic index of bread. Br. J. Nutr. 2013, 109, 1163–1174. [Google Scholar] [CrossRef]
- Spears, J.K.; Karr-Lilienthal, L.K.; Grieshop, C.M.; Flickinger, E.A.; Wolf, B.W.; Fahey, G.C. Pullulans and γ-cyclodextrin affect apparent digestibility and metabolism in healthy adult ileal cannulated dogs. J. Nutr. 2005, 135, 1946–1952. [Google Scholar] [CrossRef]
- Koutsou, G.A.; Storey, D.M.; Bär, A. Gastrointestinal tolerance of γ-cyclodextrin in humans. Food Addit. Contam. 1999, 16, 313–317. [Google Scholar] [CrossRef]
- Lumholdt, L.R.; Holm, R.; Jorgensen, E.B.; Larsen, K.L. In vitro investigations of α-amylase mediated hydrolysis of cyclodextrins in the presence of ibuprofen, flurbiprofen, or benzo[a]pyrene. Carbohydr. Res. 2012, 362, 56–61. [Google Scholar] [CrossRef]
- Spears, J.K.; Karr-Lilienthal, L.K.; Fahey, G.C. Influence of supplemental high molecular weight pullulan or γ-cyclodextrin on ileal and total tract nutrient digestibility, fecal characteristics, and microbial populations in the dog. Arch. Anim. Nutr. 2005, 59, 257–270. [Google Scholar] [CrossRef]
- Suzuki, M.; Sato, A. Nutritional Significance of Cyclodextrins: Indigestibility and Hypolipemic Effect of α-Cyclodextrin. J. Nutr. Sci. Vitaminol. 1985, 31, 209–223. [Google Scholar] [CrossRef]
- Lai, C.-S.; Chow, J.; Wolf, B.W. Methods of Using Gamma Cyclodextrin to Control Blood Glucose and Insulin Secretion. U.S. Patent No. 7,423,027, 9 September 2008. [Google Scholar]
- Raben, A.; Andersen, K.; Karberg, M.A.; Holst, J.J.; Astrup, A. Acetylation of or β-cyclodextrin addition to potato starch: Beneficial effect on glucose metabolism and appetite sensations. Am. J. Clin. Nutr. 1997, 66, 304–314. [Google Scholar] [CrossRef]
- Zhan, J.; Tian, Y.; Tong, Q. Preparation and slowly digestible properties of β-cyclodextrins (β-CDs)-modified starches. Carbohydr. Polym. 2013, 91, 609–612. [Google Scholar] [CrossRef] [PubMed]
- Schmid, G.; Reuscher, H.; Antlsperger, G. Method for reducing the glycemic index of food. European Patent Office EP 1 447 013 A1, 18 August 2004. [Google Scholar]
- Mutsaers, J.H.G.M.; Eijk, J.H. Van Process for increasing the volume of a baked product. US Patent Number 5,916,607, 29 June 1999. [Google Scholar]
- Shim, J.-H.; Kim, Y.-W.; Kim, T.-J.; Chae, H.-Y.; Park, J.-H.; Cha, H.; Kim, J.-W.; Kim, Y.-R.; Schaefer, T.; Spendler, T.; et al. Improvement of cyclodextrin glucanotransferase as an antistaling enzyme by error-prone PCR. Protein Eng. Des. Sel. 2004, 17, 205–211. [Google Scholar] [CrossRef]
- Shim, J.-H.; Seo, N.-S.; Roh, S.-A.; Kim, J.-W.; Cha, H.; Park, K.-H. Improved Bread-Baking Process Using Saccharomyces cerevisiae Displayed with Engineered Cyclodextrin Glucanotransferase. J. Agric. Food Chem. 2007, 55, 4735–4740. [Google Scholar] [CrossRef] [PubMed]
- Jemli, S.; Ben Messaoud, E.; Ayadi-zouari, D.; Naili, B.; Khemakhem, B.; Bejar, S. A beta-cyclodextrin glycosyltransferase from a newly isolated Paenibacillus pabuli US132 strain: Purification, properties and potential use in bread-making. Biochem. Eng. J. 2007, 34, 44–50. [Google Scholar] [CrossRef]
- Gujral, H.S.; Haros, M.; Rosell, C.M. Starch Hydrolyzing Enzymes for Retarding the Staling of Rice Bread. Cereal Chem. 2003, 80, 750–754. [Google Scholar] [CrossRef]
- Gujral, H.S.; Guardiola, I.; Carbonell, J.V.; Rosell, C.M. Effect of Cyclodextrin Glycosyl Transferase on Dough Rheology and Bread Quality from Rice Flour. J. Agric. Food Chem. 2003, 51, 3814–3818. [Google Scholar] [CrossRef] [PubMed]
- Kitissou, P. Un nouveau paramètre alvéographique: l’indice d’élasticité (Ie). Ind. Céréales 1995, 92, 9–17. [Google Scholar]
- Fessas, D.; Schiraldi, A. Water properties in wheat flour dough. I: Classical thermogravimetry approach. Food Chem. 2001, 72, 237–244. [Google Scholar] [CrossRef]
- Rekharsky, M.V.; Inoue, Y. Complexation thermodynamics of cyclodextrins. Chem. Rev. 1998, 98, 1875–1917. [Google Scholar] [CrossRef]
- Tian, Y.; Li, Y.; Manthey, F.A.; Xu, X.; Jin, Z.; Deng, L. Influence of β-cyclodextrin on the short-term retrogradation of rice starch. Food Chem. 2009, 116, 54–58. [Google Scholar] [CrossRef]
- Tian, Y.; Xu, X.; Li, Y.; Jin, Z.; Chen, H.; Wang, H. Effect of β-cyclodextrin on the long-term retrogradation of rice starch. Eur. Food Res. Technol. 2009, 228, 743–748. [Google Scholar] [CrossRef]
- Kim, H.O.; Hill, R.D. Physical characteristics of wheat starch granule gelatinization in the presence of cycloheptaamylose. Cereal Chem. 1984, 61, 432–435. [Google Scholar]
- Goesaert, H.; Brijs, K.; Veraverbeke, W.S.; Courtin, C.M.; Gebruers, K.; Delcour, J.A. Wheat flour constituents: How they impact bread quality, and how to impact their functionality. Trends Food Sci. Technol. 2005, 16, 12–30. [Google Scholar] [CrossRef]
- Otzen, D.E.; Knudsen, B.R.; Aachmann, F.; Larsen, K.L.; Wimmer, R. Structural basis for cyclodextrins’ suppression of human growth hormone aggregation. Protein Sci. 2002, 11, 1779–1787. [Google Scholar] [CrossRef] [PubMed]
- Aachmann, F.L.; Otzen, D.E.; Larsen, K.L.; Wimmer, R. Structural background of cyclodextrin-protein interactions. Protein Eng. 2003, 16, 905–912. [Google Scholar] [CrossRef]
- Matilainen, L.; Larsen, K.L.; Wimmer, R.; Keski-Rahkonen, P.; Auriola, S.; Järvinen, T.; Jarho, P. The Effect of Cyclodextrins on Chemical and Physical Stability of Glucagon and Characterization of Glucagon/γ-CD Inclusion Complexes. J. Pharm. Sci. 2008, 97, 2720–2729. [Google Scholar] [CrossRef] [PubMed]
- Bajorunaite, E.; Cirkovas, A.; Radzevicius, K.; Larsen, K.L.; Sereikaite, J.; Bumelis, V.A. Anti-aggregatory effect of cyclodextrins in the refolding process of recombinant growth hormones from Escherichia coli inclusion bodies. Int. J. Biol. Macromol. 2009, 44, 428–434. [Google Scholar] [CrossRef]
- Aachmann, F.L.; Larsen, K.L.; Wimmer, R. Interactions of cyclodextrins with aromatic amino acids: A basis for protein interactions. J. Incl. Phenom. Macrocycl. Chem. 2012, 73, 349–357. [Google Scholar] [CrossRef]
- Dobraszczyk, B.J.; Morgenstern, M.P. Rheology and the breadmaking process. J. Cereal Sci. 2003, 38, 229–245. [Google Scholar] [CrossRef]
- Gray, J.A.; Bemiller, J.N. Bread Staling: Molecular Basis and Control. Compr. Rev. Food Sci. Food Saf. 2003, 2, 1–21. [Google Scholar] [CrossRef]
- Webb, G.A. Modern Magnetic Resonance, 2nd ed.; Springer: Boston, MA, USA, 2018. [Google Scholar]
- Engelsen, S.B.; Jensen, M.K.; Pedersen, H.T.; Nørgaard, L.; Munck, L. NMR-baking and multivariate prediction of instrumental texture parameters in bread. J. Cereal Sci. 2001, 33, 59–69. [Google Scholar] [CrossRef]
- D’Avignon, D.A.; Hung, C.-C.; Pagel, M.T.L.; Hart, B.; Bretthorst, G.L.; Ackerman, J.J.H. 1H and 2H NMR Studies of Water in Work-Free Wheat Flour Doughs. In NMR Applications in Biopolymers; Springer: Boston, MA, USA, 1990; pp. 391–414. [Google Scholar]
- Tian, Y.; Li, Y.; Jin, Z.; Xu, X. Comparison tests of hydroxylpropyl β-cyclodextrin (HPβ-CD) and β-cyclodextrin (β-CD) on retrogradation of rice amylose. LWT Food Sci. Technol. 2010, 43, 488–491. [Google Scholar] [CrossRef]
- Tian, Y.; Yang, N.; Li, Y.; Xu, X.; Zhan, J.; Jin, Z. Potential interaction between β-cyclodextrin and amylose-lipid complex in retrograded rice starch. Carbohydr. Polym. 2010, 80, 581–584. [Google Scholar] [CrossRef]
- Gunaratne, A.; Ranaweera, S.; Corke, H. Thermal, pasting, and gelling properties of wheat and potato starches in the presence of sucrose, glucose, glycerol, and hydroxypropyl beta-cyclodextrin. Carbohydr. Polym. 2007, 70, 112–122. [Google Scholar] [CrossRef]
- AACC Method 44-15.02. Moisture—Air-Oven Methods. In AACC Approved Methods of Analysis; Cereals & Grains Association: St. Paul, MN, USA, 2009.
- AACC Method 46-11.02. Crude Protein—Improved Kjeldahl Method, Copper Catalyst Modification. In AACC Approved Methods of Analysis; Cereals & Grains Association: St. Paul, MN, USA, 2009.
- AACC Method 54-50.01. Determination of the Water Absorption Capacity of Flours and of Physical Properties of Wheat Flour Doughs, Using the Consistograph. In AACC Approved Methods of Analysis; Cereals & Grains Association: St. Paul, MN, USA, 2009.
- AACC Method 54-30.02. Alveograph Method for Soft and Hard Wheat Flour. In AACC Approved Methods of Analysis; Cereals & Grains Association: St. Paul, MN, USA, 2009.
- Dubois, M.; Dubat, A.; Launay, B. The AlveoConsistograph Handbook, 2nd ed.; AACC International: St. Paul, MN, USA, 2008. [Google Scholar]
- AACC Method 74-09.01. Measurement of Bread Firmness by Universal Testing Machine. In AACC Approved Methods of Analysis; Cereals & Grains Association: St. Paul, MN, USA, 2009.





| Ingredient | Ratio in Grams |
|---|---|
| Flour | 100 |
| Tap water | 60 |
| Sodium chloride | 1 |
| Dry yeast | 0.8 |
| α-, β-, or γ-CD | 0, 1, 2, 4, or 8 |
Publisher’s Note: MDPI stays neutral with regard to jurisdictional claims in published maps and institutional affiliations. |
© 2021 by the authors. Licensee MDPI, Basel, Switzerland. This article is an open access article distributed under the terms and conditions of the Creative Commons Attribution (CC BY) license (https://creativecommons.org/licenses/by/4.0/).
Share and Cite
Jødal, A.-S.S.; Czaja, T.P.; van den Berg, F.W.J.; Jespersen, B.M.; Larsen, K.L. The Effect of α-, β- and γ-Cyclodextrin on Wheat Dough and Bread Properties. Molecules 2021, 26, 2242. https://doi.org/10.3390/molecules26082242
Jødal A-SS, Czaja TP, van den Berg FWJ, Jespersen BM, Larsen KL. The Effect of α-, β- and γ-Cyclodextrin on Wheat Dough and Bread Properties. Molecules. 2021; 26(8):2242. https://doi.org/10.3390/molecules26082242
Chicago/Turabian StyleJødal, Anne-Sophie Schou, Tomasz Pawel Czaja, Frans W. J. van den Berg, Birthe Møller Jespersen, and Kim Lambertsen Larsen. 2021. "The Effect of α-, β- and γ-Cyclodextrin on Wheat Dough and Bread Properties" Molecules 26, no. 8: 2242. https://doi.org/10.3390/molecules26082242
APA StyleJødal, A.-S. S., Czaja, T. P., van den Berg, F. W. J., Jespersen, B. M., & Larsen, K. L. (2021). The Effect of α-, β- and γ-Cyclodextrin on Wheat Dough and Bread Properties. Molecules, 26(8), 2242. https://doi.org/10.3390/molecules26082242

