Tricyclic Pyrazole-Based Compounds as Useful Scaffolds for Cannabinoid CB1/CB2 Receptor Interaction
Abstract
1. Introduction
2. (5,5)-Condensed Pyrazole Derivatives
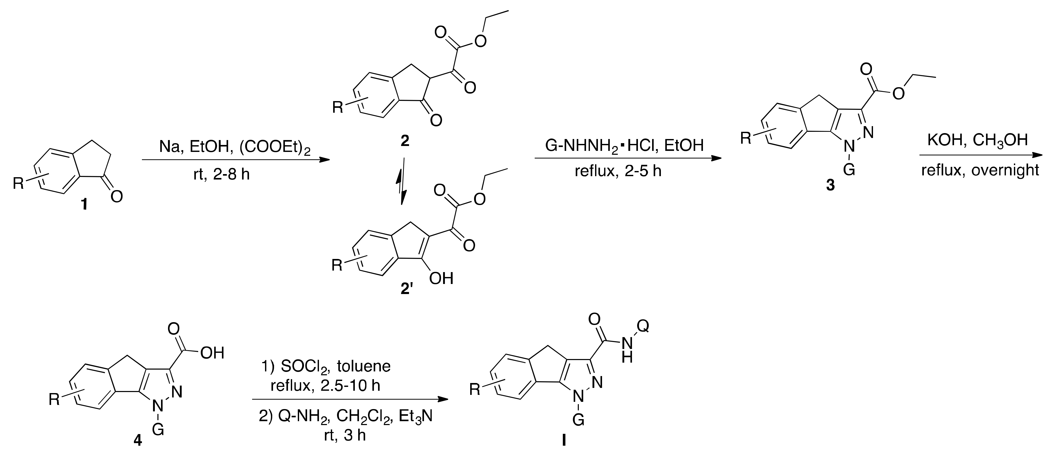
2.1. 1,4-dihydroindeno(1,2-c)pyrazole-Based Derivatives
2.2. Benzofuro(3,2-c)pyrazol-Based Derivatives (V)
2.3. 1,4-Dihydrothieno(2′,3′-4,5)cyclopenta(1,2-c)pyrazole-Based Derivatives (VII) and 1,4-Dihydrothieno(3′,2′-4,5)cyclopenta(1,2-c])pyrazole-Based Derivatives (X)
2.4. 1,4-Dihydropyrazolo(3,4-a)pyrrolizine-Based Derivatives (XV)
3. (5,6)-Condensed Pyrazole Derivatives
3.1. 4,5-Dihydro-1H-benzo(g)indazole-Based Derivatives (II)
3.2. 4,5-Dihydro-1H-thieno(2,3-g)indazole-Based Derivatives (VIII) and 4,5-Dihydro-1H-thieno(3,2-g)indazole-Based Derivatives (XI)
3.3. 1,5-Dihydroisothiochromen([4,3-c)pyrazole-Based Derivatives (XIII) and 1,4-Dihydrothiochromeno(4,3-c)pyrazole-Based Derivatives (XIV)
3.4. 4,5-Dihydro-1H-Pyrazolo(4,3-g)indolizine-Based Derivatives (XVI)
4. (5,7)-Condensed Pyrazole Derivatives
4.1. 1,4,5,6-Tetrahydrobenzo(6,7])cyclohepta(1,2-c]pyrazole-Based Derivatives (III)
4.2. 4,5-Dihydro-1H-benzo(2,3)oxepino(4,5-c)pyrazole-Based Derivatives (VI)
4.3. 1,4,5,6-Tetrahydrothieno(2′,3′-6,7])cyclohepta(1,2-c)pyrazole-Based Derivatives (IX) and 1,4,5,6-Tetrahydrothieno(3′,2′-6,7)cyclohepta(1,2-c)pyrazole-Based Derivatives (XII)
4.4. 1,4,5,6-Tetrahydropyrazolo(3,4-c)pyrrolo(1,2-a)azepine-Based Derivatives (XVII)
5. (5,8)-Condensed Pyrazole Derivatives
4,5,6,7-Tetrahydro-1H-benzo(7,8)cyclooct(1,2-c)pyrazole-Based Derivatives (IV)
6. Miscellaneous Derivatives
7. Conclusions
Author Contributions
Funding
Conflicts of Interest
References
- Lambert, D.M.; Fowler, C.J. The Endocannabinoid System: Drug Targets, Lead Compounds, and Potential Therapeutic Applications. J. Med. Chem. 2005, 36, 5059–5087. [Google Scholar] [CrossRef]
- Pertwee, R. (Ed.) Cannabinoids; Springler: Berlin/Heidelberg, Germany, 2005. [Google Scholar]
- Pop, E. Cannabinoids, endogenous ligands and synthetic analogs. Curr. Opin. Chem. Biol. 1999, 3, 418–425. [Google Scholar] [CrossRef]
- Matsuda, L.A.; Lolait, S.J.; Brownstein, M.J.; Young, A.C.; Bonner, T.I. Structure of a cannabinoid receptor and functional expression of the cloned cDNA. Nature 1990, 346, 561–564. [Google Scholar] [CrossRef] [PubMed]
- Munro, S.; Thomas, K.L.; Abu-Shaar, M. Molecular characterization of a peripheral receptor for cannabinoids. Nat. Cell Biol. 1993, 365, 61–65. [Google Scholar] [CrossRef]
- Herkenham, M.; Lynn, A.B.; Little, M.D.; Johnson, M.R.; Melvin, L.S.; de Costa, B.R.; Rice, K.C. Cannabinoid receptor location in brain. Proc. Natl. Acad. Sci. USA 1990, 87, 1932–1936. [Google Scholar] [CrossRef]
- Howlet, A.C. The CB1 cannabinoid receptor in the brain. Neurobiol. Dis. 1998, 5, 405–416. [Google Scholar] [CrossRef]
- Casu, M.A.; Porcella, A.; Ruiu, S.; Saba, P.; Marchese, G.; Carai, M.A.M.; Reali, R.; Gessa, G.L.; Pani, L. Differential distribution of functional cannabinoid CB1 receptors in the mouse gastroenteric tract. Eur. J. Pharmacol. 2003, 459, 97–105. [Google Scholar] [CrossRef]
- Glass, M. The role of Cannabinoids in neurodegenerative diseases. Prog. Neuro-Psychopharmacol. Biol. Psychiatry 2001, 25, 743–765. [Google Scholar] [CrossRef]
- Porcella, A.; Casellas, P.; Gessa, G.L.; Pani, L. Cannabinoid receptor CB1 mRNA is highly expressed in the rat ciliary body: Implications for the antiglaucoma properties of marihuana. Mol. Brain Res. 1998, 58, 240–245. [Google Scholar] [CrossRef]
- Galiegue, S.; Mary, S.; Marchand, J.; Dussossoy, D.; Carriere, D.; Carayon, P.; Bouaboula, M.; Shire, D.; Fur, G.; Casellas, P. Expression of Central and Peripheral Cannabinoid Receptors in Human Immune Tissues and Leukocyte Subpopulations. Eur. J. Biochem. 1995, 232, 54–61. [Google Scholar] [CrossRef]
- Gong, J.-P.; Onaivi, E.S.; Ishiguro, H.; Liu, Q.-R.; Tagliaferro, P.A.; Brusco, A.; Uhl, G.R. Cannabinoid CB2 receptors: Immunohistochemical localization in rat brain. Brain Res. 2006, 1071, 10–23. [Google Scholar] [CrossRef]
- Lu, Q.; Straiker, A.; Lu, Q.; Maguire, G. Expression of CB2 cannabinoid receptor mRNA in adult rat retina. Vis. Neurosci. 2000, 17, 91–95. [Google Scholar] [CrossRef] [PubMed]
- Murineddu, G.; Asproni, B.; Pinna, G.A. A Survey of Recent Patents on CB2 Agonists in the Management of Pain. Recent Pat. Cns Drug Discov. 2012, 7, 4–24. [Google Scholar] [CrossRef] [PubMed]
- Marino, S.; Idris, A.I. Emerging therapeutic targets in cancer induced bone disease: A focus on the peripheral type 2 cannabinoid receptor. Pharmacol. Res. 2017, 119, 391–403. [Google Scholar] [CrossRef]
- Morales, P.; Blasco-Benito, S.; Andradas, C.; Gómez-Cañas, M.; Flores, J.M.; Goya, P.; Fernández-Ruiz, J.; Sánchez, C.; Jagerovic, N. Selective, nontoxic CB2 cannabinoid o-quinone with in vivo activity against triple-negative breast cancer. J. Med. Chem. 2015, 58, 2256–2264. [Google Scholar] [CrossRef]
- Yang, P.; Wang, L.; Feng, R.; Almehizia, A.A.; Tong, Q.; Myint, K.-Z.; Ouyang, Q.; Alqarni, M.H.; Wang, L.; Xie, X.-Q. Novel triaryl sulphonamide derivatives as selective cannabinoid receptor 2 inverse agonists and osteoclast inhibitors: Discovery, optimization, and biological evaluation. J. Med. Chem. 2013, 56, 2045–2058. [Google Scholar] [CrossRef]
- Pertwee, R.G. Emerging strategies for exploiting cannabinoid receptor agonists as medicines. Br. J. Pharmacol. 2009, 156, 397–411. [Google Scholar] [CrossRef] [PubMed]
- Mainolfi, N.; Powers, J.; Amin, J.; Long, D.; Lee, W.; McLaughlin, M.-E.; Jaffee, B.; Brain, C.; Elliott, J.; Sivak, J.M. An effective prodrug strategy to selectively enhance ocular exposure of a cannabinoid receptor (CB1/2) agonist. J. Med. Chem. 2013, 56, 5464–5472. [Google Scholar] [CrossRef]
- Pi-Sunyer, F.X.; Aronne, L.J.; Heshmati, H.M.; Devin, J.; Rosenstock, J.; for the RIO-North America Study Group. Effect of Rimonabant, a Cannabinoid-1 Receptor Blocker, on Weight and Cardiometabolic Risk Factors in Overweight or Obese Patients. JAMA 2006, 295, 761–775. [Google Scholar] [CrossRef]
- Zhang, Y.; Seltzman, H.-H.; Brackeen, M.; Thomas, B.-F. Structure-Activity Relationships and Conformational Freedom of CB1 Receptor Antagonists and Inverse Agonists. In The Cannabinoid Receptors, 1st ed.; Reggio, P.H., Ed.; Humana Press: New York, NY, USA, 2009; pp. 95–119. [Google Scholar]
- Chang, C.-P.; Wu, C.-H.; Song, J.-S.; Chou, M.-C.; Wong, Y.-C.; Lin, Y.; Yeh, T.-K.; Sadani, A.A.; Ou, M.-H.; Chen, K.-H.; et al. Discovery of 1-(2,4-dichlorophenyl)-N-(piperidin-1-yl)-4-((pyrrolidine-1-sulfonamido)methyl)-5-(5-((4-(trifluoromethyl) phenyl)ethynyl)thiophene-2-yl)-1H-pyrazole-3-carboxamide as a novel peripherally restricted cannabinoid-1 receptor antagonist with significant weight-loss efficacy in diet-induced obese mice. J. Med. Chem. 2013, 56, 9920–9933. [Google Scholar]
- Mussinu, J.-M.; Ruiu, S.; Mulè, A.; Pau, A.; Carai, M.A.M.; Loriga, G.; Murineddu, G.; Pinna, G.A. Tricyclic pyrazoles. Part 1: Synthesis and biological evaluation of novel 1,4-dihydroindeno(1,2-c)pyrazol-based ligands for CB1 and CB2 cannabinoid receptors. Bioorg. Med. Chem. 2003, 11, 251–263. [Google Scholar] [CrossRef]
- Murineddu, G.; Lazzari, P.; Ruiu, S.; Sanna, A.; Loriga, G.; Manca, I.; Falzoi, M.; Dessì, C.; Curzu, M.M.; Chelucci, G.; et al. pyrazoles. 4. Synthesis and biological evaluation of analogues of the robust and selective CB2 cannabinoid ligand 1-(2′,4′-dichlorophenyl)-6-methyl-N-piperidin-1-yl-1,4-dihydroindeno(1,2-c)pyrazole-3-carboxamide. J. Med. Chem. 2006, 49, 7502–7512. [Google Scholar] [CrossRef] [PubMed]
- Han, S.; Thatte, J.; Buzard, D.J.; Jones, R.M. Therapeutic Utility of Cannabinoid Receptor Type 2 (CB2) Selective Agonists. J. Med. Chem. 2013, 56, 8224–8256. [Google Scholar] [CrossRef]
- Murineddu, G.; Asproni, B.; Ruiu, S.; Deligia, F.; Falzoi, M.; Pau, A.; Thomas, B.F.; Zhang, Y.; Pinna, G.A.; Pani, L.; et al. Tricyclic pyrazoles. Part 5. Novel 1,4-dihydroindeno(1,2-c)pyrazolo CB2 ligands using molecular hybridization based on scaffold hopping. Open Med. Chem. J. 2012, 6, 1–14. [Google Scholar] [CrossRef][Green Version]
- Kotsikorou, E.; Navas, F., III; Roche, M.J.; Gilliam, A.F.; Thomas, B.F.; Seltzman, H.H.; Kumar, P.; Song, Z.-H.; Hurst, D.P.; Lynch, D.L.; et al. The importance of hydrogen bonding and aromatic stacking to the affinity and efficacy of cannabinoid receptor CB2 antagonist 5-(4-chloro-3-methylphenyl)-1-((4-methylphenyl)methyl)-N-((1S,2S,4R)-1,3,3-trimethylbicyclo(2.2.1)hept-2-yl)-1H-pyrazole-3-carboxamide (SR144528). J. Med. Chem. 2013, 56, 6593–6612. [Google Scholar] [PubMed]
- Barth, F.; Millan, J.; Oustric, D.; Rinaldi, M.; Vernhet, M. 1-Benzylpyrazole-3-carboxylic acid tricyclic derivatives as cannabinoid receptor antagonists. U.S. Pantent US6916838B1, 12 July 2005. [Google Scholar]
- Deiana, V.; Gómez-Cañas, M.; Pazos, M.R.; Fernández-Ruiz, J.; Asproni, B.; Cichero, E.; Fossa, P.; Muñoz, E.; Deligia, F.; Murineddu, G.; et al. Tricyclic pyrazoles. Part 8. Synthesis, biological evaluation and modelling of tricyclic pyrazole carboxamides as potential CB2 receptor ligands with antagonist/inverse agonist properties. Eur. J. Med. Chem. 2016, 112, 66–80. [Google Scholar] [CrossRef]
- Soethoudt, M.; Grether, U.; Fingerle, J.; Grim, T.W.; Fezza, F.; de Petrocellis, L.; Ullmer, C.; Rothenhäusler, B.; Perret, C.; van Gils, N.; et al. Cannabinoid CB2 receptor ligand profiling reveals biased signalling and off-target activity. Nat. Commun. 2017, 8, 13958. [Google Scholar] [CrossRef]
- Klein, T.W.; Newton, C.; Patterson, C.; Agudelo, M. Methods and compositions for reducing serum levels of immunoglobulin E (IgE). WO2013/033155A1, 7 March 2013. [Google Scholar]
- Li, S.-S.; Wang, L.-L.; Liu, M.; Jiang, S.-K.; Zhang, M.; Tian, Z.-L.; Wang, M.; Li, J.-Y.; Zhao, R.; Guan, D.-W. Cannabinoid CB2 receptors are involved in the regulation of fibrogenesis during skin wound repair in mice. Mol. Med. Rep. 2016, 13, 3441–3450. [Google Scholar] [CrossRef]
- Naschi, M.; Hajikhani, M.; Ebrahimi, G.M.; Zarrindast, M.-R. Interaction between NMDA and CB2 function in the dorsal hippocampus on memory consolidation impairment: An isobologram analysis. Psychopharmacology 2017, 234, 507–514. [Google Scholar] [CrossRef] [PubMed]
- Xia, K.-K.; Shen, J.-X.; Huang, Z.-B.; Song, H.-M.; Gao, M.; Chen, D.-J.; Zhang, S.-J.; Wu, J. Heterogeneity of cannabinoid ligand-induced modulations in intracellular Ca2+ signals of mouse pancreatic acinar cells in vitro. Acta Pharmacol. Sinica 2019, 40, 410–417. [Google Scholar] [CrossRef]
- McBrinn, R.C.; Fraser, J.; Hope, A.G.; Gray, D.W.; Barratt, C.L.R.; da Silva, S.J.M.; Brown, S.G. Novel pharmacological actions of trequinsin hydrochloride improve human sperm cell motility and function. Br. J. Pharmacol. 2019, 176, 4521–4536. [Google Scholar] [CrossRef]
- Khakpai, F.; Ebrahimi-Ghiri, M.; Alijanpour, S.; Zarrindast, M.-R. Ketamine-induced antidepressant like effects in mice: A possible involvement of cannabinoid system. Biomed. Pharmacother. 2019, 112, 108717. [Google Scholar] [CrossRef]
- Luongo, L.; Palazzo, E.; Tambaro, S.; Giordano, C.; Gatta, L.; Scafuro, M.; Rossi, F.; Lazzari, P.; Pani, L.; De Novellis, V.; et al. 1-(2′,4′-dichlorophenyl)-6-methyl-N-cyclohexylamine-1,4-dihydroindeno(1,2-c)pyrazole-3-carboxamide, a novel CB2 agonist, alleviates neuropathic pain through functional microglial changes in mice. Neurobiol. Dis. 2010, 37, 177–185. [Google Scholar] [CrossRef]
- Pinna, G.; Loriga, G.; Lazzari, P.; Ruiu, S.; Falzoi, M.; Frau, S.; Pau, A.; Murineddu, G.; Asproni, B.; Pinna, G.A. Tricyclic pyrazoles. Part 6. Benzofuro(3,2-c)pyrazoles: A versatile architecture for CB2 selective ligands. Eur. J. Med. Chem. 2014, 82, 281–292. [Google Scholar] [CrossRef]
- Lazzari, P.; Loriga, G.; Manca, I.; Pinna, G.A. Tricyclic pyrazole derivatives and microemulsions thereof as CB1- and/or CB2-inhibitors. EP2223913A1, 1 September 2010. [Google Scholar]
- Pinna, G.; Curzu, M.M.; Dore, A.; Lazzari, P.; Ruiu, S.; Pau, A.; Murineddu, G.; Pinna, G.A. Tricyclic pyrazoles part 7. Discovery of potent and selective dihydrothienocyclopentapyrazole derived CB2 ligands. Eur. J. Med. Chem. 2014, 85, 747–757. [Google Scholar] [CrossRef]
- Lazzari, P.; Loriga, G.; Manca, I.; Pinna, G.A. Pharmaceutical compounds. U.S. Patent US2010/0215759A1, 26 August 2010. [Google Scholar]
- Pertwee, R.G.; Stevenson, L.A.; Elrick, D.B.; Mechoulam, R.; Corbett, A.D. Inhibitory effects of certain enantiomeric cannabinoids in the mouse vas deferens and the myenteric plexus preparation of guinea-pig small intestine. Br. J. Pharmacol. 1992, 105, 980–984. [Google Scholar] [CrossRef]
- Heijl, A.; Leske, M.C.; Bengtsson, B.; Hyman, L.; Hussein, M. Reduction of intraocular pressure and glaucoma progression: Results from the Early Manifest Glaucoma Trial. Arch. Ophthalmol. 2002, 120, 1268–1279. [Google Scholar] [CrossRef] [PubMed]
- Hepler, R.S.; Frank, I.R. Marihuana smoking and intraocular pressure. JAMA 1971, 217, 1392. [Google Scholar] [CrossRef] [PubMed]
- Allen, R.C.; Sheppard, J.D., III; Lattanzio, F., Jr.; Lichtman, A.; Crouch, E., Jr.; Williams, P. Ocular and systemic effects of WIN-55,212-2 in normotensive rabbits. Investig. Ophthalmol. Vis. Sci. 2003, 44, 4423. [Google Scholar]
- Hosseini, A.; Lattanzio, F.A.; Williams, P.B.; Tibbs, D.; Samudre, S.S.; Allen, R.C. Chronic topical administration of WIN-55,212-2 maintains a reduction in IOP in a rat glaucoma model without adverse effects. Exp. Eye Res. 2006, 82, 753–759. [Google Scholar] [CrossRef] [PubMed]
- Porcella, A.; Maxia, C.; Gessa, G.L.; Pani, L. The synthetic cannabinoid WIN55212-2 decreases the intraocular pressure in human glaucoma resistant to conventional therapies. Eur. J. Neurosci. 2001, 13, 409–412. [Google Scholar] [CrossRef] [PubMed]
- Zhong, L.; Geng, L.; Njie, Y.; Feng, W.; Song, Z.-H. CB2 Cannabinoid Receptors in Trabecular Meshwork Cells Mediate JWH015-Induced Enhancement of Aqueous Humor Outflow Facility. Investig. Opthalmol. Vis. Sci. 2005, 46, 1988–1992. [Google Scholar] [CrossRef]
- Aymerich, M.S.; Aso, E.; Abellanas, M.A.; Tolon, R.M.; Ramos, J.A.; Ferrer, I.; Romero, J.; Fernández-Ruiz, J. Cannabinoid pharmacology/therapeutics in chronic degenerative disorders affecting the central nervous system. Biochem. Pharmacol. 2018, 157, 67–84. [Google Scholar] [CrossRef]
- Yazulla, S. Endocannabinoids in the retina: From marijuana to neuroprotection. Prog. Retin. Eye Res. 2008, 27, 501–526. [Google Scholar] [CrossRef] [PubMed]
- Pietrucha-Dutczak, M.; Amadio, M.; Govoni, S.; Lewin-Kowalik, J.; Smedowski, A. The role of endogenous neuroprotective mechanisms in the prevention of retinal ganglion cells degeneration. Front. Neurosci. 2018, 12, 1–23. [Google Scholar] [CrossRef] [PubMed]
- Tomida, I.; Pertwee, R.G.; Azuara-Blanco, A. Cannabinoids and glaucoma. Br. J. Ophthalmol. 2004, 88, 708–713. [Google Scholar] [CrossRef]
- Novack, G.D. Cannabinoids for treatment of glaucoma. Curr. Opin. Ophthalmol. 2016, 27, 146–150. [Google Scholar] [CrossRef]
- Panahi, Y.; Manayi, A.; Nikan, M.; Vazirian, M. The arguments for and against cannabinoids application in glaucomatous retinopathy. Biomed. Pharmacother. 2017, 86, 620–627. [Google Scholar] [CrossRef]
- Allingham, R.R. Shield’s Textbook of Glaucoma; Lippincott Williams & Wilkins: Philadelphia, PA, USA, 2011; pp. 390–399. [Google Scholar]
- Asproni, B.; Manca, I.; Pinna, G.; Cichero, E.; Fossa, P.; Murineddu, G.; Lazzari, P.; Loriga, G.; Pinna, G.A. Novel pyrrolocycloalkylpyrazole analogues as CB1 ligands. Chem. Biol. Drug Des. 2018, 91, 181–193. [Google Scholar] [CrossRef]
- Murineddu, G.; Ruiu, S.; Mussinu, J.-M.; Loriga, G.; Grella, G.E.; Carai, M.A.M.; Lazzari, P.; Pani, L.; Pinna, G.A. Tricyclic pyrazoles. Part 2: Synthesis and biological evaluation of novel 4,5-dihydro-1H-benzo(g)indazole-based ligands for cannabinoid receptors. Bioorg. Med. Chem. 2005, 13, 3309–3320. [Google Scholar] [CrossRef]
- Barth, F.; Congy, C.; Martinez, S.; Rinaldi, M. Pyrazolecarboxylic acid tricyclic derivatives, preparation and pharmaceutical compositions containing same. U.S. Patent US2005/192332A1, 1 September 2005. [Google Scholar]
- Lazzari, P.; Ruiu, S.; Pinna, G.A.; Murineddu, G. Pharmaceutical compounds. U.S. Patent US7485730B2, 3 February 2009. [Google Scholar]
- Mastinu, A.; Pira, M.; Pani, L.; Pinna, G.A.; Lazzari, P. NESS038C6, a novel selective CB1 antagonist agent with anti-obesity activity and improved molecular profile. Behav. Brain Res. 2012, 234, 192–204. [Google Scholar] [CrossRef] [PubMed]
- Lazzari, P.; Distinto, R.; Manca, I.; Baillie, G.; Murineddu, G.; Pira, M.; Falzoi, M.; Sani, M.; Morales, P.; Ross, R.; et al. A critical review of both the synthesis approach and the receptor profile of the 8-chloro-1-(2′,4′-dichlorophenyl)-N-piperidin-1-yl-1,4,5,6-tetrahydrobenzo(6,7)cyclohepta(1,2-c)pyrazole-3-carboxamide and analogue derivatives. Eur. J. Med. Chem. 2016, 121, 194–208. [Google Scholar] [CrossRef]
- Stoit, A.R.; Lange, J.H.M.; Hartog, A.P.D.; Ronken, E.; Tipker, K.; van Stuivenberg, H.H.; Dijksman, J.A.R.; Wals, H.C.; Kruse, C.G. Design, Synthesis and Biological Activity of Rigid Cannabinoid CB1 Receptor Antagonists. Chem. Pharm. Bull. 2002, 50, 1109–1113. [Google Scholar] [CrossRef][Green Version]
- Zhang, Y.; Burgess, J.P.; Brackeen, M.; Gilliam, A.; Mascarella, S.W.; Page, K.; Seltzman, H.H.; Thomas, B.F. Conformationally constrained analogues of N-(piperidinyl)-5-(4-chlorophenyl)-1-(2,4-dichlorophenyl)-4-methyl-1H-pyrazole-3-carboxamide (SR141716): Design, synthesis, computational analysis, and biological evaluations. J. Med. Chem. 2008, 51, 3526–3539. [Google Scholar] [CrossRef] [PubMed]
- Meye, F.J.; Trezza, V.; Vanderschuren, L.J.M.J.; Ramakers, G.M.J.; Adan, R.A.H. Neutral antagonism at the cannabinoid 1 receptor: A safer treatment for obesity. Mol. Psyc. 2013, 18, 1294–1301. [Google Scholar] [CrossRef] [PubMed]
- Lange, J.H.M.; Kruse, C.G.; Shadid, B. Compounds with a Combination of Cannabinoids-CB1 Antagonism and Acetylcholinesterase Inhibition. U.S. Patent US2008/0153867A1, 26 June 2008. [Google Scholar]
- Antel, J.; Gregory, P.-C.; Lange, J.H.M.; Firnges, M.; Reiche, D. Pharmaceutical Compositions Comprising CBX Cannabinoid Receptor Modulators and Potassium Channel Modulators. U.S. Patent US2007/0254862A1, 1 November 2007. [Google Scholar]
- Firnges, M.; Gregory, P.-C.; Antel, J.; Lange, J.H.M.; Waldeck, H. Pharmaceutical Compositions Comprising CB1 Cannabinoid Receptor Antagonists and Potassium Channel Openers for the Treatment of Obesity and Related Conditions. U.S. Patent US2006/0128673A1, 15 June 2006. [Google Scholar]
- Ralston, S.H.; Greig, I.R.; Ross, R.A.; Mohamed, A.I.I.; Van’t Hof, R.J. Cannabinoid Receptor Inverse Agonists and Neutral Antagonists as Therapeutic Agents for the Treatment Of Bone Disorders. WO2004/078261A1, 16 September 2004. [Google Scholar]
- Bellingham, M. Method and agents for reducing general anaesthetic induced neuroexcitation. WO2018/094470A1, 31 May 2018. [Google Scholar]
- Jones, D. End of the line for cannabinoid receptor 1 as an anti-obesity target? Nat. Rev. Drug Discov. 2008, 7, 961–962. [Google Scholar] [CrossRef] [PubMed]
- Cinar, R.; Iyer, M.R.; Kunos, G. The therapeutic potential of second and third generation CB1R antagonists. Pharmacol. Ther. 2020, 208, 107477. [Google Scholar] [CrossRef]
- Nguyen, T.; Thomas, B.F.; Zhang, Y. Overcoming the Psychiatric Side Effects of the Cannabinoid CB1 Receptor Antagonists: Current Approaches for Therapeutics Development. Curr. Top. Med. Chem. 2019, 19, 1418–1435. [Google Scholar] [CrossRef]
- Murineddu, G.; Asproni, B.; Corona, P.; Piras, S.; Lazzari, P.; Ruiu, S.; Legnani, L.; Toma, L.; Pinna, G.A. Development of Oxygen-Bridged Pyrazole-Based Structures as Cannabinoid Receptor 1 Ligands. Molecules 2019, 24, 1656. [Google Scholar] [CrossRef]
- Lohray, B.B.; Lohray, V.B.; Srivastava, B. Novel Heterocyclic Compounds. WO2006/025069A2, 9 March 2006. [Google Scholar]
- Banerjee, K.; Jain, M.; Vallabh, A.; Srivastava, B.; Joharapurkar, A.; Patel, H. Synthesis and Biological Studies of a Novel CB1 Antagonist. Drug Res. 2015, 66, 33–40. [Google Scholar] [CrossRef] [PubMed]
- Mastinu, A.; Pira, M.; Pinna, G.A.; Pisu, C.; Casu, M.A.; Reali, R.; Marcello, S.; Murineddu, G.; Lazzari, P. NESS06M reduces body weight with an improved profile relative to SR141716A. Pharmacol. Res. 2013, 74, 94–108. [Google Scholar] [CrossRef]
- Lazzari, P.; Serra, V.; Marcello, S.; Pira, M.; Mastinu, A. Matabolic side effects induced by olanzapine treatment are neutralized by CB1 receptor antagonist compounds co-administration in female rats. Europ. Neuropsychopharmacol. 2017, 27, 667–678. [Google Scholar] [CrossRef] [PubMed]
- Fois, G.; Fattore, L.; Murineddu, G.; Salis, A.; Pintore, G.; Asproni, B.; Pinna, G.; Diana, M. The novel cannabinoid antagonist SM-11 reduces hedonic aspect of food intake through a dopamine-dependent mechanism. Pharmacol. Res. 2016, 113, 108–115. [Google Scholar] [CrossRef] [PubMed]
- Dore, A.; Asproni, B.; Scampuddu, A.; Gessi, S.; Murineddu, G.; Cichero, E.; Fossa, P.; Merighi, S.; Bencivenni, S.; Pinna, G.A. Synthesis, molecular modelling and SAR study of novel pyrazolo(5,1-f)(1,6)naphthyridines as CB2 receptor antagonists/inverse agonists. Bioorg. Med. Chem. 2016, 24, 5291–5301. [Google Scholar] [CrossRef] [PubMed]




















| Intraocular Pressure Decrease (%) | ||||||||||
|---|---|---|---|---|---|---|---|---|---|---|
| Time of Administration | Carrier | XIhZ | XNhZ | XHhX | WIN-55,212-2 | |||||
| (Minutes) | 20 µL | 40 µL | 50 µg | 100 µg | 50 µg | 100 µg | 50 µg | 100 µg | 50 µg | 100 µg |
| 30 | 0.1 | 0.3 | 15.9 | 23.9 | 2.9 | 22.2 | 3.0 | 16.6 | 4.3 | 23.1 |
| 60 | −0.1 | 0.0 | 15.0 | 22.8 | 2.2 | 22.4 | 2.0 | 14.0 | 3.0 | 21.3 |
| 90 | 0.2 | −0.2 | 12.6 | 19.6 | 0.8 | 25.0 | 0.5 | 11.2 | 2.0 | 18.1 |
| 120 | 0.0 | 0.0 | 11.7 | 21.7 | 1.5 | 16.7 | 11.7 | 21.7 | 1.9 | 13.2 |
Publisher’s Note: MDPI stays neutral with regard to jurisdictional claims in published maps and institutional affiliations. |
© 2021 by the authors. Licensee MDPI, Basel, Switzerland. This article is an open access article distributed under the terms and conditions of the Creative Commons Attribution (CC BY) license (https://creativecommons.org/licenses/by/4.0/).
Share and Cite
Asproni, B.; Murineddu, G.; Corona, P.; Pinna, G.A. Tricyclic Pyrazole-Based Compounds as Useful Scaffolds for Cannabinoid CB1/CB2 Receptor Interaction. Molecules 2021, 26, 2126. https://doi.org/10.3390/molecules26082126
Asproni B, Murineddu G, Corona P, Pinna GA. Tricyclic Pyrazole-Based Compounds as Useful Scaffolds for Cannabinoid CB1/CB2 Receptor Interaction. Molecules. 2021; 26(8):2126. https://doi.org/10.3390/molecules26082126
Chicago/Turabian StyleAsproni, Battistina, Gabriele Murineddu, Paola Corona, and Gérard A. Pinna. 2021. "Tricyclic Pyrazole-Based Compounds as Useful Scaffolds for Cannabinoid CB1/CB2 Receptor Interaction" Molecules 26, no. 8: 2126. https://doi.org/10.3390/molecules26082126
APA StyleAsproni, B., Murineddu, G., Corona, P., & Pinna, G. A. (2021). Tricyclic Pyrazole-Based Compounds as Useful Scaffolds for Cannabinoid CB1/CB2 Receptor Interaction. Molecules, 26(8), 2126. https://doi.org/10.3390/molecules26082126

