Abstract
We report a study of photoluminescent properties of 4-bromo-7-(3-pyridylamino)-2,1,3-benzothiadiazole (Py-btd) and its novel Lewis adducts: (PyH-btd)2(ZnCl4) and [Cu2Cl2(Py-btd)2{PPO}2]·2C7H8 (PPO = tetraphenyldiphosphine monoxide), whose crystal structure was determined by X-ray diffraction analysis. Py-btd exhibits a lifetime of 9 microseconds indicating its phosphorescent nature, which is rare for purely organic compounds. This phenomenon arises from the heavy atom effect: the presence of a bromine atom in Py-btd promotes mixing of the singlet and triplet states to allow efficient singlet-to-triplet intersystem crossing. The Lewis adducts also feature a microsecond lifetime while emitting in a higher energy range than free Py-btd, which opens up the possibility to color-tune luminescence of benzothiadiazole derivatives.
1. Introduction
Chalcogen–nitrogen heterocycles are actively studied owing to the prospects for their application in electronics [1,2] and biomedicine [3]. 2,1,3-benzothiadiazole (btd) is a common building block for such applications, featuring electron-withdrawing properties [4,5]. Functionalization of btd with donor substituents provides a way to create luminescent compounds, whose emission occurs owing to the push–pull effect [6,7,8]. In addition, btd derivatives are prone to secondary bonding interactions such as chalcogen bonding [9] and π–π stacking, which gives rise to the appearance of various photophysical effects: mechanochromism [10], solvatochromism [11], aggregation-induced emission [12], etc.
2,1,3-benzothiadiazole and, in particular, its amine derivatives are able to bind with Lewis acids owing to the donor N atoms of the heterocycle and amino group [13]. Further functionalization of the derivatives with donor groups allows one to expand the set of Lewis base centers [14]. For instance, a number of coordination compounds with btd ligands bearing diphenylphosphine [14,15], pyridyl [16,17], triazolyl and pyrazolyl [18] groups were synthesized.
4-bromo-7-(3-pyridylamino)-2,1,3-benzothiadiazole (Py-btd, 1), described recently [19], has a nitrogen atom in the pyridyl substituent, which is known to be a strong Lewis base center. This compound possesses mechanochromic luminescence in solid state, owing to the presence of hydrogen bonds between the amino group and the pyridyl, shortened S···N contacts and “head-to-tail” π–π interactions between benzothiadiazole units. Variation of Lewis acids bound with the pyridyl substituent of Py-btd would change the electronic structure of the molecule and secondary bonding interactions pattern in the crystal and, consequently, would result in different luminescent properties of a compound. Particularly, d10-metal ions, such as Zn(II) and Cu(I), are often used to modulate the luminescence of organic derivatives. They benefit for luminescent applications as earth-abundant nonprecious transition elements. Very recently, a number of Zn and Ag coordination compounds with different 4,7-dipyridyl-2,1,3-benzothiadiazoles was synthesized, and their photoluminescence was studied [20]. Acting as bitopic ligands, these 4,7-dipyridyl derivatives, however, do not comprise a heavy bromine atom. The latter can promote an efficient intersystem crossing in Py-btd and its adducts, which ensures their long emission lifetime.
We have synthesized two novel compounds, (PyH-btd)2(ZnCl4) (2) and [Cu2Cl2(Py-btd)2{PPO}2]·2C7H8 (3∙2C7H8) (PPO = tetraphenyldiphosphine monoxide) and studied their luminescent properties in comparison with compound 1. All the compounds exhibit microsecond lifetimes of the excited states, which is rarely observed for organic compounds.
2. Materials and Methods
2.1. General
Elemental analyses were performed on various MICRO cube instrument for C, H, N and S elements. IR-spectra were recorded on a Fourier IR spectrometer FT-801 (Simex) in KBr pellets. Diffuse-reflectance and photoluminescence spectra were recorded from solid samples on Shimadzu UV-3101 PL and Cary Eclipse spectrometers, respectively. Luminescence decay kinetics were studied on a Cary Eclipse with a Xenon flash lamp (80 Hz, ~2–3 µs pulse width) using an 80-µs delay time and a 50-µs gate time. For diffuse-reflectance spectra, samples were prepared by grinding compounds (0.005 g) with BaSO4 (0.200 g), which was used as standard. Diffuse-reflectance spectra were recalculated to absorbance spectra by Kubelka–Munk transformation [21].
2.2. Quantum-Chemical Calculations
All calculations were performed in Orca 4.2.1 [22]. Geometry of 1 was optimized by DFT with PBE0 functional [23] and a def2-TZVP(-f) basis set in a gaseous state without any constraints. Dispersion interactions were included by D3(BJ) corrections [24]. Vertical excitation energies were calculated by the TD-DFT method with the same DFT functional but including relativistic effects by the ZORA method and using a ZORA-def2-TZVP(-f) basis set. All calculations were accelerated by the RIJCOSX method [25]. Results of vertical excitation energies calculation were analyzed by TheoDORE 2.2 program [26].
2.3. Syntheses
Commercially available anhydrous ZnCl2 and CuCl and other chemicals were used without additional purification. Synthesis and purification of 4-bromo-7-(3-pyridylamino)-2,1,3-benzothiadiazole (1) and tetraphenydiphosphinooxide (PPO) were performed according to earlier described methods [19,27].
(PyH-btd)2(ZnCl4) (2)
Amounts of 50.0 mg (0.162 mmol) of 1 and 11.0 mg (0.0811 mmol) of ZnCl2 were dissolved in CHCl3 (5 mL) by stirring. Yellow precipitate was gradually formed. An amount of 20 μL of concentrated HCl was added and the mixture was stirred for 1 h. Solvent was evaporated under vacuum and precipitate was rinsed with CHCl3 and n-hexane and dried under vacuum. Yield 39.8 mg (60%). Calculated for C22H18Br2Cl4N8S2Zn (825.57): C 32.0, H 2.2, N 13.6, S 7.8. Measured: C 31.6, H 2.1, N 13.2, S 8.0. IR-spectrum (KBr, cm−1): 3375 (w), 3303 (w), 3156 (w), 3116 (m), 3072 (m), 2921 (w), 1627 (w), 1550 (s), 1484 (m), 1388 (m), 1336 (m), 1245 (w), 1110 (w), 1069 (w), 883 (m), 785 (m), 668 (m).
[Cu2Cl2(Py-btd)2{PPO}2]·2C7H8 (3∙2C7H8)
Amounts of 20.0 mg (0.0649 mmol) of 1, 25.2 mg (0.0652 mmol) PPO and 6.4 mg (0.0646 mmol) of CuCl were stirred in toluene (5 mL). The formed precipitate was centrifuged, rinsed with toluene and dried in a vacuum. Yield 38.0 mg (66%). Calc. for C70H56Br2Cl2Cu2N8O2P4S2·2C7H8 (1771.36): C 57.0, H 4.1, N 6.3, S 3.6. Measured: C 57.2, H 4.0, N 6.1, S 3.6. IR-spectrum (KBr, cm−1): 3245 (m), 3056 (m), 2926 (w), 2852 (w), 1635 (m), 1581 (s), 1550 (s), 1481 (s), 1432 (s), 1383 (s), 1302 (m), 1245 (w), 1339 (w), 1157 (s), 1094 (s), 1027 (w), 883 (w), 799 (m), 746 (s), 695 (s), 618 (w), 559 (m).
2.4. X-ray Diffraction Analyses
Single crystal XRD data for compounds 2 and 3 were collected at 150 K with a Bruker Apex DUO diffractometer equipped with a 4K CCD area detector and a graphite-monochromated sealed tube (Mo Kα radiation, λ = 0.71073 Å, mirror optics). Absorption corrections were applied with the use of the SADABS program [28]. The crystal structures were solved using SHELXT [29] and were refined using SHELXL [30] programs with OLEX2 GUI [31]. Atomic displacement parameters for non-hydrogen atoms were refined anisotropically. Hydrogen atoms were refined in the riding model with the exception of those of the amino group in 2, which were refined freely with the DFIX restraint on the corresponding N–H bonds. Even relatively large crystals of both 2 and 3·2C7H8 gave poor diffraction. Thus, the data were limited to 2 θ of 48.9°. In the case of 3·2C7H8, crystals tend towards intergrowth, and the structure was refined as a twin. This resulted in a relatively poor quality of the structure with the final R1 of 7.2%.
CCDC 2065425-2065426 contains the supplementary crystallographic data for this paper. These data can be obtained free of charge from the Cambridge Crystallographic Data Centre via www.ccdc.cam.ac.uk/data_request/cif accessed on 30 March 2021.
Powder XRD was carried at 150 K with a Bruker D8 Venture with a CMOS PHOTON III detector and IµS 3.0 source (CuKα radiation, mirror optics). The samples were prepared by grinding the powders and loading them into 0.5-mm diameter glass capillaries. Diffraction patterns with continuous diffraction arcs were obtained by the φ-scanning method (360°). To improve the powder orientation statistics, 5 scans were taken at different positions of the goniometer along ω from −240° to 0°. Correction for an external standard (Si) and integration were carried out using the Dioptas program [32]. Experimental and simulated XRD patterns were compared using a Topas Academic version 6 software package [33].
3. Results and Discussion
3.1. Synthesis and Structure
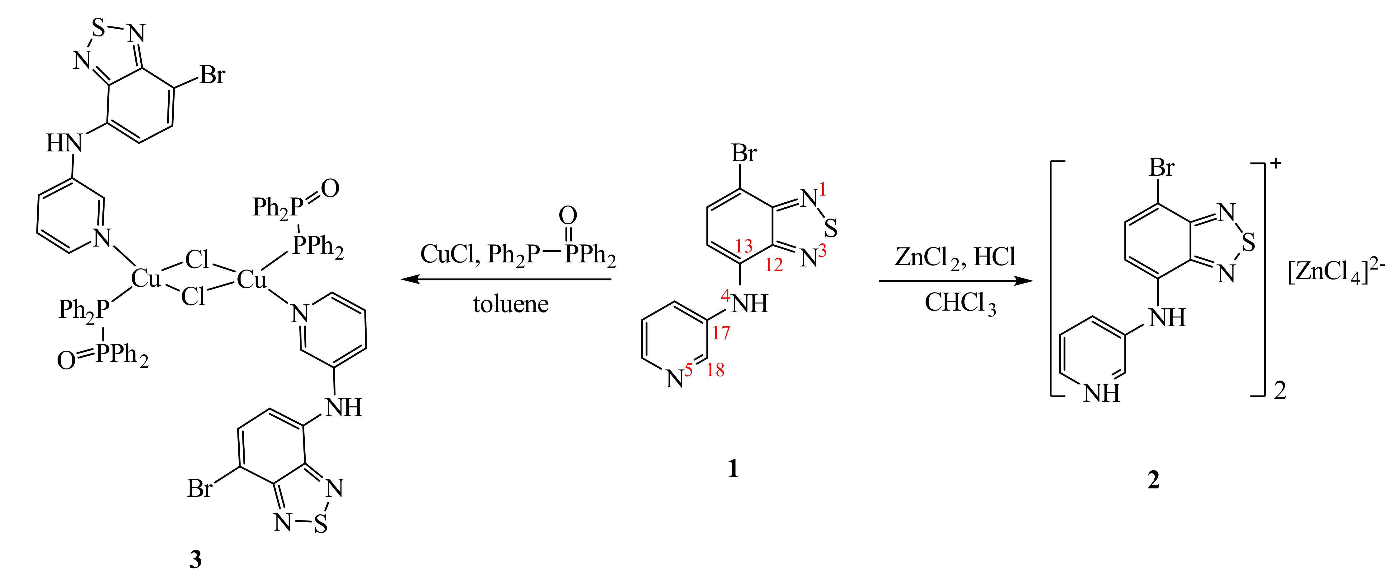
The reaction between compound 1 and ZnCl2 in chloroform results in the salt (PyH-btd)2(ZnCl4) (2), in which the benzothiadiazole Py-btd presents in the protonated form PyH-btd+ (Scheme 1, Figure 1). In this reaction, protonation of Py-btd at the nitrogen atom of the pyridyl group occurs due to the hydrochloric acid present in the solvent. Crystals suitable for XRD analysis were obtained by slow evaporation of a solution in methylene chloride. The target compound 2 in 60% yield was prepared by adding hydrochloric acid to the reaction mixture in chloroform. Protonated PyH-btd+ in the compound is not coordinated to zinc atom; the latter is surrounded by four chlorides and acts as a counterion. Despite the amino-benzothiadiazole moiety containing three donor N atoms, they do not coordinate the ZnCl3– fragment (formed from ZnCl2 and one equivalent of HCl), and a zwitterionic complex [Zn(PyH-btd)Cl3] does not form for steric and/or electronic reasons. N1 and N3 atoms of the thiadiazole (for atoms numbering, see Scheme 1) have an interfering steric effect on the Br and (N)H atoms, respectively. The N4 atom of the amino group probably lacks donor strength to coordinate with the Zn2+ ion. The possible chelate coordination of the amino-benzothiadiazole moiety via N3 and N4 atoms is unfavorable, as discussed earlier for archetype 4-amino-2,1,3-benzothiadiazole [34]. Thus, in the case of the N5 site occupied by H+, the ZnCl3– fragment prefers to attach one more Cl– from HCl to form ZnCl42– rather than coordinate to PyH-btd+, although such complexes with positively charged N-donor ligands are quite common [35,36].
Scheme 1.
Synthesis of compounds 2 and 3∙2C7H8.
Figure 1.
Structure of compounds 2 and 3∙2C7H8.
The reaction between 1, tetraphenyldiphosphine monoxide (PPO), and copper(I) chloride in toluene gave the heteroligand coordination compound [Cu2Cl2(Py-btd)2{PPO}2]·2C7H8 (3∙2C7H8) (Scheme 1). Crystals suitable for XRD analysis were obtained by extraction of the substance with toluene in a two-section ampoule. The compound comprises binuclear complex 3, in which Cu atoms are bound by bridging Cl atoms. Two Py-btd ligands are coordinated via the N5 atoms of the pyridyl unit, while the PPO ligand is coordinated via the trivalent phosphorus atom.
Powder diffraction patterns for samples of 2 and 3∙2C7H8 (Figures S1 and S2) agree well with those simulated from single crystal XRD data, indicating the phase purity of the compounds.
All bond lengths in compounds 2 and 3∙2C7H8 lie in the expected range, while the bonds of the Py-btd unit are close to those in compound 1 [19]. Torsion angles C12–C13–N4–C17 for 1-3 are close to 180° (Table 1) owing to the conjugation of the amino group with the aromatic system of btd. The geometry of the Py-btd unit is similar in 1,2 and differs from that in 3∙2C7H8 mainly by the torsion C13–N4–C17–C18 angle; however, the tilt of the pyridyl group relative to the amino-benzothiadiazole is similar in all the structures up to a change of place of N5 and C20 atoms.
Table 1.
Dihedral angles (deg.) and shortened intermolecular contacts (Å) for the 4-bromo-7-(3-pyridylamino)-2,1,3-benzothiadiazole (Py-btd) unit in compounds 1 [19], 2 and 3∙2C7H8. For atom numbering, see Scheme 1.
In crystal 2, PyH-btd+ cations are engaged in “head-to-tail” π–π stacking in tetramers, which, in turn, form a parquet pattern (Figure 2). In addition, the structure reveals intermolecular hydrogen bonds N4H···Cl and shortened contacts S···Cl and Br···Br. The structure 3∙2C7H8 reveals π–π interaction between the btd unit and one of phenyl groups, intermolecular hydrogen bonds N4H···O and shortened contacts S···N (Figure 3). In 3∙2C7H8, no specific interactions with Br atoms were found.

Figure 2.
Crystal packing of 2 showing (a) π–π interactions (orange dashed lines) and (b) Br···Br (brown dashed lines), S···Cl contacts (green dashed lines) and N4H···Cl hydrogen bonds (blue dashed lines). Hydrogens except those participating in the hydrogen bonds are not shown.

Figure 3.
Crystal packing of 3∙2C7H8 showing (a) π–π interactions (orange dashed lines) and N4H···O hydrogen bonds (red dashed lines) and (b) S···N4 contacts (green dashed lines). Toluene molecules and hydrogens except those participating in the hydrogen bonds are not shown.
3.2. Photophysical Properties
For compounds 2 and 3∙2C7H8 in the solid state (polycrystalline samples for luminescence studies and a mixture with BaSO4 for UV-vis), the UV-vis (Figure 4) and photoluminescence (Figure 5) spectra were measured. Compared to compound 1 [19], the shape of UV-vis spectra for 2 and 3∙2C7H8 differs slightly (Table 2). They are characterized by a broad high-energy band at ca. 260–320 nm and a low-energy band at ca. 450 nm.
Figure 4.
UV-Vis spectra of the solid samples of 1 (black) [19], 2 (red), and 3∙2C7H8 (blue) mixed with BaSO4, presented in the form of Kubelka–Munk (K–M) functions; the intensities are recalculated to 0.005 mole fraction of the compounds. Black vertical lines represent calculated TD-DFT transitions (ZORA-PBE0/def2-TZVP(-f)) for 1.
Figure 5.
Normalized steady-state (solid lines) and delayed (100 μs) excitation and emission spectra of solid samples 2,3.
Table 2.
Photophysical properties of compounds 1 [19], 2 and 3∙2C7H8.
According to the TD-DFT calculation on the ZORA-PBE0/def2-TZVP(-f) theory level (Table 3, Figure 6), the lowest energy absorption band of 1 at 455 nm corresponds mainly to a transition between the HOMO and LUMO, with intermediate character between charge transfer from pyridyl and Br to btd fragments and local excitation (Figure 6), as indicated by charge transfer (CT) number (Table 3). However, such transitions in related compounds are often referred to as charge transfer [37,38,39]. Multiple bands at ca. 270–300 correspond to a combination of promotions from HOMO, HOMO–1, and HOMO–2 to LUMO, LUMO+1 and LUMO+2.
Table 3.
Main transitions in Py-btd molecule. f–oscillator strength, H—HOMO, L—LUMO, CT—charge transfer number *.
Figure 6.
Frontier orbitals of 1 based on ZORA-PBE0/def2-TZVP(-f) calculation (isovalue = 0.02 a.u.).
Upon UV- or blue light irradiation, the compounds emit light in the visible region. Emission maximum hypsochromically shifts by 35 and 48 nm on going from 1 to 2 and to 3∙2C7H8, respectively. Unexpectedly, compound 1 exhibits a microsecond order of luminescence lifetime at room temperature, which is not typical for purely organic substances [40,41] and indicates a triplet origin of the excited state. Delayed luminescence spectra of all compounds overlap well with the steady-state spectra (Figure 5), indicating that the transition occurs from one emitting species. The relatively long lifetime, similar for 1–3, apparently originates from the heavy atom effect. The presence of a heavy atom, e.g., bromine, in the compounds promotes the intersystem crossing (ISC) process that occurs between the excited singlet and the triplet excited state [42,43]. To the best of our knowledge, only two works have been reported on purely organic phosphorescent Br-substituted 2,1,3-benzothiadiazoles [44,45], and a few more works have been devoted to organic non-bromine 2,1,3-benzothiadiazoles showing microsecond lifetimes [46,47,48]. Metal-containing phosphorescent benzothiadiazoles are more abundant, but examples of metals are predominantly represented by precious Pt(II) [49,50,51], Au(III) [52], Au(I) [53], Ir(III) [54,55] and Ru(II) [56].
4. Conclusions
To sum up, we modulated optical features of 4-bromo-7-(3-pyridylamino)-2,1,3-benzothiadiazole (Py-btd, 1) by introducing Lewis acids, viz H+ and Cu+. The corresponding novel compounds (PyH-btd)2(ZnCl4) (2) and [Cu2Cl2(Py-btd)2{PPO}2]·2C7H8 (3·2C7H8; PPO = tetraphenyldiphosphine monoxide) were characterized by single crystal X-ray diffraction analysis and other physical–chemical methods. Unexpectedly, free Py-btd exhibits a microsecond order of luminescence lifetime at room temperature, which is not typical for purely organic substances and indicates a triplet origin of the excited state. The efficient singlet-to-triplet intersystem crossing, essential for a long-lifetime emission, is governed by the heavy atom effect. In our case, the heavy atom is bromine. Both Lewis adducts 2 and 3·2C7H8 also possess a microsecond lifetime. As compared to free Py-btd, they reveal a noticeable hypsochromic shift of the emission band (with the energy difference of ca. 1000 and 1450 cm−1 for 2 and 3·2C7H8, respectively), associated with the electronic influence of the Lewis acids. This motivates further design of phosphorescent benzothiadiazoles and their Lewis acid adducts.
Supplementary Materials
The following are available online. Table S1: Crystal data and struc-ture refinement for 2–3. Figures S1 and S2: experimental and simulated powder diffraction pat-terns for 2–3.
Author Contributions
Conceptualization, S.N.K.; funding acquisition, T.S.S.; investigation, R.M.K. and T.S.S.; methodology, T.S.S.; supervision, S.N.K.; visualization; R.M.K. and T.S.S.; writing—original draft, R.M.K.; writing—review and editing: S.N.K. and T.S.S. All authors have read and agreed to the published version of the manuscript.
Funding
This research was funded by the Russian Science Foundation (project no. 19-73-00030).
Institutional Review Board Statement
Not applicable.
Informed Consent Statement
Not applicable.
Data Availability Statement
Not applicable.
Acknowledgments
We are grateful to Siberian Supercomputer Center of Institute of Computational Mathematics and Mathematical Geophysics for computational capability and thank the technical staff of the Institute for the assistance. We also thank XRD and Analytical Facility of NIIC SB RAS for the data collection.
Conflicts of Interest
The authors declare no conflict of interest. The funders had no role in the design of the study; in the collection, analyses, or interpretation of data; in the writing of the manuscript, or in the decision to publish the results.
Sample Availability
Samples of compounds 1–3 are available from the authors.
References
- Godfroy, M.; Liotier, J.; Mwalukuku, V.M.; Joly, D.; Huaulmé, Q.; Cabau, L.; Aumaitre, C.; Kervella, Y.; Narbey, S.; Oswald, F.; et al. Benzothiadiazole-based photosensitizers for efficient and stable dye-sensitized solar cells and 8.7% efficiency semi-transparent mini-modules. Sustain. Energy Fuels 2021, 5, 144–153. [Google Scholar] [CrossRef]
- Li, Y.; Qian, Q.; Ling, S.; Fan, T.; Zhang, C.; Zhu, X.; Zhang, Q.; Zhang, Y.; Zhang, J.; Yu, S.; et al. A benzothiadiazole-containing π-conjugated small molecule as promising element for nonvolatile multilevel resistive memory device. J. Solid State Chem. 2021, 294, 121850. [Google Scholar] [CrossRef]
- Neto, B.A.D.; Carvalho, P.H.P.R.; Correa, J.R. Benzothiadiazole Derivatives as Fluorescence Imaging Probes: Beyond Classical Scaffolds. Acc. Chem. Res. 2015, 48, 1560–1569. [Google Scholar] [CrossRef]
- Pritchina, E.A.; Gritsan, N.P.; Rakitin, O.A.; Zibarev, A.V. 2,1,3-Benzochalcogenadiazoles: Regularities and peculiarities over a whole chalcogen pentad O, S, Se, Te and Po. Targets Heterocycl. Syst. 2019, 23, 143–154. [Google Scholar] [CrossRef]
- Rakitin, O.A. Fused 1,2,5-thia- and 1,2,5-selenadiazoles: Synthesis and application in materials chemistry. Tetrahedron Lett. 2020, 61, 152230. [Google Scholar] [CrossRef]
- Martín, R.; Prieto, P.; Carrillo, J.R.; Rodríguez, A.M.; De Cozar, A.; Boj, P.G.; Díaz-García, M.A.; Ramírez, M.G. Design, synthesis and amplified spontaneous emission of 1,2,5-benzothiadiazole derivatives. J. Mater. Chem. C 2019, 7, 9996–10007. [Google Scholar] [CrossRef]
- Wang, Z.; Wang, Z.; Lu, P.; Wang, Y. Preparation and Photoluminescent Properties of Three 5-Amino Benzothiadiazoles (5-amBTDs). Chem. Asian J. 2020, 15, 3519–3526. [Google Scholar] [CrossRef] [PubMed]
- Korshunov, V.M.; Chmovzh, T.N.; Golovanov, I.S.; Knyazeva, E.A.; Mikhalchenko, L.V.; Saifutyarov, R.S.; Avetisov, I.C.; Woollins, J.D.; Taydakov, I.V.; Rakitin, O.A. Candle light-style OLEDs with benzochalcogenadiazoles cores. Dye. Pigment. 2021, 185, 108917. [Google Scholar] [CrossRef]
- Chulanova, E.A.; Radiush, E.A.; Shundrina, I.K.; Bagryanskaya, I.Y.; Semenov, N.A.; Beckmann, J.; Gritsan, N.P.; Zibarev, A.V. Lewis Ambiphilicity of 1,2,5-Chalcogenadiazoles for Crystal Engineering: Complexes with Crown Ethers. Cryst. Growth Des. 2020, 20, 5868–5879. [Google Scholar] [CrossRef]
- Gautam, P.; Maragani, R.; Mobin, S.M.; Misra, R. Reversible mechanochromism in dipyridylamine-substituted unsymmetrical benzothiadiazoles. RSC Adv. 2014, 4, 52526–52529. [Google Scholar] [CrossRef]
- Shimogawa, H.; Yoshikawa, O.; Aramaki, Y.; Murata, M.; Wakamiya, A.; Murata, Y. 4,7-Bis[3-(dimesitylboryl)thien-2-yl]benzothiadiazole: Solvato-, Thermo-, and Mechanochromism Based on the Reversible Formation of an Intramolecular B−N Bond. Chem. A Eur. J. 2017, 23, 3784–3791. [Google Scholar] [CrossRef] [PubMed]
- Pazini, A.; Maqueira, L.; Santos, F.D.S.; Barreto, A.R.J.; Carvalho, R.D.S.; Valente, F.M.; Back, D.; Aucélio, R.Q.; Cremona, M.; Rodembusch, F.S.; et al. Designing highly luminescent aryloxy-benzothiadiazole derivatives with aggregation-induced enhanced emission. Dye. Pigment. 2020, 178, 108377. [Google Scholar] [CrossRef]
- Sukhikh, T.S.; Ogienko, D.S.; Bashirov, D.A.; Konchenkoa, S.N. Luminescent complexes of 2,1,3-benzothiadiazole derivatives. Russ. Chem. Bull. 2019, 68, 651–661. [Google Scholar] [CrossRef]
- Sukhikh, T.S.; Khisamov, R.M.; Bashirov, D.A.; Komarov, V.Y.; Molokeev, M.S.; Ryadun, A.A.; Benassi, E.; Konchenko, S.N. Tuning of the Coordination and Emission Properties of 4-Amino-2,1,3-Benzothiadiazole by Introduction of Diphenylphosphine Group. Cryst. Growth Des. 2020, 20, 5796–5807. [Google Scholar] [CrossRef]
- Khisamov, R.; Sukhikh, T.; Bashirov, D.; Ryadun, A.; Konchenko, S. Structural and Photophysical Properties of 2,1,3-Benzothiadiazole-Based Phosph(III)azane and Its Complexes. Molecules 2020, 25, 2428. [Google Scholar] [CrossRef]
- Jiang, Q.-J.; Lin, J.-Y.; Hu, Z.-J.; Hsiao, V.K.S.; Chung, M.-Y.; Wu, J.-Y. Luminescent Zinc(II) Coordination Polymers of Bis(pyridin-4-yl)benzothiadiazole and Aromatic Polycarboxylates for Highly Selective Detection of Fe(III) and High-Valent Oxyanions. Cryst. Growth Des. 2021. [Google Scholar] [CrossRef]
- Shen, K.; Ju, Z.; Qin, L.; Wang, T.; Zheng, H. Two stable 3D porous metal-organic frameworks with high selectivity for detection of PA and metal ions. Dyes Pigm. 2017, 136, 515–521. [Google Scholar] [CrossRef]
- Qiu, C.-Q.; Li, L.-Q.; Yao, S.-L.; Liu, S.-J.; Xu, H.; Zheng, T.-F. Two benzothiadiazole-based compounds as multifunctional fluorescent sensors for detection of organic amines and anions. Polyhedron 2021, 199, 115100. [Google Scholar] [CrossRef]
- Sukhikh, T.S.; Khisamov, R.M.; Bashirov, D.A.; Kovtunova, L.M.; Kuratieva, N.V.; Konchenko, S.N. Substituent Effect on the Structure and Photophysical Properties of Phenylamino- and Pyridylamino-2,1,3-Benzothiadiazoles. J. Struct. Chem. 2019, 60, 1670–1680. [Google Scholar] [CrossRef]
- Mocanu, T.; Plyuta, N.; Cauchy, T.; Andruh, M.; Avarvari, N. Dimensionality Control in Crystalline Zinc(II) and Silver(I) Complexes with Ditopic Benzothiadiazole-Dipyridine Ligands. Chemistry 2021, 3, 269–287. [Google Scholar] [CrossRef]
- Kubelka, P. New Contributions to the Optics of Intensely Light-Scattering Materials Part I. J. Opt. Soc. Am. 1948, 38, 448. [Google Scholar] [CrossRef] [PubMed]
- Neese, F. Software update: The ORCA program system, version 4.0. Wiley Interdiscip. Rev. Comput. Mol. Sci. 2018, 8, 8. [Google Scholar] [CrossRef]
- Adamo, C.; Barone, V. Toward reliable density functional methods without adjustable parameters: The PBE0 model. J. Chem. Phys. 1999, 110, 6158–6170. [Google Scholar] [CrossRef]
- Grimme, S.; Ehrlich, S.; Goerigk, L. Effect of the damping function in dispersion corrected density functional theory. J. Comput. Chem. 2011, 32, 1456–1465. [Google Scholar] [CrossRef]
- Neese, F.; Wennmohs, F.; Hansen, A.; Becker, U. Efficient, approximate and parallel Hartree–Fock and hybrid DFT calculations. A ‘chain-of-spheres’ algorithm for the Hartree–Fock exchange. Chem. Phys. 2009, 356, 98–109. [Google Scholar] [CrossRef]
- Plasser, F. TheoDORE: A toolbox for a detailed and automated analysis of electronic excited state computations. J. Chem. Phys. 2020, 152, 084108. [Google Scholar] [CrossRef]
- McKechnie, J.; Payne, D.S.; Sim, W. Tetraphenyldiphosphine monoxide. J. Chem. Soc. 1965, 3500–3501. [Google Scholar] [CrossRef]
- Bruker Apex3 Software Suite: Apex3, SADABS-2016/2 and SAINT, Version 2017.3-0; Bruker AXS Inc.: Madison, WI, USA, 2017.
- Sheldrick, G.M. SHELXT- Integrated space-group and crystal-structure determination. Acta Cryst. 2015, 71, 3–8. [Google Scholar] [CrossRef]
- Sheldrick, G.M. Crystal structure refinement with SHELXL. Acta Cryst. 2015, 71, 3–8. [Google Scholar] [CrossRef]
- Dolomanov, O.V.; Bourhis, L.J.; Gildea, R.J.; Howard, J.A.K.; Puschmann, H. OLEX2: A complete structure solution, refinement and analysis program. J. Appl. Crystallogr. 2009, 42, 339–341. [Google Scholar] [CrossRef]
- Prescher, C.; Prakapenka, V.B. DIOPTAS: A program for reduction of two-dimensional X-ray diffraction data and data exploration. High Press. Res. 2015, 35, 223–230. [Google Scholar] [CrossRef]
- Coelho, A.A. TOPASandTOPAS-Academic: An optimization program integrating computer algebra and crystallographic objects written in C++. J. Appl. Crystallogr. 2018, 51, 210–218. [Google Scholar] [CrossRef]
- Sukhikh, T.; Komarov, V.; Konchenko, S.; Benassi, E. The hows and whys of peculiar coordination of 4-amino-2,1,3-benzothiadiazole. Polyhedron 2018, 139, 33–43. [Google Scholar] [CrossRef]
- Zehra, S.; Tabassum, S.; Al-Lohedan, H.A.; Arjmand, F. A zwitterionic Zn(II) benzothiazole nanohybrid conjugate as hydrolytic DNA cleavage agent. Inorg. Chem. Commun. 2018, 93, 69–72. [Google Scholar] [CrossRef]
- Pons, R.; Ibáñez, C.; Buades, A.B.; Franconetti, A.; Garcia-Raso, A.; Fiol, J.J.; Terrón, A.; Molins, E.; Frontera, A. Synthesis, X-ray characterization and density functional theory studies of N 6 -benzyl-N 6 -methyladenine–M(II) complexes (M = Zn, Cd): The prominent role of π–π, C–H···π and anion–π interactions. Appl. Organomet. Chem. 2019, 33, e4906. [Google Scholar] [CrossRef]
- Medeiros, G.A.; Correa, J.R.; De Andrade, L.P.; Lopes, T.O.; De Oliveira, H.C.; Diniz, A.B.; Menezes, G.B.; Rodrigues, M.O.; Neto, B.A. A benzothiadiazole-quinoline hybrid sensor for specific bioimaging and surgery procedures in mice. Sens. Actuators B Chem. 2021, 328, 128998. [Google Scholar] [CrossRef]
- Baranov, D.S.; Krivenko, O.L.; Kazantsev, M.S.; Nevostruev, D.A.; Kobeleva, E.S.; Zinoviev, V.A.; Dmitriev, A.A.; Gritsan, N.P.; Kulik, L.V. Synthesis of 2,2′-[2,2′-(arenediyl)bis(anthra[2,3-b]thiophene-5,10-diylidene)]tetrapropanedinitriles and their performance as non-fullerene acceptors in organic photovoltaics. Synth. Met. 2019, 255, 116097. [Google Scholar] [CrossRef]
- Passos, S.T.; Souza, G.C.; Brandão, D.C.; Machado, D.F.; Grisolia, C.K.; Correia, J.R.; da Silva, W.A.; Neto, B.A. Plasma membrane staining with fluorescent hybrid benzothiadiazole and coumarin derivatives: Tuning the cellular selection by molecular design. Dye. Pigment. 2021, 186, 109005. [Google Scholar] [CrossRef]
- Jia, W.; Wang, Q.; Shi, H.; An, Z.; Huang, W. Manipulating the Ultralong Organic Phosphorescence of Small Molecular Crystals. Chem. A Eur. J. 2019, 26, 4437–4448. [Google Scholar] [CrossRef]
- Zhan, G.; Liu, Z.; Bian, Z.; Huang, C. Recent Advances in Organic Light-Emitting Diodes Based on Pure Organic Room Temperature Phosphorescence Materials. Front. Chem. 2019, 7, 305. [Google Scholar] [CrossRef]
- Li, Q.; Tang, Y.; Hu, W.; Li, Z. Fluorescence of Nonaromatic Organic Systems and Room Temperature Phosphorescence of Organic Luminogens: The Intrinsic Principle and Recent Progress. Small 2018, 14, e1801560. [Google Scholar] [CrossRef] [PubMed]
- Liu, C.; Hamzehpoor, E.; Sakai-Otsuka, Y.; Jadhav, T.; Perepichka, D.F. A Pure-Red Doublet Emission with 90 % Quantum Yield: Stable, Colorless, Iodinated Triphenylmethane Solid. Angew. Chem. 2020, 132, 23230–23234. [Google Scholar] [CrossRef]
- Shi, H.; Zou, L.; Huang, K.; Wang, H.; Sun, C.; Wang, S.; Ma, H.; He, Y.; Wang, J.; Yu, H.-D.; et al. A Highly Efficient Red Metal-free Organic Phosphor for Time-Resolved Luminescence Imaging and Photodynamic Therapy. ACS Appl. Mater. Interfaces 2019, 11, 18103–18110. [Google Scholar] [CrossRef] [PubMed]
- Gutierrez, G.D.; Sazama, G.T.; Wu, T.C.; Baldo, M.A.; Swager, T.M. Red Phosphorescence from Benzo[2,1,3]thiadiazoles at Room Temperature. J. Org. Chem. 2016, 81, 4789–4796. [Google Scholar] [CrossRef] [PubMed]
- He, G.; Du, L.; Gong, Y.; Liu, Y.; Yu, C.; Wei, C.; Yuan, W.Z. Crystallization-Induced Red Phosphorescence and Grinding-Induced Blue-Shifted Emission of a Benzobis(1,2,5-thiadiazole)–Thiophene Conjugate. ACS Omega 2019, 4, 344–351. [Google Scholar] [CrossRef] [PubMed]
- Zhu, Z.; Tian, D.; Gao, P.; Wang, K.; Li, Y.; Shu, X.; Zhu, J.; Zhao, Q. Cell-Penetrating Peptides Transport Noncovalently Linked Thermally Activated Delayed Fluorescence Nanoparticles for Time-Resolved Luminescence Imaging. J. Am. Chem. Soc. 2018, 140, 17484–17491. [Google Scholar] [CrossRef]
- Mohanty, M.E.; Madhu, C.; Reddy, V.L.; Paramasivam, M.; Bangal, P.R.; Rao, V.J. Direct observation of the rise of delayed fluorescence in dithienylbenzothiadiazole and its role in the excited state dynamics of a donor–acceptor–donor molecule. Phys. Chem. Chem. Phys. 2017, 19, 9118–9127. [Google Scholar] [CrossRef]
- Livshits, M.Y.; He, W.; Zhang, Z.; Qin, Y.; Rack, J.J. Triplet Excited-State Energetics and Dynamics in Molecular “Roller Wheels”. J. Phys. Chem. C 2019, 123, 16556–16564. [Google Scholar] [CrossRef]
- Goswami, S.; Winkel, R.W.; Schanze, K.S. Photophysics and Nonlinear Absorption of Gold(I) and Platinum(II) Donor–Acceptor–Donor Chromophores. Inorg. Chem. 2015, 54, 10007–10014. [Google Scholar] [CrossRef]
- Zhang, Y.; Chen, Z.; Wang, X.; He, J.; Wu, J.; Liu, H.; Song, J.; Qu, J.; Chan, W.T.-K.; Wong, W.-Y. Achieving NIR Emission for Donor–Acceptor Type Platinum(II) Complexes by Adjusting Coordination Position with Isomeric Ligands. Inorg. Chem. 2018, 57, 14208–14217. [Google Scholar] [CrossRef]
- Chan, K.T.; Tong, G.S.M.; To, W.-P.; Yang, C.; Du, L.; Phillips, D.L.; Che, C.-M. The interplay between fluorescence and phosphorescence with luminescent gold(i) and gold(iii) complexes bearing heterocyclic arylacetylide ligands. Chem. Sci. 2016, 8, 2352–2364. [Google Scholar] [CrossRef] [PubMed]
- Islam, S.N.; Sil, A.; Patra, S.K. Achieving yellow emission by varying the donor/acceptor units in rod-shaped fluorenyl-alkynyl based?-conjugated oligomers and their binuclear gold(i) alkynyl complexes. Dalton Trans. 2017, 46, 5918–5929. [Google Scholar] [CrossRef] [PubMed]
- Chen, Q.; Liu, N.; Ying, L.; Yang, W.; Wu, H.; Xu, W.; Cao, Y. Novel white-light-emitting polyfluorenes with benzothiadiazole and Ir complex on the backbone. Polymer 2009, 50, 1430–1437. [Google Scholar] [CrossRef]
- Sun, L.; Chen, Y.; Kuang, S.; Li, G.; Guan, R.; Liu, J.; Ji, L.; Chao, H. Iridium(III) Anthraquinone Complexes as Two-Photon Phosphorescence Probes for Mitochondria Imaging and Tracking under Hypoxia. Chem. A Eur. J. 2016, 22, 8955–8965. [Google Scholar] [CrossRef] [PubMed]
- Smithen, D.A.; Monro, S.; Pinto, M.; Roque, J.; Diaz-Rodriguez, R.M.; Yin, H.; Cameron, C.G.; Thompson, A.; McFarland, S.A. Bis[pyrrolyl Ru(ii)] triads: A new class of photosensitizers for metal–organic photodynamic therapy. Chem. Sci. 2020, 11, 12047–12069. [Google Scholar] [CrossRef] [PubMed]
Publisher’s Note: MDPI stays neutral with regard to jurisdictional claims in published maps and institutional affiliations. |
© 2021 by the authors. Licensee MDPI, Basel, Switzerland. This article is an open access article distributed under the terms and conditions of the Creative Commons Attribution (CC BY) license (https://creativecommons.org/licenses/by/4.0/).








