Design, Synthesis and Anticancer Activity of New Polycyclic: Imidazole, Thiazine, Oxathiine, Pyrrolo-Quinoxaline and Thienotriazolopyrimidine Derivatives
Abstract
1. Introduction
2. Results and Discussion
2.1. Synthesis
2.2. Biological Activities
2.2.1. Anticancer Screening (In Vitro Cytotoxicity)
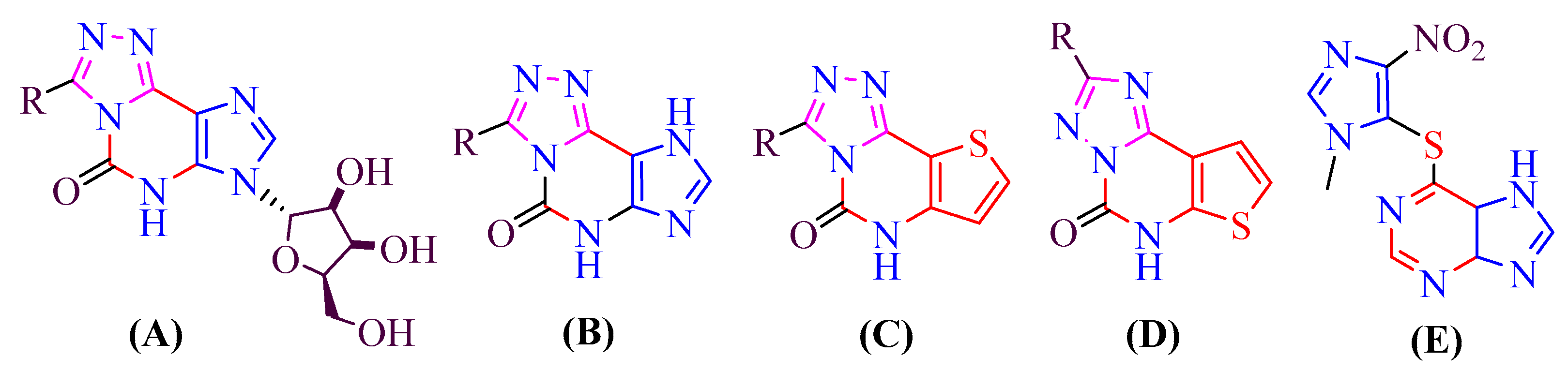
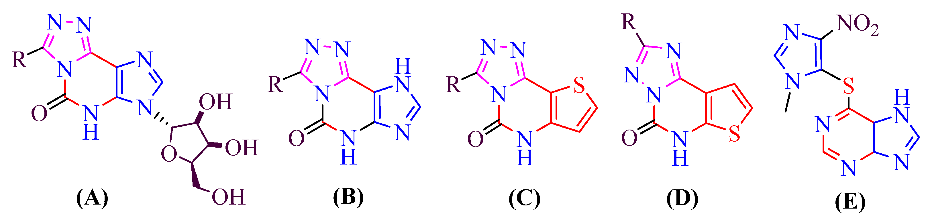
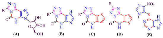
2.2.2. Structural Activity Relationship (SAR)
3. Experimental Section
3.1. General Information
3.2. Synthesis of 2,3-Diamino-6-Benzoyl-5-Methylthieno[2,3-d]Pyrimidin-4(3H)-One (3)
3.3. Synthesis of 2-(4-Aminophenyl)-6-Benzoyl-7-Methylthieno[2,3-d][1,2,4]Triazolo[1,5-a]Pyrimidin-8(3H)-One (4)
3.4. Synthesis of N-(4-(3-Acetyl-6-Benzoyl-7-Methyl-8-oxo-3,8-Dihydrothieno[2,3-d][1,2,4] Triazolo[1,5-a]Pyrimidin-2-yl)Phenyl) Acetamide (5)
3.5. General Procedure for Synthesis of 6-Benzoyl-2-(4-Substituted-Phenyl)-7-Methylthieno[2,3-d][1,2,4]Triazolo[1,5-a]Pyrimidin-8(3H)-One (6a–c)
3.6. Synthesis of 6-Benzoyl-7-Methyl-2-Phenylthieno[2,3-d][1,2,4]Triazolo[1,5-a]Pyrimidin-8(3H)-One (6a)
3.7. Synthesis of 6-Benzoyl-2-(4-Chlorophenyl)-7-Methylthieno[2,3-d][1,2,4]Triazolo[1,5-a]Pyrimidin-8(3H)-One (6b)
3.8. Synthesis of 6-Benzoyl-2-(4-Methoxyphenyl)-7-Methylthieno[2,3-d][1,2,4]Triazolo[1,5-a]Pyrimidin-8(3H)-One (6c)
3.9. Synthesis of 6-Benzoyl-7-Methyl-2-(Phenylamino)Thieno[2,3-d][1,2,4]Triazolo[1,5-a]Pyrimidin-8(3H)-One (7)
3.10. Synthesis of 6-Benzoyl-7-Methylthieno[2,3-d][1,2,4]Triazolo[1,5-a]Pyrimidine-2,8(1H,3H)-Dione (8)
3.11. Synthesis of 6-Benzoyl-2-Mercapto-7-Methylthieno[2,3-d][1,2,4]Triazolo[1,5-a]Pyrimidin-8(3H)-One (9)
3.12. Synthesis of 6-Benzoyl-2-(Chloromethyl)-7-Methylthieno[2,3-d][1,2,4]Triazolo[1,5-a]Pyrimidin-8(3H)-One (10)
3.13. Synthesis of 6-Benzoyl-2-(((6-Benzoyl-7-Methyl-8-oxo-3,8-Dihydrothieno[2,3-d][1,2,4]Triazolo[1,5-a]Pyrimidin-2-yl)Methyl)thio)-7-Methylthieno[2,3-d][1,2,4]Triazolo[1,5-a]Pyrimidin-8(3H)-One (11)
3.14. Synthesis of 6-Benzoyl-2-(Mercaptomethyl)-7-Methylthieno[2,3-d][1,2,4]Triazolo[1,5-a]Pyrimidin-8(1H)-One (12)
3.15. Synthesis of 2-Benzoyl-3-Methylthieno[2″,3″:4′,5′]Pyrimido[1′,2′:2,3][1,2,4]Triazolo [5,1-c][1,4] Thiazine-4,7(8H,10H)-Dione (13)
3.16. Synthesis of 6-Benzoyl-7-Methyl-8-oxo-3,8-Dihydrothieno[2,3-d][1,2,4]Triazolo[1,5-a]Pyrimidine-2-Carbox-ylic Acid (14)
3.17. Synthesis of 2-Benzoyl-8-Hydroxy-9-Mercapto-3-Methylpyrrolo[1′,2′:2,3][1,2,4]Triazolo[1,5-a]Thieno[2,3-d]Pyrimidine-4,7-Dione (15)
3.18. Synthesis of 2-Benzoyl-3-Methyl-8,13-Dihydrothieno[2‴,3‴:4″,5″]Pyrimido[1″,2″:2′,3′][1,2,4]triazolo[1′,5′:1,2]Pyrrolo[3,4-b]Quinoxaline-4,7-Dione (16)
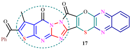
3.19. Synthesis of 2-Benzoyl-3-Methylthieno[2⁗,3⁗:4‴,5‴]Pyrimido[1‴,2‴:2″,3″][1,2,4]Triazolo[1″,5″:1′,2′]Pyrrolo[3′,4′:5,6][1,4]Oxathiino[2,3-b]Quinoxaline-4,7-Dione (17)
3.20. Synthesis of 8-Benzoyl-9-Methyl-[1,4]Oxathiino[3″,2″:3′,4′]Pyrrolo[1′,2′:2,3][1,2,4]Triazolo[1,5-a]Thieno[2,3-d]Pyrimidine-3,10,13(2H)-Trione (18)
3.21. Synthesis of 7-Benzoyl-2-Mercapto-8-Methyl-1H-Imidazo[4″,5″:3′,4′]Pyrrolo[1′,2′:2,3][1,2,4]Triazolo[1,5-a]Thieno[2,3-d]Pyrimidine-9,12-Dione (19)
3.22. Synthesis of 10-Benzoyl-9-Methyl-3-Phenyl-1H-[1,2,4]Triazolo[4‴,3‴:1″,2″]Imidazo[4″,5″:3′,4′]Pyrrolo[1′,2′:2,3][1,2,4]Triazolo[1,5-a]Thieno[2,3-d]Pyrimidine-5,8-Dione (20)
3.23. Pharmacological Screening
3.23.1. Ethics Approval and Consent to Participate
3.23.2. Human and Animal Rights
3.23.3. Chemicals and Drugs
3.23.4. Materials and Methods (In Vitro Cytotoxicity)
4. Conclusions
Author Contributions
Funding
Institutional Review Board Statement
Informed Consent Statement
Data Availability Statement
Acknowledgments
Conflicts of Interest
Sample Availability
References
- Galluzzi, L.; Buque, A.; Kepp, O.; Zitvogel, L.; Kroemer, G. Immunological effects of conventional chemotherapy and targeted anticancer agents. Cancer Cell 2015, 28, 690–714. [Google Scholar] [CrossRef]
- Monika, G.; Chander, M. Development of drugs based on imidazole and benzimidazole bioactive heterocycles: Recent advances and future directions. Med. Chem. Res. 2016, 25, 173–210. [Google Scholar]
- Kukolja, S.; Draheim, S.E.; Graves, B.J.; Hunden, D.C.; Pfeil, J.L.; Cooper, R.D.G.; Ot, J.L.; Couter, F.T. Orally absorbable cephalosporin antibiotics. 2. Structure-activity studies of bicyclic glycine derivatives of 7-aminodeacetoxycephalosporanic acid. J. Med. Chem. 1985, 28, 1896–1903. [Google Scholar] [CrossRef]
- Abu-Hashem, A.A.; Abu-Zied, K.M.; El-Shehry, M.F. Synthetic utility of bifunctional thiophene derivatives and antimicrobial evaluation of the newly synthesized agents. Mon. Chem. 2011, 142, 539–545. [Google Scholar] [CrossRef]
- Abu-Hashem, A.A. Synthesis and biological activity of pyrimidines, quinolines, thiazines and pyrazoles bearing a common thieno moiety. Acta Pol. Pharm. Drug Res. 2018, 75, 59–70. [Google Scholar]
- Sirakanyan, S.N.; Akopyan, E.K.; Paronikyan, R.G.; Akopyan, A.G.; Ovakimyan, A.A. Synthesis and anticonvulsant activity of 7(8)-amino derivatives of condensed thieno[3,2-d]pyrimidines. Pharm. Chem. J. 2016, 50, 296–300. [Google Scholar] [CrossRef]
- Hafez, H.N.; Hussein, H.A.R.; El-Gazzar, A.B.A. Synthesis of substituted thieno[2,3-d]pyrimidine-2,4-dithiones and their S-glycoside analogues as potential antiviral and antibacterial agents. Eur. J. Med. Chem. 2010, 45, 4026–4034. [Google Scholar] [CrossRef]
- Abu-Hashem, A.A.; El Shehry, M.F.; Badria, F.A. Design and synthesis of novel thiophenecarbohydrazide, thienopyrazole and thienopyrimidine derivatives as antioxidant and antitumor agents. Acta Pharm. 2010, 60, 311–323. [Google Scholar] [CrossRef]
- Alqasoumi, S.I.; Ragab, F.A.; Alafeefy, A.M.; Galal, M.; Ghorab, M.M. Radioprotective and antitumor activity of some novel amino acids and imidazoles containing thieno[2,3-d]pyrimidine moiety. Phosphorus Sulfur Silicon 2009, 184, 3241–3257. [Google Scholar] [CrossRef]
- Ross, C.R.; Temburnikar, K.W.; Wilson, G.M.; Seley-Radtke, K.L. Mitotic arrest of breast cancer MDA-MB-231 cells by halogenated thieno[3,2-d]pyrimidines. Bioorg. Med. Chem. Lett. 2015, 25, 1715–1717. [Google Scholar] [CrossRef]
- El-Gazzar, A.B.A.; Youssef, A.M.S.; Youssef, M.M.; Abu-Hashem, A.A.; Badria, F.A. Design and synthesis of azolopyrimidoquinolines, pyrimidoquinazolines as anti-oxidant, anti-inflammatory and analgesic activities. Eur. J. Med. Chem. 2009, 44, 609–624. [Google Scholar] [CrossRef]
- Abu-Hashem, A.A.; Gouda, M.A.; Badria, F.A. Synthesis of some new pyrimido [2′, 1′:2,3] thiazolo [4,5-b] quinoxaline derivatives as anti-inflammatory and analgesic agents. Eur. J. Med. Chem. 2010, 45, 1976–1981. [Google Scholar] [CrossRef] [PubMed]
- Prugh, J.D.; Hartman, G.D.; Mallorga, P.J.; McKeever, B.M.; Michelson, S.R.; Murcko, M.A.; Schwam, H.; Smith, R.L.; Sondey, J.M.; Springer, J.P.; et al. New isomeric classes of topically active ocular hypotensive carbonic anhydrase inhibitors: 5-substituted thieno [2,3-b] thiophene-2-sulfonamides and 5-substituted thieno [3,2-b] thiophene-2-sulfonamides. J. Med. Chem. 1991, 34, 1805–1818. [Google Scholar] [CrossRef] [PubMed]
- Egbertson, M.S.; Cook, J.J.; Bednar, B.; Prugh, J.D.; Bednar, R.A.; Gaul, S.L.; Gould, R.J.; Hartman, G.D.; Homnick, C.F.; Holahan, M.A.; et al. Non-peptide GPIIb/IIIa inhibitors. 20. Centrally constrained-thienothiophene α-sulfona- mides Are potent, long acting in vivo inhibitors of platelet aggregation. J. Med. Chem. 1999, 42, 2409–2421. [Google Scholar] [CrossRef] [PubMed]
- Tamboli, R.S.; Amrutkar, R.D.; Jain, K.S.; Kathiravan, M.K. Synthesis and in vivo antihyperlipidemic potential of novel substituted thieno [3, 2-d] pyrimidines. Lett. Drug Des. Discov. 2013, 10, 906–915. [Google Scholar] [CrossRef]
- Ashalatha, B.V.; Narayana, B.; Raj, K.V.; Kumari, N.S. Synthesis of some new bioactive 3-amino-2-mercapto-5,6,7,8-tetrahydro [1]benzothieno[2,3-d]pyrimidin-4(3H)-one derivatives. Eur. J. Med. Chem. 2007, 42, 719–728. [Google Scholar] [CrossRef] [PubMed]
- Rashad, A.E.; Heikal, O.A.; El-Nezhawy, A.O.H.; Abdel-Megeid, F.M.E. Synthesis and isomerization of thienotriazolopyrimidine and thienotetrazolo pyrimidine derivatives with potential anti-inflammatory activity. Heteroat. Chem. 2005, 16, 226–234. [Google Scholar] [CrossRef]
- Ashour, H.M.; Shaaban, O.G.; Rizk, O.H.; El-Ashmawy, I.M. Synthesis and biological evaluation of thieno[2′,3′:4,5] pyrimido [1,2-b][1,2,4]triazines and thieno[2,3-d][1,2,4]triazolo[1,5-a]pyrimidines as anti- inflammatory and analgesic agents. Eur. J. Med. Chem. 2013, 62, 341–351. [Google Scholar] [CrossRef]
- Abu-Hashem, A.A.; Hussein, H.A.R.; Abu-zied, K.M. Synthesis of novel 1,2,4-triazolopyrimidines and their evaluation as antimicrobial agents. Med. Chem. Res. 2016, 26, 120–130. [Google Scholar] [CrossRef]
- Abu-Hashem, A.A.; Abu-Zied, K.M.; Zaki, M.E.A.; El-Shehry, M.F.; Awad, H.M.; Khedr, M.A. Design, synthesis, and anticancer potential of the enzyme (PARP-1) inhibitor with computational studies of new triazole, thiazolidinone, -thieno[2,3-d] pyrimidinones. Lett. Drug Des. Discov. 2020, 17, 799–819. [Google Scholar] [CrossRef]
- Abu-Hashem, A.A.; Hussein, H.A.R. Synthesis and antitumor activity of new pyrimidine and caffeine derivatives. Lett. Drug Des. Discov. 2015, 12, 471–478. [Google Scholar] [CrossRef]
- Nagamatsu, T.; Yamasaki, H.; Akiyama, T.; Hara, S.; Mori, K.; Kusakabe, H. Facile and general syntheses of 3- and/or 5-substituted 7-β-d-ribofuranosyl-7H-[1,2,4]triazolo[3,4-i]purines as a new class of potential xanthine oxidase inhibitors. Synthesis 1999, 1999, 655–663. [Google Scholar] [CrossRef]
- Nagamatsu, T.; Yamasaki, H.; Fujita, T.; Endo, K.; Machida, H. Novel xanthine oxidase inhibitor studies. Part 2. Synthesis and xanthine oxidase inhibitory activities of 2-substituted 6-alkylidenehydrazino- or 6-arylmethylidenehydrazino-7H-purines and 3- and/or 5-substituted 9H-1,2,4-triazolo[3,4-i]purines. J. Chem. Soc. Perkin Trans. 1999, 1, 3117–3125. [Google Scholar] [CrossRef]
- Nagamatsu, T.; Ahmed, S.; Hossion, A.M.L.; Ohno, S. Synthesis of thieno[3,2-e] [1,2,4]triazolo[1,5-c] pyrimidin-5(6H)-ones via their [1,2,4]triazolo[4,3-c]pyrimidine compounds as new ring systems by dimroth-type rearrangement. Heterocycles 2007, 73, 777–793. [Google Scholar] [CrossRef]
- Pectasides, D.; Yianniotis, H.; Alevizakos, N.; Bafaloukos, D.; Barbounis, V.; Varthalitis, J.; Dimitriadis, M.; Athanassiou, A. Treatment of metastatic malignant melanoma with dacarbazine, vindesine and cisplatin. Br. J. Cancer 1989, 60, 627–629. [Google Scholar] [CrossRef] [PubMed]
- DeSimone, R.W.; Currie, K.S.; Mitchell, S.A.; Darrow, J.W.; Pippin, D.A. Privileged structures: Applications in drug discovery. Comb. Chem. High Throughput Screen. 2004, 7, 473–494. [Google Scholar] [CrossRef]
- Ortiz, J.A. Sertaconazole (FI-7045). A new antifungal agent. Arzneim. Forsch. 1992, 42, 689–690. [Google Scholar]
- Shin, J.M.; Munson, K.; Vagin, O.; Sachs, G. The gastric H?-KATPase: Structure, function, and inhibition. Pflug. Arch. Eur. J. Phy. 2008, 457, 609–622. [Google Scholar] [CrossRef]
- Fellenius, E.; Berglindh, T.; Sachs, G.; Olbe, L.; Elander, B.; Sjostrand, S.; Wallmark, B. Substituted benzimidazoles inhibit gastric acid secretion by blocking (H++ K+) ATPase. Nature 1981, 290, 159–161. [Google Scholar] [CrossRef]
- Corcostegui, R.; Labeaga, L.; Innerarity, A.; Berisa, A.; Orjales, A. Preclinical pharmacology of bilastine, a new selective histamine H1 receptor antagonist: Receptor selectivity and in vitro antihistaminic activity. Drugs RD 2005, 6, 371–384. [Google Scholar] [CrossRef]
- Burnier, M.; Brunner, H.R. Angiotensin II receptor antagonists. Lancet 2000, 355, 637–645. [Google Scholar] [CrossRef]
- Kapoor, V.K.; Chadha, R.; Venisetty, P.K.; Prasanth, S. Medicinal significance of nitroimidazoles: Some recent advances. J. Sci. Ind. Res. 2003, 62, 659–665. [Google Scholar]
- Biron, K.K.; Harvey, R.J.; Chamberlain, S.C.; Good, S.S.; Smith, A.A., III; Davis, M.G.; Talarico, C.L.; Miller, W.H.; Ferris, R.; Dornsife, R.E.; et al. Potent and selective inhibition of human cytomegalovirus replication by 1263W94: A benzimidazole L-riboside with a unique mode of action. Antimicrob. Agents Chemother. 2002, 46, 2365–2372. [Google Scholar] [CrossRef]
- Abu-Hashem, A.A.; Youssef, M.M.; Hussein, H.A.R. Synthesis, antioxidant, antitumor activities of some new thiazolo pyrimidines, pyrrolothiazolopyrimidines and triazolopyrrolothiazolo pyrimidines derivatives. J. Chin. Chem. Soc. 2011, 58, 41–48. [Google Scholar] [CrossRef]
- Abu-Hashem, A.A.; Youssef, M.M. Synthesis of new visnagen and khellin furochromone pyrimidine derivatives and their anti-inflammatory and analgesic activity. Molecules 2011, 16, 1956–1972. [Google Scholar] [CrossRef]
- Abu-Hashem, A.A. Synthesis and reaction of novel spiro-pyrimidine derivatives. J. Heterocycl. Chem. 2014, 51, 1020–1026. [Google Scholar] [CrossRef]
- Abu-Hashem, A.A.; Badria, F.A. Design, synthesis of novel thiourea and pyrimidine derivatives as potential antitumor agents. J. Chin. Chem. Soc. 2015, 62, 506–512. [Google Scholar] [CrossRef]
- Abu-Hashem, A.A.; El-Shazly, M. Synthesis of new quinoxaline, pyrimidine, and pyrazole furochromone derivatives as cytotoxic agents. Mon. Chem. 2017, 148, 1853–1863. [Google Scholar] [CrossRef]
- Abu-Hashem, A.A.; El-Shazly, M. Synthesis of new isoxazole-, pyridazine-, pyrimidopyrazines and their anti-inflammatory and analgesic activity. Med. Chem. 2018, 14, 356–371. [Google Scholar] [CrossRef] [PubMed]
- Abu-Hashem, A.A.; Gouda, M.A.; Badria, F.A. Design, synthesis and identification of novel substituted isothiochromene analogs as potential antiviral and cytotoxic agents. Med. Chem. Res. 2018, 27, 2297–2311. [Google Scholar] [CrossRef]
- Abu-Hashem, A.A. Synthesis of new furothiazolo pyrimido quinazolinones from visnagenone or khellinone and antimicrobial activity. Molecules 2018, 23, 2793. [Google Scholar] [CrossRef]
- Abu-Hashem, A.A.; Zaki, M.E.A. Direct amination and synthesis of fused N-substituted isothiochromene derivatives. J. Heterocycl. Chem. 2019, 56, 886–894. [Google Scholar] [CrossRef]
- Abu-Hashem, A.A.; El-Shazly, M. Synthesis and antimicrobial evaluation of novel triazole, tetrazole, and spiropyrimidine-thiadiazole derivatives. Polycycl Aromat Compd. 2019. [Google Scholar] [CrossRef]
- Abu-Hashem, A.A.; Al-Hussain, S.A.; Zaki, M.E.A. Synthesis of novel benzodifuranyl; 1, 3, 5-triazines; 1, 3, 5-oxadiazepines; and thiazolopyrimidines derived from visnaginone and khellinone as anti- inflammatory and analgesic agents. Molecules 2020, 25, 220. [Google Scholar] [CrossRef] [PubMed]
- Abu-Hashem, A.A.; Hussein, H.A.R.; Aly, A.S. Synthesis and antimicrobial activity of novel 1,2,4-triazolopyrimidofuro- quinazolinones from natural furochromones (visnagenone and khellinone). Med. Chem. 2020, 16. [Google Scholar] [CrossRef]
- Abu-Hashem, A.A.; Fathy, U.; Gouda, M.A. Synthesis of 1,2,4-triazolopyridazines, isoxazolofuropyrida-zines, and tetrazolopyridazines as antimicrobial agents. J. Heterocycl. Chem. 2020, 57, 3461–3474. [Google Scholar]
- Abu-Hashem, A.A. Synthesis and antimicrobial activity of new 1,2,4-triazole, 1,3,4-oxadiazole, 1,3,4-thiadiazole, thiopyrane, thiazolidinone and azepine derivatives. J. Heterocycl. Chem. 2021, 58, 74–92. [Google Scholar] [CrossRef]
- Abu-Hashem, A.A. Synthesis of new pyrazoles, oxadiazoles, triazoles, pyrrolotriazines and pyrrolotriazepines as potential cytotoxic agents. J. Heterocycl. Chem. 2021, 58, 805–821. [Google Scholar] [CrossRef]
- Sunkari, S.; Bonam, S.R.; Subba Rao, A.V.; Riyaz, S.; Nayak, V.L.; Kumar, H.M.S.; Kamal, A.; Babu, B.N. Synthesis and biological evaluation of new bisindole-imidazopyridine hybrids as apoptosis inducers. Bioorg. Chem. 2019, 87, 484–494. [Google Scholar] [CrossRef] [PubMed]
- Sultana, F.; Manasa, K.L.; Shaik, S.P.; Bonam, S.R.; Kamal, A. Zinc dependent histone deacetylase inhibitors in cancer therapeutics: Recent update. Curr. Med. Chem. 2019, 26, 7212–7280. [Google Scholar] [CrossRef]






| Compounds | In Vitro Cytotoxicity IC50 (µM) | |||
|---|---|---|---|---|
| CNE2 a | KB a | MCF-7 a | MGC-803 a | |
| 1 | >50 | >50 | >50 | >50 |
| 2 | >50 | >50 | >50 | >50 |
| 3 | 33.5 ± 1.8 | 32.2 ± 1.2 | 34.1 ± 1.3 | 35.7 ± 1.5 |
| 4 | 21.3 ± 1.1 | 20.5 ± 1.3 | 20.9 ± 1.2 | 21.5 ± 1.4 |
| 5 | 13.1 ± 1.1 | 12.3 ± 1.4 | 12.5 ± 1.3 | 12.8 ± 1.2 |
| 6a | 26.3 ± 1.4 | 25.8 ± 1.7 | 26.9 ± 1.9 | 27.5 ± 1.3 |
| 6b | 24.5 ± 1.5 | 23.1 ± 1.2 | 24.2 ± 1.4 | 25.2 ± 1.1 |
| 6c | 25.1 ± 1.2 | 24.2 ± 1.3 | 25.5 ± 1.5 | 26.8 ± 1.8 |
| 7 | 14.2 ± 1.7 | 13.5 ± 1.5 | 13.7 ± 1.1 | 13.9 ± 1.4 |
| 8 | 29.1 ± 1.2 | 28.7 ± 1.1 | 29.5 ± 1.8 | 30.2 ± 1.6 |
| 9 | 18.3 ± 1.7 | 17.2 ± 1.5 | 17.8 ± 1.4 | 18.5 ± 1.3 |
| 10 | 19.1 ± 1.6 | 18.4 ± 1.2 | 18.7 ± 1.3 | 19.2 ± 1.5 |
| 11 | 12.1 ± 1.2 | 11.1 ± 1.3 | 11.8 ± 1.5 | 11.7 ± 1.4 |
| 12 | 16.1 ± 1.4 | 15.3 ± 1.3 | 15.9 ± 1.2 | 16.5 ± 1.1 |
| 13 | 15.4 ± 1.3 | 14.1 ± 1.2 | 14.8 ± 1.1 | 15.7 ± 1.2 |
| 14 | 20.5 ± 1.8 | 19.8 ± 1.5 | 19.8 ± 1.4 | 20.4 ± 1.6 |
| 15 | 12.7 ± 1.2 | 11.7 ± 1.6 | 12.1 ± 1.2 | 12.2 ± 1.4 |
| 16 | 11.9 ± 1.5 | 10.9 ± 1.2 | 11.6 ± 1.1 | 11.5 ± 1.3 |
| 17 | 11.8 ± 1.4 | 10.8 ± 1.1 | 11.5 ± 1.4 | 11.3 ± 1.5 |
| 18 | 12.4 ± 1.5 | 11.3 ± 1.4 | 11.9 ± 1.3 | 11.9 ± 1.1 |
| 19 | 11.7 ± 1.3 | 10.7 ± 1.5 | 11.4 ± 1.1 | 11.1 ± 1.2 |
| 20 | 11.6 ± 1.1 | 10.5 ± 1.5 | 11.3 ± 1.2 | 10.9 ± 1.4 |
| 5-Fluorouracil | 11.8 ± 1.4 | 10.7 ± 1.2 | 11.5 ± 1.3 | 11.1 ± 1.1 |
| Compounds/Chemical Structures | In Vitro Cytotoxicity IC50 (µM) | |||
|---|---|---|---|---|
| CNE2 a | KB a | MCF-7 a | MGC-803 a | |
![]() | 12.1 ± 1.2 | 11.1 ± 1.3 | 11.8 ± 1.5 | 11.7 ± 1.4 |
![]() | 11.9 ± 1.5 | 10.9 ± 1.2 | 11.6 ± 1.1 | 11.5 ± 1.3 |
![]() | 11.8 ± 1.4 | 10.8 ± 1.1 | 11.5 ± 1.4 | 11.3 ± 1.5 |
![]() | 12.4 ± 1.5 | 11.3 ± 1.4 | 11.9 ± 1.3 | 11.9 ± 1.1 |
![]() | 11.7 ± 1.3 | 10.7 ± 1.5 | 11.4 ± 1.1 | 11.1 ± 1.2 |
![]() | 11.6 ± 1.1 | 10.5 ± 1.5 | 11.3 ± 1.2 | 10.9 ± 1.4 |
![]() | 11.8 ± 1.4 | 10.7 ± 1.2 | 11.5 ± 1.3 | 11.1 ± 1.1 |
Publisher’s Note: MDPI stays neutral with regard to jurisdictional claims in published maps and institutional affiliations. |
© 2021 by the authors. Licensee MDPI, Basel, Switzerland. This article is an open access article distributed under the terms and conditions of the Creative Commons Attribution (CC BY) license (https://creativecommons.org/licenses/by/4.0/).
Share and Cite
Abu-Hashem, A.A.; Al-Hussain, S.A.; Zaki, M.E.A. Design, Synthesis and Anticancer Activity of New Polycyclic: Imidazole, Thiazine, Oxathiine, Pyrrolo-Quinoxaline and Thienotriazolopyrimidine Derivatives. Molecules 2021, 26, 2031. https://doi.org/10.3390/molecules26072031
Abu-Hashem AA, Al-Hussain SA, Zaki MEA. Design, Synthesis and Anticancer Activity of New Polycyclic: Imidazole, Thiazine, Oxathiine, Pyrrolo-Quinoxaline and Thienotriazolopyrimidine Derivatives. Molecules. 2021; 26(7):2031. https://doi.org/10.3390/molecules26072031
Chicago/Turabian StyleAbu-Hashem, Ameen Ali, Sami A. Al-Hussain, and Magdi E. A. Zaki. 2021. "Design, Synthesis and Anticancer Activity of New Polycyclic: Imidazole, Thiazine, Oxathiine, Pyrrolo-Quinoxaline and Thienotriazolopyrimidine Derivatives" Molecules 26, no. 7: 2031. https://doi.org/10.3390/molecules26072031
APA StyleAbu-Hashem, A. A., Al-Hussain, S. A., & Zaki, M. E. A. (2021). Design, Synthesis and Anticancer Activity of New Polycyclic: Imidazole, Thiazine, Oxathiine, Pyrrolo-Quinoxaline and Thienotriazolopyrimidine Derivatives. Molecules, 26(7), 2031. https://doi.org/10.3390/molecules26072031








