Next Article in Journal
In Silico Mining of Terpenes from Red-Sea Invertebrates for SARS-CoV-2 Main Protease (Mpro) Inhibitors
Next Article in Special Issue
Advances in the Synthesis of Ring-Fused Benzimidazoles and Imidazobenzimidazoles
Previous Article in Journal
In Vitro and In Silico Screening and Characterization of Antimicrobial Napin Bioactive Protein in Brassica juncea and Moringa oleifera
Previous Article in Special Issue
Unexpectedly Long Lifetime of the Excited State of Benzothiadiazole Derivative and Its Adducts with Lewis Acids
 
 
Font Type:
Arial Georgia Verdana
Font Size:
Aa Aa Aa
Line Spacing:
Column Width:
Background:
Article

Synthesis, Characterization and Biological Evaluation of New 3,5-Disubstituted-Pyrazoline Derivatives as Potential Anti-Mycobacterium tuberculosis H37Ra Compounds

by
Kok Tong Wong
1,
Hasnah Osman
1,
Thaigarajan Parumasivam
2,
Unang Supratman
3,
Mohammad Tasyriq Che Omar
4 and
Mohamad Nurul Azmi
1,*
1
School of Chemical Sciences, Universiti Sains Malaysia, Minden, Penang 11800, Malaysia
2
School of Pharmaceutical Sciences, Universiti Sains Malaysia, Minden, Penang 11800, Malaysia
3
Department of Chemistry, Faculty of Mathematics and Natural Sciences, Universitas Padjadjaran, Jatinangor 45363, Indonesia
4
Biological Section, School of Distance Education, Universiti Sains Malaysia, Penang 11800, Malaysia
*
Author to whom correspondence should be addressed.
Molecules 2021, 26(7), 2081; https://doi.org/10.3390/molecules26072081
Submission received: 8 March 2021 / Revised: 20 March 2021 / Accepted: 22 March 2021 / Published: 5 April 2021
(This article belongs to the Special Issue Synthetic Heterocyclic Chemistry)

Abstract

A total of fourteen pyrazoline derivatives were synthesized through cyclo-condensation reactions by chalcone derivatives with different types of semicarbazide. These compounds were characterized by IR, 1D-NMR (1H, 13C and Distortionless Enhancement by Polarization Transfer - DEPT-135) and 2D-NMR (COSY, HSQC and HMBC) as well as mass spectroscopy analysis (HRMS). The synthesized compounds were tested for their antituberculosis activity against Mycobacterium tuberculosis H37Ra in vitro. Based on this activity, compound 4a showed the most potent inhibitory activity, with a minimum inhibitory concentration (MIC) value of 17 μM. In addition, six other synthesized compounds, 5a and 5c–5g, exhibited moderate activity, with MIC ranges between 60 μM to 140 μM. Compound 4a showed good bactericidal activity with a minimum bactericidal concentration (MBC) value of 34 μM against Mycobacterium tuberculosis H37Ra. Molecular docking studies for compound 4a on alpha-sterol demethylase was done to understand and explore ligand–receptor interactions, and to hypothesize potential refinements for the compound.

1. Introduction

Pyrazoline is a five-membered heterocyclic ring that has an endocyclic double bond with two adjacent nitrogen atoms at position 1- and 2-. The first pyrazoline (4,5-dihydro-1H-pyrazole) was synthesized by Knorr in 1883 [1]. Pyrazolines are noted for the stability of their ring system and the reactivity of several sites that permit a series of substitution reactions to take place. Structural modifications of pyrazolines can be achieved by decorating the stable fragments with different functional groups and aromatic scaffolds to create benzylhydrazine moieties for the development of new potent compounds possessing biological activities. Previous studies have reported considerable biological activities when substitution occurs at position 1-, 3- and 5- of the pyrazoline (Figure 1), such as anticonvulsant, antimalarial [2], anti-cardiovascular [3], anticancer [4], anti-amoebic [5], antimicrobial [6,7] and anti-tumor activities [8]. Meanwhile, carbothioamide derivatives were found to have significant pharmacological activities, such as monoamine oxidase (MAO) inhibitors [9,10], antituberculosis [11,12,13] and anticonvulsant activities [14,15,16].
Tuberculosis (TB) is an infectious disease caused by Mycobacterium tuberculosis (MTB) that affects the lungs [17]. According to the World Health Organization (WHO) 2019 Global Tuberculosis Report, about 1.5 million people from a total of 10 million people with TB died in 2018 [18]. In addition, WHO has declared that the South-East Asian region is the most affected with TB cases (44%), followed by Africa (24%), Western Pacific (18%), Eastern Mediterranean (8%), Americas (3%) and Europe (3%). In Malaysia, the Health Ministry (2019) has reported about 1500 to 2000 deaths from TB per year, with an average of six deaths a day in 2018 [19]. The increase in cases is mainly due to delays in seeking medical treatment and low TB awareness. In addition, the current lengthy treatment duration impairs patient adherence to the TB medications, which in turn fuels the spread of highly concerning multi-drug and extensively-drug resistant M. tuberculosis. Hence, this underscores the importance of developing a new effective anti-TB regimen.
In continuation of our efforts to develop antitubercular agents, here we report the synthesis of new pyrazoline derivatives, along with their potential anti-TB activity against M. tuberculosis H37Ra. The attenuated Mycobacterium tuberculosis H37Ra strain was used due to biosafety constraints with using virulent M. tuberculosis H37Rv and clinical strains. However, Heinrichs et al. showed that the H37Ra strain is able to equally predict susceptibility to antibiotics as the H37Rv strain and clinical isolates [20]. This justifies the selection of avirulent M. tuberculosis for this study. Molecular docking at the active site of cytochrome P450 14 alpha-sterol demethylase (CYP51) was performed to rationalize the inhibitory property of potent compounds within the active pocket.

2. Results and Discussion

2.1. Chemistry

The synthesis of the first series of 3,5-disubstituted-4,5-dihydro-N-phenyl-1H-pyrazole-1-carbothioamide (4ag) was synthesized by the cyclo-condensation of chalcone derivatives (3ag) with 4-phenyl-3-thiosemicarbazide in the presence of sodium hydroxide as a base (Scheme 1).
Compound 4a is the representative compound from the first series. This new compound was synthesized by the cyclo-condensation of 3-(4-methylphenyl)-1-phenyl-2-propen-1-one (3a) with 4-phenyl-3-thiosemicarbazide in the presence of sodium hydroxide as a base. Compound 4a formed as a cream-colored precipitate with 26% yield and a melting point of 133–136 °C. Compound 4a was characterized by various spectroscopic techniques including IR, 1D-NMR, 2D-NMR and HRMS. The important absorption bands in the IR spectrum of compound 4a were observed at 3291 cm−1 (N–H stretching), 1594 cm−1 (C=N stretching), 1520 cm−1 and 1449 cm−1 (C=C stretching of the aromatic), and 1399 cm−1 (C=S stretching). The absence of C=O and C=C bands, as well as the appearance of new C=N and C=S bands in the IR spectra of compound 4a suggests the complete formation of compound 4a via the cyclo-condensation reaction between chalcone 3a and 4-phenyl-3-thiosemicarbazide (Scheme 1).
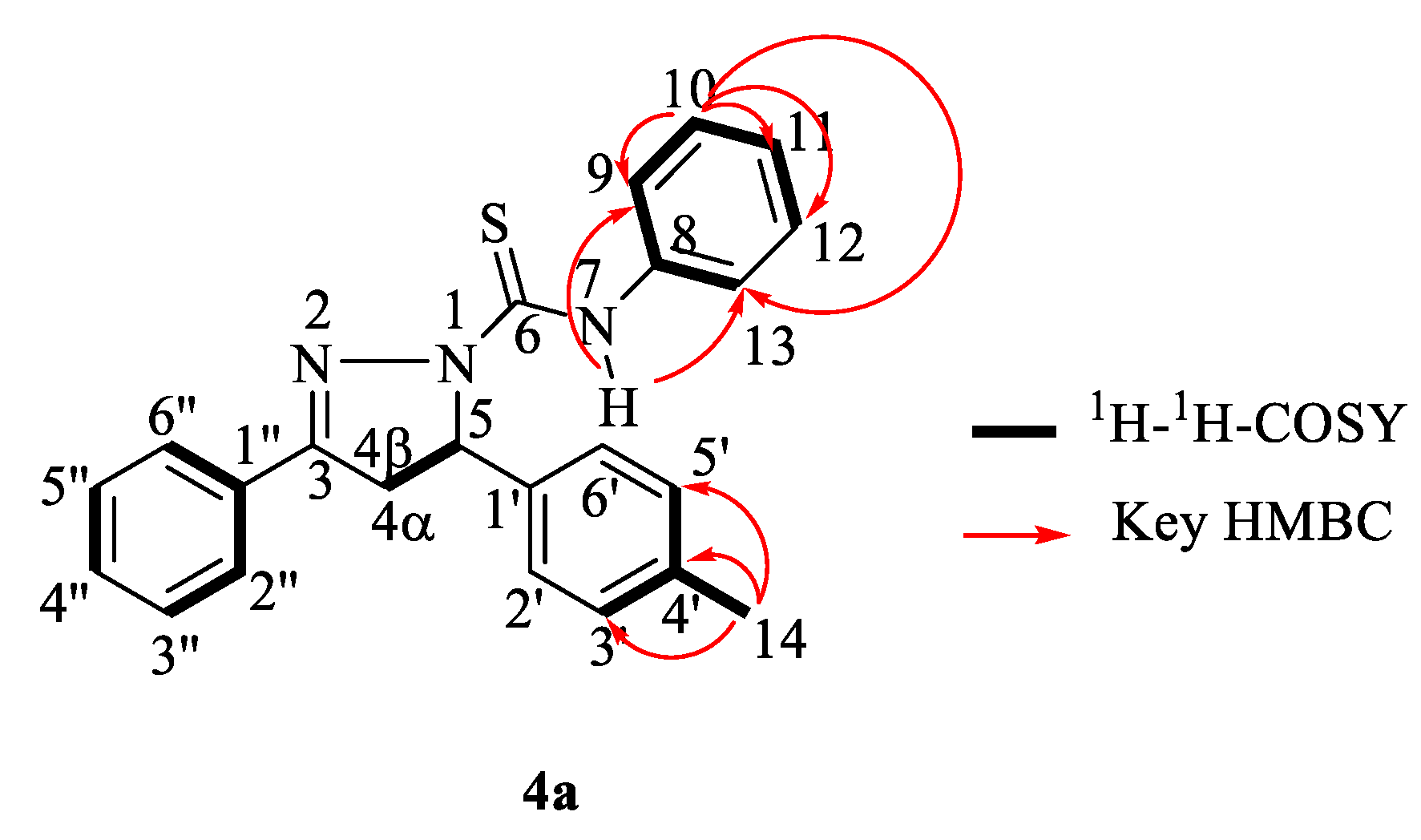
The 1H-NMR spectrum of compound 4a showed that two germinal protons, H-4α and H-4β, of the methylene group resonated as a doublet of doublet at δH 3.26 and δH 4.05, respectively. The appearance of these two signals could be attributed to the non-equivalent nature of the two germinal protons with a J coupling constant of J4α4β = 18.0 Hz, J4α5 = 3.5 Hz and J4β5 = 11.5 Hz. Meanwhile, the vicinal proton (H-5) also appeared as a doublet of doublet at a slightly downfield region, δH 6.14, due to vicinal coupling with the two neighboring germinal protons of the methylene group at position 4- of the pyrazoline ring. A singlet at δH 9.93 in the downfield region indicated the presence of a thioamide proton. In compound 4a, some aromatic protons such as H-3″, H-4″ and H-5″ were observed at the same chemical shift, δH 7.49, due to the overlapping of peaks in the similar environment. The 1H-NMR spectrum also showed three signals for ring C. A triplet at δH 7.33 (2H, J = 7.5 Hz) was attributed to H-10 and H-12. In addition, two multiplets at δH 7.72 (2H) and δH 7.16 were assigned to H-9 with H-13 and H-11. The 13C-NMR spectrum of carbothioamide compound 4a showed seventeen carbon signals. One carbon signal each at δC 42.3 and δC 62.3 suggested the presence of pyrazoline ring carbons, which were assigned to 4-CH2 and 5-CH, respectively. Also, a signal at δC 155.3 was attributed to 3-C=N in the pyrazoline ring, which is a carbon attached to an electronegative nitrogen by a double bond and also to a benzene ring. Besides, a signal at δC 174.2 was attributed to 6-C=S. The 2D-NMR correlation of 1H-1H COSY and 1H-13C HMBC spectra were used to assign the aromatic signals, especially in the case of the pyrazoline ring. The analysis of 1H-1H COSY showed the correlation between of 14-CH3-H-4′-H-3′ and H-5′, 4α-CH with 4β-CH and 5-CH, H-8 with H-9-H-10-H-11-H-12 and H-2″ with H-1″-H-6″-H-3″, H-4″ with H-5″ (Figure 2). The 1H-13C HMBC spectrum of 4a shows the cross-correlations of 7-NH with carbons C-9 and C-13, and H-10 with C-9, C-13, C-11, C-12 and C-8 (Figure 2), and the cross-correlation of 14-CH3 with C-3′, C-5′ and C-4′. The HRMS spectrum of 4a revealed the molecular ion peak [M + Na]+ at m/z 394.1156, which is consistent with the molecular formula C23H21N3S (calcd. 394.1354). According to the above spectra data analysis, compound 4a was identified as a new 2-pyrazoline compound and named 5-(4-methylphenyl)-N,3-diphenyl-4,5-dihydro-1H-pyrazole-1-carbothioamide.
The second series of new (3,5-disubstituted- 4,5-dihydro-1H-pyrazol-yl) (4-hydroxyphenyl)methanone (5a–g) was synthesized by the cyclo-condensation of chalcone derivatives (3a–g) with 4-hydroxybenzhydrazide in the presence of sodium hydroxide as a base.
Compound 5e was taken as the representative compound from the fourth series, which formed a pale-yellow powder with 17% yield and a melting point of 237–241 °C. Compound 5e was characterized by multiple spectroscopic techniques including IR, 1D-NMR, 2D-NMR, and HRMS. The important absorption bands in the IR spectrum of compound 5e were observed at 3137 cm−1 (O–H stretching), 3066 cm−1 (Csp2–H), 2926 cm−1 (Csp3–H), 1737 cm−1 (C=O stretching), 1618 cm−1 (C=N stretching), 1573 cm−1 and 1427 cm−1 (C=C stretching of the aromatic). Moreover, the hydroxy group of phenol in the para position is a good activating group [21]. The absence of C=C bands, as well as the appearance of new C=N and C–O bands in the IR spectrum of compound 5e suggests the complete formation of the compound 5e via a cyclo-condensation reaction between chalcone 3e and 4-hydroxybenzhydrazide (Scheme 1).
The 1H-NMR spectrum of compound 5e revealed the presence of one, mostly downfield, sharp singlet at δH 10.11 for the hydroxy proton (13-OH). One doublet of doublet at δH 7.40 (J = 2.5 and 8.5 Hz) was assigned to H-5′ due to its meta coupling with H-3′ and ortho coupling with H-6′ in ring B. A doublet at δH 7.22 (J = 8.0 Hz) was attributed to H-6′ due to its ortho coupling to H-5′. In addition, a doublet at δH 7.69 was attributed to H-3 due to its meta coupling to H-5. On the other hand, a doublet at δH 7.91 (J = 8.0 Hz) integrating to two protons was assigned to H-9 and H-11, which occurred at the same position and can be considered chemically equivalent due to symmetry in the structure. The 13C-NMR spectrum of compound 5e showed that signals corresponded to all twenty-two carbons in the compound. Signals at δC 58.8, 40.1 and 155.3 were assigned to 5-CH, 4-CH2 and 3-C=N of the pyrazoline ring, respectively, and the presence of the pyrazoline ring was further confirmed by 2D-NMR spectroscopy. The 1H-1H COSY spectrum of compound 5e showed a very clear correlation between 5-CH C 5.95), 4α-CHC 3.13) and 4β -CHC 3.96). A strong correlation between H-8/H-12 (δC 114.9) and H-9/H-11 (δC 132.6) was also observed (Figure 3). The 1H-13C HMBC spectrum of 5e shows that 4α-CHC 3.13) and 4β-CHC 3.96) were correlated with 5-CH (δC 58.8), C-1′ (δC 138.9) and 6-C=O (δC 165.2), thus confirming the formation of a pyrazoline ring (Figure 3). The cross-correlation of H-5′ with C-3′ and C-1′ was found, while H-6′ was found to correlate with 5-CH and C-2′. The HRMS of compound 5e showed a molecular ion peak [M + H]+ at m/z 411.0694 (calcd. 411.0667) which corresponded to the molecular formula C22H17Cl2N2O2. In conclusion, based on the spectral data, it is proven that the compound 5e, N-(4-hydroxyphenyl)(5-(2,4-dichlorolphenyl)-3-phenyl-4,5-dihydro-1H-pyrazol-1-yl)methanone, was successfully synthesized.

2.2. Anti-Tuberculosis Activity

Two series of fourteen synthesized pyrazoline derivatives (4ag and 5ag) were screened for antituberculosis activity against M. tuberculosis H37Ra using the Tetrazolium bromide microplate assay (TEMA) method. Isoniazid was used as a positive control. Table 1 depicts the results of the antituberculosis activity of these compounds based on their minimum inhibitory concentration (MIC) and minimum bactericidal concentration (MBC) values.
Out of fourteen synthesized compounds, ten compounds exhibited promising activity against M. tuberculosis, with MIC values in the range of 17 μM to 511 μM. Compound 4a was the most active compound, with the lowest MIC value of 17 μM (~6.25 μg/mL). In the first series 4ag, compounds 4a, 4c, 4e and 4f showed MICs of 17 μM (~6.25 μg/mL), 511 μM (~200 μg/mL), 471 μM (~200 μg/mL) and 511 μM (~200 μg/mL), respectively. Compound 4a with the para-methyl substitute showed the most activity compared to other compounds in the same series. In the second series, compounds 5a, 5c, 5d, 5e, 5f and 5g exhibited moderate activity, with MICs of 70 μM (~25 μg/mL), 66 μM (~25 μg/mL), 65 μM (~25 μg/mL), 61 μM (~25 μg/mL), 66 μM (~25 μg/mL), and 134 μM (~50 μg/mL), respectively. Meanwhile, compound 5b with the para-methoxy group showed no inhibition against M. tuberculosis.
These ten compounds (4a, 4c, 4e, 4f, 5a, and 5c–g) were further evaluated for their bactericidal activity against M. tuberculosis H37Ra. Only seven compounds (4a, 5a and 5c–g) exhibited bactericidal activity against M. tuberculosis at the tested concentration, with MBCs of 34 μM (~12.5 μg/mL), 562 μM (~200 μg/mL), 266 μM (~100 μg/mL), 519 μM (~200 μg/mL), 488 μM (~200 μg/mL), 532 μM (~200 μg/mL) and 537 μM (~200 μg/mL), respectively. The remaining compounds did not show any bactericidal effects against M. tuberculosis H37Ra, even at the highest test concentration of 200 μg/mL.
The in vitro antituberculosis evaluation revealed that the compounds which contained substituted para methyl (4a and 5a) in two series exhibited activity against M. tuberculosis. The result confirmed that methyl group substitution at the phenyl ring in pyrazoline analogues has a favorable effect, and a prominent improvement in inhibition was noticed [22]. However, it was found that compounds with a substituted para methoxy (4b and 5b) in both series showed no inhibition against M. tuberculosis H37Ra, even at the highest tested concentration of 200 μg/mL. This is not surprising, as previous studies have reported that (OCH3) group substitution at the phenyl ring in pyrazoline analogues worsens the antituberculosis activity [23]. Moreover, it was discovered that all compounds (5a and 5c–g) from the second series (2-(4-hydroxyphenyl)-2-oxoethan-1-ide derivatives), except for compound 5b, exhibited moderate activity against M. tuberculosis H37Ra. These results confirmed that hydroxylphenyl substitution is necessary for antituberculosis activity [24].

2.3. Molecular Docking

The free binding energy and interaction modes between compound 4a and residues in the active site of cytochrome P450 14 alpha-sterol demethylase (CYP51) were identified by molecular docking studies using AutoDock Vina version 1.14. The crystal structure of CYP51 complexed with fluconazole (Protein Data Bank ID - PDB ID 1EA1) was used as a reference structure for the docking process [25]. The structure of isoniazid (PDB ID: 2VCF) was used as an experimental control to investigate molecular docking with CYP51. The docking results indicated binding energy between CYP51 and the control inhibitor (fluconazole) or the experimental control (isoniazid) or compound 4a, ranging between −6.2 to −7.1, −6.0 to −5.0 and −6.3 to −6.7 respectively (Table 2). The active site(s) of CYP51 responsible for the binding of compound 4a and the controls (isoniazid and fluconazole) is shown in Figure 4.
The interaction modes of compound 4a with CYP51 are shown in Figure 5a–d. These structures detail the interactions in the active sites that are listed in Table 3. The interaction modes of the most potent pose in CYP51 (Figure 5a) showed that all phenyl rings at position 1 and 5, including the thioamide group, interacted with ILE27, TRP267, HIS318 and ARG354 via hydrophobic interactions. The second most potent pose (Figure 5b) demonstrated that the pyrazoline ring and thioamide group interacted with ARG274, GLU424 and TYR426, respectively, via non-conventional hydrogen bonding. Five hydrophobic interactions were formed between the thioamide group with ARG274, and at the phenyl rings at position 1 and 3 with TRP267, GLU271, ARG274, and ARG427.
The third pose indicated the compound also docked inside active site 2 (Figure 5c) with residue thioamide and pyrazoline ring interacted with LEU317 and ARG354, respectively. Meanwhile, three hydrophobic interactions were occurred between phenyl rings with ILE27, ARG274, and ARG247. The remaining hydrophobic interactions were established between the thioamide group and HIS318, ARG354, and HIS430. In contrast, poses 4 and 5 showed that compound 4a preferred to bind at active site 3 of CYP51, with established interactions between residues THR80 and ARG96 with the phenyl group, and GLU94 with the thioamide group (Figure 5d–e). Only one non-conventional hydrogen bond was formed between the thioamide group and GLY84 in pose 4 (Figure 5d).

3. Materials and Methods

3.1. Experimental

3.1.1. Chemistry

All chemicals and reagents were obtained from Acros Organic (Geel, Belgium), QRec (Penang, Malaysia, Asia), Sigma-Aldrich Chemical Co. or Merck (Darmstadt, Germany). Thin-layer chromatography (TLC) was performed on alumina plates pre-coated with silica gel (Merck 60 F254). The progress of reactions was determined by the appearance of product and disappearance of reactant spots under UV radiation (λmax = 254 nm, Muttenz, Switzerland), respectively. Melting points were determined on open capillary tubes and are uncorrected. All spectral data were obtained on the following instruments: infrared (IR) spectra were recorded on a Perkin-Elmer System FTIR-ATR spectrometer; 1D- and 2D-NMR spectra were recorded on a 500 FT-NMR Bruker Advance spectrometer (Bruker Bioscience, Billerica, MA, USA) in CD3COCD3, DMSO-d6, CDCl3 and tetramethylsilane (TMS) as internal standards. Chemical shifts are reported in part per million (δ-scale) and the coupling constants, J, are reported in Hertz (Hz). High resolution HRMS mass spectra were obtained from a Waters Xevo QTOF MS system.

3.1.2. General Procedure for the Preparation of Chalcone Derivatives (3a–g) by the Claisen–Schmidt Condensation Reaction

Chalcone derivatives (3ag) were synthesized following the method described in the literature. A mixture of acetophenone (1) (0.01 mol) and substituted benzaldehyde (2ag) (0.015 mol) in methanol (10 mL) was refluxed in the presence of few drops of piperidine for 72 h [26,27]. The solution was kept in an ice bath until a solid was obtained, and the chalcone compounds were filtered, washed with cold water, dried and recrystallized from ethanol. The results were compared with the literature [28,29,30,31].
(E)-3-(4-methylphenyl)-1-phenylprop-2-en-1-one (3a). Pale yellow crystalline solid; yield: 83%; m.p.: 94–96 °C; FTIR (ATR) νmax (cm−1): 3025 (Csp2–H), 2918 (Csp3–H), 1656 (C=O), 1595 (–CH=CH–), 1514 and 1449 (aromatic C=C); 1H-NMR (500MHz, CD3COCD3): δH 2.39 (3H, s, 4-CH3), 7.30 (2H, d, J = 8.0 Hz, H-3′ and H-5′), 7.58 (2H, t, J = 7.5 Hz, H-2″ and H-6″), 7.66 (1H, t, J = 7.5 Hz, H-4″), 7.75 (2H, t, J = 8.0 Hz, H-2′ and H-6′), 7.79 (1H, d, J = 15.5 Hz, H-2), 7.85 (1H, d, J = 15.5 Hz, H-3) and 8.16 (2H, d, J = 7.5 Hz, H-3″ and H-5′’); 13C-NMR (125 MHz; CD3COCD3): δC 20.6 (4-CH3), 121.0 (C-2), 128.4 (C-3″ and C-5″), 128.7 (C-2″ and C-6″), 128.7 (C-2′ and C-6′), 129.6 (C-3′ and C-5′), 132.4 (C-1′), 132.7 (C-4″), 138.4 (C-1″), 140.9 (C-4′), 144.1 (C-3) and 189.1 (1-C=O).
(E)-3-(4-methoxyphenyl)-1-phenylprop-2-en-1-one (3b). Yellow crystalline solid; yield: 74%; m.p.: 73–75 °C; FTIR (ATR) νmax cm−1: 3018 (Csp2–H), 2842 (Csp3–H), 1656 (C=O), 1575 (–CH=CH–), 1510, 1445 (aromatic C=C), 1253 (C–O); 1H-NMR (500MHz; CD3COCD3): δH 3.88 (3H, s, 4-OCH3), 7.03 (2H, d, J = 8.5 Hz, H-3′ and H-5′), 7.57 (2H, t, J = 7.5 Hz, H-2″ and H-6″), 7.65 (1H, t, J = 7.5 Hz, H-4″), 7.75 (1H, d, J = 15.5 Hz, H-2), 7.80 (1H, d, J = 15.5 Hz, H-3), 7.83 (2H, d, J = 7.5 Hz, H-2′ and H-6′), and 8.15 (2H, d, J = 7.5 Hz, H-3″ and H-5″); 13C-NMR (125 MHz; CD3COCD3); δC 54.9 (4-OCH3), 114.4 (C-3′ and C-5′), 119.6 (C-2), 127.7 (C-1′), 128.3 (C-3′’ and C-5″), 128.6 (C-2′’ and C-6″), 130.5 (C-2′ and C-6′), 132.6 (C-4″), 138.6 (C-1″), 143.9 (C-3), 161.9 (C-4′) and 189.0 (1-C=O).
(E)-3-(4-chlorophenyl)-1-phenylprop-2-en-1-one (3c). Pale yellow crystalline solid; yield: 82%; m.p.: 113–115 °C; FTIR (ATR) νmax cm−1: 3059 (Csp2–H), 2931 (Csp3–H), 1653 (C=O), 1591 (–C=C–), 1563, 1489 (aromatic C=C), 1221 (C–O), 823 (C–Cl); 1H-NMR (500 MHz, CD3COCD3): δH 7.52 (2H, d, J = 8.5 Hz, H-3′ and H-5′), 7.58 (2H, t, J = 8.0 Hz, H-2″ and H-6″), 7.68 (1H, t, J = 7.5 Hz, H-4″), 7.79 (1H, d, J = 16.0 Hz, H-2), 7.90 (2H, d, J = 8.5 Hz, H-2′ and H-6′), 7.93 (1H, d, J = 16.0 Hz, H-3), and 8.17 (2H, d, J = 7.5 Hz, H-3″ and H-5″); 13C-NMR (125 MHz, CD3COCD3); δC 122.8 (C-2), 128.5 (C-3″ and C-5″), 128.7 (C-2″ and C-6″), 129.1 (C-2′ and C-‘6), 130.2 (C-3′ and C-5′), 132.9 (C-4″), 134.0 (C-1′), 135.7 (C-4′), 138.1 (C-1″), 142.4 (C-3) and 188.9 (1-C =O).
(E)-3-(4-dimethylaminophenyl)-1-phenylprop-2-en-1-one (3d). Orange crystalline solid; yield: 57%; m.p.: 113–115 °C; FTIR (ATR) νmax cm−1: 3053.1 (Csp2–H), 2909.8 (Csp3–H), 1646 (C=O), 1611 (–C=C–), 1511, 1457 (C=C aromatic), 1322 (C–N); 1H-NMR (500 MHz; CD3COCD3): δH 3.07 (6H, s, 4-CH3 and 5-CH3), 6.80 (2H, d, J =9.0 Hz, H-3′ and H-5′), 7.55 (2H, t, J =7.5 Hz, H-2″ and H-6″), 7.61 (1H, d, J = 7.5 Hz, H-4″), 7.62 (1H, d, J = 15.5 Hz, H-2), 7.69 (2H, d, J = 9.0 Hz, H-2′ and H-6′), 7.77 (1H, d, J = 15.5 Hz, H-3) and 8.12 (2H, d, J = 7.5 Hz, H-3″ and H-5″); 13C-NMR (125 MHz; CD3COCD3); δC 39.3 (4-CH3 and 5-CH3), 111.8 (C-3′ and C-5′), 116.3 (C-2), 122.6 (C-1′), 128.1 (C-3″ and C-5″), 128.5 (C-2″ and C-6′’), 130.5 (C-2′ and C-6′), 132.2 (C-4″), 139.1 (C-1″), 145.1 (C-3), 152.3 (C-4′) and 188.7 (1-C=O).
(E)-3-(2,4-dichlorophenyl)-1-phenylprop-2-en-1-one (3e). Yellow solid; yield: 52%; m.p.: 69–73 °C; FTIR (ATR) νmax cm−1: 3064 (Csp2–H), 2931 (Csp3–H), 1652 (C=O), 1607 (–C=C–), 1514, 1475.1 (C=C aromatic); 1H-NMR (500 MHz, CD3COCD3): δH 7.49 (1H, dd, J = 2.0 Hz and 8.5 Hz, H-5′), 7.59 (2H, t, J = 8.0 Hz, H-2″ and H-6′’), 7.64 (1H, d, J = 2.0 Hz, H-3′), 7.69 (1H, d, J = 7.5 Hz, H-4″), 7.96 (1H, d, J = 16.0 Hz, H-2), 8.12 (1H, d, J = 15.5 Hz, H-3) and 8.18 (3H, t, J = 7.5 Hz, H-6′, H-3″ and H-5″); 13C-NMR (125 MHz, CD3COCD3); δC 125.2 (C-2), 127.9 (C-5′), 128.6 (C-3′’ and C-5″), 128.8 (C-2″ and C-6″), 129.4 (C-3′), 129.6 (C-6′), 132.0 (C-4′), 133.2 (C-4″), 135.6 (C-1′), 136.0 (C-2′), 137.6 (C-3), 137.8 (C-1′’) and 188.7 (1-C=O).
(E)-3-(2-chlorophenyl)-1-phenylprop-2-en-1-one (3f). Pale yellow crystalline solid; yield: 57%; m.p.: 45–48 °C; FTIR (ATR) νmax cm−1: 3060 (Csp2–H), 2931 (Csp3–H), 1662 (C=O), 1603 (–C=C–), 1514, 1463 (C=C aromatic), 748 (C–Cl); 1H-NMR (500 MHz, CD3COCD3): δH 7.47 (2H, m, H-4′ and H-5′), 7.56 (1H, m, H-3′), 7.60 (2H, d, J = 7.5 Hz, H-2″ and H-6″), 7.69 (1H, d, J = 7.5 Hz, H-4″), 7.92 (1H, d, J = 15.5 Hz, H-2), 8.14 (1H, d, J = 7.5 Hz, H-6′), 8.19 (2H, d, J = 8.5 Hz, H-3″ and H-5″) and 8.20 (1H, d, J = 15.5 Hz, H-3); 13C-NMR (125 MHz, CD3COCD3); δC 124.7 (C-2), 127.6 (C-4′), 128.2 (C-6′), 128.5 (C-3″ and C-5″), 128.7 (C-2″ and C-6″), 130.1 (C-5′), 131.6 (C-3′), 133.0 (C-1′), 133.1 (C-4″), 134.9 (C-2′), 137.9 (C-1″), 139.0 (C-3) and 188.9 (1-C=O).
(E)-3-(2-methoxyphenyl)-1-phenylprop-2-en-1-one (3g). Yellow crystalline solid; yield: 62%; m.p.: 51–53 °C; FTIR (ATR) νmax cm−1: 3019 (Csp2–H), 2948 (Csp3–H), 1659 (C=O), 1594 (–C=C–), 1513, 1439 (C=C aromatic), 1247 (C–O); 1H-NMR (500 MHz; CD3COCD3): δH 3.98 (3H, s, 4-OCH3), 7.05 (1H, t, J = 7.5 Hz, H-5′), 7.13 (1H, d, J = 8.5 Hz, H-3′), 7.64 (1H, m, H-4′), 7.58 (2H, t, J = 7.5 Hz, H-2″ and H-6″), 7.66 (1H, d, J = 7.5 Hz, H-4″), 7.88 (1H, d, J = 15.5 Hz, H-2), 7.90 (1H, t, J = 7.5 Hz, H-6′), 8.14 (2H, d, J = 8.5 Hz, H-3″ and H-5″) and 8.17 (1H, d, J = 15.5 Hz, H-3); 13C-NMR (125 MHz; CD3COCD3); δC 55.2 (4-OCH3), 111.5 (C-3′), 120.7 (C-5′), 122.1 (C-2), 123.6 (C-1′), 128.4 (C-3″ and C-5″), 128.6 (C-6′), 128.6 (C-2″ and C-6″), 132.0 (C-4′), 132.7 (C-4″), 138.5 (C-1″), 139.0 (C-3), 158.8 (C-2′) and 189.4 (1-C=O).

3.1.3. General Procedure for the Preparation of the First Series of 3,5-disubstituted-4,5-dihydro-N-phenyl-1H-pyrazole-1-carbothioamide (4a–g)

The carbothioamide compounds (4a–g) were synthesized according to a previously reported method with slight modifications. The cyclo-condensation of chalcone derivatives (3a–g) (1 mmol) with 4-phenyl-3-thiosemicarbazide (1.5 mmol) was carried out in ethanol (6 mL) in the presence of NaOH (3 mmol) for 3 to 8 h [32]. The reaction progress was observed on a TLC plate. After the reaction was over, the reaction mixture was left at room temperature overnight. A solid was formed after crushed ice was added. The solid was filtered, washed with cold water, dried and recrystallized from ethanol. Please refer the Supplementary Data for full spectra.
5-(4-methylphenyl)-N,3-diphenyl-4,5-dihydro-1H-pyrazole-1-carbothioamide (4a). Cream-colored solid; yield: 26%; m.p.: 133–136 °C; FTIR (ATR) νmax cm−1: 3291 (N–H), 3028 (Csp2–H), 2919 (Csp3–H), 1594 (C=N), 1520, 1449 (aromatic C=C), 1399 (C=S); 1H-NMR (500 MHz, CD3COCD3): δH 2.29 (3H, s, 14-CH3), 3.26 (1H, dd, J = 3.5 Hz and 18 Hz, 4α-CH), 4.05 (1H, dd, J = 11.5 Hz and 18 Hz, 4β-CH), 6.14 (1H, dd, J = 3.5 Hz and 11.5 Hz, 5-CH), 7.16 (5H, m, H-2′, H-3′, H-5′, H-6′, H-11), 7.33 (2H, t, J = 7.5 Hz, H-10 and H-12), 7.49 (3H, m, H-3″, H-4″ and H-5″), 7.72 (2H, m, H-9 and H-13), 7.98 (2H, dd, J = 2.0 Hz and 7.5 Hz, H-2″ and H-6″), 9.93 (1H, s, 7-NH); 13C NMR (125 MHz, CD3COCD3): δC 20.2 (14-CH3), 42.3 (4-CH2), 63.3 (5-CH), 124.3 (C-9 and C-13), 124.6 (C-11), 125.5 (C-2′ and C-6′), 127.2 (C-2″ and C-6″), 128.0 (C-10 and C-12), 128.7 (C-3″ and C-5″), 129.1 (C-3′ and C-5′), 130.7 (C-4″), 131.3 (C-1″), 136.5 (C-4′), 139.8 (C-8), 140.1 (C-1′), 155.3 (3-C=N), 174.2 (6-C=S); HRMS: 394.1156 [M + Na]+ {calcd. 394.1354 for C23H21N3SNa}.
5-(4-methoxyphenyl)-N,3-diphenyl-4,5-dihydro-1H-pyrazole-1-carbothioamide (4b). Pale yellow crystals; yield: 39%; m.p.: 173–175 °C; FTIR (ATR) νmax cm−1: 3334 (N–H), 3058 (Csp2–H), 2842 (Csp3–H), 1592 (C=N), 1510, 1445 (aromatic C=C), 1396 (C=S), 1244 (C–O); 1H-NMR (500 MHz, CD3COCD3): δH 3.29 (1H, dd, J = 3.5 Hz and 18.0 Hz, 4α-CH), 3.78 (3H, s, 14-OCH3), 4.05 (1H, dd, J = 11.5 Hz and 18.0 Hz, 4β-CH), 6.13 (1H, dd, J = 3.5 Hz and 11.5 Hz, 5-CH), 6.89 (2H, d, J = 9.0 Hz, H-3′ and H-5′), 7.15 (1H, t, J = 7.5 Hz, H-11), 7.22 (2H, d, J = 8.5 Hz, H-2′ and H-6′), 7.33 (2H, t, J = 7.5 Hz, H-10 and H-12), 7.50 (3H, m, H-3″, H-4″ and H-5″), 7.73 (2H, d, J = 7.5 Hz, H-9 and H-13), 7.99 (2H, m, H-2″ and H-6″), 9.92 (1H, s, 7-NH); 13C NMR (125 MHz, CD3COCD3): δC 42.3 (4-CH2), 54.6 (14-OCH3), 63.1 (5-CH), 113.8 (C-3′ and C-5′), 124.3 (C-9 and C-13), 124.6 (C-11), 126.9 (C-2′ and C-6′), 127.2 (C-2″ and C-6″), 128.0 (C-10 and C-12), 128.7 (C-3″ and C-5″), 130.7 (C-4″), 131.4 (C-1″), 135.1 (C-1′), 139.8 (C-8), 155.3 (3-C=N), 158.9 (C-4′), 174.2 (6-C=S); HRMS: 410.1098 [M + Na]+ {calcd. 410.1303 for C23H21N3OSNa}.
5-(4-chlorophenyl)-N,3-diphenyl-4,5-dihydro-1H-pyrazole-1-carbothioamide (4c). Yellow solid; yield: 34%; m.p.: 150–153 °C; FTIR (ATR) νmax cm−1: 3306 (N–H), 3034 (Csp2–H), 1594 (C=N), 1538, 1489 (aromatic C=C), 1380 (C=S); 1H-NMR (500 MHz, CD3COCD3): δH 3.33 (1H, dd, J = 3.5 Hz and 18.0 Hz, 4α-CH), 4.11 (1H, dd, J = 11.5 Hz and 18.0 Hz, 4β-CH), 6.18 (1H, dd, J = 3.5 Hz and 11.5 Hz, 5-CH), 7.16 (1H, t, J = 7.5 Hz, H-11), 7.35 (6H, m, H-2′, H-3′, H-5′, H-6′, H-10 and H-12), 7.50 (3H, m, H-3″, H-4″ and H-5″), 7.72 (2H, t, J = 7.5 Hz, H-9 and H-13), 7.99 (2H, d, J = 7.0 Hz, H-2″ and H-6″), 9.96 (1H, s, 7-NH); 13C-NMR (125 MHz, CD3COCD3): δC 42.1 (4-CH2), 63.0 (5-CH), 124.4 (C-9 and C-13), 124.7 (C-11), 127.2 (C-2′ and C-6′), 127.6 (C-2″ and C-6″), 128.1 (C-10 and C-12), 128.6 (C-3′ and C-5′), 128.7 (C-3″ and C-5″), 130.7 (C-4″), 131.2 (C-1″), 132.2 (C-4′), 139.7 (C-8), 142.0 (C-1′), 155.2 (3-C=N), 174.3 (6-C=S); HRMS: 392.0952 [M + H]+ {calcd. 392.0988 for (C22H19ClN3S}.
5-(4-dimethylaminohenyl)-N,3-diphenyl-4,5-dihydro-1H-pyrazole-1-carbothioamide (4d). Orange oil; yield: 12%; FTIR (ATR) νmax cm−1: 3338 (N–H), 3031 (Csp2–H), 2921 (Csp3–H), 1595 (C=N), 1517, 1446 (aromatic C=C), 1395 (C=S), 1320 (C–N); 1H-NMR (500 MHz, CD3COCD3): δH 2.90(6H, s, 14-CH3 and 15-CH3), 3.09 (1H, dd, J = 3.5 Hz and 18.0 Hz, 4α-CH), 3.99 (1H, dd, J = 11.5 Hz and 18.0 Hz, 4β-CH), 6.08 (1H, dd, J = 3.5 Hz and 11.0 Hz, 5-CH), 6.69 (2H, d, J = 9.0 Hz, H-3′ and H-5′), 7.13 (3H, m, H-2′, H-6′ and H-11), 7.33 (2H, m, H-10 and H-12), 7.50 (3H, m, H-3″, H-4″ and H-5″), 7.74 (2H, m, H-9 and H-13), 7.98 (2H, m, H-2″ and H-6″), 9.88 (1H, s, 7-NH); 13C-NMR (125 MHz, CD3COCD3): δC 39.8 (14-CH3 and 15-CH3), 42.3 (4-CH2), 63.2 (5-CH), 112.4 (C-3′ and C-5′), 124.2 (C-9 and C-13), 124.5 (C-11), 126.6 (C-2′ and C-6′), 127.2 (C-2″ and C-6″), 128.0 (C-10 and C-12), 128.7 (C-3″ and C-5″), 130.6 (C-4″), 130.6 (C-1′), 131.5 (C-1″), 139.9 (C-8), 150.0 (C-4′), 155.3 (3-C=N), 174.1 (6-C=S); HRMS: 401.1848 [M + H]+ {calcd. 401.1800 for C24H25N4S}.
5-(2,4-dichlorophenyl)-N,3-diphenyl-4,5-dihydro-1H-pyrazole-1-carbothioamide (4e). Yellowish powder; yield: 15%; m.p.: 175–177 °C; FTIR (ATR) νmax cm−1: 3345 (N–H), 3056 (Csp2–H), 2925 (Csp3–H), 1589 (C=N), 1510, 1447 (aromatic C=C), 1398 (C=S); 1H-NMR (500 MHz, CD3COCD3): δH 3.14 (1H, dd, J = 4.0 Hz and 18.0 Hz, 4α-CH), 4.03 (1H, dd, J = 12.0 Hz and 18.0 Hz, 4β-CH), 6.25 (1H, dd, J = 4.5 Hz and 12.0 Hz, 5-CH), 7.04 (2H, m, H-10 and H-12), 7.21 (3H, m, H-5′, H-6′ and H-11), 7.36 (3H, m, H-3″, H-4″ and H-5″), 7.40 (1H, s, H-3′), 7.59 (2H, dd, J = 1.0 Hz and 8.5 Hz, H-9 and H-13), 7.84 (2H, dd, J = 1.5 Hz and 8.0 Hz, H-2″ and H-6″), 9.88 (1H, s, 7-NH); 13C-NMR (125 MHz, CD3COCD3): δC 40.7 (4-CH2), 61.1 (5-CH), 124.4 (C-10 and C-12), 124.9 (C-11), 127.3 (C-2″ and C-6″), 127.6 (C-5′ and C-6′), 128.1 (C-9 and C-13), 128.7 (C-3″ and C-5″), 129.2 (C-3′), 130.8 (C-4″), 131.1 (C-1″), 132.0 (C-2′), 132.9 (C-4′), 139.0 (C-8), 139.6 (C-1′), 155.4 (3-C=N), 174.3 (6-C=S); HRMS: 426.0573 [M + H]+ {calcd. 426.0599 for (C22H18Cl2N3S}.
5-(2-chlorophenyl)-N,3-diphenyl-4,5-dihydro-1H-pyrazole-1-carbothioamide (4f). Yellow solid; yield: 34%; m.p.: 59–62 °C ([33]: 58–60 °C); FTIR (ATR) νmax cm−1: 3310 (N–H), 3051 (Csp2–H), 2936 (Csp3–H), 1588 (C=N), 1516, 1447 (aromatic C=C), 1400 (C=S); 1H-NMR (500 MHz, CDCl3): δH 3.19 (1H, dd, J = 4.0 Hz and 18.0 Hz, 4α-CH), 3.99 (1H, dd, J = 11.5 Hz and 18.0 Hz, 4β-CH), 6.50 (1H, dd, J = 3.5 Hz and 12.0 Hz, 5-CH), 7.20 (5H, m, H-3′, H-4′, H-5′, H-6′ and H-11), 7.40 (2H, t, J = 7.5 Hz, H-10 and H-12), 7.46 (3H, m, H-3″, H-4″ and H-5″), 7.79 (2H, d, J = 7.5 Hz, H-9 and H-13), 7.83 (2H, m, H-2″ and H-6″), 9.37 (1H, s, 7-NH); 13C-NMR (125 MHz, CDCl3): δC 41.5 (4-CH2), 61.3 (5-CH), 124.2 (C-9 and C-13), 125.5 (C-11), 126.9 (C-2″ and C-6″), 127.2 (C-5′), 128.7 (C-10 and C-12), 128.7 (C-6′), 128.9 (C-3″ and C-5″), 129.4 (C-3′), 130.0 (C-4′), 130.6 (C-4″), 131.1 (C-2′), 131.3 (C-1″), 138.7 (C-1′), 138.8 (C-8), 155.4 (3-C=N), 174.1 (6-C=S); HRMS: 414.0771 [M + Na]+ {calcd. 414.0808 for C22H18ClN3SNa}.
5-(2-methoxyphenyl)-N,3-diphenyl-4,5-dihydro-1H-pyrazole-1-carbothioamide (4g). Yellow solid; yield: 22%; m.p.: 193–196 °C; FTIR (ATR) νmax cm−1: 3359 (N–H), 3055 (Csp2–H), 2920 (Csp3–H), 1572 (C=N), 1520, 1445 (aromatic C=C), 1379 (C=S); 1H-NMR (500 MHz, CD3COCD3): δH 3.27 (1H, dd, J = 3.5 Hz and 18.0 Hz, 4α-CH), 3.82 (3H, s, 14-OCH3), 4.06 (1H, dd, J = 11.5 Hz and 18.0 Hz, 4β-CH), 6.15 (1H, dd, J = 3.5 Hz and 11.5 Hz, 5-CH), 7.16 (5H, q, J = 8.0 Hz and 17.5 Hz, H-3′, H-4′, H-5′, H-6′ and H-11), 7.33 (2H, t, J = 7.5 Hz, H-10 and H-12), 7.50 (3H, m, H-3″, H-4″ and H-5″), 7.73 (2H, d, J = 7.5 Hz, H-9 and H-13), 7.98 (2H, dd, J = 1.5 Hz and 8.0 Hz, H-2″ and H-6″), 9.93 (1H, s, 7-NH); 13C-NMR (125 MHz, CD3COCD3): δC 42.3 (4-CH2), 55.8 (14-OCH3), 63.3 (5-CH), 124.3 (C-9 and C-13), 124.6 (C-11), 125.6 (C-5′ and C-6′), 127.2 (C-2″ and C-6″), 128.0 (C-10 and C-12), 128.7 (C-3″ and C-5″), 129.1 (C-3′ and C-4′),130.7 (C-4″), 131.3 (C-1″), 136.5 (C-2′), 139.8 (C-8), 140.1 (C-1′), 155.3 (3-C=N), 174.2 (6-C=S); HRMS: 410.1319 [M + Na]+ {calcd. 410.1303 for C23H21N3OSNa}.

3.1.4. General Procedure for the Preparation of (3,5-disubstituted-4,5-dihydro-1H-pyrazol-yl) (4-hydroxyphenyl)methanone (5a–g)

The new methanone compounds (5a–g) were synthesized by the cyclo-condensation of chalcone (3a–g) (1 mmol) with 4-hydroxybenzhydrazide (1.5 mmol) in ethanol (6 mL) in the presence of NaOH (3 mmol) for 3 to 8 h. The reaction progress was observed on a TLC plate. After the reaction was over, the reaction mixture was left at room temperature overnight. The reaction mixture was neutralized by adding 1% v/v of HCl and monitored by pH paper until the precipitate formed. A solid was formed after crushed ice was added. The solid was filtered, washed with cold water and dried. The products were purified by CC using silica gel with the eluent n-hexane:ethyl acetate to give the compounds 5a–g. Please refer the Supplementary Data for full spectra.
N-(4-hydroxyphenyl)(5-(4-methylphenyl)-3-phenyl-4,5-dihydro-1H-pyrazol-1-yl)methanone (5a). Pale yellow powder; yield: 29%; m.p.: 224–228 °C; FTIR (ATR) νmax cm−1: 3209 (O–H), 3055 (Csp2–H), 2923 (Csp3–H), 1740 (C=O), 1588 (C=N), 1511, 1439 (aromatic C=C), 1230 (C–O); 1H-NMR (500 MHz, DMSO-d6): δH 2.27 (3H, s, 14-CH3), 3.12 (1H, dd, J = 5.5 Hz and 18.0 Hz, 4α-CH), 3.87 (1H, dd, J = 12.0 Hz and 18.0 Hz, 4β-CH), 5.71 (1H, dd, J = 5.0 Hz and 11.5 Hz, 5-CH), 6.85 (2H, d, J = 9.0 Hz, H-8 and H-12), 7.16 (4H, m, H-2′, H-3′, H-5′ and H-6′), 7.47 (3H, m, H-3″, H-4″ and H-5″), 7.75 (2H, m, H-2″ and H-6″), 7.86 (2H, d, J = 8.5 Hz, H-9 and H-11), 10.04 (1H, s, 13-OH); 13C-NMR (125 MHz, DMSO-d6): δC 21.1 (14-CH3), 41.6 (4-CH2), 61.0 (5-CH), 115.0 (C-8 and C-12), 125.3 (C-7), 126.0 (C-2″ and C-6″), 127.1 (C-2′ and C-6′), 129.3 (C-3′ and C-5′), 129.7 (C-3″ and C-5″), 130.7 (C-4″), 131.7 (C-1″), 132.4 (C-9 and C-11), 136.8 (C-4′), 140.2 (C-1′), 155.9 (3-C=N), 160.4 (10-C-OH), 165.2 (6-C=O); HRMS: 357.1591 [M + H]+ {calcd. 357.1603 for C23H21N2O2}.
N-(4-hydroxyphenyl)(5-(4-methoxyphenyl)-3-phenyl-4,5-dihydro-1H-pyrazol-1-yl)methanone (5b). Pale yellow powder; yield: 30%; m.p.: 228–232 °C; FTIR (ATR) νmax cm−1: 3211.5 (O–H), 3066 (Csp2–H), 2929 (Csp3–H), 1741 (C=O), 1605 (C=N), 1513, 1437 (aromatic C=C), 1236 (C–O); 1H-NMR (500 MHz, DMSO-d6): δH 3.14 (1H, dd, J = 5.0 Hz and 18.0 Hz, 4α-CH), 3.72 (3H, s, 14-OCH3), 3.86 (1H, dd, J = 12.0 Hz and 18.0 Hz, 4β-CH), 5.70 (1H, dd, J = 5.0 Hz and 11.5 Hz, 5-CH), 6.84 (2H, d, J = 9.0 Hz, H-8 and H-12), 6.90 (2H, d, J = 8.5 Hz, H-2′ and H-6′), 7.21 (2H, d, J = 8.5 Hz, H-3′ and H-5′), 7.47 (3H, m, H-3″, H-4″ and H-5″), 7.76 (2H, m, H-2″ and H-6″), 7.85 (2H, d, J = 9.0 Hz, H-9 and H-11), 10.03 (1H, s, 13-OH); 13C-NMR (125 MHz, DMSO-d6): δC 41.6 (4-CH2), 55.6 (14-OCH3), 60.7 (5-CH), 114.5 (C-2′ and C-6′), 114.9 (C-8 and C-12), 125.4 (C-7), 127.1 (C-2″ and C-6″), 127.4 (C-3′ and C-5′), 129.3 (C-3″ and C-5″), 130.7 (C-4″), 131.8 (C-1″), 132.4 (C-9 and C-11), 135.2 (C-1′), 155.0 (3-C=N), 158.9 (C-4′), 160.4 (10-C-OH), 165.2 (6-C=O); HRMS: 373.1583 [M + H]+ {calcd. 373.1552 for C23H21N2O3}.
N-(4-hydroxyphenyl)(5-(4-chlorolphenyl)-3-phenyl-4,5-dihydro-1H-pyrazol-1-yl)methanone (5c). Yellowish needles; yield: 16%; m.p.: 263–266 °C; FTIR (ATR) νmax cm−1: 3255 (O–H), 3070 (Csp2–H), 2926 (Csp3–H), 1738 (C=O), 1572 (C=N), 1516, 1438 (aromatic C=C), 1238 (C–O); 1H-NMR (δ/ppm, 500 MHz, DMSO-d6): δH 3.16 (1H, dd, J = 5.5 Hz and 18.0 Hz, 4α-CH), 3.89 (1H, dd, J = 12.0 Hz and 18.0 Hz, 4β-CH), 5.76 (1H, dd, J = 5.0 Hz and 11.5 Hz, 5-CH), 6.85 (2H, d, J = 9.0 Hz, H-8 and H-12), 7.32 (2H, d, J = 8.5 Hz, H-2′ and H-6′), 7.41 (2H, d, J = 8.5 Hz, H-3′ and H-5′), 7.47 (3H, m, H-3″, H-4″ and H-5″), 7.75 (2H, m, H-2″ and H-6″), 7.87 (2H, d, J = 8.5 Hz, H-9 and H-11), 10.07 (1H, s, 13-OH); 13C-NMR (δ/ppm, 125 MHz, DMSO-d6): δC 41.4 (4-CH2), 60.7 (5-CH), 114.9 (C-8 and C-12), 125.1 (C-7), 127.2 (C-2″ and C-6″), 128.1 (C-2′ and C-6′), 129.1 (C-3′ and C-5′), 129.3 (C-3″ and C-5″), 130.8 (C-4″), 131.6 (C-1″), 132.2 (C-4′), 132.5 (C-9 and C-11), 142.1 (C-1′), 155.1 (3-C=N), 160.5 (10-C-OH), 165.3 (6-C=O); HRMS: 377.1030 [M + H]+ {calcd. 376.0979 for C22H17ClN2O2}.
N-(4-hydroxyphenyl)(5-(4-dimethylaminophenyl)-3-phenyl-4,5-dihydro-1H-pyrazol-1-yl) methanone (5d). Brownish solid; yield: 9%; m.p.: 236–240 °C; FTIR (ATR) νmax cm−1: 3241.4 (O–H), 3065.5 (Csp2–H), 2929 (Csp3–H), 1720 (C=O), 1604 (C=N), 1511, 1423 (aromatic C=C), 1339 (C–N), 1226 (C–O). 1H-NMR (500 MHz, CDCl3): δH 2.77 (6H, s, 14-CH3 and 15-CH3), 3.09 (1H, dd, J = 5.0 Hz and 17.5 Hz, 4α-CH), 3.62 (1H, dd, J = 11.5 Hz and 18.0 Hz, 4β-CH), 5.65 (1H, dd, J = 5.0 Hz and 11.5 Hz, 5-CH), 6.64 (2H, d, J = 8.5 Hz, H-8 and H-12), 6.71 (2H, d, J = 9.0 Hz, H-2′ and H-6′), 7.12 (2H, d, J = 8.5 Hz, H-3′ and H-5′), 7.32 (3H, m, H-3″, H-4″ and H-5″), 7.63 (2H, m, H-2″ and H-6″), 7.85 (2H, d, J = 7.5 Hz, H-9 and H-11); 13C NMR (125 MHz, CDCl3): δC 41.1 (14-CH3 and 15-CH3), 41.4 (4-CH2), 61.1 (5-CH), 113.6 (C-3′ and C-5′), 114.7 (C-8 and C-12), 125.4 (C-7), 126.8 (C-2′ and C-6′), 126.9 (C-2″ and C-6″), 128.7 (C-3″ and C-5″), 130.4 (C-4″), 130.6 (C-1′), 131.5 (C-1″), 132.5 (C-9 and C-11), 149.5(C-4′), 155.1 (3-C=N), 159.4 (10-C-OH), 166.4 (6-C=O); HRMS: 386.1891 [M + H]+ {calcd. 386.1869 for C24H24N3O2}.
N-(4-hydroxyphenyl)(5-(2,4-dichlorolphenyl)-3-phenyl-4,5-dihydro-1H-pyrazol-1-yl)methanone (5e). Pale yellow powder; yield: 17%; m.p.: 237–241 °C; FTIR (ATR) νmax cm−1: 3137 (O–H), 3066 (Csp2–H), 2926 (Csp3–H), 1737 (C=O), 1618 (C=N), 1573, 1427 (aromatic C=C), 1244 (C–O); 1H-NMR (500 MHz, DMSO-d6): δH 3.13 (1H, dd, J = 6.0 Hz and 18.0 Hz, 4α-CH), 3.96 (1H, dd, J = 12.0 Hz and 18.0 Hz, 4β-CH), 5.95 (1H, dd, J = 5.5 Hz and 12.0 Hz, 5-CH), 6.87 (2H, d, J = 8.5 Hz, H-8 and H-12), 7.22 (1H, d, J = 8.0 Hz, H-6′), 7.40 (1H, dd, J = 2.5 Hz and 8.5 Hz, H-5′), 7.47 (3H, m, H-3″, H-4″ and H-5″), 7.69 (1H, d, J = 2.5 Hz, H-3′), 7.75 (2H, m, H-2″ and H-6″), 7.91 (2H, d, J = 8.5 Hz, H-9 and H-11), 10.11 (1H, s, 13-OH); 13C NMR (125 MHz, DMSO-d6): δC 40.1 (4-CH2), 58.8 (5-CH), 114.9 (C-8 and C-12), 124.7 (C-7), 127.2 (C-2″ and C-6″), 128.4 (C-5′ and C-6′), 129.3 (C-3″ and C-5″), 129.6 (C-3′), 130.9 (C-4″), 131.5 (C-1″), 132.4 (C-2′), 132.6 (C-9 and C-11), 133.0 (C-4′), 138.9 (C-1′), 155.3 (3-C=N), 160.7 (10-C-OH), 165.2 (6-C=O); HRMS: 411.0694 [M + H]+ {calcd. 411.0667 for C22H17Cl2N2O2}.
N-(4-hydroxyphenyl)(5-(2-chlorolphenyl)-3-phenyl-4,5-dihydro-1H-pyrazol-1-yl)methanone (5f). Pale yellow powder; yield: 15%; m.p.: 216–219 °C; FTIR (ATR) νmax cm−1: 3125 (O–H), 3066 (Csp2–H), 2928 (Csp3–H), 1720 (C=O), 1605 (C=N), 1514, 1431 (aromatic C=C), 1240 (C–O); 1H-NMR (500 MHz, DMSO-d6): δH 3.05 (1H, dd, J = 5.5 Hz and 18.0 Hz, 4α-CH), 3.96 (1H, dd, J = 12.0 Hz and 18.0 Hz, 4β-CH), 5.96 (1H, dd, J = 5.5 Hz and 12.0 Hz, 5-CH), 6.86 (2H, d, J = 9.0 Hz, H-8 and H-12), 7.18 (1H, m, H-5′), 7.30 (2H, m, H-3′ and H-6′), 7.44 (3H, m, H-3″, H-4″ and H-5″), 7.50 (1H, m, H-4′), 7.72 (2H, m, H-2″ and H-6″), 7.89 (2H, d, J = 8.5 Hz, H-9 and H-11), 10.27 (1H, s, 13-OH); 13C NMR (125 MHz, DMSO-d6): δC 40.4 (4-CH2), 59.1 (5-CH), 115.0 (C-8 and C-12), 124.9 (C-7), 127.1 (C-2″, C-6″ and C-5′), 128.2 (C-6′), 129.3 (C-3″ and C-5″), 129.5 (C-3′), 130.3 (C-4′), 130.9 (C-4″), 131.4 (C-1″ and C-2′), 132.5 (C-9 and C-11), 139.6 (C-1′), 155.3 (3-C=N), 160.5 (10-C-OH), 165.4 (6-C=O); HRMS: 377.1011 [M + H]+ {calcd. 377.1057 for C22H18ClN2O2}.
N-(4-hydroxyphenyl)(5-(2-methoxyphenyl)-3-phenyl-4,5-dihydro-1H-pyrazol-1-yl)methanone (5g). Pale yellow powder; yield: 22%; m.p.: 220–223 °C; FTIR (ATR) νmax cm−1: 3198 (O–H), 3029 (Csp2–H), 2925 (Csp3–H), 1738 (C=O), 1603 (C=N), 1513, 1429 (aromatic C=C), 1245 (C–O); 1H-NMR (500 MHz, DMSO-d6): δH 3.00 (1H, dd, J = 5.0 Hz and 18.0 Hz, 4α-CH), 3.84 (1H, dd, J = 10.0 Hz and 19.0 Hz, 4β-CH), 3.85 (3H, s, 14-OCH3), 5.89 (1H, dd, J = 4.5 Hz and 12.0 Hz, 5-CH), 6.87 (3H, m, H-5′, H-8 and H-12), 7.05 (2H, m, H-3′ and H-6′), 7.26 (1H, m, H-4′), 7.45 (3H, m, H-3″, H-4″ and H-5″), 7.74 (2H, m, H-2″ and H-6″), 7.89 (2H, d, J = 9.0 Hz, H-9 and H-11), 10.09 (1H, s, 13-OH); 13C NMR (125 MHz, DMSO-d6): δC 40.1 (4-CH2), 56.1 (14-OCH3), 56.9 (5-CH), 111.9 (C-6′), 114.9 (C-8 and C-12), 120.9 (C-5′), 125.4 (C-7), 125.9 (C-3′), 127.1 (C-2″ and C-6″), 128.9 (C-4′), 129.3 (C-3″ and C-5″), 131.0 (C-1′), 130.7 (C-4″), 131.8 (C-1″), 132.4 (C-9 and C-11), 155.5 (3-C=N), 156.4 (C-2′), 160.4 (10-C-OH), 165.1 (6-C=O); HRMS: 373.1599 [M + H]+ {calcd. 373.1552 for C23H21N2O3}.

3.1.5. Screening of Anti-Tuberculosis Activity against M. tuberculosis H37Ra

The tetrazolium microplate assay (TEMA) method was performed to evaluate the anti-mycobacterial activity of the derivatives as described by Caviedes et al. with minor modifications [34]. The assay was performed in 96-well plates in duplicate and at least three times independently. The derivatives were dissolved in DMSO and serially diluted to the desired concentration in complete Middlebrook 7H9 media enriched with albumin dextrose catalase supplement to reduce the DMSO concentration below 1%. DMSO at this concentration did not inhibit the growth of M. tuberculosis H37Ra (unreported data). Briefly, 200 μL of sterile distilled water was added to the outer wells of the microplate and 100 µL of Middlebrook 7H9-ADC media into the wells in columns C to G, rows 2 to 11. Then, 100 μL of working solution containing the compounds was added into the wells in columns B and C, rows 2 to 11, in duplicate. A two-fold serial dilution of the compounds was made by transferring 100 μL from the wells in column C to column D, the content was mixed well, and the dilutions were continued until column G, where 100 μL of the excess medium from the wells in column G was discarded. Log phase M. tuberculosis H37Ra at a density of (~1.5 × 107 CFU/mL) was added and incubated at 37 °C with 5% CO2 for 5 days. On day 5, 50 μL of tetrazolium reagent mixture was added to all wells, and the plates were re-incubated for 24 h. The results were read visually the following day. The MIC is defined as the lowest drug concentration that prevented the color change from yellow to purple. A small volume of the culture from the 96-well plate was transferred into Middlebrook 7H10 agar media and the plates were incubated at 37 °C with 5% CO2 for 28 days. The MBC is defined as the lowest concentration of compound that did not show any bacterial colony growth.

3.1.6. Molecular Docking

The three-dimensional coordinates of the reference structure, cytochrome P45014 alpha-sterol demethylase (CYP51) complexed with fluconazole (PDB ID: 1EA1), and the structure of the experimental control, isoniazid (PDB ID: 2VCF), were fetched by ID from the Protein Data Bank (PDB) database in UCSF Chimera version 1.14 [35]. Before docking, the crystal PDBs were processed using the Dock Prep tool, starting with the removal of water molecules and unrelated hetam (i.e., refer to any ions molecules and any atoms that not belong to the protein) followed by separation of the receptor and inhibitor from the complexes into individual structures and finally the minimization of individual structures by steepest descent steps [36]. The compound 4a was built using ChemDraw and subsequently converted from cdx format to PDB.
To recognize the binding sites in CYP51, the grid size was set to −18, −2.6 and 63 along the X-, Y- and Z-axes, respectively, with a 0.375 Å grid spacing. The grid center along the X-, Y- and Z-axes was set to 76, 72, and 83 Å. The AutoDock Vina tool was then used to calculate possible bindings and energies [37]. All poses were combined using UCSF Chimera version 1.14 and further labelled by the GNU Image Manipulation program. The interaction modes between CYP51 and compound 4 for each pose were further analyzed using Biovia Discovery Studio Visualizer Client 2020 (Dassault Systèmes BIOVIA, Discovery Studio Modeling Environment, Release 2017, San Diego: Dassault Systèmes, 2016).

4. Conclusions

In conclusion, two series of pyrazoline derivatives (4ag and 5ag) were prepared by cyclocondensation reaction between chalcone derivatives (3a–g) with a different type of 4-phenyl-3-thiosemicarbazide/4-hydroxybenzhydrazide in the presence of NaOH as a catalyst. Nine out of fourteen new compounds synthesized from two series of experiments were elucidated for structure using FTIR, 1D-NMR, 2D-NMR and HRMS. All seven synthesized compounds (5a–g) from the second series are new compounds. The synthesized compounds were evaluated for their antituberculosis activity by in vitro study against Mycobacterium tuberculosis H37Ra. The tested compounds displayed some degree of inhibition, with MIC values ranging from 17 μM to 535 μM. Significant activity was found for compound 4a, which had the lowest MIC value of 17 μM. Meanwhile, pyrazoline derivatives (5a, 5c, 5d, 5e, 5f and 5g), except for 5b from the second series, exhibited moderate activity against M. tuberculosis with MICs of 70 μM, 66 μM, 65 μM, 61 μM, 66 μM and 134 μM, respectively. In the MBC assay, compound 4a showed the strongest killing effect towards M. tuberculosis H37Ra with a value of 34 μM. Molecular docking studies demonstrated that compound 4a has the best binding capability towards the cytochrome P450 14 alpha-sterol demethylase (CYP51) complex.

Supplementary Materials

The following are available online. Figures S1–S80: spectrums for compounds 4a5g.

Author Contributions

Conceptualization, H.O. and M.N.A.; methodology, K.T.W., H.O., M.N.A. and T.P.; software, M.T.C.O.; validation, M.N.A. and T.P.; formal analysis, K.T.W., T.P. and M.T.C.O.; investigation, K.T.W., T.P. and U.S.; resources, H.O. and M.N.A.; data curation, K.T.W.; writing—original draft preparation, K.T.W. and M.N.A.; writing—review and editing, M.T.C.O., H.O., M.N.A., U.S. and T.P.; visualization, K.T.W. and M.N.A.; supervision, H.O., M.N.A. and T.P.; project administration, H.O. and M.N.A.; funding acquisition, H.O. and M.N.A.; All authors have read and agreed to the published version of the manuscript.

Funding

This project had been supported by USM RUI grant (1001/PKIMIA/8011072).

Institutional Review Board Statement

Not applicable.

Informed Consent Statement

Not applicable.

Data Availability Statement

Data is contained within the article or supplementary material. The data presented in this study are available in this article or supplementary material.

Acknowledgments

The authors would like to acknowledge the financial support from the Ministry of Higher Education of Malaysia (MyBrain15 Scheme – MyPhD) and USM RUI grant (1001/PKIMIA/8011072).

Conflicts of Interest

The authors declare no conflict of interest.

References

  1. Knorr, L. Einwirkung von acetessigester auf phenylhydrazin. Eur. J. Inorg. Chem. 1883, 16, 2597–2599. [Google Scholar] [CrossRef]
  2. Kumar, G.; Tanwer, O.; Kumar, J.; Akhter, M.; Sharma, S.; Pillai, C.R.; Alam, M.M.; Zama, M.S. Pyrazole-pyrazoline as promising novel antimalarial agents: A mechanistics study. Eur. J. Med. Chem. 2018, 149, 139–147. [Google Scholar] [CrossRef] [PubMed]
  3. Vineet, M.; Seema, P.; Rajendra, N.; Devashis, M.; Kirpa, S. Substituted pyrazolines and their cardiovascular activity. Indian J. Chem. Sect. B 2002, 41, 1310–1313. [Google Scholar]
  4. Lv, P.C.; Li, D.D.; Li, Q.S.; Lu, X.; Xiao, Z.P.; Zhu, H.L. Synthesis, molecular docking and evaluation of thiazolyl-pyrazoline derivatives as EGFR TK inhibitors and potential anticancer agents. Bioorg. Med. Chem. Lett. 2011, 21, 5374–5377. [Google Scholar] [CrossRef]
  5. Abid, M.; Bhat, A.R.; Athar, F.; Azam, A. Synthesis, spectral studies and antiamoebic activity of new 1-N-substituted thiocarbamoyl-3-phenyl-2-pyrazolines. Eur. J. Med. Chem. 2009, 44, 417–425. [Google Scholar] [CrossRef]
  6. Abdel-Wahad, B.F.; Abdel-Aziz, H.A.; Ahmed, E.M. Synthesis and antimicrobial evaluation of 1-(benzofuran-2-yl)-4-nitro-3- arylbutan-1-ones and 3-(benzofuran-2-yl)-4,5-dihydro-5-aryl-1-[4-(aryl)-1, 3-thiazol-2-yl]-1H-pyrazoles. Eur. J. Med. Chem. 2009, 44, 2632–2635. [Google Scholar] [CrossRef] [PubMed]
  7. Revanasiddappa, B.C.; Jisha, M.S.; Kumar, M.V.; Kumar, H. Synthesis, antibacterial and antifungal evaluation of novel pyrazoline derivatives. Dhaka Univ. J. Pharm. Sci. 2018, 17, 221–226. [Google Scholar] [CrossRef]
  8. Ismaeil, Z.H.; Soliman, F.M.A.; Abd-El Monem, S.H. Synthesis, Antimicrobial and Antitumor Activity of Some 3, 5-Diaryl and 1, 3, 5-Triaryl-2-Pyrazoline Derivatives. J. Am. Sci. 2011, 7, 756–767. [Google Scholar]
  9. Nayak, B.V.; Ciftci-Yabanoglu, S.; Jadav, S.S.; Jagrat, M.; Sinha, B.N.; Ucar, G.; Jayaprakash, V. Monoamine oxidase inhibitory activity of 3,5-biaryl-4,5-dihydro-1H- pyrazole-1-carboxylate derivatives. J. Med. Chem. 2013, 69, 762–767. [Google Scholar] [CrossRef] [PubMed]
  10. Upadhyay, S.; Tripathi, A.C.; Paliwal, S.; Saraf, S.K. 2-pyrazoline derivatives in neuropharmacology: Synthesis, adme prediction, molecular docking and in vivo biological evaluation. EXCLI 2017, 16, 628–649. [Google Scholar]
  11. Ahsan, M.J.; Samy, J.G.; Soni, S.; Jain, N.; Kumar, L.; Sharma, L.K.; Yadav, H.; Saini, L.; Kalyansing, R.G.; Devenda, N.S.; et al. Discovery of novel antitubercular 3a,4-dihydro-3H-indeno [1,2-c]pyrazole-2- carboxamide/carbothioamide analogues. Bioorg. Med. Chem. Lett. 2011, 21, 5259–5261. [Google Scholar] [CrossRef] [PubMed]
  12. Palleapati, K.; Kancharlapalli, V.R.; Shaik, A.B. Synthesis, characterization and antitubercular evaluation of some new isoxazole appended 1-carboxamido-4,5-dihydro-1H-pyrazoles. J. Res. Pharm. 2019, 23, 156–163. [Google Scholar] [CrossRef]
  13. Chirke, S.S.; Krishna, J.S.; Rathod, B.B.; Bonam, S.R.; Khedkar, V.M.; Rao, B.V.; Sampath Kumar, H.M.; Shetty, P.R. Synthesis of Triazole Derivatives of 9-Ethyl-9H-carbazole and Dibenzo[b,d]furan and Evaluation of Their Antimycobacterial and Immunomodulatory Activity. ChemistrySelect 2017, 2, 7309–7318. [Google Scholar] [CrossRef]
  14. Nustrat, B.; Siddiqui, N.; Sahu, M.; Naim, M.J.; Yar, M.S.; Ali, R.; Alam, O. Anticonvulsant evaluation of 2-pyrazolines carrying napthyl moiety: An insight into synthesis and molecular docking study. Braz. J. Pharm. Sci. 2019, 55, 1–11. [Google Scholar]
  15. Bhandari, S.; Tripathi, A.C.; Saraf, S.K. Novel 2-pyrazoline derivatives as potential anticonvulsant agents. Med. Chem. Res. 2013, 22, 5290–5296. [Google Scholar] [CrossRef]
  16. Ozdemir, Z.; Kandilci, H.B.; Gumusel, B.; Calis, U.; Bilgin, A.A. Synthesis and studies on antidepressant and anticonvulsant activities of some 3-(2-furyl)-pyrazoline derivatives. Eur. J. Med. Chem. 2007, 42, 373–379. [Google Scholar] [CrossRef] [PubMed]
  17. World Health Organization. 2015 Global Tuberculosis Report; WHO: Geneva, Switzerland, 2015; Available online: https://www.who.int/tb/publications/global_report/gtbr2015_executive_summary.pdf (accessed on 9 March 2020).
  18. World Health Organization. 2019 Global Tuberculosis Report; WHO: Geneva, Switzerland, 2019; Available online: https://apps.who.int/iris/bitstream/handle/10665/329368/9789241565714-eng.pdf?ua=1 (accessed on 9 March 2020).
  19. Malaysia Health Ministry Official. Malaysia’s High TB Mortality Rate Preventable. 2019. Available online: https://www.malaymail.com/news/malaysia/2019/12/16/health-ministry-official-tb-mortality-rate-high-in-malaysia-due-to-late-tre/1819581 (accessed on 1 March 2020).
  20. Heinrichs, M.; May, R.; Heider, F.; Reimers, T.; B Sy, S.; Peloquin, C.; Derendorf, H. Mycobacterium tuberculosis Strains H37ra and H37rv have equivalent minimum inhibitory concentrations to most antituberculosis drugs. Int. J. Mycobacteriol. 2018, 7, 156–161. [Google Scholar] [CrossRef] [PubMed]
  21. McEvoy. Characterizing carbonyls with infrared spectroscopy: An introductory chemistry experiment in a molecular bioscience program. J. Chem. Educ. 2014, 91, 726–729. [Google Scholar] [CrossRef]
  22. Jadhav, S.B.; Fatema, S.; Sanap, G.; Farooqui, M. Antitubercular activity and synergistic study of novel pyrazole derivatives. J. Heterocycl. Chem. 2018, 55, 1634–1644. [Google Scholar] [CrossRef]
  23. Ali, M.A.; Shaharyar, M.; Siddiqui, A.A. Synthesis, structural activity relationship and anti-tubercular activity of novel pyrazoline derivatives. Eur. J. Med. Chem. 2007, 42, 268–275. [Google Scholar] [CrossRef]
  24. Gupta, S.P.B.N.; Pramanik, S.K.; Upmanyu, N. Pyrazolines as promising medicinal agents. Int. J. Chem. Sci. 2009, 7, 87–92. [Google Scholar]
  25. Podust, L.M.; Poulos, T.L.; Waterman, M.R. Crystal structure of cytochrome P450 14 alpha-sterol demethylase (CYP51) from Mycobacterium tuberculosis in complex with azole inhibitors. Proc. Natl. Acad. Sci. USA. 2001, 98, 3068–3073. [Google Scholar] [CrossRef] [PubMed]
  26. Bhasker, N.; Prashanthi, N.; Subba Reddy, B.V. Piperidine mediated synthesis of new series of prenyloxy chalcones, flavanones and comparative cytotoxic study. Der Pharm. Lett. 2015, 7, 8–13. [Google Scholar]
  27. Venkatesan, P.; Sumathi, S. Piperidine Mediated Synthesis of N-Heterocyclic Chalcones and Their Antibacterial Activity. J. Heterocycl. Chem. 2010, 47, 81–84. [Google Scholar] [CrossRef]
  28. Kumar, S.; Lamba, M.; Makrandi, J.K. An efficient green procedure for the synthesis of chalcones using C-200 as solid support under grinding conditions. Green Chem. Lett. Rev. 2008, 1, 123–125. [Google Scholar] [CrossRef]
  29. Supuran, C.T.; Popescu, A.; Ilisiu, M.; Costandache, A.; Banciu, M.D. Carbonic anhydrase inhibitors. Part 36”. Inhibition of isozymes I and II with Schiff bases derived from chalkones and aromatic/heterocyclic sulfonamides. Eur. J. Med. Chem. 1996, 31, 439–447. [Google Scholar] [CrossRef]
  30. Davey, W.; Gwilt, J.R. Chalcones and related compounds. Part I. Preparation of nitro-, amino-, and halogeno-chalcones. J. Chem. Soc. 1957, 1008–1014. [Google Scholar] [CrossRef]
  31. Sashidhara, K.V.; Rosaiah, J.N.; Kumar, A. Iodine-catalyzed mild and efficient method for the synthesis of chalcones. Syn. Commun. 2009, 39, 2288–2296. [Google Scholar] [CrossRef]
  32. Beyhan, N.; Kocyigit-Kaymakcioglu, B.; Gümrü, S.; Aricioglu, F. Synthesis and anticonvulsant activity of some 2-pyrazolines derived from chalcones. Arab. J. Chem. 2017, 10, S2071–S2081. [Google Scholar] [CrossRef]
  33. Patel, V.I.; Patel, B. Synthesis and study of some pyrazole derivatives as anti-tubercular agent. Int. J. Pharma Bio Sci. 2010, 1, 453–458. [Google Scholar]
  34. Caviedes, L.; Delgado, J.; Gilman, R.H. Tetrazolium Microplate Assay as a Rapid and Inexpensive Colometric Method for Determination of Antibiotic Susceptibility of Mycobacterium tuberculosis. J. Clin. Microbiol. 2002, 40, 1873–1874. [Google Scholar] [CrossRef] [PubMed]
  35. Pettersen, E.F.; Goddard, T.D.; Huang, C.C.; Couch, G.S.; Greenblatt, D.M.; Meng, E.C.; Ferrin, T.E. UCSF Chimera—A visualization system for exploratory research and analysis. J. Comput. Chem. 2004, 25, 1605–1612. [Google Scholar] [CrossRef] [PubMed]
  36. Wang, J.; Wang, W.; Kollman, P.A.; Case, D.A. Automatic atom type and bond type perception in molecular mechanical calculation. J. Mol. Graph. Model. 2006, 25, 247–260. [Google Scholar] [CrossRef] [PubMed]
  37. Ddd Huang, C.C.; Meng, E.C.; Morris, J.H.; Pettersen, E.F.; Ferrin, T.E. Enhancing UCSF Chimera through web services. Nucleic Acid Res. 2014, 42, 478–484. [Google Scholar] [CrossRef]
Figure 1. The general structure of the pyrazoline at position 1-, 3- and 5-.
Figure 1. The general structure of the pyrazoline at position 1-, 3- and 5-.
Molecules 26 02081 g001
Scheme 1. Synthesis of chalcone and pyrazoline derivatives.
Scheme 1. Synthesis of chalcone and pyrazoline derivatives.
Molecules 26 02081 sch001
Figure 2. Key COSY/HMBC correlations of compound 4a.
Figure 2. Key COSY/HMBC correlations of compound 4a.
Molecules 26 02081 g002
Figure 3. Key COSY/HMBC correlations of compound 5e.
Figure 3. Key COSY/HMBC correlations of compound 5e.
Molecules 26 02081 g003
Figure 4. Active sites of CYP51 for binding of compound 4a and controls (Fluconazole & Isonizid).
Figure 4. Active sites of CYP51 for binding of compound 4a and controls (Fluconazole & Isonizid).
Molecules 26 02081 g004
Figure 5. Three-dimensional binding modes of compound 4a (pose 1–5) present at the active sites of CYP51. The interaction modes of the most potent pose in CYP51: Figure 5a orientation 4a in pose 1, Figure 5b orientation 4a in pose 2, Figure 5c orientation 4a in pose 3, Figure 5d orientation 4a in pose 4 and Figure 5e orientation 4a in pose 5. Pi-cation/Pi-anion/attractive charge interactions (orange), Pi-sigma interaction (purple), Pi-sulfur (light brown), conventional hydrogen bond interaction (green), unfavorable interaction (red), Pi-Pi T-shaped interaction (pink).
Figure 5. Three-dimensional binding modes of compound 4a (pose 1–5) present at the active sites of CYP51. The interaction modes of the most potent pose in CYP51: Figure 5a orientation 4a in pose 1, Figure 5b orientation 4a in pose 2, Figure 5c orientation 4a in pose 3, Figure 5d orientation 4a in pose 4 and Figure 5e orientation 4a in pose 5. Pi-cation/Pi-anion/attractive charge interactions (orange), Pi-sigma interaction (purple), Pi-sulfur (light brown), conventional hydrogen bond interaction (green), unfavorable interaction (red), Pi-Pi T-shaped interaction (pink).
Molecules 26 02081 g005
Table 1. In vitro anti-tuberculosis activities of pyrazoline derivatives (4a–g and 5a–g) against Mycobacterium tuberculosis H37Ra.
Table 1. In vitro anti-tuberculosis activities of pyrazoline derivatives (4a–g and 5a–g) against Mycobacterium tuberculosis H37Ra.
CompoundsMICMBC
(μg/mL)(μM)(μg/mL)(μM)
4a6.251712.534
4b>200>517>200>517
4c200511>200>511 (NC)
4d>200>500>200>500
4e200471>200>471 (NC)
4f200511>200>511 (NC)
4g>200>517>200>517
5a2570200562
5b>200>535>200>535
5c2566100266
5d2565200519
5e2561200488
5f2566200532
5g50134200537
Isoniazid (Control)0.62550.6255
Results are from three independent experiments performed in duplicate. NC = no bactericidal effect even at the highest test concentration.
Table 2. Binding energy between cytochrome P450 14 alpha-sterol demethylase (CYP51) with compound 4a and controls (fluconazole and isoniazid) for all poses.
Table 2. Binding energy between cytochrome P450 14 alpha-sterol demethylase (CYP51) with compound 4a and controls (fluconazole and isoniazid) for all poses.
EnzymeCompoundPoseBinding
CYP51
(PDB 1EA1)
4a1−6.7
2−6.6
3−6.5
4−6.4
5−6.3
1−7.1
2−6.8
Fluconazole3−6.6
4−6.4
5−6.2
Isoniazid1−6.0
2−5.5
3−5.4
4−5.3
5−5.0
Table 3. Binding interactions between compound 4a with CYP51 (poses 1 to 5).
Table 3. Binding interactions between compound 4a with CYP51 (poses 1 to 5).
Enzyme
+
Compound
Active SitePoseInteracting Unit of CompoundsProtein ResidueType of Interaction
CYP51
+
Compound 4a
21Phenyl Pi–Alkyl
PhenylILE27Pi–Pi T-shaped
PhenylTRP267Pi–Pi T-shaped
PhenylHIS318Pi–Cation
ThioamideARG354Unfavorable
Unfavorable
22PhenylTRP267Pi–Pi Stacked
PhenylGLU271Pi–Anion
Pyrazoline ringARG274H-bond
Phenyl Pi–Cation
Thioamide Unfavorable
Unfavorable
ThioamideGLU424H-bond
ThioamideTYR426H-bond
PhenylARG427Pi–Alkyl
23PhenylILE27Pi–Alkyl
PhenylARG274Pi–Cation
ThioamideLEU317H-bond
ThioamideHIS318Pi–Sulfur
Pyrazoline ringARG354H-bond
Thioamide Unfavorable
PhenylARG427Pi–Alkyl
ThioamideHIS430Pi–Sulfur
34PhenylTHR80Pi–Sigma
ThioamideGLY84H-bond
ThioamideGLU94Attractive charge
PhenylARG96Pi–Cation
35PhenylTHR80Pi–Sigma
ThioamideGLU94Attractive charge
PhenylARG96Pi–Cation
Publisher’s Note: MDPI stays neutral with regard to jurisdictional claims in published maps and institutional affiliations.

Share and Cite

MDPI and ACS Style

Wong, K.T.; Osman, H.; Parumasivam, T.; Supratman, U.; Che Omar, M.T.; Azmi, M.N. Synthesis, Characterization and Biological Evaluation of New 3,5-Disubstituted-Pyrazoline Derivatives as Potential Anti-Mycobacterium tuberculosis H37Ra Compounds. Molecules 2021, 26, 2081. https://doi.org/10.3390/molecules26072081

AMA Style

Wong KT, Osman H, Parumasivam T, Supratman U, Che Omar MT, Azmi MN. Synthesis, Characterization and Biological Evaluation of New 3,5-Disubstituted-Pyrazoline Derivatives as Potential Anti-Mycobacterium tuberculosis H37Ra Compounds. Molecules. 2021; 26(7):2081. https://doi.org/10.3390/molecules26072081

Chicago/Turabian Style

Wong, Kok Tong, Hasnah Osman, Thaigarajan Parumasivam, Unang Supratman, Mohammad Tasyriq Che Omar, and Mohamad Nurul Azmi. 2021. "Synthesis, Characterization and Biological Evaluation of New 3,5-Disubstituted-Pyrazoline Derivatives as Potential Anti-Mycobacterium tuberculosis H37Ra Compounds" Molecules 26, no. 7: 2081. https://doi.org/10.3390/molecules26072081

APA Style

Wong, K. T., Osman, H., Parumasivam, T., Supratman, U., Che Omar, M. T., & Azmi, M. N. (2021). Synthesis, Characterization and Biological Evaluation of New 3,5-Disubstituted-Pyrazoline Derivatives as Potential Anti-Mycobacterium tuberculosis H37Ra Compounds. Molecules, 26(7), 2081. https://doi.org/10.3390/molecules26072081

Article Metrics

Back to TopTop