Copper-Catalyzed Ring-Opening Reactions of Alkyl Aziridines with B2pin2: Experimental and Computational Studies
Abstract
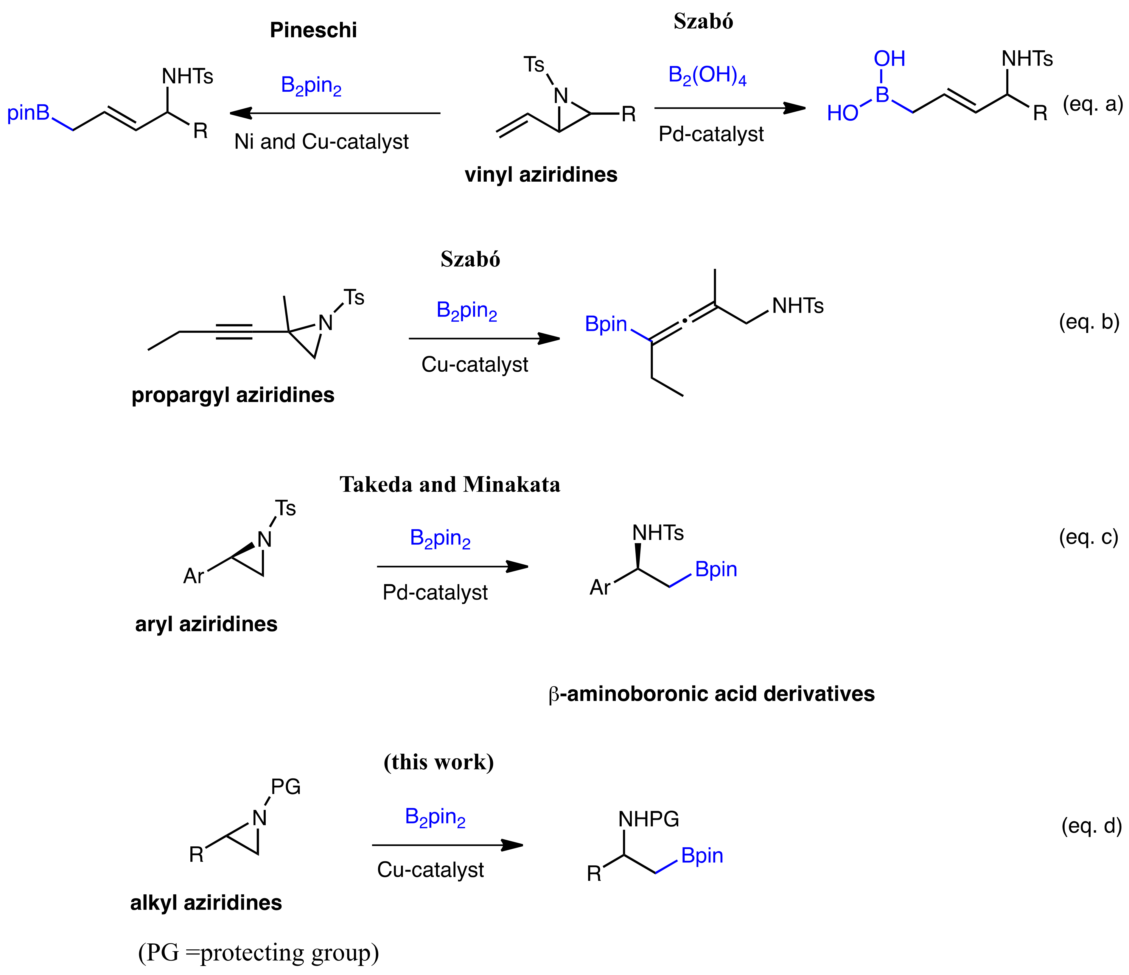
:1. Introduction
2. Results and Discussion
2.1. Experimental Data
2.2. Computational Studies
3. Materials and Methods
3.1. Experimental Part
3.1.1. General Procedure for Borylative Ring-Opening (Table 1)
3.1.2. N-(1-Phenoxy-3-(4,4,5,5-tetramethyl-1,3,2-dioxaborolan-2-yl)propan-2-yl)picolinamide (2c)
3.1.3. 4-(Phenoxymethyl)-2-(pyridin-2-yl)-4,5-dihydrooxazole (3c)
3.1.4. N-(4-Phenyl-1-(4,4,5,5-tetramethyl-1,3,2-dioxaborolan-2-yl)butan-2-yl)picolinamide (11)
3.1.5. N-(4-Phenylbutan-2-yl)picolinamide (12)
3.2. Computational Section
4. Conclusions
Supplementary Materials
Author Contributions
Funding
Acknowledgments
Conflicts of Interest
Sample Availability
References and Notes
- Sabir, S.; Kumar, G.; Verma, V.P.; Jat, J.L. Aziridine Ring Opening: An Overview of Sustainable Methods. ChemistrySelect 2018, 3, 3702–3711. [Google Scholar] [CrossRef]
- Nonn, M.; Remete, A.M.; Fülöp, F.; Kiss, L. Recent advances in the transformations of cycloalkane-fused oxiranes and aziridines. Tetrahedron 2017, 73, 5461–5483. [Google Scholar] [CrossRef]
- Pineschi, M. Asymmetric Ring-Opening of Epoxides and Aziridines with Carbon Nucleophiles. Eur. J. Org. Chem. 2006, 2006, 4979–4988. [Google Scholar] [CrossRef]
- Huang, C.-Y.; Doyle, A.G. The Chemistry of Transition Metals with Three-Membered Ring Heterocycles. Chem. Rev. 2014, 114, 8153–8198. [Google Scholar] [CrossRef] [PubMed]
- Pineschi, M. Advances in the Ring Opening of Small-Ring Heterocycles with Organoboron Derivatives. Synlett 2014, 25, 1817–1826. [Google Scholar] [CrossRef]
- Pineschi, M.; Boldrini, C. Advances in Organoboron Chemistry towards Organic Synthesis; Fernández, E., Ed.; Thieme: Stuttgart, Germany, 2020; pp. 183–226. Available online: https://www.thieme-connect.de/products/ebooks/series/10.1055/b-00000101 (accessed on 3 December 2021).
- Pineschi, M. The Binomial Copper-Catalysis and Asymmetric Ring Opening of Strained Heterocycles: Past and Future Challenges. Eur. J. Org. Chem. 2020, 2643–2649. [Google Scholar] [CrossRef]
- Pineschi, M. Boron Reagents and Catalysts for the Functionalization of Strained Heterocycles. Adv. Synth. Cat. 2021, 363, 2325–2339. [Google Scholar] [CrossRef]
- Fyfe, J.W.B.; Watson, A.J.B. Recent Developments in Organoboron Chemistry: Old Dogs, New Tricks. Chem 2017, 3, 31–55. [Google Scholar] [CrossRef]
- Silva, M.P.; Saraiva, L.; Pinoto, M.; Sousa, M.E. Boronic Acids and Their Derivatives in Medicinal Chemistry: Synthesis and Biological Applications. Molecules 2020, 25, 4323. [Google Scholar] [CrossRef] [PubMed]
- Crotti, S.; Bertolini, F.; Macchia, F.; Pineschi, M. Nickel-Catalyzed Borylative Ring-Opening of Vinyl Epoxides and Aziridines. Org. Lett. 2009, 11, 3762–3765. [Google Scholar] [CrossRef] [PubMed]
- Sebelius, S.; Olsson, V.J.; Szabó, K.J. Palladium Pincer Complex Catalyzed Substitution of Vinyl Cyclopropanes, Vinyl Aziridines, and Allyl Acetates with Tetrahydroxydiboron. An Efficient Route to Functionalized Allylboronic Acids and Potassium Trifluoro(allyl)borates. J. Am. Chem. Soc. 2005, 127, 10478–10479. [Google Scholar] [CrossRef] [PubMed]
- Zhao, J.; Szabó, K.J. Catalytic Borylative Opening of Propargyl Cyclopropane, Epoxide, Aziridine, and Oxetane Substrates: Ligand Controlled Synthesis of Allenyl Boronates and Alkenyl Diboronates. Angew. Chem. Int. Ed. 2016, 55, 1502–1506. [Google Scholar] [CrossRef] [PubMed]
- Takeda, Y.; Kuroda, A.; Sameera, W.M.C.; Morokuma, K.; Minakata, S. Palladium-catalyzed regioselective and stereo-invertive ring-opening borylation of 2-arylaziridines with bis(pinacolato)diboron: Experimental and computational studies. Chem. Sci. 2016, 7, 6141–6152. [Google Scholar] [CrossRef] [PubMed]
- Takeda, Y.; Sameera, W.M.C.; Minakata, S. Palladium-Catalyzed Regioselective and Stereospecific Ring-Opening Cross-Coupling of Aziridines: Experimental and Computational Studies. Acc. Chem. Res. 2020, 53, 1686–1702. [Google Scholar] [CrossRef]
- Šterman, A.; Sosic, I.; Gobec, S.; Casar, Z. Synthesis of aminoboronic acid derivatives: An update on recent advances. Org. Chem. Front. 2019, 6, 2991–2998. [Google Scholar] [CrossRef]
- DeGorovoy, A.S.; Gozhina, O.V.; Svendsen, J.S.; Domorad, A.A.; Tetz, G.V.; Tetz, V.V.; Lejon, T. Boron-Containing Peptidomimetics — A Novel Class of Selective Anti-tubercular Drugs. Chem. Biol. Drug. Des. 2013, 81, 408–413. [Google Scholar] [CrossRef]
- Li, X.; Hall, D.G. Synthesis and Applications of β-aminoalkylboronic Acid Derivatives. Adv. Synth. Cat. 2021, 363, 2209–2223. [Google Scholar] [CrossRef]
- Ahmed, E.-A.M.A.; Lu, X.; Gong, T.-J.; Zhang, Z.-Q.; Xiao, B.; Fu, Y. Copper-catalyzed/mediated borylation reactions of epoxides with diboron reagents: Access to β-hydroxyl boronic esters. Chem. Commun. 2017, 53, 909–912. [Google Scholar] [CrossRef] [PubMed]
- Martin, A.; Casto, K.; Morris, W.; Morgan, J.B. Phosphine-Catalyzed Heine Reaction. Org. Lett. 2011, 13, 5444–5447. [Google Scholar] [CrossRef] [PubMed]
- Heine, H.W.; King, D.C.; Portland, L.A. Aziridines XII. The isomerization of Some cis- and trans-1-p-nitrobenzoyl-2,3-Substituted Aziridines. J. Org. Chem. 1966, 31, 2662–2665. [Google Scholar] [CrossRef]
- Sweeney, J.B. Aziridines: Epoxides’ ugly cousin? Chem. Soc. Rev. 2002, 31, 247–258. [Google Scholar] [CrossRef]
- Stankovic, S.; D’hooghe, M.; Catak, S.; Eum, H.; Waroquier, M.; Van Speybroeck, V.; De Kimpe, N.; Ha, J.-H. Regioselectivity in the ring opening of non-activated aziridines. Chem. Soc. Rev. 2012, 41, 643–665. [Google Scholar] [CrossRef] [PubMed]
- Di Bussolo, V.; Checchia, L.; Romano, M.R.; Favero, L.; Pineschi, M.; Crotti, P. Aminolysis of glycal-derived allylic epoxides and activated aziridines. Effects of the absence of coordination processes on the regio- and stereoselectivity. Tetrahedron 2010, 66, 689–697. [Google Scholar] [CrossRef]
- The anti-periplanar ring opening (in line with the Takeda model) of the not substituted mesyl-aziridine and picolinoyl-aziridine with the THF-Cu-Bpin adduct were investigated. The result shown a ΔΔG‡ of 3 kJ/mol in favour of the sulfonyl aziridine with respect to the N-2(picolinoyl) one in contradiction with the experimental evidence in which the formers are inert while the latter are reactive. See also Supporting Information, pp. S7–S10.
- Ney, J.E.; Wolfe, J.P. Synthesis and Reactivity of Azapalladacyclobutanes. J. Am. Chem. Soc. 2006, 128, 15415–15422. [Google Scholar] [CrossRef]
- Lin, B.L.; Clough, C.R.; Hillhouse, G.L. Interactions of Aziridines with Nickel Complexes: Oxidative-Addition and Reductive-Elimination Reactions that Break and Make C–N Bonds. J. Am. Chem. Soc. 2002, 124, 2890–2891. [Google Scholar] [CrossRef]
- Han, L.; Xu, B.; Liu, T. Mechanisms of the synthesis of trialkylsubstituted alkenylboronates from unactivated internal alkynes catalyzed by copper: A theoretical study. J. Org. Chem. 2018, 864, 154–159. [Google Scholar] [CrossRef]
- Kajiwara, T.; Terabayashi, T.; Yamashita, M.; Nozaki, K. Syntheses, Structures, and Reactivities of Borylcopper and -zinc Compounds: 1,4-Silaboration of an α,β-Unsaturated Ketone to Form a γ-Siloxyallylborane. Angew. Chem. Int. Ed. 2008, 47, 6606–6610. [Google Scholar] [CrossRef] [PubMed]
- Wyss, C.M.; Bitting, J.; Bacsa, J.; Gray, T.G.; Sadighi, J.P. Bonding and Reactivity of a Dicopper(I) μ-Boryl Cation. Organometallics. 2016, 35, 71–74. [Google Scholar] [CrossRef]
- Borner, C.; Anders, L.; Brandhorst, K.; Kleeberg, C. Elusive Phosphine Copper(I) Boryl Complexes: Synthesis, Structures, and Reactivity. Organometallics. 2017, 36, 4687–4690. [Google Scholar] [CrossRef]
- Drescher, W.; Kleeberg, C. Terminal versus Bridging Boryl Coordination in N-Heterocyclic Carbene Copper(I) Boryl Complexes: Syntheses, Structures, and Dynamic Behavior. Inorg. Chem. 2019, 58, 8215–8229. [Google Scholar] [CrossRef] [PubMed]
- The substitution of the chloride anion with methoxide or tert-butoxide did not determined a significative difference in activation free energy with respect to the chloride one. In particular, we observed a modest decrease of both activation free energies of TS3 and TS4 from chloride towards methoxide/tert-butoxide, and a slight increase of the relative energy between the two steps (slightly bigger for tert-butoxide). This small increment of the relative energy between the TS3 and TS4 is most likely due to the contribution of the dispersion force between the methyl groups of the alkoxide and the pyridine ring in TS4. For more information see Table S1, pp. S6, Supporting Information.
- The TS with the shortest PhO-Cu distance (2.87 Å, TS3-B see supplementary material, Figure S2) can be found in the pathway towards the Markovnikov product: Also for the relative intermediates the energy remained particularly high (7.9 kJ/mol) even with a shorter O-Cu distance (2.3 Å). See pp. S133–S136, Supporting Information.
- We have also evaluated the possibility that CuCl can stabilize an anti-ring opening for the anti-Markovnikov product; the complex relative to the anti-transition state in which the aziridine nitrogen atom was coordinated to CuCl and the Cu-Bpin was coordinated to the phenoxy oxygen atom possessed a higher energy with respect to Complex-2 (ΔΔG = +74.9 kJ/mol). Although the anti-opening possessed a lower ΔG‡ (+41.7 kJ/mol) with respect to the one of the syn opening (+84.1 kJ/mol), the difference between the TS of anti-opening with respect to the syn one was remarkably in favor of the latter (37.4 kJ/mol). Please see pp. S136–S142, Supporting Information.
- Frisch, M.J.; Trucks, G.W.; Schlegel, H.B.; Scuseria, G.E.; Robb, M.A.; Cheeseman, J.R.; Scalmani, G.; Barone, V.; Petersson, G.A.; Nakatsuji, H.; et al. Gaussian 16, Revision A.03; Gaussian, Inc.: Wallingford CT, USA, 2016; Available online: https://gaussian.com (accessed on 3 December 2021).
- Ziegler, T. Approximate density functional theory as a practical tool in molecular energetics and dynamics. Chem. Rev. 1991, 91, 651–667. [Google Scholar] [CrossRef]
- Grimme, S.; Antony, J.; Ehrlich, S.; Krieg, H.J. A Consistent and accurate ab initio parametrization of density functional dispersion correction (DFT-D) for 94 elements H-Pu. Chem. Phys. 2010, 132, 154104. [Google Scholar] [CrossRef]
- Schuchardt, K.L.; Didier, B.T.; Elsethagen, T.; Sun, L.; Gurumoorthi, V.; Chase, J.; Li, J.; Windus, T.L. Basis Set Exchange: A Community Database for Computational Sciences. J. Chem. Inf. Model. 2007, 47, 1045–1052. [Google Scholar] [CrossRef]
- Schlegel, H.B.J. Optimization of equilibrium geometries and transition structures. Comp. Chem. 1982, 3, 214–218. [Google Scholar] [CrossRef]
- Tomasi, J.; Mennucci, B.; Cammi, R. Quantum mechanical continuum solvation models. Chem. Rev. 2005, 105, 99–3093. [Google Scholar] [CrossRef]
- Fukuta, Y.; Mita, T.; Fukuda, N.; Kanai, M.; Shibasaki, M. De Novo Synthesis of Tamiflu via a Catalytic Asymmetric Ring-Opening of meso-Aziridines with TMSN3. J. Am. Chem. Soc. 2006, 128, 6312–6313. [Google Scholar] [CrossRef] [PubMed]
- Sommerdijk, N.A.J.M.; Buynsters, P.J.J.A.; Akdemir, H.; Geurts, D.G.; Nolte, R.J.M.; Zwanenburg, B. Aziridines as Precursors for Chiral Amide-Containing Surfactants. J. Org. Chem. 1997, 62, 4955–4960. [Google Scholar] [CrossRef]
- Christoffers, J.; Schulze, Y.; Pickardt, J. Synthesis, resolution, and absolute configuration of trans-1-amino-2-dimethylaminocyclohexane. Tetrahedron 2001, 57, 1765–1769. [Google Scholar] [CrossRef]
- Namutebi, M.; McGarrigle, E.M.; Aggarwal, V.K. Ring-Opening of NH-Aziridines with Thiols in Ionic Liquids: Application to the Synthesis of Aminosulfide Catalysts for Asymmetric Epoxidation of Aldehydes. Phosphorus Sulfur Silicon Relat. Elem. 2010, 185, 1250–1272. [Google Scholar] [CrossRef]
- McLeod, D.C.; Tsarevsky, N.V. Reversible Deactivation Radical Polymerization of Monomers Containing Activated Aziridine Groups. Macromol. Rapid Commun. 2016, 37, 1694–1700. [Google Scholar] [CrossRef] [PubMed]
- Schrittwieser, J.H.; Lavandera, I.; Seisser, B.; Mautner, B.; Kroutil, W. Biocatalytic Cascade for the Synthesis of Enantiopure β-Azidoalcohols and β-Hydroxynitriles. Eur. J. Org. Chem. 2009, 2009, 2293–2298. [Google Scholar] [CrossRef]
- Namba, K.; Mera, A.; Osawa, A.; Sakuda, E.; Kitamura, N.; Tanino, K. One-Pot Synthesis of Highly Fluorescent 2,5-Disubstituted-1,3a,6a-triazapentalene. Org. Lett. 2012, 14, 5554–5557. [Google Scholar] [CrossRef]
- Hanessian, S.; Del Valle, J.R.; Xue, Y.; Blomberg, N. Total Synthesis and Structural Confirmation of Chlorodysinosin A. J. Am. Chem. Soc. 2006, 128, 10491–10495. [Google Scholar] [CrossRef] [PubMed]
- Jun, Y.C.; Borch, R.F. Highly Efficient Synthesis of Enantiomerically Enriched 2-Hydroxymethylaziridines by Enzymatic Desymmetrization. Org. Lett. 2007, 9, 215–218. [Google Scholar]
- Lebel, H.; Lectard, S.; Parmentier, M. Copper-Catalyzed Alkene Aziridination with N-Tosyloxycarbamates. Org. Lett. 2007, 9, 4797–4800. [Google Scholar] [CrossRef] [PubMed]
- Buckley, B.R.; Patel, A.P.; Wijayantha, K.G.U. Observations on the Modified Wenker Synthesis of Aziridines and the Development of a Biphasic System. J. Org. Chem. 2013, 78, 1289–1292. [Google Scholar] [CrossRef]
- Ankner, T.; Hilmersson, G. Instantaneous Deprotection of Tosylamides and Esters with SmI2/Amine/Water. Org. Lett. 2009, 11, 503–506. [Google Scholar] [CrossRef]
- Hayashi, M.; Shiomi, N.; Funahashi, Y.; Nakamura, S. Cinchona Alkaloid Amides/Dialkylzinc Catalyzed Enantioselective Desymmetrization of Aziridines with Phosphites. J. Am. Chem. Soc. 2012, 134, 19366–19369. [Google Scholar] [CrossRef] [PubMed]
- Li, J.; Liao, Y.; Zhang, Y.; Liu, X.; Lin, L.; Feng, X. Chiral magnesium(II)-catalyzed asymmetric ring-opening of meso-aziridines with primary alcohols. Chem. Commun. 2014, 50, 6672–6674. [Google Scholar] [CrossRef] [PubMed]
- Wang, L.; Yang, D.; Han, F.; Li, D.; Zhao, D.; Wang, R. Catalytic Asymmetric Construction of Pyrroloindolines via an in Situ Generated Magnesium Catalyst. Org. Lett. 2015, 17, 176–179. [Google Scholar] [CrossRef] [PubMed]










| Entry a | 1 | Cu Salt | M | L | T (h) | Conversion (Yield) b |
|---|---|---|---|---|---|---|
| 1 | 1a | CuI | Li | - | 48 | <5 |
| 2 | 1b | CuI | Li | - | 48 | <5 |
| 3 | 1c | CuI | Li | - | 48 | <5 |
| 4 | 1a | CuI | K | - | 48 | <5 |
| 5 | 1b | CuI | K | - | 48 | <5 |
| 6 | 1c | CuI | K | - | 20 | >99 (25) |
| 7 | 1c | CuI | Na | Binap | 20 | 82 2c/3c = 0.1 |
| 8 | 1c | CuI | K | Binap | 20 | 77 2c/3c = 1.3 |
| 9 | 1c | CuI | Li | Binap | 20 | 73 2c/3c = 0.3 |
| 10 | 1c | CuI | K | PPh3 | 20 | 66 2c/3c = 0.8 |
| 11 | 1c | CuI | K | Xantphos | 20 | 28 2c/3c = 0.3 |
| 12 | 1c | CuI | K | dppb | 20 | 37 2c/3c = 0.6 |
| 13c | 1c | CuCl | K | - | 2 | 71 (60) |
| 14 c,d | 1c | CuCl | K | - | 5 | 75(65) |
| 15 c,d | 1c | CuI | K | - | 5 | 65 (48) |
| 16 c,e | 1c | CuCl | K | - | 72 | <5 |
| N-Picolinoyl ΔG (kJ/mol) | N-Ms ΔG (kJ/mol) | N-Ts ΔG (kJ/mol) | |
|---|---|---|---|
| Complex-1 a | 0.0 | 0.0 | 0.0 |
| TS1 | +79.0 | +95.3 | +93.9 |
| I1 | −19.1 | +46.9 | +37.9 |
| TS2 | −9.7 | +51.8 | / |
| P1 b | −211.1 | −138.8 | / |
| N-(2-Picolinoyl)-methyl Aziridine | Aziridine 1c | |||
|---|---|---|---|---|
| ΔG (kJ/mol) | ΔG (kJ/mol) | ΔG (kJ/mol) | ΔG (kJ/mol) | |
| Anti-Markovnikov | Markovnikov | Anti-Markovnikov | Markovnikov | |
| Complex-1 | 0.0 | 0.0 | 0.0 | 0.0 |
| TS1 | +78.7 | +75.2 | +78.7 | +77.2 |
| I1 | −10.2 | −7.2 | −17.6 | −20.3 |
| TS2 | +4.8 | +8.3 | −1.4 | +8.4 |
| P1 | −202.0 | −189.3 | −221.4 | −211.4 |
| ΔG (kJ/mol) | |
|---|---|
| Complex-2 | 0.0 * |
| TS3 | +82.6 |
| I2 | +43.2 |
| TS4 | +69.0 |
| I3 | +42.6 |
| TS5 | +56.5 |
| P2 | −204.7 |
Publisher’s Note: MDPI stays neutral with regard to jurisdictional claims in published maps and institutional affiliations. |
© 2021 by the authors. Licensee MDPI, Basel, Switzerland. This article is an open access article distributed under the terms and conditions of the Creative Commons Attribution (CC BY) license (https://creativecommons.org/licenses/by/4.0/).
Share and Cite
Favero, L.; Menichetti, A.; Boldrini, C.; Comparini, L.M.; Di Bussolo, V.; Di Pietro, S.; Pineschi, M. Copper-Catalyzed Ring-Opening Reactions of Alkyl Aziridines with B2pin2: Experimental and Computational Studies. Molecules 2021, 26, 7399. https://doi.org/10.3390/molecules26237399
Favero L, Menichetti A, Boldrini C, Comparini LM, Di Bussolo V, Di Pietro S, Pineschi M. Copper-Catalyzed Ring-Opening Reactions of Alkyl Aziridines with B2pin2: Experimental and Computational Studies. Molecules. 2021; 26(23):7399. https://doi.org/10.3390/molecules26237399
Chicago/Turabian StyleFavero, Lucilla, Andrea Menichetti, Cosimo Boldrini, Lucrezia Margherita Comparini, Valeria Di Bussolo, Sebastiano Di Pietro, and Mauro Pineschi. 2021. "Copper-Catalyzed Ring-Opening Reactions of Alkyl Aziridines with B2pin2: Experimental and Computational Studies" Molecules 26, no. 23: 7399. https://doi.org/10.3390/molecules26237399
APA StyleFavero, L., Menichetti, A., Boldrini, C., Comparini, L. M., Di Bussolo, V., Di Pietro, S., & Pineschi, M. (2021). Copper-Catalyzed Ring-Opening Reactions of Alkyl Aziridines with B2pin2: Experimental and Computational Studies. Molecules, 26(23), 7399. https://doi.org/10.3390/molecules26237399

