Insight into the Sorption of 5-Fluorouracil and Methotrexate onto Soil–pH, Ionic Strength, and Co-Contaminant Influence
Abstract
1. Introduction
2. Results and Discussion
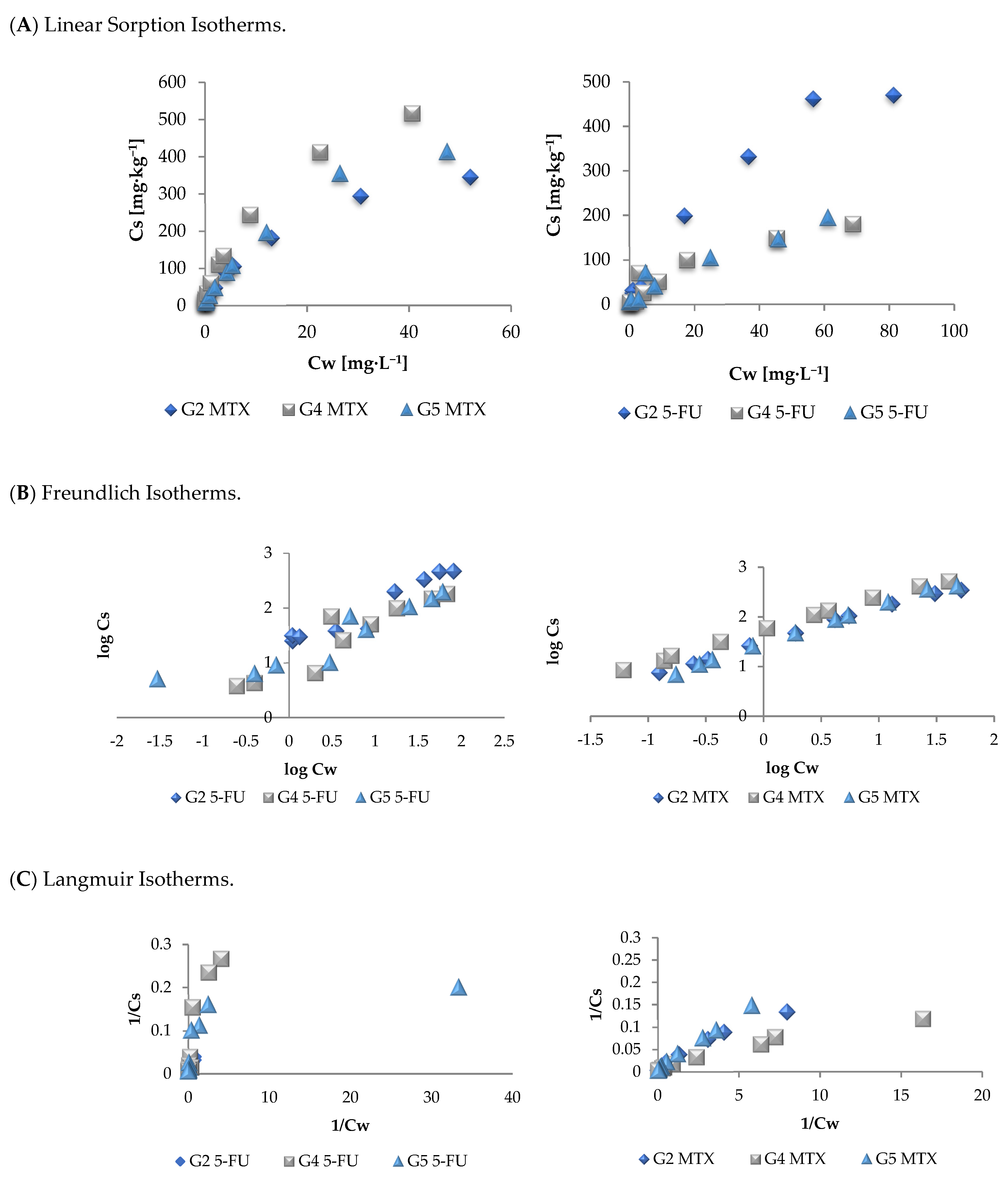
2.1. The Assessment of the Sorption Potential of 5-FU and MTX onto Soils
2.2. The Influence of pH
2.3. The Effect of Ionic Strength
2.4. The Impact of the Presence of Co-Contaminant on the Sorption of Selected Anticancer Drugs onto Soils
2.4.1. The Influence of Metal Presence (Cd2+)
2.4.2. The Influence of the Presence of Metoprolol
3. Materials and Methods
3.1. Chemicals
3.2. Soils
3.3. Conceptual Approach
3.4. Conceptual Approach
3.4.1. Solutions Used in the Preliminary Studies and Determination of Sorption Isotherms
3.4.2. Solutions Used in the Evaluation of the Influence of pH and Ionic Strength
3.5. Preliminary Studies
3.6. Determination of Distribution (Sorption) Coefficients and Sorption Isotherms
3.6.1. Determination of Sorption Coefficient in the Presence of Co-Contaminant
Investigation of the Heavy Metal Influence
Sorption Investigation of ADs in the Presence of Metoprolol
3.7. Instrumental Analysis
4. Conclusions
Author Contributions
Funding
Data Availability Statement
Acknowledgments
Conflicts of Interest
Sample Availability
References
- Toolaram, A.P.; Kümmerer, K.; Schneider, M. Environmental Risk Assessment of Anti-Cancer Drugs and Their Transformation Products: A Focus on Their Genotoxicity Characterization-State of Knowledge and Short Comings. Mutat. Res. Rev. Mutat. Res. 2014, 760, 18–35. [Google Scholar] [CrossRef] [PubMed]
- Nussbaumer, S.; Bonnabry, P.; Veuthey, J.L.; Fleury-Souverain, S. Analysis of Anticancer Drugs: A Review. Talanta 2011, 85, 2265–2289. [Google Scholar] [CrossRef] [PubMed]
- Tripathi, A.K.; David, A.; Govil, T.; Rauniyar, S.; Rathinam, N.K.; Goh, K.M.; Sani, R.K. Environmental Remediation of Antineoplastic Drugs: Present Status, Challenges, and Future Directions. Processes 2020, 8, 747. [Google Scholar] [CrossRef]
- Fonseca, T.G.; Auguste, M.; Ribeiro, F.; Cardoso, C.; Mestre, N.C.; Abessa, D.M.S.; Bebianno, M.J. Environmental Relevant Levels of the Cytotoxic Drug Cyclophosphamide Produce Harmful Effects in the Polychaete Nereis Diversicolor. Sci. Total Environ. 2018, 636, 798–809. [Google Scholar] [CrossRef]
- Cristóvão, M.B.; Torrejais, J.; Janssens, R.; Luis, P.; van der Bruggen, B.; Dubey, K.K.; Mandal, M.K.; Bronze, M.R.; Crespo, J.G.; Pereira, V.J. Treatment of Anticancer Drugs in Hospital and Wastewater Effluents Using Nanofiltration. Sep. Purif. Technol. 2019, 224, 273–280. [Google Scholar] [CrossRef]
- Fonseca, T.G.; Abessa, D.M.S.; Bebianno, M.J. Effects of Mixtures of Anticancer Drugs in the Benthic Polychaete Nereis Diversicolor. Environ. Pollut. 2019, 252, 1180–1192. [Google Scholar] [CrossRef]
- Heath, E.; Isidori, M.; Kosjek, T.; Filipič, M. Fate and Effects of Anticancer Drugs in the Environment; Springer: Berlin/Heidelberg, Germany, 2020; ISBN 9783030210489. [Google Scholar]
- Deblonde, T.; Cossu-Leguille, C.; Hartemann, P. Emerging Pollutants in Wastewater: A Review of the Literature. Int. J. Hyg. Environ. Health 2011, 214, 442–448. [Google Scholar] [CrossRef]
- Petrovic, M.; Barcelo, D.; Pérez, S. Analysis, Removal, Effects and Risk of Pharmaceuticals in the Water Cycle Occurrence and Transformation in the Environment. Compr. Anal. Chem. 2013, 62, 2–734. [Google Scholar]
- Jureczko, M.; Kalka, J. Cytostatic Pharmaceuticals as Water Contaminants. Eur. J. Pharmacol. 2020, 866, 172816. [Google Scholar] [CrossRef]
- Booker, V.; Halsall, C.; Llewellyn, N.; Johnson, A.; Williams, R. Prioritising Anticancer Drugs for Environmental Monitoring and Risk Assessment Purposes. Sci. Total Environ. 2014, 473–474, 159–170. [Google Scholar] [CrossRef] [PubMed]
- Kiffmeyer, T.; Götze, H.J.; Jursch, M.; Lüders, U. Trace Enrichment, Chromatographic Separation and Biodegradation of Cytostatic Compounds in Surface Water. Fresenius. J. Anal. Chem. 1998, 361, 185–191. [Google Scholar] [CrossRef]
- Besse, J.P.; Latour, J.F.; Garric, J. Anticancer Drugs in Surface Waters. What Can We Say about the Occurrence and Environmental Significance of Cytotoxic, Cytostatic and Endocrine Therapy Drugs? Environ. Int. 2012, 39, 73–86. [Google Scholar] [CrossRef] [PubMed]
- Kosjek, T.; Perko, S.; Žigon, D.; Heath, E. Fluorouracil in the Environment: Analysis, Occurrence, Degradation and Transformation. J. Chromatogr. A 2013, 1290, 62–72. [Google Scholar] [CrossRef]
- Parrella, A.; Lavorgna, M.; Criscuolo, E.; Russo, C.; Fiumano, V.; Isidori, M. Acute and Chronic Toxicity of Six Anticancer Drugs on Rotifers and Crustaceans. Chemosphere 2014, 115, 59–66. [Google Scholar] [CrossRef] [PubMed]
- Bu, Q.; Wang, B.; Huang, J.; Deng, S.; Yu, G. Pharmaceuticals and Personal Care Products in the Aquatic Environment in China: A Review. J. Hazard. Mater. 2013, 262, 189–211. [Google Scholar] [CrossRef] [PubMed]
- Kovács, R.; Csenki, Z.; Bakos, K.; Urbányi, B.; Horváth, Á.; Garaj-Vrhovac, V.; Gajski, G.; Gerić, M.; Negreira, N.; López de Alda, M.; et al. Assessment of Toxicity and Genotoxicity of Low Doses of 5-Fluorouracil in Zebrafish (Danio Rerio) Two-Generation Study. Water Res. 2015, 77, 201–212. [Google Scholar] [CrossRef]
- Zhang, J.; Chang, V.W.C.; Giannis, A.; Wang, J.Y. Removal of Cytostatic Drugs from Aquatic Environment: A Review. Sci. Total Environ. 2013, 445–446, 281–298. [Google Scholar] [CrossRef]
- Seira, J.; Claparols, C.; Joannis-Cassan, C.; Albasi, C.; Montréjaud-Vignoles, M.; Sablayrolles, C. Optimization of Pressurized Liquid Extraction Using a Multivariate Chemometric Approach for the Determination of Anticancer Drugs in Sludge by Ultra High Performance Liquid Chromatography-Tandem Mass Spectrometry. J. Chromatogr. A 2013, 1283, 27–38. [Google Scholar] [CrossRef] [PubMed]
- Mahnik, S.N.; Lenz, K.; Weissenbacher, N.; Mader, R.M.; Fuerhacker, M. Fate of 5-Fluorouracil, Doxorubicin, Epirubicin, and Daunorubicin in Hospital Wastewater and Their Elimination by Activated Sludge and Treatment in a Membrane-Bio-Reactor System. Chemosphere 2007, 66, 30–37. [Google Scholar] [CrossRef]
- Santana-Viera, S.; Tuček, J.; Torres-Padrón, M.E.; Sosa-Ferrera, Z.; Santana-Rodríguez, J.J.; Halko, R. Cytostatic Compounds in Sludge and Sediment: Extraction and Determination by a Combination of Microwave-Assisted Extraction and UHPLC–MS/MS. Anal. Bioanal. Chem. 2020, 412, 3639–3651. [Google Scholar] [CrossRef] [PubMed]
- Azuma, T.; Arima, N.; Tsukada, A.; Hirami, S.; Matsuoka, R.; Moriwake, R.; Ishiuchi, H.; Inoyama, T.; Teranishi, Y.; Yamaoka, M.; et al. Distribution of Six Anticancer Drugs and a Variety of Other Pharmaceuticals, and Their Sorption onto Sediments, in an Urban Japanese River. Environ. Sci. Pollut. Res. 2017, 24, 19021–19030. [Google Scholar] [CrossRef]
- Azuma, T. Distribution of Anticancer Drugs in River Waters and Sediments of the Yodo River Basin, Japan. Appl. Sci. 2018, 8, 2043. [Google Scholar] [CrossRef]
- Delle, A. Factors Affecting Sorption of Organic Compounds in Natural Sorbent/Water Systems and Sorption Coefficients for Selected Pollutants. A Review. J. Phys. Chem. 2001, 30, 187–439. [Google Scholar] [CrossRef]
- Tolls, J. Sorption of Veterinary Pharmaceuticals in Soils: A Review. Environ. Sci. Technol. 2001, 35, 3397–3406. [Google Scholar] [CrossRef]
- Chun, S.; Lee, J.; Geyer, R.; White, D.C.; Raman, D.R. Effect of Agricultural Antibiotics on the Persistence and Transformation of 17beta-Estradiol in a Sequatchie Loam. J. Environ. Sci. Health B 2005, 40, 741–751. [Google Scholar] [CrossRef]
- Srinivasan, P.; Sarmah, A.K.; Manley-Harris, M. Co-Contaminants and Factors Affecting the Sorption Behaviour of Two Sulfonamides in Pasture Soils. Environ. Pollut. 2013, 180, 165–172. [Google Scholar] [CrossRef] [PubMed]
- Mioduszewska, K.; Maszkowska, J.; Białk-Bielińska, A.; Krüger, O.; Kalbe, U.; Liberek, B.; Łukaszewicz, P.; Stepnowski, P. The Leaching Behavior of Cyclophosphamide and Ifosfamide from Soil in the Presence of Co-Contaminant—Mixture Sorption Approach. Sci. Total Environ. 2016, 542, 915–922. [Google Scholar] [CrossRef] [PubMed]
- Ferrando-Climent, L.; Rodriguez-Mozaz, S.; Barceló, D. Development of a UPLC-MS/MS Method for the Determination of Ten Anticancer Drugs in Hospital and Urban Wastewaters, and Its Application for the Screening of Human Metabolites Assisted by Information-Dependent Acquisition Tool (IDA) in Sewage Samples. Anal. Bioanal. Chem. 2013, 405, 5937–5952. [Google Scholar] [CrossRef] [PubMed]
- Lin, A.Y.C.; Lin, Y.C.; Lee, W.N. Prevalence and Sunlight Photolysis of Controlled and Chemotherapeutic Drugs in Aqueous Environments. Environ. Pollut. 2014, 187, 170–181. [Google Scholar] [CrossRef]
- Bell, K.Y.; Wells, M.J.M.; Traexler, K.A.; Pellegrin, M.-L.; Morse, A.; Bandy, J. Emerging Pollutants. Water Environ. Res. 2011, 83, 1906–1984. [Google Scholar] [CrossRef]
- Puckowski, A.; Cwięk, W.; Mioduszewska, K.; Stepnowski, P.; Białk-Bielińska, A. Sorption of Pharmaceuticals on the Surface of Microplastics. Chemosphere 2021, 263, 127976. [Google Scholar] [CrossRef]
- Toński, M.; Dołżonek, J.; Paszkiewicz, M.; Wojsławski, J.; Stepnowski, P.; Białk-Bielińska, A. Preliminary Evaluation of the Application of Carbon Nanotubes as Potential Adsorbents for the Elimination of Selected Anticancer Drugs from Water Matrices. Chemosphere 2018, 201, 32–40. [Google Scholar] [CrossRef]
- Karimidost, S.; Moniri, E.; Miralinaghi, M. Thermodynamic and Kinetic Studies Sorption of 5-Fluorouracil onto Single Walled Carbon Nanotubes Modified by Chitosan. Korean J. Chem. Eng. 2019, 36, 1115–1123. [Google Scholar] [CrossRef]
- Kosjek, T.; Heath, E. Occurrence, Fate and Determination of Cytostatic Pharmaceuticals in the Environment. TrAC Trends Anal. Chem. 2011, 30, 1065–1087. [Google Scholar] [CrossRef]
- Maszkowska, J.; Stolte, S.; Kumirska, J.; Łukaszewicz, P.; Mioduszewska, K.; Puckowski, A.; Caban, M.; Wagil, M.; Stepnowski, P.; Białk-Bielińska, A. Beta-Blockers in the Environment: Part I. Mobility and Hydrolysis Study. Sci. Total Environ. 2014, 493, 1112–1121. [Google Scholar] [CrossRef]
- Sarmah, A.K.; Meyer, M.T.; Boxall, A.B.A. A Global Perspective on the Use, Sales, Exposure Pathways, Occurrence, Fate and Effects of Veterinary Antibiotics (VAs) in the Environment. Chemosphere 2006, 65, 725–759. [Google Scholar] [CrossRef]
- Pan, M.; Chu, L.M. Science of the Total Environment Fate of Antibiotics in Soil and Their Uptake by Edible Crops. Sci. Total Environ. 2017, 599–600, 500–512. [Google Scholar] [CrossRef]
- Beausse, J. Selected Drugs in Solid Matrices: A Review of Environmental Determination, Occurrence and Properties of Principal Substances. TrAC Trends Anal. Chem. 2004, 23, 753–761. [Google Scholar] [CrossRef]
- Kemper, N. Veterinary Antibiotics in the Aquatic and Terrestrial Environment. Ecol. Indic. 2008, 8, 1–13. [Google Scholar] [CrossRef]
- Puckowski, A.; Stolte, S.; Wagil, M.; Markiewicz, M.; Łukaszewicz, P.; Stepnowski, P.; Białk-bieli, A. Mixture toxicity of flubendazole and fenbendazole to Daphnia magna. Int. J. Hyg. Environ. Health 2017, 220, 575–582. [Google Scholar] [CrossRef]
- Mohr, T.K.G. Environmental Investigation and Remediation: 1,4-Dioxane and Other Solvent Stabilizers; CRC Press: Cleveland, OH, USA, 2010. [Google Scholar]
- Mioduszewska, K.; Dołżonek, J.; Wyrzykowski, D.; Wiczling, P.; Sikorska, C.; Toński, M.; Kaczyński, Z.; Białk-bielińska, A. Overview of Experimental and Computational Methods for the Determination of the PKa Values of 5-Fluorouracil, Cyclophosphamide, Ifosfamide, Imatinib and Methotrexate. Trends Anal. Chem. 2017, 97, 283–296. [Google Scholar] [CrossRef]
- Pavlovic, D.; C’urković, L.; Blažek, D.; Zŭpan, J. The Sorption of Sulfamethazine on Soil Samples: Isotherms and Error Analysis. Sci. Total Environ. 2014, 497–498, 543–552. [Google Scholar] [CrossRef]
- Shin, H.S.; Kim, J.-H. Isotherm, Kinetic and Thermodynamic Characteristics of Adsorption of Paclitaxel onto Diaion HP-20. Process Biochem. 2016, 51, 917–924. [Google Scholar] [CrossRef]
- Mackay, A.; Vasudevan, D. Polyfunctional Ionogenic Compound Sorption: Challenges and New Approaches to Advance Predictive Models. Environ. Sci. Technol. 2012, 46, 9209–9223. [Google Scholar] [CrossRef]
- Laak, T.L.; Gebbink, W.A.; Tolls, J. The Effect of PH and Ionic Strength on the Sorption of Sulfachloropyridazine, Tylosin and Oxytetracycline to Soil. Environ. Toxicol. Chem. 2006, 25, 904–911. [Google Scholar] [CrossRef]
- Kovalova, L.; Knappe, D.R.U.; Lehnberg, K.; Kazner, C.; Hollender, J. Removal of Highly Polar Micropollutants from Wastewater by Powdered Activated Carbon. Environ. Sci. Pollut. Res. 2013, 20, 3607–3615. [Google Scholar] [CrossRef] [PubMed]
- Maszkowska, J.; Białk-Bielińska, A.; Mioduszewska, K.; Wagil, M.; Kumirska, J.; Stepnowski, P. Sorption of Sulfisoxazole onto Soil-an Insight into Different Influencing Factors. Environ. Sci. Pollut. Res. 2015, 22, 12182–12189. [Google Scholar] [CrossRef] [PubMed]
- Kah, M.M.; Brown, C. Adsorption of Ionisable Pesticides in Soils. In Reviews of Environmental Contamination and Toxicology; Springer: Berlin/Heidelberg, Germany, 2006; pp. 149–217. ISBN 9780387319117. [Google Scholar]
- Germán-Heins, J.; Flury, M. Sorption of Brilliant Blue FCF in Soils as Affected by PH and Ionic Strength. Geoderma 2000, 97, 87–101. [Google Scholar] [CrossRef]
- McLean, J.; Bledsoe, B. Behavior of Metals in Soils; EPA Ground Water Issue; EPA: Washington, DC, USA, 1992; pp. 1–25.
- Zhang, G.; Liu, X.; Sun, K.; Zhao, Y.; Lin, C. Sorption of Tetracycline to Sediments and Soils: Assessing the Roles of PH, the Presence of Cadmium and Properties of Sediments and Soils. Front. Environ. Sci. Eng. China 2010, 4, 421–429. [Google Scholar] [CrossRef]
- Dziennik Ustaw 2002 nr 165 poz. 1359 Rozporządzenie Ministra Środowiska z dnia 9 Września 2002; Ministerstwo Środowiska: Warsaw, Poland, 2002.
- Scheurer, M.; Ramil, M.; Metcalfe, C.D.; Groh, S.; Ternes, T.A. The Challenge of Analyzing Beta-Blocker Drugs in Sludge and Wastewater. Anal. Bioanal. Chem. 2010, 396, 845–856. [Google Scholar] [CrossRef]
- Organization for Economic Cooperation and Development. OECD 106 Adsorption-Desorption Using a Batch Equilibrium Method. In OECD Guideline for the Testing of Chemicals 106; Organization for Economic Cooperation and Development: Paris, France, 2000; pp. 1–44. [Google Scholar]
- Konieczka, P.N.J. Ocena i Kontrola Jakości Wyników Pomiarów Analitycznych; CEEAM: Gdańsk, Poland, 2004; ISBN 83-9190814-3. [Google Scholar]






| Compound [CAS Number] (Abbreviation) | Selected Physico-Chemical Properties | Structure |
|---|---|---|
| 5-fluorouracil [51-21-8] (5-FU) | M = 130.1 g·mol−1 SH2O = 11,100 mg·L−1 LogKow = −0.89 | ![]() |
| Methothrexate [59-05-2] (MTX) | M = 454.4 g·mol−1 SH2O = 2600 mg·L−1 LogKow = −1.85 | ![]() |
| Metoprolol [56392-17-7] (MET) | M = 267.4 g·mol−1 SH2O = 16,900 mg·L−1 LogKow = 1.95 | ![]() |
| Isotherm Model | Parameter | G2 | G4 | G5 | G2 | G4 | G5 |
|---|---|---|---|---|---|---|---|
| 5-FU | MTX | ||||||
| Linear Isotherm | Kd (L·kg−1) | 6.36 ± 0.67 | 2.52 ± 0.36 | 2.98 ± 0.28 | 6.79 ± 0.74 | 12.94 ± 1.29 | 9.16 ± 0.93 |
| Isotherm equation | y = 6.357x + 34.802 | y = 2.5175x + 23.115 | y = 2.9804x + 15.622 | y = 6.7861x + 38.179 | y = 12.941x + 50.237 | y = 9.1566x + 35.029 | |
| R2 | 0.928 | 0.875 | 0.940 | 0.914 | 0.926 | 0.924 | |
| Freundlich Isotherm | 1/n | 0.71 | 0.73 | 0.54 | 0.66 | 0.65 | 0.75 |
| KF (mg1−1/n·kg−1·L1/n) | 21.44 | 9.73 | 15.69 | 30.56 | 53.60 | 28.42 | |
| Isotherm equation | y = 0.7077x + 1.3312 | y = 0.7372x + 0.9879 | y = 0.5357x + 1.1956 | y = 0.6619x + 1.4851 | y = 0.6537x + 1.7292 | y = 0.7468x + 1.4537 | |
| R2 | 0.921 | 0.879 | 0.848 | 0.996 | 0.997 | 0.996 | |
| Langmuir Isotherm | cmax (mg·kg−1) | 149.26 | 41.49 | 19.92 | 112.36 | 126.58 | 217.39 |
| KL (L·mg−1) | 0.19 | 0.35 | 10.68 | 0.52 | 1.07 | 0.19 | |
| Isotherm equation | y = 0.0347x + 0.0067 | y = 0.0684x + 0.0241 | y = 0.0048x + 0.0502 | y = 0.017x + 0.0089 | y = 0.0074x + 0.0079 | y = 0.0248x + 0.0046 | |
| R2 | 0.799 | 0.845 | 0.492 | 0.972 | 0.961 | 0.997 | |
| Dubinin–Radushkievich Isotherm | BD (mol2·kJ−2) | 0.31 | 0.18 | 0.07 | 0.14 | 0.11 | 0.16 |
| qD (mg·kg−1) | 250.38 | 82.72 | 57.53 | 176.63 | 252.81 | 204.46 | |
| ED (kJ·mol−1) | 1.27 | 1.65 | 2.61 | 1.92 | 2.13 | 1.76 | |
| Isotherm equation | y = −3.7943x + 2.3986 | y = −2.2431x + 1.9176 | y = −0.9017x + 1.7599 | y = −1.6658x + 2.2446 | y = −1.3571x + 2.4028 | y = −1.9822x + 2.3106 | |
| R2 | 0.700 | 0.739 | 0.513 | 0.888 | 0.903 | 0.895 | |
| Temkin Isotherm | ΔQ (kJ·mol−1) | 3.61 | 1.25 | 0.79 | 9.90 | 7.37 | 7.85 |
| K0 (L·mg−1) | 0.73 | 1.88 | 5.29 | 3.23 | 5.59 | 2.51 | |
| Isotherm equation | y = 0.6868x − 0.2144 | y = 1.9864x + 1.2529 | y = 3.1225x + 5.2026 | y = 0.2502x + 0.2935 | y = 0.336x + 0.5784 | y = 0.3158x + 0.2911 | |
| R2 | 0.855 | 0.696 | 0.648 | 0.856 | 0.827 | 0.829 | |
| Tested Compound/s | MTX | MTX with MET | MET | MET with MTX |
|---|---|---|---|---|
| Soil G2 | 31.57 ± 1.88 | 23.86 ± 2.38 | 26.48 ± 7.64 | 9.90 ± 5.54 |
| Soil G4 | 61.53 ± 3.62 | 74.91 ± 2.75 | 12.33 ± 1.02 | 5.47 ± 2.22 |
| Soil G5 | 23.65 ± 1.00 | 17.33 ± 7.90 | 37.87 ± 4.85 | 11.89 ± 7.25 |
| Tested Compound/s | 5 FU | 5-FU with MET | MET | MET with 5-FU |
| Soil G2 | 5.06 ± 1.24 | 22.09 ± 0.40 | 74.17 ± 2.78 | 182.75 ± 16.67 |
| Soil G4 | 0.61 ± 0.21 | 1.72 ± 0.16 | 14.97 ± 1.27 | 10.55 ± 0.01 |
| Soil G5 | 1.42 ± 0.34 | 37.55 ± 1.42 | 29.68 ± 0.46 | 10.47 ± 1.07 |
| Parameter | Soil G2 (Alluvial Soil) | Soil G4 (Acid Brown Soil) | Soil G5 (Acid and Leached Brown Soil) |
|---|---|---|---|
| pHKCl | 7.1 | 5.1 | 5.8 |
| OM [%] | 18.6 | 7.7 | 4.1 |
| CEC [cmol(+)·kg−1] | 23.6 | 9.9 | 10.2 |
| Colloidal Clay Fraction (<0.002 mm), [%] | 14.0 | 5.0 | 12.0 |
| SA [m2·kg−1] | 1.6 | 0.9 | 10.9 |
| ρ [g·cm−3] | 1.1 | 1.3 | 1.4 |
| Compound | Soil | S/L Ratio | Adsorption Equilibrium Time (h) |
|---|---|---|---|
| 5-FU | G2 | 1:25 | 24 |
| G4 | 1:5 | ||
| G5 | |||
| MTX | G2 | 1:15 | 24 |
| G4 | |||
| G5 |
| Compound | R2 | Linearity Range (mg·L−1) | IQL (mg·L−1) | IDL (mg·L−1) | Precision (RSD) (%) | Accuracy (%) |
|---|---|---|---|---|---|---|
| 5-FU | 1.000 1.000 | 0.05–1.0 2.5–50.0 | 0.05 | 0.02 | 0.3–3.2 | 97.5–100.7 |
| MTX | 1.000 1.000 | 0.05–1.0 2.5–50.0 | 0.05 | 0.02 | 0.2–1.4 | 97.1–100.8 |
| MET * | 1.000 | 0.05–80 | 0.05 | 0.02 | 0.6–7.0 | 98.6–120.1 |
Publisher’s Note: MDPI stays neutral with regard to jurisdictional claims in published maps and institutional affiliations. |
© 2021 by the authors. Licensee MDPI, Basel, Switzerland. This article is an open access article distributed under the terms and conditions of the Creative Commons Attribution (CC BY) license (http://creativecommons.org/licenses/by/4.0/).
Share and Cite
Markiewicz, K.; Białk-Bielińska, A.; Łukaszewicz, P.; Stepnowski, P.; Dołżonek, J. Insight into the Sorption of 5-Fluorouracil and Methotrexate onto Soil–pH, Ionic Strength, and Co-Contaminant Influence. Molecules 2021, 26, 1674. https://doi.org/10.3390/molecules26061674
Markiewicz K, Białk-Bielińska A, Łukaszewicz P, Stepnowski P, Dołżonek J. Insight into the Sorption of 5-Fluorouracil and Methotrexate onto Soil–pH, Ionic Strength, and Co-Contaminant Influence. Molecules. 2021; 26(6):1674. https://doi.org/10.3390/molecules26061674
Chicago/Turabian StyleMarkiewicz, Katarzyna, Anna Białk-Bielińska, Paulina Łukaszewicz, Piotr Stepnowski, and Joanna Dołżonek. 2021. "Insight into the Sorption of 5-Fluorouracil and Methotrexate onto Soil–pH, Ionic Strength, and Co-Contaminant Influence" Molecules 26, no. 6: 1674. https://doi.org/10.3390/molecules26061674
APA StyleMarkiewicz, K., Białk-Bielińska, A., Łukaszewicz, P., Stepnowski, P., & Dołżonek, J. (2021). Insight into the Sorption of 5-Fluorouracil and Methotrexate onto Soil–pH, Ionic Strength, and Co-Contaminant Influence. Molecules, 26(6), 1674. https://doi.org/10.3390/molecules26061674




