1,1′-Biisoquinolines—Neglected Ligands in the Heterocyclic Diimine Family That Provoke Stereochemical Reflections
Abstract
1. Introduction
2. Atropisomerism
2.1. Atropisomerism
2.2. Atropisomerism in 1,1′-Biisoquinolines
3. Synthesis of 1,1′-Biisoquinolines
3.1. 1,1′-Biisoquinoline N,N’-Dioxides
3.2. Quaternized 1,1′-Biisoquinolinum Salts
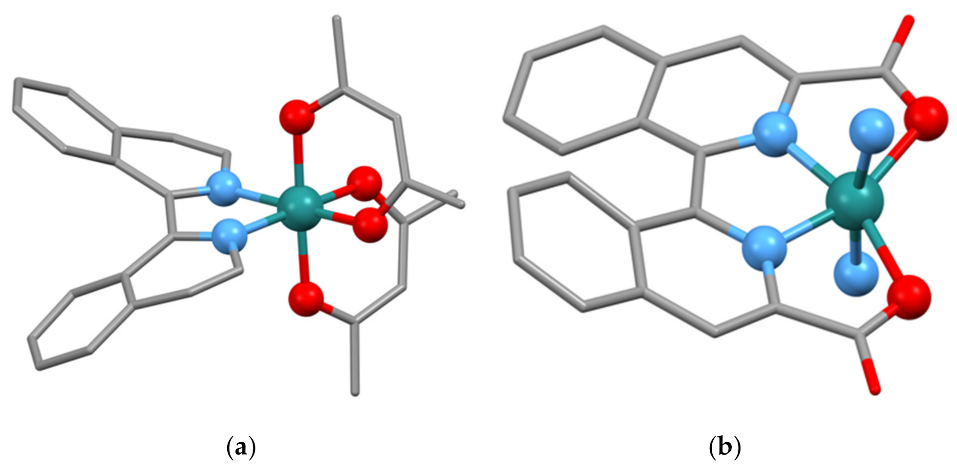
4. Some Relevant Physical and Structural Properties of 1,1′-Biisoquinolines
4.1. Structural Studies
4.2. Chiroptical and Spectroscopic Properties
5. Complexes of 1,1′-Biisoquinolines
5.1. A Note on Stereochemical Nomenclature
- (Δ)-[Ru{(1M)-biiq}3]2+ and (Λ)-[Ru{(1P)-biiq}3]2+
- (Δ)-[Ru{(1M)-biiq}2{(1P)-biiq}]2+ and (Λ)-[Ru{(1M)-biiq}{(1P)-biiq}2]2+
- (Δ)-[Ru{(1M)-biiq}{(1P)-biiq}2]2+ and (Λ)-[Ru{(1M)-biiq}2{(1P)-biiq}]2+
- (Λ)-[Ru{(1M)-biiq}3]2+ and (Δ)-[Ru{(1P)-biiq}3]2+
- (Δ)-[Ru{(1M)-biiq}3]2+ denotes a single enantiomer of a single diastereoisomer;
- rac-(Δ)-[Ru{(1M)-biiq}3]2+ denotes a racemic mixture of a single diastereoisomer (i.e., equal amounts of (Δ)-[Ru{(1M)-biiq}3]2+ and (Λ)-[Ru{(1P)-biiq}3]2+);
- rel-(Δ)-[Ru{(1M)-biiq}3]2+ denotes a mixture but not necessarily equal amounts of the two enantiomers of a single diastereoisomer: (Δ)-[Ru{(1M)-biiq}3]2+ and (Λ)-[Ru{(1P)-biiq}3]2+;
- (Δ/Λ)-[Ru{(1M)-biiq}3]2+ denotes variable amounts of the two diastereoisomers (Δ)-[Ru{(1M)-biiq}3]2+ and (Λ)-[Ru{(1M)-biiq}3]2+;
- (ΔΛ)-[Ru{(1M)-biiq}3]2+ denotes a 1:1 mixture of the diastereoisomers (Δ)-[Ru{(1M)-biiq}3]2+ and (Λ)-[Ru{(1M)-biiq}3]2+;
- (Δ)-[Ru{(1MP)-biiq}3]2+ denotes the mixture of diastereoisomers (Δ)-[Ru{(1M)-biiq}3]2+, (Δ)-[Ru{(1M)-biiq}2{(1P)-biiq}]2+, (Δ)-[Ru{(1M)-biiq}{(1P)-biiq}2]2+ and (Δ)-[Ru{(1P)-biiq}3]2+ in which the total numbers of (1M)-biiq and (1P)-biiq ligands in the bulk material are identical. This does not imply equal amounts of the different diastereoisomers;
- (Δ)-[Ru{(1M/1P)-biiq}3]2+ denotes a mixture of diastereoisomers (Δ)-[Ru{(1M)-biiq}3]2+, (Δ)-[Ru{(1M)-biiq}2{(1P)-biiq}]2+, (Δ)-[Ru{(1M)-biiq}{(1P)-biiq}2]2+, and (Δ)-[Ru{(1P)-biiq}3]2+ in which the total amount of (1M)-biiq and (1P)-biiq ligands is variable;
- (Δ/Λ)-[Ru{(1MP)-biiq}3]2+ denotes the mixture of eight stereoisomers listed earlier in which the total numbers of (1M)-biiq and (1P)-biiq ligands are identical but the numbers of Δ and Λ stereogenic centers may be different;
- (ΔΛ)-[Ru{(1M/1P)-biiq}3]2+ denotes the mixture of eight stereoisomers listed earlier in which the total numbers of (1M)-biiq and (1P)-biiq ligands are variable but the numbers of Δ and Λ stereogenic centers are identical
- (Δ/Λ)-[Ru{(1M/1P)-biiq}3]2+ denotes the mixture of eight diastereoisomers listed earlier in which the total numbers of (1M)-biiq and (1P)-biiq ligands and Δ and Λ stereogenic centers are freely variable.
5.2. Group 7
5.3. Group 8
5.4. Group 9
5.5. Group 10
5.6. Group 11
5.7. Group 12
6. Conclusions
Author Contributions
Funding
Acknowledgments
Conflicts of Interest
References
- Constable, E.C.; Housecroft, C.E. The Early Years of 2,2′-Bipyridine-A Ligand in Its Own Lifetime. Molecules 2019, 24, 3951. [Google Scholar] [CrossRef] [PubMed]
- Brandt, W.W.; Dwyer, F.P.; Gyarfas, E.D. Chelate Complexes of 1,10-Phenanthroline and Related Compounds. Chem. Rev. 1954, 54, 959–1017. [Google Scholar] [CrossRef]
- Lindoy, L.F.; Livingstone, S.E. Complexes of iron(II),cobalt(II) and nickel(II) with α-diimines and related bidentate ligands. Coord. Chem. Rev. 1967, 2, 173–193. [Google Scholar] [CrossRef]
- Accorsi, G.; Listorti, A.; Yoosaf, K.; Armaroli, N. 1,10-Phenanthrolines: Versatile building blocks for luminescent molecules, materials and metal complexes. Chem. Soc. Rev. 2009, 38, 1690. [Google Scholar] [CrossRef] [PubMed]
- Bencini, A.; Lippolis, V. 1,10-Phenanthroline: A versatile building block for the construction of ligands for various purposes. Coord. Chem. Rev. 2010, 254, 2096–2180. [Google Scholar] [CrossRef]
- McWhinnie, W.R.; Miller, J.D. The Chemistry of Complexes Containing 2,2′-Bipyridyl, 1, 10-Phenanthroline, or 2,2′,6′,2”-Terpyridyl as Ligands. In Advances in Inorganic Chemistry and Radiochemistry; Elsevier: Amsterdam, The Netherlands, 1970; pp. 135–215. ISBN 9780120236121. [Google Scholar]
- Constable, E.C. Homoleptic Complexes of 2,2′-Bipyridine. In Advances in Inorganic Chemistry; Elsevier: Amsterdam, The Netherlands, 1989; pp. 1–63. ISBN 9780120236343. [Google Scholar]
- Kaes, C.; Katz, A.; Hosseini, M.W. Bipyridine: The Most Widely Used Ligand. A Review of Molecules Comprising at Least Two 2,2′-Bipyridine Units. Chem. Rev. 2000, 100, 3553–3590. [Google Scholar] [CrossRef] [PubMed]
- Summers, L.A. The Phenanthrolines. In Advances in Heterocyclic Chemistry: Advances in Heterocyclic Chemistry; Elsevier: Amsterdam, The Netherlands, 1978; Volume 22, pp. 1–69. ISBN 9780120206223. [Google Scholar]
- Summers, L.A. The Bipyridines. In Advances in Heterocyclic Chemistry: Advances in Heterocyclic Chemistry; Elsevier: Amsterdam, The Netherlands, 1984; Volume 35, pp. 281–374. ISBN 9780120206353. [Google Scholar]
- Groom, C.R.; Bruno, I.J.; Lightfoot, M.P.; Ward, S.C. The Cambridge Structural Database. Acta Crystallogr. 2016, 72B, 171–179. [Google Scholar] [CrossRef]
- Bruno, I.J.; Cole, J.C.; Edgington, P.R.; Kessler, M.; Macrae, C.F.; McCabe, P.; Pearson, J.; Taylor, R. New software for searching the Cambridge Structural Database and visualizing crystal structures. Acta Crystallogr. 2002, 53, 226–235. [Google Scholar] [CrossRef] [PubMed]
- Macrae, C.F.; Sovago, I.; Cottrell, S.J.; Galek, P.T.A.; McCabe, P.; Pidcock, E.; Platings, M.; Shields, G.P.; Stevens, J.S.; Towler, M.; et al. Mercury 4.0: From visualization to analysis, design and prediction. J. Appl. Crystallogr. 2020, 53, 226–235. [Google Scholar] [CrossRef] [PubMed]
- Eliel, E.L.; Wilen, S.H.; Mander, L.N. Stereochemistry of Organic Compounds; John Wiley & Sons: Hoboken, NJ, USA, 1994; ISBN 9780471016700. [Google Scholar]
- Christie, G.H.; Kenner, J. LXXI.—The molecular configurations of polynuclear aromatic compounds. Part I. The resolution of γ-6:6′-dinitro- and 4:6:4′:6′-tetranitro-diphenic acids into optically active components. J. Chem. Soc. Trans. 1922, 121, 614–620. [Google Scholar] [CrossRef]
- Cain, J.C.; Coulthard, A.; Micklethwait, F.M.G. CCXLII.—Studies in the diphenyl series. Part II. The dinitrobenzidines: A new form of isomerism. J. Chem. Soc. Trans. 1912, 101, 2298–2304. [Google Scholar] [CrossRef]
- King, H. The possibility of a new instance of optical activity without an asymmetric carbon atom. Proc. Chem. Soc. 1914, 30, 250. [Google Scholar] [CrossRef]
- Thorpe, J.F. John Cannell Cain. J. Chem. Soc. Trans. 1921, 119, 533–537. [Google Scholar]
- Kuhn, R. Molekulare Asymmetrie. In Stereochemie: Eine zusammenfassung der Ergebnisse, Grundlagen und Probleme; Freudenberg, K., Ed.; Franz Deutike: Leipzig, Germany; Vienna, Austria, 1933; pp. 803–824. [Google Scholar]
- Favre, H.A.; Powell, W.H. Nomenclature of Organic Chemistry: Iupac Recommendations and Preferred Names 2013; RSC Publishing: Cambridge, UK, 2014. [Google Scholar]
- Cahn, R.S.; Ingold, C.K. Specification of configuration about quadricovalent asymmetric atoms. J. Chem. Soc. 1951, 612–622. [Google Scholar] [CrossRef]
- Cahn, R.S.; Ingold, C.K.; Prelog, V. The specification of asymmetric configuration in organic chemistry. Experientia 1956, 12, 81–94. [Google Scholar] [CrossRef]
- Cahn, R.S.; Ingold, C.; Prelog, V. Specification of Molecular Chirality. Angew. Chem. Int. Ed. Engl. 1966, 5, 385–415. [Google Scholar] [CrossRef]
- Prelog, V.; Helmchen, G. Basic Principles of the CIP-System and Proposals for a Revision. Angew. Chem. Int. Ed. Engl. 1982, 21, 567–583. [Google Scholar] [CrossRef]
- Ōki, M. Recent Advances in Atropisomerism.; Allinger, N.L., Eliel, E.L., Wilen, S.H., Eds.; John Wiley & Sons, Inc.: Hoboken, NJ, USA, 1983; pp. 1–82. ISBN 0-471-89858. [Google Scholar]
- Alkorta, I.; Elguero, J.; Roussel, C.; Vanthuyne, N.; Piras, P. Atropisomerism and Axial Chirality in Heteroaromatic Compounds. In Advances in Heterocyclic Chemistry; Katritzky, A.R., Ed.; Elsevier: Amsterdam, The Netherlands, 2012; Volume 105, pp. 1–188. ISBN 9780123965301. [Google Scholar]
- Akutagawa, S. Asymmetric synthesis by metal BINAP catalysts. Appl. Catal. A 1995, 128, 171–207. [Google Scholar] [CrossRef]
- Kitamura, M.; Noyori, R.; Tsukamoto, M. (R)- & (S)-2,2′-Bis(diphenylphosphino)-1,1′-binaphthyl. e-EROS Encycl. Reag. Org. Synth. 2001. [Google Scholar] [CrossRef]
- Kuriyama, W.; Sayo, N.; Saito, T. Chiral ligands & their complexes. Newly available on a commercial scale. Strem Chem. 2007, 23, 1–73. [Google Scholar]
- Misra, A.; Dwivedi, J.; Kishore, D. Role of the transition metal complexes of 2,2′-bis(diphenylphosphino)-1,1′-binaphthyl (BINAP) in asymmetric catalysis. Synth. Commun. 2017, 47, 497–535. [Google Scholar] [CrossRef]
- Noyori, R.; Takaya, H. BINAP: An efficient chiral element for asymmetric catalysis. Acc. Chem. Res. 1990, 23, 345–350. [Google Scholar] [CrossRef]
- Noyori, R. Asymmetric catalysis by chiral metal complexes. CHEMTECH 1992, 22, 360–367. [Google Scholar]
- Noyori, R. Asymmetric hydrogenation. Acta Chem. Scand. 1996, 50, 380–390. [Google Scholar] [CrossRef]
- Ohkuma, T.; Kurono, N. BINAP. Privil. Chiral Ligands Catal. 2011, 1–53. [Google Scholar] [CrossRef]
- Strong, J.G. BINAP—the people′s ligand for chiral chemistry. PharmaChem 2003, 2, 20–22. [Google Scholar]
- Jones, M.D.; Almeida Paz, F.A.; Davies, J.E.; Johnson, B.F.G. (S)-(−)-2,2′-Bis(diphenylphosphino)-1,1′-binaphthyl, a versatile chelating ligand. Acta Crystallogr. Sect. E Struct. Rep. Online 2003, 59, o535–o537. [Google Scholar] [CrossRef]
- Wu, X.; Huang, C.Y.; Chen, D.G.; Liu, D.; Wu, C.; Chou, K.J.; Zhang, B.; Wang, Y.; Liu, Y.; Li, E.Y.; et al. Exploiting racemism enhanced organic room-temperature phosphorescence to demonstrate Wallach′s rule in the lighting chiral chromophores. Nat. Commun. 2020, 11, 2145. [Google Scholar] [CrossRef]
- Deeming, A.J.; Speel, D.M.; Stchedroff, M. Trinuclear Clusters of Ruthenium-Containing Bridging and Ortho-Metalated 2,2′-Bis(diphenylphosphino)-1,1′-binaphthyl (BINAP): X-ray Structures of (R)-BINAP and [Ru3(μ-OH)2(CO)8{μ-(R)-BINAP}]. Organometallics 1997, 16, 6004–6009. [Google Scholar] [CrossRef]
- Niu, F.; Chai, W.; Song, L.; Zhou, M.; Liang, J. rac-2,2′-Bis(diphenyl-phosphan-yl)-1,1′-binaphth-yl: A racemic diphosphine ligand. Acta Crystallogr. Sect. E Struct. Rep. Online 2012, 68, o2033. [Google Scholar] [CrossRef]
- Véron, A.C.; Felber, M.; Blacque, O.; Spingler, B. Conformational flexibility of palladium BINAP complexes explored by X-ray analyses and DFT studies. Polyhedron 2013, 52, 102–105. [Google Scholar] [CrossRef]
- Crawford, M.; Smyth, I.F.B. The optical resolution and racemisation of some diisoquinolyls. J. Chem. Soc. 1954, 3464. [Google Scholar] [CrossRef]
- Hirao, K.-I.; Tsuchiya, R.; Yano, Y.; Tsue, H. Preparation of optically active 8,8′-disubstituted 1,1′-biisoquinoline. Heterocycles 1996, 42, 415–422. [Google Scholar] [CrossRef]
- Chelucci, G.; Cabras, M.A.; Saba, A.; Sechi, A. Synthesis and resolution of 1,1-bi-8-methylisoquinoline: Formation of an optically active complex with high chiral recognition. Tetrahedron Asymmetry 1996, 7, 1027–1032. [Google Scholar] [CrossRef]
- Dai, L.; Zhou, Z.; Zhang, Y.; Ni, C.; Zhang, Z.; Zhou, Y. 1,1′-Biisoquinoline: A chiral bidentate N-donor ligand with C2-symmetry. Formation of optically active complexes with high chiral recognition. J. Chem. Soc., Chem. Commun. 1987, 1760–1762. [Google Scholar] [CrossRef]
- Tsue, H.; Fujinami, H.; Itakura, T.; Tsuchiya, R.; Kobayashi, K.; Takahashi, H.; Hirao, K.-i. 8,8′-Dialkyl-1,1′-biisoquinolines: Preparation, absolute configuration and unexpected racemization behaviour. J. Chem. Soc. Perkin Trans. 1 1999, 3677–3683. [Google Scholar] [CrossRef]
- Tsue, H.; Fujinami, H.; Itakura, T.; Tsuchiya, R.; Kobayashi, K.; Takahashi, H.; Hirao, K.-I. Absolute configuration of 8,8′-dialkyl-1,1′-biisoquinoline. Chem. Lett. 1999, 17–18. [Google Scholar] [CrossRef]
- Fujii, M.; Honda, A. Axially chiral heteroaromatics. 1. Preparation of optically active 1,1′-biisoquinoline N,N′-dioxide. J. Heterocycl. Chem. 1992, 29, 931–933. [Google Scholar] [CrossRef]
- Fujii, M.; Honda, A. Preparation of an axially chiral heteroaromatic compound 1,1′-biisoquinoline-N,N′-dioxide. Chem. Express 1992, 7, 329–332. [Google Scholar]
- Reep, C.; Morgante, P.; Peverati, R.; Takenaka, N. Axial-Chiral Biisoquinoline N,N′-Dioxides Bearing Polar Aromatic C-H Bonds as Catalysts in Sakurai-Hosomi-Denmark Allylation. Org. Lett. 2018, 20, 5757–5761. [Google Scholar] [CrossRef]
- Rooks, B.J.; Haas, M.R.; Sepulveda, D.; Lu, T.; Wheeler, S.E. Prospects for the Computational Design of Bipyridine N,N′-Dioxide Catalysts for Asymmetric Propargylation Reactions. ACS Catal. 2015, 5, 272–280. [Google Scholar] [CrossRef]
- Ricci, G.; Ruzziconi, R.; Giorgio, E. Atropisomeric (R,R)-2,2′-Bi([2]paracyclo [2](5,8)quinolinophane) and (R,R)-1,1′-Bi([2]paracyclo[2](5,8)isoquinolinophane): Synthesis, Structural Analysis, and Chiroptical Properties. J. Org. Chem. 2005, 70, 1011–1018. [Google Scholar] [CrossRef] [PubMed]
- Leister, D.; Kao, J. Theoretical studies of rotational barriers in 1,1′-biisoquinoline, 2,2′-biquinoline and substituted styrenes, alkenyl-naphthalenes, and alkyl-binaphthyls. J. Mol. Struct. Theochem. 1988, 168, 105–118. [Google Scholar] [CrossRef]
- Yamamoto, K.; Tateishi, H.; Watanabe, K.; Adachi, T.; Matsubara, H.; Ueda, T.; Yoshida, T. Novel optically active 7,7′-bridged-1,1′-biisoquinolines and their chelation to rhodium(I) ion. J. Chem. Soc. Chem. Commun. 1995, 1637–1638. [Google Scholar] [CrossRef]
- Dyker, G.; Stirner, W.; Henkel, G.; Schreiner, P.R. Deracemization of a macrocyclic 1,1′-biisoquinoline. Helv. Chim. Acta 2008, 91, 904–913. [Google Scholar] [CrossRef]
- Badr, M.Z.A.; Aly, M.M.; Abdel-Rahman, A.E. Molecular rearrangements: Part X. Pyrolysis of aniline, o- and p-toluidines, mesitidine and α-naphthylamine. Indian J. Chem. Sect. B 1977, 15B, 381–382. [Google Scholar]
- Badr, M.Z.A.; El-Sherief, H.A.H. Molecular rearrangements. V. Pyrolysis of α-naphthylmethyl phenyl ether. Indian J. Chem. 1974, 12, 1067–1070. [Google Scholar]
- Badr, M.Z.A.; Aly, M.M.; Salem, S.S. Molecular rearrangements—XII. Tetrahedron 1977, 33, 3155–3157. [Google Scholar] [CrossRef]
- Alvarez, M.; Joule, J.A. Product class 5: Isoquinolines. Sci. Synth. 2005, 15, 661–838. [Google Scholar]
- Allan, K.M.; Hong, B.D.; Stoltz, B.M. Expedient synthesis of 3-hydroxyisoquinolines and 2-hydroxy-1,4-naphthoquinones via one-pot aryne acyl-alkylation/condensation. Org. Biomol. Chem. 2009, 7, 4960–4964. [Google Scholar] [CrossRef]
- Banik, T.; Betkekar, V.V.; Kaliappan, K.P. An Unprecedented, Lewis Acid-Mediated, Metal-Free Iodoannulation Strategy to Aromatic Iodides. Chem.-Asian J. 2018, 13, 3676–3680. [Google Scholar] [CrossRef]
- Henry, R.A.; Moore, D.W. Intramolecular cyclization of N-alkyl-3,3′,4,4′-tetrahydro-1,1′-biisoquinolinium salts. J. Org. Chem. 1972, 37, 2039–2040. [Google Scholar] [CrossRef]
- Henry, R.A.; Nielsen, A.T.; Moore, D.W. Reactions of epimeric 2,2′-diacetyl-1,1′,2,2′-tetrahydro-1,1′-biisoquinolines. J. Org. Chem. 1972, 37, 3206–3209. [Google Scholar] [CrossRef]
- Elliott, I.W., Jr.; McGriff, R.B. Bimolecular compounds from dissolving-metal reductions of N-heterocyclics. J. Org. Chem. 1957, 22, 514–516. [Google Scholar] [CrossRef]
- Hayashi, E.; Makino, H.; Higashino, T. Reaction of 4-isoquinolinecarbonitrile and its 2-oxide with cyanide ions in dimethyl sulfoxide. Yakugaku Zasshi 1974, 94, 1041–1044. [Google Scholar] [CrossRef][Green Version]
- Matsuo, I.; Takahashi, T.; Ohki, S. Synthesis of isoquinoline derivatives. I. Synthesis of 1,1′-biisoquinoline derivatives. Yakugaku Zasshi 1963, 83, 518–522. [Google Scholar] [CrossRef] [PubMed][Green Version]
- Li, S.; Lv, H.; Xie, R.; Yu, Y.; Ye, X.; Kong, X. The C-H Activation/Bidirecting Group Strategy for Selective Direct Synthesis of Diverse 1,1′-Biisoquinolines. Org. Lett. 2020, 22, 4207–4212. [Google Scholar] [CrossRef]
- Katritzky, A.R.; Barcock, R.A.; Siskin, M.; Olmstead, W.N. Aqueous High-Temperature Chemistry of Carbo- and Heterocycles. 23.Reactions of Pyridine Analogs and Benzopyrroles in Supercritical Water at 460 °C. Energy Fuels 1994, 8, 990–1001. [Google Scholar] [CrossRef]
- Si, C.; Myers, A.G. A Versatile Synthesis of Substituted Isoquinolines. Angew. Chem. Int. Ed. 2011, 50, 10409–10413. [Google Scholar] [CrossRef]
- Guillou, S.; Janin, Y.L. Optimized palladium-based approaches to analogues of PK 11195. J. Heterocycl. Chem. 2008, 45, 1377–1384. [Google Scholar] [CrossRef]
- Iyoda, M.; Otsuka, H.; Sato, K.; Nisato, N.; Oda, M. Homocoupling of aryl halides using nickel(II) complexes and zinc in the presence of tetraethylammonium iodide. An efficient method for the synthesis of biaryls and bipyridines. Bull. Chem. Soc. Jpn. 1990, 63, 80–87. [Google Scholar] [CrossRef]
- Nelson, T.D.; Crouch, R.D. Cu, Ni, and Pd mediated homocoupling reactions in biaryl syntheses: The Ullmann reaction. Org. React. 2004, 63. [Google Scholar] [CrossRef]
- Ashby, M.T.; Govindan, G.N.; Grafton, A.K. Metal-Assisted Racemization of the Atropisomers of a 1,1′-Binaphthyl Skeleton via a Syn Transition State. J. Am. Chem. Soc. 1994, 116, 4801–4809. [Google Scholar] [CrossRef]
- Clarke, A.J.; McNamara, S.; Meth-Cohn, O. Novel aspects of the metalation of heterocycles. Side-chain metalation of thiophene and ring metalation of six-membered nitrogen heterocycles. Tetrahedron Lett. 1974, 2373–2376. [Google Scholar] [CrossRef]
- Frediani, P.; Giannelli, C.; Salvini, A.; Ianelli, S. Ruthenium complexes with 1,1′-biisoquinoline as ligand. Synthesis and hydrogenation activity. J. Organomet. Chem. 2003, 667, 197–208. [Google Scholar] [CrossRef]
- Banerji, A.; Maiti, S. Reactions of single-electron transfer reagents. Part II. Reaction of isoquinoline with sodium naphthalenide. Indian J. Chem. Sect. B 1993, 32B, 889–891. [Google Scholar]
- Banerji, A.; Maiti, S. Studies on single-electron transfer reagents. Part IV. Reaction of nitrogen heterocycles with sodium naphthalenide. Tetrahedron 1994, 50, 9079–9096. [Google Scholar] [CrossRef]
- Onggo, D.; Goodwin, H.A. Steric effects of the spin state of iron(II) in complexes of substituted bipyridine derivatives. Aust. J. Chem. 1991, 44, 1539–1551. [Google Scholar] [CrossRef]
- Rapoport, H.; Iwamoto, R.; Tretter, J.R. The Synthesis of 2,2′-Biquinolyls and Related Compounds by Catalytic Dehydrogenation. J. Org. Chem. 1960, 25, 372–373. [Google Scholar] [CrossRef]
- Wibaut, J.P.; Haaijman, P.W. On a remarkable formation of isocarbostyril from isoquinoline. Recueil des Travaux Chimiques des Pays-Bas 1943, 62, 466–468. [Google Scholar] [CrossRef]
- Carey, J.C.; Sasse, W.H.F. Synthetic applications of activated metal catalysts. XXVI. Formation of biaryls from azahydrocarbons under the influence of rhodium-on-carbon. Aust. J. Chem. 1968, 21, 207–216. [Google Scholar] [CrossRef]
- Case, F.H. The preparation of 1,1′- and 3,3′-biisoquinoline. J. Org. Chem. 1952, 17, 471–472. [Google Scholar] [CrossRef]
- Falk, H.; Suste, A. On the chemistry of pyrrole pigments. XCI: Copper complexes of pyridinologous linear tri- and tetrapyrroles as cyclopropanation catalysts. Monatsh. Chem. 1994, 125, 325–333. [Google Scholar] [CrossRef]
- Scherrer, D.; Schilling, M.; Luber, S.; Fox, T.; Spingler, B.; Alberto, R.; Richmond, C.J. Ruthenium water oxidation catalysts containing the non-planar tetradentate ligand, biisoquinoline dicarboxylic acid (biqaH2). Dalton Trans. 2016, 45, 19361–19367. [Google Scholar] [CrossRef]
- Starke, I.; Kammer, S.; Holdt, H.-J.; Kleinpeter, E. Stability of disubstituted copper complexes in the gas phase analyzed by electrospray ionization mass spectrometry. Rapid Commun. Mass Spectrom. 2010, 24, 1319–1326. [Google Scholar] [CrossRef] [PubMed]
- Starke, I.; Koch, A.; Kammer, S.; Holdt, H.-J.; Moeller, H.M. Electrospray mass spectrometry and molecular modeling study of formation and stability of silver complexes with diazaperylene and bisisoquinoline. J. Mass Spectrom. 2018, 53, 408–418. [Google Scholar] [CrossRef] [PubMed]
- Kapatsina, E.; Lordon, M.; Baro, A.; Laschat, S. Convergent synthesis of 1,1′-biisoquinolines tethered to calamitic subunits. Synthesis 2008, 2551–2560. [Google Scholar] [CrossRef]
- Kapatsina, E.; Mateescu, M.; Baro, A.; Frey, W.; Laschat, S. Concise Synthesis of [1,1′-Biisoquinoline]-4,4′-diol via a Protecting Group Strategy and Its Application for Potential Liquid-Crystalline Compounds. Helv. Chim. Acta 2009, 92, 2024–2037. [Google Scholar] [CrossRef]
- Chang, Y.; Lee, S.; Cho, M.; Yoo, B.; Rhee, H.; Lee, S.; Yoon, C. Homocoupling of aryl iodides and bromides using a palladium/indium bimetallic system. Synth. Commun. 2005, 35, 1851–1857. [Google Scholar] [CrossRef]
- Wang, Z.-J.; Wang, X.; Lv, J.-J.; Feng, J.-J.; Xu, X.; Wang, A.-J.; Liang, Z. Bimetallic Au-Pd nanochain networks: Facile synthesis and promising application in biaryl synthesis. New J. Chem. 2017, 41, 3894–3899. [Google Scholar] [CrossRef]
- Liu, Y.; Berges, J.; Zaid, Y.; Chahdi, F.O.; Van Der Lee, A.; Harakat, D.; Clot, E.; Jaroschik, F.; Taillefer, M. Aerobic and Ligand-Free Manganese-Catalyzed Homocoupling of Arenes or Aryl Halides via in Situ Formation of Aryllithiums. J. Org. Chem. 2019, 84, 4413–4420. [Google Scholar] [CrossRef]
- Zhao, Q.; Liu, S.; Shi, M.; Wang, C.; Yu, M.; Li, L.; Li, F.; Yi, T.; Huang, C. Series of New Cationic Iridium(III) Complexes with Tunable Emission Wavelength and Excited State Properties: Structures, Theoretical Calculations, and Photophysical and Electrochemical Properties. Inorg. Chem. 2006, 45, 6152–6160. [Google Scholar] [CrossRef]
- Duong, V.K.; Horan, A.M.; McGarrigle, E.M. Synthesis of Pyridylsulfonium Salts and Their Application in the Formation of Functionalized Bipyridines. Org. Lett. 2020, 22, 8451–8457. [Google Scholar] [CrossRef]
- Duong, V.K.; Horan, A.M.; McGarrigle, E.M. Synthesis of pyridylsulfonium salts and their application in transition metal-free formation of functionalized bipyridines. ChemRxiv 2020, 1–5. [Google Scholar] [CrossRef]
- Stephens, D.E.; Lakey-Beitia, J.; Burch, J.E.; Arman, H.D.; Larionov, O.V. Mechanistic insights into the potassium tert-butoxide-mediated synthesis of N-heterobiaryls. Chem. Commun. 2016, 52, 9945–9948. [Google Scholar] [CrossRef]
- Jha, A.K.; Jain, N. 2,2′-Homocoupled Azine N,N′-Dioxides or Azine N-Oxides: CDC- or SNAr-Controlled Chemoselectivity. Eur. J. Org. Chem. 2017, 2017, 4765–4772. [Google Scholar] [CrossRef]
- Bulygina, L.A.; Khrushcheva, N.S.; Sokolov, V.I.; Khodak, A.A. Synthesis and catalytic activity of a complex of 1,1′-bis-isoquinoline N,N′-dioxide with PdCl2. Russ. Chem. Bull. 2015, 64, 429–431. [Google Scholar] [CrossRef]
- Malkov, A.V.; Westwater, M.-M.; Gutnov, A.; Ramirez-Lopez, P.; Friscourt, F.; Kadlcikova, A.; Hodacova, J.; Rankovic, Z.; Kotora, M.; Kocovsky, P. New pyridine N-oxides as chiral organocatalysts in the asymmetric allylation of aromatic aldehydes. Tetrahedron 2008, 64, 11335–11348. [Google Scholar] [CrossRef]
- Nakajima, M.; Saito, M.; Shiro, M.; Hashimoto, S.-i. (S)-3,3′-Dimethyl-2,2′-biquinoline N,N′-Dioxide as an Efficient Catalyst for Enantioselective Addition of Allyltrichlorosilanes to Aldehydes. J. Am. Chem. Soc. 1998, 120, 6419–6420. [Google Scholar] [CrossRef]
- Liu, B.; Feng, X.; Chen, F.; Zhang, G.; Cui, X.; Jiang, Y. Enantioselective Strecker reaction promoted by chiral N-oxides. Synlett 2001, 1551–1554. [Google Scholar] [CrossRef]
- Denmark, S.E.; Fan, Y. Catalytic, Enantioselective Aldol Additions to Ketones. J. Am. Chem. Soc. 2002, 124, 4233–4235. [Google Scholar] [CrossRef]
- Denmark, S.E.; Fan, Y.; Eastgate, M.D. Lewis Base Catalyzed, Enantioselective Aldol Addition of Methyl Trichlorosilyl Ketene Acetal to Ketones. J. Org. Chem. 2005, 70, 5235–5248. [Google Scholar] [CrossRef]
- Nakajima, M.; Saito, M.; Uemura, M.; Hashimoto, S. Enantioselective ring opening of meso-epoxides with tetrachlorosilane catalyzed by chiral bipyridine N,N′-dioxide derivatives. Tetrahedron Lett. 2002, 43, 8827–8829. [Google Scholar] [CrossRef]
- Nakajima, M.; Yokota, T.; Saito, M.; Hashimoto, S. Enantioselective aldol reactions of trichlorosilyl enol ethers catalyzed by chiral N,N′-dioxides and monodentate N-oxides. Tetrahedron Lett. 2004, 45, 61–64. [Google Scholar] [CrossRef]
- Sugiura, M.; Sato, N.; Sonada, Y.; Kotani, S.; Nakajima, M. Diastereo- and enantioselective reductive aldol reaction with trichlorosilane using chiral Lewis bases as organocatalysts. Chem.-Asian J. 2010, 5, 478–481. [Google Scholar] [CrossRef] [PubMed]
- Doney, A.C.; Rooks, B.J.; Lu, T.; Wheeler, S.E. Design of Organocatalysts for Asymmetric Propargylations through Computational Screening. ACS Catal. 2016, 6, 7948–7955. [Google Scholar] [CrossRef]
- Jiao, Z.; Feng, X.; Liu, B.; Chen, F.; Zhang, G.; Jiang, Y. Enantioselective Strecker reactions between aldimines and trimethylsilyl cyanide promoted by chiral N,N′-dioxides. Eur. J. Org. Chem. 2003, 3818–3826. [Google Scholar] [CrossRef]
- Nakanishi, K.; Kotani, S.; Sugiura, M.; Nakajima, M. First asymmetric Abramov-type phosphonylation of aldehydes with trialkyl phosphites catalyzed by chiral Lewis bases. Tetrahedron 2008, 64, 6415–6419. [Google Scholar] [CrossRef]
- Grunwald, N.; Kelling, A.; Holdt, H.-J.; Schilde, U. The crystal structure of 1,1′-bisisoquinoline, C18H12N2. Z. Kristallogr.-New Cryst. Struct. 2017, 232, 839–841. [Google Scholar] [CrossRef]
- Mori, Y.; Matsuyama, Y.; Yamada, S.; Maeda, K. Structures of 2,2′-polymethylene-1,1′-biisoquinolinium dibromides. Acta Crystallogr. Sect. C Cryst. Struct. Commun. 1992, C48, 894–897. [Google Scholar] [CrossRef]
- Mori, Y.; Matsuyama, Y.; Suzuki, J.; Ishii, Y.; Yamada, S.; Maeda, K. Structure of diiodide salts of N-heteroaromatic dications. Acta Crystallogr. Sect. C Cryst. Struct. Commun. 1993, C49, 1398–1401. [Google Scholar] [CrossRef]
- Mori, Y.; Isozaki, K.; Maeda, K. Chemiluminescence of 1,1′-biisoquinolinium and 2,2′-biquinolinium salts. Reactions of electron-rich olefins with molecular oxygen. J. Chem. Soc. Perkin Trans. 2 1997, 1969–1976. [Google Scholar] [CrossRef]
- Maeda, K.; Matsuyama, Y.; Isozaki, K.; Yamada, S.; Mori, Y. Mechanism of the chemiluminescence of biisoquinolinium salts. J. Chem. Soc. Perkin Trans. 2 1996, 121–126. [Google Scholar] [CrossRef]
- Mason, S.F.; Roberts, D.R. A new series of chemiluminescent reactions. Chem. Commun. 1967, 476–477. [Google Scholar] [CrossRef]
- Yamamoto, K.; Watanabe, K.; Chikamatsu, H.; Okamoto, Y.; Yoshida, T. Preparation of a novel optically active 8,8′-biisoquinolyl and its coordination as a bridging ligand in rhodium(I) complexes. J. Chem. Soc. Chem. Commun. 1987, 807–809. [Google Scholar] [CrossRef]
- Murali, M.; Palaniandavar, M. Synthesis, structure and spectral and redox properties of new mixed ligand monomeric and dimeric Ru(ii) complexes: Predominant formation of the “cis-α” diastereoisomer and unusual 3MC emission by dimeric complexes. Dalton Trans. 2006, 730–743. [Google Scholar] [CrossRef] [PubMed]
- D′Alessandro, D.M.; Keene, F.R. Metal–metal interactions in dinuclear ruthenium complexes incorporating “stepped-parallel” bridging ligands: Synthesis, stereochemistry and intervalence charge transfer. New J. Chem. 2006, 30, 228. [Google Scholar] [CrossRef]
- Temizsoy, M.; Sethi, W.; Reinholdt, A.; Schau-Magnussen, M.; Bendix, J.; Hammershøi, A. Stereoretentive formylation of (S)-proline: New application of the self-regeneration of stereo-centres (SRS) principle via chelation to cobalt(iii). Dalton Trans. 2015, 44, 18438–18446. [Google Scholar] [CrossRef][Green Version]
- Dreos, R.; Nardin, G.; Randaccio, L.; Siega, P.; Tauzher, G. Synthesis, characterization, and solution behavior of optically active cis beta organocobalt salen complexes with L-amino acids. Inorg. Chem. 2004, 43, 3433–3440. [Google Scholar] [CrossRef] [PubMed]
- Hua, X.; von Zelewsky, A. Enantiomerically Pure Chiral RuII(L-L)2 Building Blocks for Coordination Compounds. Inorg. Chem. 1995, 34, 5791–5797. [Google Scholar] [CrossRef]
- Paul, P.; Tyagi, B.; Bilakhiya, A.K.; Dastidar, P.; Suresh, E. Metal-assisted unusual hydroxylation at the carbon atom of the triazine ring in dinuclear ruthenium(II) and osmium(II) complexes bridged by 2,4,6-tris(2-pyridyl)-1,3,5-triazine: Synthesis, structural characterization, stereochemistry, and electrochemical studies. Inorg. Chem. 2000, 39, 14–22. [Google Scholar] [CrossRef] [PubMed]
- Prabaharan, R.; Fletcher, N.C. The stereoselective coordination chemistry of the helicating ligand N,N′-bis(-2,2′-dipyridyl-5-yl)carbonyl-(S/R,S/R)-1,2-diphenylethylenediamine. Inorg. Chim. Acta 2003, 355, 449–453. [Google Scholar] [CrossRef]
- Bergman, S.D.; Goldberg, I.; Barbieri, A.; Kol, M. Mononuclear and dinuclear complexes of isoeilatin. Inorg. Chem. 2005, 44, 2513–2523. [Google Scholar] [CrossRef] [PubMed]
- Fernández-Cestau, J.; Giménez, N.; Lalinde, E.; Montaño, P.; Moreno, M.T.; Sánchez, S. Synthesis, Characterization, and Properties of Doubly Alkynyl Bridging Dinuclear Cyclometalated Iridium(III) Complexes. Organometallics 2015, 34, 1766–1778. [Google Scholar] [CrossRef]
- Connelly, N.G. Iupac Recommendations 2005; Royal Society of Chemistry: London, UK, 2005; ISBN 9780854044382. [Google Scholar]
- Grunwald, N.; Schilde, U.; Kelling, A.; Holdt, H.-J. De Gruyter. Available online: https://www.degruyter.com/document/doi/10.1515/ncrs-2017-0088/html (accessed on 1 March 2021).
- Starke, I.; Kammer, S.; Grunwald, N.; Schilde, U.; Holdt, H.-J.; Kleinpeter, E. Complexation of diazaperylene and bisisoquinoline with transition metal ions in the gas phase studied by electrospray ionization mass spectrometry. Rapid Commun. Mass Spectrom. 2008, 22, 665–671. [Google Scholar] [CrossRef] [PubMed]
- Shen, H.; Zhou, X.; Zhou, S.; Mao, H. Synthesis, characterization of homogeneous Fe-catalyst and its application in selective oxidation of alcohols to aldehydes and ketones. Chem. J. Internet 2005, 7, 56. [Google Scholar]
- Ashby, M.T.; Govindan, G.N.; Grafton, A.K. Kinetics and mechanism of the facile diastereomeric isomerization of a tris(bidentate)ruthenium(II) complex bearing a misdirected bipyridyl ligand: ΔΛ-(δ/λ-1,1′-biisoquinoline)bis(2,2′-bipyridine)ruthenium(II). Inorg. Chem. 1993, 32, 3803–3804. [Google Scholar] [CrossRef]
- Marsh, R.E.; Clemente, D.A. A survey of crystal structures published in the Journal of the American Chemical Society. Inorg. Chim. Acta 2007, 360, 4017–4024. [Google Scholar] [CrossRef]
- Baranoff, E.; Collin, J.-P.; Furusho, J.; Furusho, Y.; Laemmel, A.-C.; Sauvage, J.-P. Photochemical or Thermal Chelate Exchange in the Ruthenium Coordination Sphere of Complexes of the Ru(phen)2L Family (L = Diimine or Dinitrile Ligands). Inorg. Chem. 2002, 41, 1215–1222. [Google Scholar] [CrossRef] [PubMed]
- Ashby, M.T. Inverse Relationship between the Kinetic and Thermodynamic Stabilities of the Misdirected Ligand Complexes Δ/Λ-(δ/λ-1,1′-Biisoquinoline)bis(2,2′-bipyridine)metal(II) (metal = Ruthenium, Osmium). J. Am. Chem. Soc. 1995, 117, 2000–2007. [Google Scholar] [CrossRef]
- Ashby, M.T.; Alguindigue, S.S.; Khan, M.A. Kinetic Element Effect for Atropisomerization of an Organometallic Complex of the Misdirected Ligand 1,1′-Biisoquinoline. Organometallics 2000, 19, 547–552. [Google Scholar] [CrossRef]
- Ashby, M.T.; Alguindigue, S.S.; Schwane, J.D.; Daniel, T.A. Regular and Inverse Secondary Kinetic Enthalpy Effects (KHE) for the Rate of Inversion of Thioether and 1,1′-Biisoquinoline Complexes of Ruthenium and Osmium. Inorg. Chem. 2001, 40, 6643–6650. [Google Scholar] [CrossRef]
- Brandt, P.; Norrby, T.; Aakermark, B.; Norrby, P.-O. Molecular mechanics (MM3) parameters for ruthenium(II)-polypyridyl complexes. Inorg. Chem. 1998, 37, 4120–4127. [Google Scholar] [CrossRef]
- Yang, R.; Dai, L. Synthesis and electronic spectra of ruthenium(II)-1,1′-biisoquinoline complexes. Chin. Chem. Lett. 1993, 4, 1021–1024. [Google Scholar]
- Zhu, Z.; Mao, C.; Yang, R.; Dai, L.; Nie, C. Surface-enhanced Raman scattering of ruthenium(II) homo- and heterolytic complexes with 2,2′-bipyridine and 1,1′-biisoquinoline in aqueous silver sol. J. Raman Spectrosc. 1993, 24, 221–226. [Google Scholar] [CrossRef]
- Glazer, E.C.; Tor, Y. RuII complexes of “large-surface” ligands. Angew. Chem. Int. Ed. 2002, 41, 4022–4026. [Google Scholar] [CrossRef]
- Yu, W.-Y.; Cheng, W.-C.; Che, C.-M.; Wang, Y. Synthesis, redox properties and reactivities of ruthenium(II) complexes of 1,1′-biisoquinoline (BIQN) and x-ray crystal structure of [RuII(terpy)(BIQN)(Cl)]ClO4 (terpy = 2,2′:6′, 2′′-terpyridine). Polyhedron 1994, 13, 2963–2969. [Google Scholar] [CrossRef]
- Yu, W.-Y.; Fung, W.-H.; Zhu, J.-L.; Cheung, K.-K.; Ho, K.-K.; Che, C.-M. Chiral ruthenium-oxo complexes for enantioselective epoxidation of trans-stilbene. J. Chin. Chem. Soc. (Taipei) 1999, 46, 341–349. [Google Scholar] [CrossRef]
- Panda, S.; Goel, P.; Lahiri, G.K. Non-Spectator Feature of α-Diimine Mimicked Di/tetrahydro-bisisoquinoline and Biimidazopyridine on {Ru(acac)2} Platform. Eur. J. Inorg. Chem. 2020, 2020, 2004–2013. [Google Scholar] [CrossRef]
- Tseng, H.-W.; Zong, R.; Muckerman, J.T.; Thummel, R. Mononuclear Ruthenium(II) Complexes That Catalyze Water Oxidation. Inorg. Chem. 2008, 47, 11763–11773. [Google Scholar] [CrossRef]
- Liu, R.; Dandu, N.; Chen, J.; Li, Y.; Li, Z.; Liu, S.; Wang, C.; Kilina, S.; Kohler, B.; Sun, W. Influence of Different Diimine (NN) Ligands on the Photophysics and Reverse Saturable Absorption of Heteroleptic Cationic Iridium(III) Complexes Bearing Cyclometalating 2-{3-[7-(Benzothiazol-2-yl)fluoren-2-yl]phenyl}pyridine (CN) Ligands. J. Phys. Chem. C 2014, 118, 23233–23246. [Google Scholar] [CrossRef]
- Khrushcheva, N.S.; Bulygina, L.A.; Starikova, Z.A.; Sokolov, V.I. Synthesis, structure, and catalytic activity of complexes of 1,1′-bisisoquinoline with PdCl2 and NiCl2. Russ. Chem. Bull. 2014, 63, 883–889. [Google Scholar] [CrossRef]
- Svensson, F.; Mane, R.S.; Saevmarker, J.; Larhed, M.; Skoeld, C. Theoretical and experimental investigation of palladium(II)-catalyzed decarboxylative addition of arenecarboxylic acid to nitrile. Organometallics 2013, 32, 490–497. [Google Scholar] [CrossRef]
- Cheng, L.K.; Yeung, K.S.; Che, C.M.; Cheng, M.C.; Wang, Y. X-ray structure and spectroscopic properties of platinum(II) complexes of 1,1′-biisoquinoline. Polyhedron 1993, 12, 1201–1207. [Google Scholar] [CrossRef]
- Jahng, Y.; Park, J.G.; Yu, J.W. Synthesis and properties of Cu(I) complexes of isoquinoline-related bidentates. Bull. Korean Chem. Soc. 2000, 21, 333–335. [Google Scholar]
- Arnosti, N.; Meyer, M.; Prescimone, A.; Constable, E.C.; Housecroft, C.E. Heteroleptic [Cu(P^P)(N^N)][PF6] complexes: Effects of isomer switching from 2,2′-biquinoline to 1,1′-biisoquinoline. Crystals 2021, 11, 185. [Google Scholar] [CrossRef]
- Bardaji, M.; Miguel-Coello, A.B.; Espinet, P. Predominance of bridging coordination in luminescent 1,1′-biisoquinoline silver(I) derivatives. Inorg. Chim. Acta 2012, 386, 93–101. [Google Scholar] [CrossRef]
- Bardaji, M.; Miguel-Coello, A.B.; Espinet, P. Mono- and dinuclear luminescent 1,1′-biisoquinoline gold(I) complexes. Inorg. Chim. Acta 2012, 392, 91–98. [Google Scholar] [CrossRef]























| Compound | Refcode | N2–C1–C1′-N2′/° | Space Group | Reference |
|---|---|---|---|---|
| rac-(1M)-biiq | VEMWOC | −90.96 | I41/a | [108] |
| rac-(1M)-8,8′-Me2biiq | GORTUC | −101.18 | [46] | |
| rac-(1M)-8,8′-Me2biiq | GORTUC01 | −101.18 | R | [45] |
| rac-(1M)-8,8′-Et2biiq | GORVAK | 100.63 | Pbca | [46] |
| rac-(1M)-8,8′-Et2biiq | GORVAK01 | 100.63 | Pbca | [45] |
| rac-(1M)-4,4′-(EtO)2biiq | MUKDEC | −119.01 | C2/c | [87] |
| rac-(1M)-3,3,4,4′-(4-MeOC6H4)2biiq | RUKLUH | −124.67 | P | [66] |
| rac-(1M)-9 | MOCWIL | 63.79 | P21/n | [54] |
| Compound | Refcode | N2–C1–C1′-N2′/° | Space Group | Reference |
|---|---|---|---|---|
| rac-(1M)-[H2(4,4′-(HO)2biiq)](Cl)2 | MUKDAY | 46.88 | C2/c | [87] |
| rac-(1M)-(10)(I)2·H2O | LALXUR | −107.81 | A2/a | [110] |
| rac-(1M)-(11)(Br)2 | KOTCAX | −37.23 | I41/a | [110] |
| rac-(1M)-(12)(Br)2·H2O | KOTCEB | −59.74 | P | [110] |
| (1P)-biiq N,N’-dioxide | HIMGUF | 101.64 | P21 | [98] |
Publisher’s Note: MDPI stays neutral with regard to jurisdictional claims in published maps and institutional affiliations. |
© 2021 by the authors. Licensee MDPI, Basel, Switzerland. This article is an open access article distributed under the terms and conditions of the Creative Commons Attribution (CC BY) license (http://creativecommons.org/licenses/by/4.0/).
Share and Cite
Constable, E.C.; Hartshorn, R.M.; Housecroft, C.E. 1,1′-Biisoquinolines—Neglected Ligands in the Heterocyclic Diimine Family That Provoke Stereochemical Reflections. Molecules 2021, 26, 1584. https://doi.org/10.3390/molecules26061584
Constable EC, Hartshorn RM, Housecroft CE. 1,1′-Biisoquinolines—Neglected Ligands in the Heterocyclic Diimine Family That Provoke Stereochemical Reflections. Molecules. 2021; 26(6):1584. https://doi.org/10.3390/molecules26061584
Chicago/Turabian StyleConstable, Edwin C., Richard M. Hartshorn, and Catherine E. Housecroft. 2021. "1,1′-Biisoquinolines—Neglected Ligands in the Heterocyclic Diimine Family That Provoke Stereochemical Reflections" Molecules 26, no. 6: 1584. https://doi.org/10.3390/molecules26061584
APA StyleConstable, E. C., Hartshorn, R. M., & Housecroft, C. E. (2021). 1,1′-Biisoquinolines—Neglected Ligands in the Heterocyclic Diimine Family That Provoke Stereochemical Reflections. Molecules, 26(6), 1584. https://doi.org/10.3390/molecules26061584

