The Influence of Smoking Status on Exhaled Breath Profiles in Asthma and COPD Patients
Abstract
1. Introduction
2. Results
2.1. Baseline Characteristics and Study Design
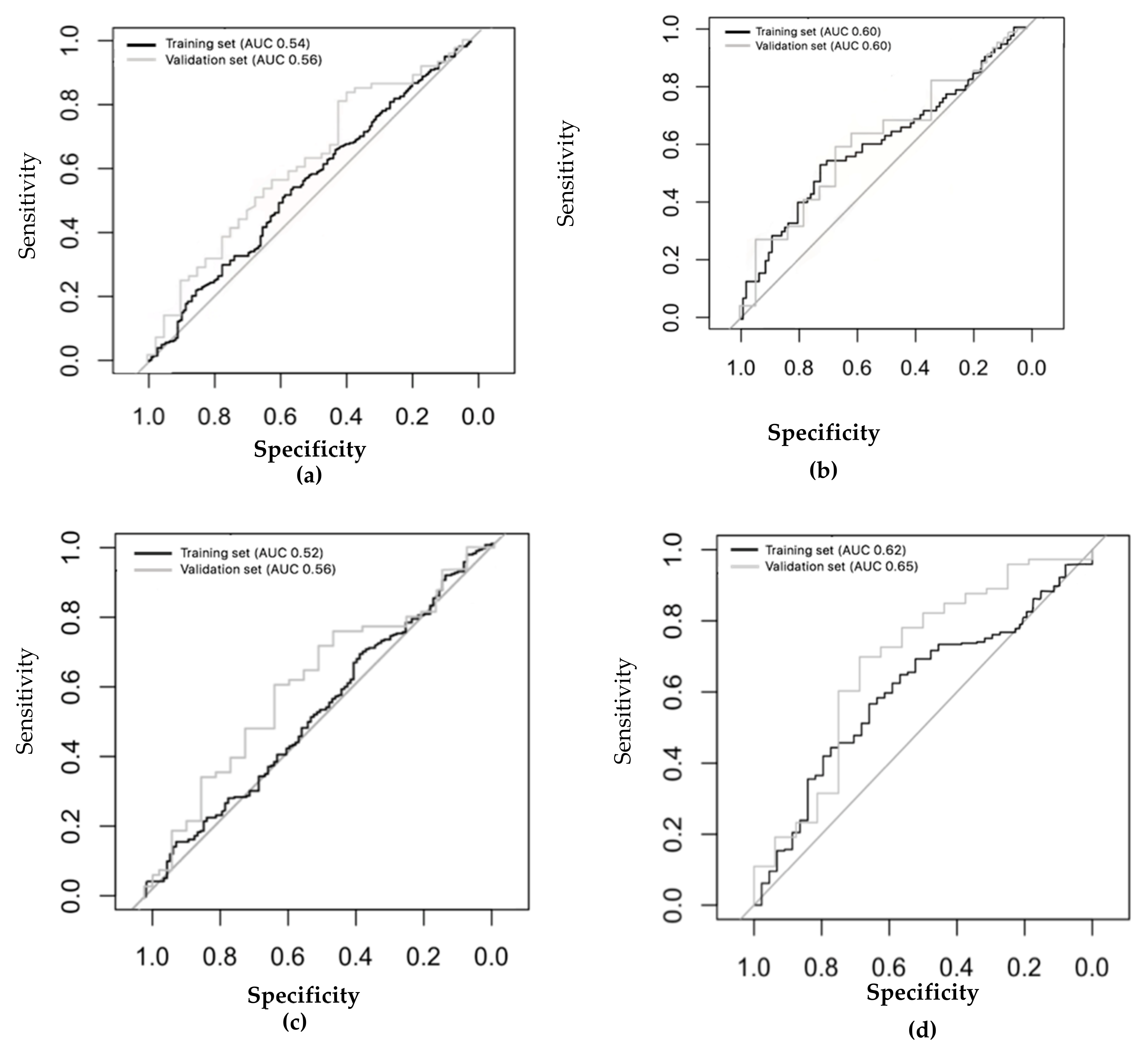
2.2. The Ability of the eNose to Discriminate a History of Smoking in Asthma and COPD Patients
2.3. The Ability of the eNose to Discriminate Recent Cigarette Consumption in Asthma and COPD Patients
2.4. Does Smoking Influence eNose Results?
3. Discussion
4. Materials and Methods
4.1. Study Design
4.2. Subject Selection
4.3. Smoking Definitions
4.4. Exhaled Breath Measurements
4.5. Statistical Analysis
5. Conclusions
Supplementary Materials
Author Contributions
Funding
Institutional Review Board Statement
Informed Consent Statement
Data Availability Statement
Acknowledgments
Conflicts of Interest
Sample Availability
References
- Han, M.L.K.; Agusti, A.; Calverley, P.M.; Celli, B.R.; Criner, G.; Curtis, J.L.; Fabbri, L.M.; Goldin, J.G.; Jones, P.W.; MacNee, W.; et al. Chronic Obstructive Pulmonary Disease Phenotypes: The Future of COPD. Am. J. Respir. Crit. Care Med. 2010, 182, 598–604. [Google Scholar] [CrossRef]
- Wenzel, S.E. Asthma phenotypes: The evolution from clinical to molecular approaches. Nat. Med. 2012, 18, 716–725. [Google Scholar] [CrossRef]
- Agusti, A.; Bel, E.; Thomas, M.; Vogelmeier, C.; Brusselle, G.; Holgate, S.; Humbert, M.; Jones, P.; Gibson, P.G.; Vestbo, J.; et al. Treatable traits: Toward precision medicine of chronic airway diseases. Eur. Respir. J. 2016, 47, 410–419. [Google Scholar] [CrossRef] [PubMed]
- Lötvall, J.; Akdis, C.A.; Bacharier, L.B.; Bjermer, L.; Casale, T.B.; Custovic, A.; Lemanske, R.F., Jr.; Wardlaw, A.J.; Wenzel, S.E.; Greenberger, P.A. Asthma endotypes: A new approach to classification of disease entities within the asthma syndrome. J. Allergy Clin. Immunol. 2011, 127, 355–360. [Google Scholar] [CrossRef]
- Bos, L.D.; Sterk, P.J.; Fowler, S.J. Breathomics in the setting of asthma and chronic obstructive pulmonary disease. J. Allergy Clin. Immunol. 2016, 138, 970–976. [Google Scholar] [CrossRef]
- Buszewski, B.; Kęsy, M.; Ligor, T.; Amann, A. Human exhaled air analytics: Biomarkers of diseases. Biomed. Chromatogr. 2007, 21, 553–566. [Google Scholar] [CrossRef]
- Van de Kant, K.D.G.; van der Sande, L.J.T.M.; Jöbsis, Q.; van Schayck, O.C.P.; Dompeling, E. Clinical Use of Exhaled Volatile Organic Compounds in Pulmonary Diseases: A Systematic Review. Respir. Res. 2012, 13, 1–23. [Google Scholar] [CrossRef]
- Miekisch, W.; Schubert, J.K.; Noeldge-Schomburg, G.F. Diagnostic potential of breath analysis—focus on volatile organic compounds. Clin. Chim. Acta 2004, 347, 25–39. [Google Scholar] [CrossRef] [PubMed]
- De Vries, R.; Dagelet, Y.W.; Spoor, P.; Snoey, E.; Jak, P.M.; Brinkman, P.; Dijkers, E.; Bootsma, S.K.; Elskamp, F.; De Jongh, F.H.; et al. Clinical and inflammatory phenotyping by breathomics in chronic airway diseases irrespective of the diagnostic label. Eur. Respir. J. 2018, 51, 1701817. [Google Scholar] [CrossRef]
- De Vries, R.; Brinkman, P.; Van Der Schee, M.P.; Fens, N.; Dijkers, E.; Bootsma, S.; De Jongh, F.H.C.; Sterk, P.J. Integration of electronic nose technology with spirometry: Validation of a new approach for exhaled breath analysis. J. Breath Res. 2015, 9, 046001. [Google Scholar] [CrossRef]
- Brinkman, P.; Der Zee, A.-H.M.-V.; Wagener, A.H. Breathomics and treatable traits for chronic airway diseases. Curr. Opin. Pulm. Med. 2019, 25, 94–100. [Google Scholar] [CrossRef] [PubMed]
- Zarogoulidis, P.; Freitag, L.; Besa, V.; Teschler, H.; Kurth, I.; Khan, A.M.; Sommerwerck, U.; Baumbach, J.I.; Darwiche, K. Exhaled volatile organic compounds discriminate patients with chronic obstructive pulmonary disease from healthy subjects. Int. J. Chronic Obstr. Pulm. Dis. 2015, 10, 399–406. [Google Scholar] [CrossRef]
- Tamimi, A.; Serdarevic, D.; Hanania, N.A. The effects of cigarette smoke on airway inflammation in asthma and COPD: Therapeutic implications. Respir. Med. 2012, 106, 319–328. [Google Scholar] [CrossRef]
- Meerbeeck, J.V.; Lamote, K. Screening Tools for a High Risk Population-Can We Screen for Early Mesothelioma? J. Thorac. Oncol. 2013, 8, S107–S108. [Google Scholar]
- Fens, N.; Gaarthuis, Y.; Bos, A.C.; Schlosser, N.J.J.; Sterk, P.J. Exclusion of Asthma for Screening Purposes Using Exhaled Air Molecular Profiling by Electronic Nose. Eur. Respir. J. 2011, 38, 4168. [Google Scholar]
- Hubers, A.J.; Brinkman, P.; Boksem, R.J.; Rhodius, R.J.; Witte, B.I.; Zwinderman, A.H.; Heideman, D.A.M.; Duin, S.; Koning, R.; Steenbergen, R.D.M.; et al. Combined sputum hypermethylation and eNose analysis for lung cancer diagnosis. J. Clin. Pathol. 2014, 67, 707–711. [Google Scholar] [CrossRef] [PubMed]
- Gaida, A.; Holz, O.; Nell, C.; Schuchardt, S.; Lavae-Mokhtari, B.; Kruse, L.; Boas, U.; Langejuergen, J.; Allers, M.; Zimmermann, S.; et al. A dual center study to compare breath volatile organic compounds from smokers and non-smokers with and without COPD. J. Breath Res. 2016, 10, 026006. [Google Scholar] [CrossRef] [PubMed]
- Papaefstathiou, E.; Stylianou, M.; Andreou, C.; Agapiou, A. Breath analysis of smokers, non-smokers, and e-cigarette users. J. Chromatogr. B 2020, 122349. [Google Scholar] [CrossRef]
- Van Bragt, J.J.; Brinkman, P.; De Vries, R.; Vijverberg, S.J.; Weersink, E.J.; Haarman, E.G.; De Jongh, F.H.; Kester, S.; Lucas, A.; in’t Veen, J.C.C.M.; et al. Identification of recent exacerbations in COPD patients by electronic nose. ERJ Open Res. 2020, 6. [Google Scholar] [CrossRef]
- Brinkman, P.; Wagener, A.H.; Bansal, A.T.; Knobel, H.H.; Vink, T.J.; Rattray, N.; Santonico, M.; Pennazza, G.; Montuschi, P.; Fowler, S.J.; et al. Electronic Noses Capture Severe Asthma Phenotypes by Unbiased Cluster Analysis. Am. J. Respir. Crit. Care Med. 2014, 189, A2171. [Google Scholar]
- De Groot, J.C.; Amelink, M.; Storm, H.; Reitsma, B.H.; Bel, E.; Ten Brinke, A. Identification of Three Subtypes of Non-Atopic Asthma Using Exhaled Breath Analysis by Electronic Nose. Am. Thorac. Soc. 2014, 189, A2170. [Google Scholar]
- Fens, N.; De Nijs, S.B.; Peters, S.; Dekker, T.; Knobel, H.H.; Vink, T.J.; Willard, N.P.; Zwinderman, A.H.; Krouwels, F.H.; Janssen, H.-G.; et al. Exhaled air molecular profiling in relation to inflammatory subtype and activity in COPD. Eur. Respir. J. 2011, 38, 1301–1309. [Google Scholar] [CrossRef] [PubMed]
- Caruso, M.; Emma, R.; Brinkman, P.; Sterk, P.J.; Bansal, A.T.; De Meulder, B.; Lefaudeux, D.; Auffray, C.; Fowler, S.J.; Rattray, N.; et al. Volatile Organic Compounds Breathprinting of U-BIOPRED Severe Asthma smokers/ex-smokers cohort. Airw. Cell Biol. Immunopathol. 2017, 50, PA2018. [Google Scholar] [CrossRef]
- Thomson, N.C. Asthma and smoking-induced airway disease without spirometric COPD. Eur. Respir. J. 2017, 49, 1602061. [Google Scholar] [CrossRef] [PubMed]
- Bosch, S.; Lemmen, J.P.M.; Menezes, R.; Van Der Hulst, R.; Kuijvenhoven, J.; Stokkers, P.C.F.; De Meij, T.G.J.; De Boer, N.K. The influence of lifestyle factors on fecal volatile organic compound composition as measured by an electronic nose. J. Breath Res. 2019, 13, 046001. [Google Scholar] [CrossRef] [PubMed]
- Pinheiro, G.P.; De Souza-Machado, C.; Fernandes, A.G.O.; Mota, R.C.L.; Lima, L.L.; Vasconcellos, D.D.S.; Júnior, I.P.D.L.; Silva, Y.R.D.S.; Lima, V.B.; De Oliva, S.T.; et al. Self-reported smoking status and urinary cotinine levels in patients with asthma. J. Bras. Pneumol. 2018, 44, 477–485. [Google Scholar] [CrossRef] [PubMed]
- Farraia, M.V.; Rufo, J.C.; Paciência, I.; Mendes, F.; Delgado, L.; Moreira, A. The electronic nose technology in clinical diagnosis: A systematic review. Porto Biomed. J. 2019, 4, e42. [Google Scholar] [CrossRef] [PubMed]
- De Vries, R.; Sterk, P.J. ENose Breathprints as Composite Biomarker for Real-Time Phenotyping of Complex Respiratory Diseases. J. Allergy Clin. Immunol. 2020, 146, 995–996. [Google Scholar] [CrossRef]
- Preti, G.; Thaler, E.; Hanson, C.W.; Troy, M.; Eades, J.; Gelperin, A. Volatile compounds characteristic of sinus-related bacteria and infected sinus mucus: Analysis by solid-phase microextraction and gas chromatography–mass spectrometry. J. Chromatogr. B 2009, 877, 2011–2018. [Google Scholar] [CrossRef]
- Thaler, E.R.; Hanson, C.W. Use of an Electronic Nose to Diagnose Bacterial Sinusitis. Am. J. Rhinol. 2006, 20, 170–172. [Google Scholar] [CrossRef] [PubMed]
- Dutta, R.; Dutta, R. Intelligent Bayes Classifier (IBC) for ENT infection classification in hospital environment. Biomed. Eng. Online 2006, 5, 65. [Google Scholar] [CrossRef]
- Hanson, C.W.; Thaler, E.R. Electronic Nose Prediction of a Clinical Pneumonia Score: Biosensors and Microbes. Anesthesiologists 2005, 102, 63–68. [Google Scholar] [CrossRef]
- Hockstein, N.G.; Thaler, E.R.; Lin, Y.; Lee, D.D.; Hanson, C.W. Correlation of Pneumonia Score with Electronic Nose Signature: A Prospective Study. Ann. Otol. Rhinol. Laryngol. 2005, 114, 504–508. [Google Scholar] [CrossRef] [PubMed]
- Hockstein, N.G.; Thaler, E.R.; Torigian, D.; Miller, W.T.; Deffenderfer, O.; Hanson, C.W. Diagnosis of Pneumonia With an Electronic Nose: Correlation of Vapor Signature With Chest Computed Tomography Scan Findings. Laryngoscope 2004, 114, 1701–1705. [Google Scholar] [CrossRef] [PubMed]
- Hilberink, S.R.; E Jacobs, J.; Van Opstal, S.; Van Der Weijden, T.; Keegstra, J.; Kempers, P.L.; Muris, J.W.; Grol, R.P.; De Vries, H. Validation of smoking cessation self-reported by patients with chronic obstructive pulmonary disease. Int. J. Gen. Med. 2011, 4, 85–90. [Google Scholar] [CrossRef]
- Hirvonen, E.; Stepanov, M.; Kilpeläinen, M.; Lindqvist, A.; Laitinen, T.; Stepanov, M. Consistency and reliability of smoking-related variables: Longitudinal study design in asthma and COPD. Eur. Clin. Respir. J. 2019, 6, 1591842. [Google Scholar] [CrossRef] [PubMed]
- Romain, A.; Nicolas, J. Long term stability of metal oxide-based gas sensors for e-nose environmental applications: An overview. Sensors Actuators B: Chem. 2010, 146, 502–506. [Google Scholar] [CrossRef]
- Ibrahim, M.I.A.; Brinkman, P.; Vijverberg, S.J.H.; Neerincx, A.H.; Hashimoto, S.; De Vries, R.; Dagelet, Y.W.; Knipping, K.; Sterk, P.J.; Kraneveld, A.D.; et al. eNose breathprints as surrogate biomarkers for classifying asthma patients by atopy. Allergy Immunol. 2019, 54. [Google Scholar]
- Kaiser, H.F. The Application of Electronic Computers to Factor Analysis. Educ. Psychol. Meas. 1960, 20, 141–151. [Google Scholar] [CrossRef]
- Robin, X.A.; Turck, N.; Hainard, A.; Tiberti, N.; Lisacek, F.; Sanchez, J.-C.; Muller, M.J. pROC: An open-source package for R and S+ to analyze and compare ROC curves. BMC Bioinform. 2011, 12, 77. [Google Scholar] [CrossRef] [PubMed]
- Kuhn, M. Building Predictive Models inRUsing thecaretPackage. J. Stat. Softw. 2008, 28, 1–26. [Google Scholar] [CrossRef]
- Venables, W.N.; Ripley, B.D. Modern Applied Statistics with S, 4 ed.; Springer: New York, NY, USA, 2002. [Google Scholar]



| Asthma and COPD Patients | Ever Smokers (n = 593) | Never Smokers (n = 303) | p-Value |
|---|---|---|---|
| Age (mean (SD)) | 60.99 (13.38) | 48.46 (18.04) | <0.001 |
| BMI (mean (SD)) | 27.78 (5.82) | 26.95 (6.69) | 0.055 |
| Gender = M/F (%) | 48.6/51.4 | 37.3/62.7 | 0.002 |
| Allergy = Yes/No (%) | 42.0/58.0 | 69.6/30.4 | <0.001 |
| FEV (mean (SD)) (l) | 2.04 (0.89) | 2.62 (0.93) | <0.001 |
| FVC (mean (SD)) (l) | 3.41 (1.07) | 3.66 (1.13) | 0.002 |
| FEV1/FVC (mean (SD)) (%) | 56 (16) | 70 (14) | <0.001 |
| FEV1 pred (mean (SD)) (%) | 70.93 (23.81) | 86.14 (21.74) | <0.001 |
| ACQ (median [IQR]) | 1.60 [0.86, 2.50] | 1.43 [0.71, 2.29] | 0.208 |
| CCQ (median [IQR]) | 1.00 [0.00, 2.30] | 0.00 [0.00, 0.00] | <0.001 |
| Current use of ICS = No/Yes (%) | 27.8/72.2 | 15.5/84.5 | <0.001 |
| Oral corticosteroids (%) | 0.780 | ||
| Current use | 2.4 | 1.7 | |
| Previous use | 10.3 | 10.6 | |
| No | 87.4 | 87.8 |
| Ever Smokers (n = 593) | <24 h (n = 167) | >24 h (n = 426) | p-Value |
|---|---|---|---|
| Age (mean (SD)) | 56.98 (14.97) | 60.83 (13.57) | <0.001 |
| BMI (mean (SD)) | 26.63 (5.76) | 27.75 (5.80) | 0.114 |
| Gender = M/F (%) | 47.9/52.1 | 27.7/72.3 | 0.001 |
| FEV1 (mean (SD)) (l) | 2.03 (0.87) | 2.05 (0.90) | <0.001 |
| FVC (mean (SD)) (l) | 3.37 (1.05) | 3.41 (1.08) | <0.001 |
| FEV1/FVC (mean (SD)) (%) | 56 (16) | 56 (16) | <0.001 |
| FEV1 pred (mean (SD)) (%) | 68.82 (21.79) | 70.99 (23.83) | <0.001 |
| Pack/year (median [IQR]) | 30.00 [17.00, 48.00] | 25.00 [10.95, 41.25] | <0.001 |
| ACQ (median [IQR]) | 1.86 [1.14, 2.86] | 1.60 [0.88, 2.50] | 0.010 |
| CCQ (median [IQR]) | 1.40 [0.00, 2.55] | 1.00 [0.00, 2.30] | <0.001 |
| Ever Smokers (n = 199) | Never Smokers (n = 366) | p-Value | |
|---|---|---|---|
| Age (mean (SD)) | 46.95 (15.29) | 35.67 (14.05) | <0.001 |
| BMI (mean (SD)) | 26.02 (4.86) | 23.72 (3.65) | <0.001 |
| Gender = M/F (%) | 72/127 (36.2/63.8) | 127/239 (34.7/ 65.3) | 0.795 |
| FEV1(%) (mean (SD)) | 89.17(12.43) | 92.08 (15.39) | <0.001 |
| FEV1/VC (%) (mean (SD)) | 91.96 (12.26) | 94.88(14.53) | <0.001 |
| Last cigarette (%) | <0.001 | ||
| <24 h | 107 (53.7) | 0 | |
| >24 h | 92 (46.2) | 0 | |
| Pack/years (mean (SD)) | 15.77 (19.20) | 0 | <0.001 |
Publisher’s Note: MDPI stays neutral with regard to jurisdictional claims in published maps and institutional affiliations. |
© 2021 by the authors. Licensee MDPI, Basel, Switzerland. This article is an open access article distributed under the terms and conditions of the Creative Commons Attribution (CC BY) license (http://creativecommons.org/licenses/by/4.0/).
Share and Cite
Principe, S.; van Bragt, J.J.M.H.; Longo, C.; de Vries, R.; Sterk, P.J.; Scichilone, N.; Vijverberg, S.J.H.; Maitland-van der Zee, A.H. The Influence of Smoking Status on Exhaled Breath Profiles in Asthma and COPD Patients. Molecules 2021, 26, 1357. https://doi.org/10.3390/molecules26051357
Principe S, van Bragt JJMH, Longo C, de Vries R, Sterk PJ, Scichilone N, Vijverberg SJH, Maitland-van der Zee AH. The Influence of Smoking Status on Exhaled Breath Profiles in Asthma and COPD Patients. Molecules. 2021; 26(5):1357. https://doi.org/10.3390/molecules26051357
Chicago/Turabian StylePrincipe, Stefania, Job J.M.H. van Bragt, Cristina Longo, Rianne de Vries, Peter J. Sterk, Nicola Scichilone, Susanne J.H. Vijverberg, and Anke H. Maitland-van der Zee. 2021. "The Influence of Smoking Status on Exhaled Breath Profiles in Asthma and COPD Patients" Molecules 26, no. 5: 1357. https://doi.org/10.3390/molecules26051357
APA StylePrincipe, S., van Bragt, J. J. M. H., Longo, C., de Vries, R., Sterk, P. J., Scichilone, N., Vijverberg, S. J. H., & Maitland-van der Zee, A. H. (2021). The Influence of Smoking Status on Exhaled Breath Profiles in Asthma and COPD Patients. Molecules, 26(5), 1357. https://doi.org/10.3390/molecules26051357

