Crocus sativus L. Extracts and Its Constituents Crocins and Safranal; Potential Candidates for Schizophrenia Treatment?
Abstract
1. Schizophrenia
2. Crocus sativus L. (Saffron)
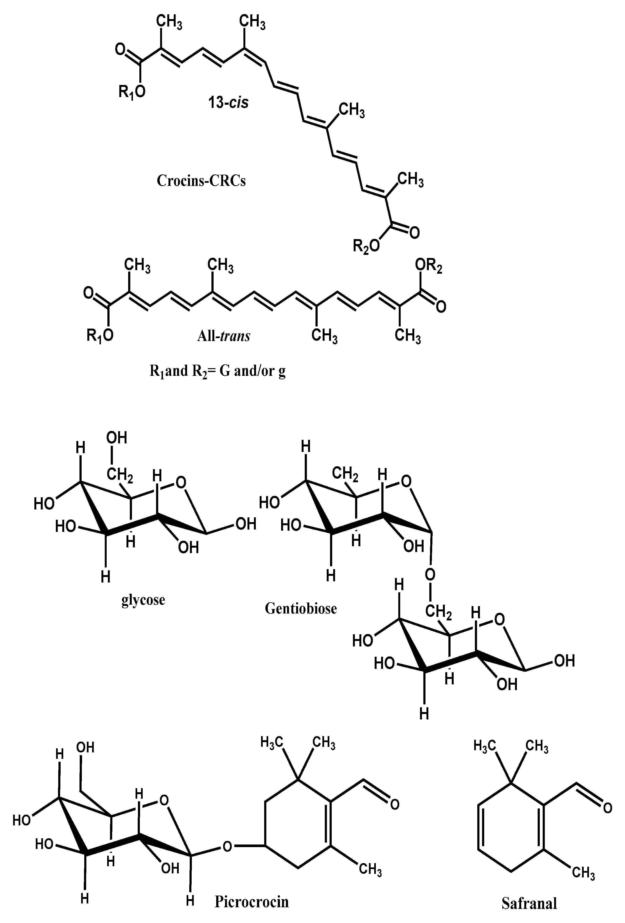
2.1. Chemistry of CS
2.2. Pharmacology of CS and Its Bioactive Components
2.2.1. Effects of CS and Its Constituents on Non-Neurological/Neuropsychiatric Pathologies
2.2.2. Effects of CS and Its Constituents on Pathologies of The Central Nervous System
2.2.3. Pharmacokinetic and Safety Studies
3. Effects of CS and Its Constituents in Schizophrenia
3.1. Preclinical Studies
3.2. Clinical Studies
3.3. Potential Mechanism of Action of CS and Its Constituents in Schizophrenia
4. Conclusions
Funding
Data Availability Statement
Conflicts of Interest
References
- Freedman, R. Schizophrenia. N. Engl. J. Med. 2003, 349, 1738–1749. [Google Scholar] [CrossRef]
- Lewis, D.A.; Lieberman, J.A. Catching up on schizophrenia: Natural history and neurobiology. Neuron 2000, 28, 1738–1749. [Google Scholar] [CrossRef]
- Van Os, J.; Kenis, G.; Rutten, B.P. The environment and schizophrenia. Nature 2010, 468, 203–212. [Google Scholar] [CrossRef]
- Weinberger, D.R. Implications of normal brain development for the pathogenesis of schizophrenia. Arch. Gen. Psychiatry 1987, 44, 660–669. [Google Scholar] [CrossRef]
- Bitanihirwe, B.K.; Woo, T.U. Oxidative stress in schizophrenia: An integrated approach. Neurosci. Biobehav. Rev. 2011, 35, 878–893. [Google Scholar] [CrossRef] [PubMed]
- Steeds, H.; Carhart-Harris, R.L.; Stone, J.M. Drug models of schizophrenia. Ther. Adv. Psychopharmacol. 2015, 5, 43–58. [Google Scholar] [CrossRef]
- Javitt, D.C. Glutamate and schizophrenia: Phencyclidine, N-methyl-D-aspartate receptors, and dopamine-glutamate interactions. Int. Rev. Neurobiol. 2007, 78, 69–108. [Google Scholar] [PubMed]
- Pratt, J.; Winchester, C.; Dawson, N.; Morris, B. Advancing schizophrenia drug discovery: Optimizing rodent models to bridge the translational gap. Nat. Rev. Drug Discov. 2012, 11, 560–579. [Google Scholar] [CrossRef]
- Lewis, D.A.; Pierri, J.; Volk, D.; Melchitzky, D.; Woo, T. Altered GABA neurotransmission and prefrontal cortical dysfunction in schizophrenia. Biol. Psychiatry 1999, 46, 616–626. [Google Scholar] [CrossRef]
- Field, J.R.; Walker, A.G.; Conn, P.J. Targeting glutamate synapses in schizophrenia. Trends Mol. Med. 2011, 17, 689–698. [Google Scholar] [CrossRef]
- Abbott, A. Schizophrenia: The drug deadlook. Nature 2010, 468, 158–159. [Google Scholar] [CrossRef]
- Liakopoulou-Kyriakides, M.; Kyriakidis, D. Crocus Sativus-biological active constituents. Stud. Nat. Prod. Chem. 2002, 16, 293–312. [Google Scholar]
- Tarantilis, P.A.; Tsoupras, G.; Polissiou, M. Determination of saffron (Crocus sativus L.) components in crude plant extract using high-performance liquid chromatography-UV/Visible photodiode-array detection-mass spectrometry. J. Chromatogr. A. 1995, 699, 107–118. [Google Scholar] [CrossRef]
- Rios, J.L.; Recio, M.C.; Ginger, R.M.; Manz, S. An update review of saffron and its active constituents. Phytother. Res. 1996, 10, 189–193. [Google Scholar] [CrossRef]
- Tarantilis, P.A.; Polissiou, M.; Marnait, M. Separation of picrocrocin, cis-trans-crocins and safranal of saffron using high-performance liquid chromatography with photodiode-array detection. J. Chromatogr. A 1994, 664, 55–61. [Google Scholar] [CrossRef]
- Kanakis, C.D.; Daferera, D.J.; Tarantilis, P.A.; Polissiou, M.G. Qualitative determination of volatile compounds and quantitative evaluation of safranal and 4-hydroxy-2,6,6-trimethyl-1-cyclohexene-1-carboxaldehyde. J. Agric. Food Chem. 2004, 52, 4515–4521. [Google Scholar] [CrossRef] [PubMed]
- Abdullaev, F.I.; Espinosa-Aguirre, J.J. Biomedical properties of saffron and its potential use in cancer therapy and chemoprevention trials. Cancer Detect. Prev. 2004, 28, 426–432. [Google Scholar] [CrossRef]
- Bathaie, S.Z.; Mousavi, S.Z. New applications and mechanisms of action of saffron and its important ingredients. Crit. Rev. Food Sci. Nutr. 2010, 50, 761–786. [Google Scholar] [CrossRef]
- Alavizadeh, S.H.; Hosseinzadeh, H. Bioactivity assessment and toxicity of crocin: A comprehensive review. Food Chem. Toxicol. 2014, 64, 65–80. [Google Scholar] [CrossRef]
- Hosseinzadeh, H.; Khosravan, V. Anticonvulsant effects of aqueous and ethanolic extracts of Crocus Sativus, L., stigmas in mice. Arch. Iran Med. 2005, 5, 44–47. [Google Scholar]
- Hosseinzadeh, H.; Sadeghnia, H.R. Protective effect of safranal on pentylenetetrazol-induced seizures in the rat: Involvement of the GABAergic and opioids systems. Phytomedicine 2007, 14, 256–262. [Google Scholar] [CrossRef]
- Ahmad, A.S.; Ansari, M.A.; Ahmad, M.; Saleem, S.; Yousuf, S.; Hoda, M.N.; Islam, F. Neuroprotection by crocetin in a hemi-parkinsonian rat model. Pharmacol. Biochem. Behav. 2005, 81, 805–813. [Google Scholar] [CrossRef] [PubMed]
- Hosseinzadeh, H.; Sadeghnia, H.R. Safranal a constituent of Crocus sativus (saffron) attenuated cerebral ischemia-induced oxidative damage in rat hippocampus. J. Pharm. Pharm. Sci. 2005, 8, 394–399. [Google Scholar] [PubMed]
- Hosseinzadeh, H.; Sadeghnia, H.R.; Ghaeni, F.A.; Motamedshariaty, V.S.; Mohajeri, S.A. Effects of saffron (Crocus sativus L.) and its active constituent crocin, on recognition and spatial memory after chronic cerebral hypofunction in rats. Phytother. Res. 2012, 26, 381–386. [Google Scholar] [CrossRef] [PubMed]
- Saleem, S.; Ahmad, M.; Ahmad, A.S.; Yousuf, F.; Ansari, M.A.; Khan, M.B.; Ishrat, T.; Islam, F. Effect of Saffron (Crocus sativus) on neurobehavioral and neurochemical changes in cerebral ischemia in rats. J. Med. Food 2006, 9, 246–253. [Google Scholar] [CrossRef] [PubMed]
- Pitsikas, N. The effects of Crocus sativus L. and its constituents on memory: Basic studies and clinical applications. Evid. Based Complement. Alternat. Med. 2015, 2015, 926284. [Google Scholar] [CrossRef]
- Akhondzadeh, S.; Shafiee-Sabet, M.; Harirchian, M.H.; Togha, M.; Cheraghmakani, H.; Razeghi, S.; Hejazi, S.S.; Yousefi, M.H.; Alimardani, R.; Jasmshidi, A.; et al. A 22-week, multicentre randomized, double-blind controlled trial of Crocus sativus L., in the treatment of mild-to-moderate Alzheimer’s disease. Psychopharmacology 2010, 207, 637–643. [Google Scholar] [CrossRef]
- Hosseinzadeh, H.; Karimi, G.; Niapoor, M. Antidepressant effects of crocus sativus stigma extracts and its constituents, crocins and safranal in mice. J. Med. Plants 2004, 3, 48–58. [Google Scholar]
- Akhondzadeh, S.; Fallah-Pour, H.; Afkham, K.; Jamshidi, A.H.; Khalighi-Cigaroudi, F. Comparison of Crocus sativus L., and imipramine in the treatment of mild to moderate depression: A pilot double-blind, randomized trial. BMC Complement. Altern. Med. 2004, 4, 12–16. [Google Scholar] [CrossRef]
- Noorbala, A.A.; Akhondzadeh, S.; Tahmacebi-Pour, N.; Jamshidi, A.H. Hydro-alcoholic extract of Crocus sativus L., versus fluoxetine in the treatment of mild to moderate depression: A double-blind, randomized trial. J. Ethnopharmacol. 2005, 97, 281–284. [Google Scholar] [CrossRef]
- Kashani, L.; Raisi, F.; Saroukhani, S.; Sohrabi, H.; Moddabernia, H.; Nasehi, A.A.; Jamshidi, A.; Ashrafi, M.; Mansouri, P.; Ghaeli, P.; et al. Saffron for treatment of fluoxetine-induced sexual dysfunction in women: Randomized double-blind placebo-controlled study. Hum. Psychopharmacol. 2012, 28, 54–60. [Google Scholar] [CrossRef]
- Modabbernia, A.; Sohrabi, H.; Nasehi, A.A.; Raisi, F.; Saroukhani, S.; Jamshidi, A.; Tabrizi, M.; Ashrafi, M.; Akhonzadeh, S. Effect of saffron on fluoxetine-induced sexual impairment in men: Randomized double-blind placebo-controlled trial. Psychopharmacology 2013, 223, 381–388. [Google Scholar] [CrossRef]
- Pitsikas, N. Assessment of Crocus sativus L., and its bioactive constituents as potential anti-anxiety compounds. Basic and clinical evidence. In Saffron the age-old panacea in a new light. Sarwat, M., Sumaiya, S., Eds.; Academic Press: Cambridge, MA, USA, 2020; pp. 131–139. [Google Scholar]
- Lautenschlager, M.; Sendker, J.; Huwel, S.; Galla, H.J.; Brandt, S.; Dufer, M.; Riehemann, K.; Hensel, A. Intestinal formation of trans-crocetin from saffron extract (Crocus sativus L.) and in vitro permeation through intestinal and blood brain barrier. Phytomedicine 2015, 22, 36–44. [Google Scholar] [CrossRef] [PubMed]
- Xi, L.; Quian, Z.; Xu, G.; Zheng, S.; Sun, S.; Wen, N.; Sheng, L.; Shi, Y.; Zhang, Y. Beneficial impact of crocetin, a carotenoid from saffron, on insulin sensitivity in fructose-fed rats. J. Nutr. Biochem. 2007, 18, 64–72. [Google Scholar] [CrossRef] [PubMed]
- Kanakis, C.D.; Tarantilis, P.A.; Tahmir-Riahi, H.A.; Polissiou, M.G. Crocetin, dimethylcrocetin and safranal, bind human serum albumin: Stability and antioxidative properties. J. Agric. Food Chem. 2007, 55, 970–977. [Google Scholar] [CrossRef] [PubMed]
- Asai, A.; Nakano, T.; Takahashi, M.; Nagao, A. Orally administered crocetin and crocins are absorbed into blood plasma as crocetin and its glucuronide conjugates in mice. J. Agric. Food Chem. 2005, 53, 7302–7306. [Google Scholar] [CrossRef]
- Zhang, Y.; Fei, F.; Zhen, L.; Zhu, X.; Wang, J.; Li., S.; Geng, J.; Sun, R.; Yu, X.; Chen, T.; et al. Sensitive analysis and simultaneous assessment of pharmacokinetic properties of crocin and crocetin after oral administration in rats. J. Chromatogr. B Analyt. Technol. Biomed. Life Sci. 2017, 10, 1–7. [Google Scholar] [CrossRef]
- Puglia, C.; Santonocito, D.; Musumeci, T.; Cardile, V.; Graziano, A.; Salerno, L.; Raciti, G.; Crasci’, L.; Panico, A.; Puglisi, G. Nanotechnological approach to increase the antioxidant and cytotoxic efficacy of crocin and crocetin. Planta Med. 2018, 85, 258–265. [Google Scholar] [CrossRef]
- Karkoula, E.; Lemonakis, N.; Kokras, N.; Dalla, C.; Gikas, E.; Skaltsounis, A.L.; Tsarbopoulos, A. Trans-crocin 4 is not hydrolyzed to crocetin following i.p. administration in mice, while it shows penetration through the blood brain barrier. Fitoterapia 2018, 129, 62–72. [Google Scholar] [CrossRef]
- Linardaki, Z.I.; Orkoula, M.; Kokkosis, A.G.; Lamari, F.N.; Margarity, M. Investigation of the neuroprotective action of saffron (Crocus sativus L.) in aluminum-exposed adult mice through behavioral and neurobiochemical assessment. Food Chem. Toxicol. 2013, 52, 163–170. [Google Scholar] [CrossRef]
- Yoshino, F.; Yoshida, A.; Umigai, N.; Kubo, K.; Lee, M.C.I. Crocetin reduces the oxidative stress induced reactive oxygen species in the stroke-prone spontaneously hypertensive rats (SHRSPs) brain. J. Clin. Biochem. Nutr. 2011, 49, 182–187. [Google Scholar] [CrossRef]
- Nair, S.C.; Panikkar, B.; Panikkar, K.R. Antitumor activity of saffron. Cancer Lett. 1991, 57, 109–114. [Google Scholar] [CrossRef]
- Abdullaev, F.I. Cancer chemoprotective and tumoricidial properties of saffron (Crocus sativus L.). Exp. Biol. Med. 2002, 227, 20–25. [Google Scholar] [CrossRef]
- Hosseinzadeh, H.; Motamedshariaty, V.S.; Sameni, A.K.; Vahabzadeh, M. Acute and sub-acute toxicity of crocin, a constituent of Crocus sativus L., (saffron), in mice and rats. Pharmacologyonline 2010, 2, 943–951. [Google Scholar]
- Modaghegh, M.H.; Shahabian, M.; Esmaeli, H.A.; Rajbai, O.; Hosseinzadeh, H. Safety evaluation of saffron (Crocus sativus) tablets in healthy volunteers. Phytomedicine 2008, 15, 1032–1037. [Google Scholar] [CrossRef] [PubMed]
- Mohamadpour, A.H.; Ayati, Z.; Parizadeh, M.R.; Rajbai, O.; Hosseinzadeh, H. Safety evaluation of crocin (a constituent of saffron) tablets in healthy volunteers. Iran, J. Basic Med. Sci. 2013, 16, 39–46. [Google Scholar]
- Schmidt, M.; Betti, G.; Hensel, A. Saffron in phytotherapy: Pharmacology and clinical uses. Wien Med. Wochenschr. 2007, 157, 315–319. [Google Scholar] [CrossRef] [PubMed]
- Georgiadou, G.; Grivas, V.; Tarantilis, P.A.; Pitsikas, N. Crocins the active constituents of Crocus Sativus, L., counteracted ketamine-induced behavioural deficits in rats. Psychopharmacology 2014, 231, 717–726. [Google Scholar] [CrossRef] [PubMed]
- Pitsikas, N.; Tarantilis, P.A. Crocins, the active constituents of Crocus sativus L., counteracted apomorphine-induced performance deficits in the novel object recognition task, but not novel location task, in rats. Neurosci. Lett. 2017, 644, 37–42. [Google Scholar] [CrossRef]
- Sun, X.J.; Zhao, X.; Xie, J.N.; Wan, H. Crocin alleviates schizophrenia-like symptoms in rats by upregulating silent information regulator-1 and brain derived neurotrophic factor. Compr. Psychiatry 2020, 103, 152209. [Google Scholar] [CrossRef] [PubMed]
- Tumer, P.V.; Brabb, T.; Pekow, C.; Vasbinder, M.A. Administration of substances to laboratory animals: Routes of administration and factors to consider. J. Am. Assoc. Lab. Anim. Sci. 2011, 50, 600–613. [Google Scholar]
- Farokhnia, M.; Shafiee-Sabet, M.; Iranpour, N.; Gougol, A.; Yekehtaz, H.; Alimardani, R.; Farsad, F.; Kamalipour, M.; Akhondzadeh, S. Comparing the efficacy and safety of Crocus sativus L. with memantine in patients with moderate to severe Alzheimer’s disease: A double-blind randomized clinical trial. Hum. Psychopharmacol. 2014, 29, 351–359. [Google Scholar] [CrossRef]
- Mousavi, B.; Bathaie, S.Z.; Fadai, F.; Ashtari, Z.; Ali Beigi, N.; Farhang, S.; Hashempour, S.; Shahhamzei, N.; Heidarzadeh, H. Safety evaluation of saffron stigma (Crocus sativus L.) aqueous extract and crocin in patients with schizophrenia. Avicenna J. Phytomed. 2015, 5, 413–419. [Google Scholar]
- Fadai, F.; Moosavi, B.; Ashtari, Z.; Ali Beigi, N.; Farhang, S.; Hashempour, S.; Shahhamzei, N.; Zahra Bathaie, S. Saffron aqueous extract prevents metabolic syndrome in patients with schizophrenia on olanzapine treatment: A randomized triple blind placebo controlled study. Pharmacipsychiatry 2014, 47, 156–161. [Google Scholar] [CrossRef] [PubMed]
- Moghaddam, B.; Adams, B.; Verma, A.; Daly, D. Activation of glutamatergic transmission by ketamine: a novel step in the pathway from NMDA receptor blockade to dopaminergic and cognitive disruptions associated with the prefrontal cortex. J. Neurosci. 1997, 17, 2921–2927. [Google Scholar] [CrossRef] [PubMed]
- Tricklebank, M.D.; Singh, L.; Oles, R.J.; Preston, C.; Iversen, S.D. The behavioral effects of Mk-801: A comparison with antagonists acting non-competitively and competitively at the NMDA receptor. Eur. J. Pharmacol. 1989, 167, 127–135. [Google Scholar] [CrossRef]
- Hosseinzadeh, H.; Sadeghnia, H.R.; Rahimi, A. Effects of safranal on extracellular hippocampal levels of glutamate and aspartate during kainic acid treatment in anesthetized rats. Planta Med. 2008, 74, 1441–1445. [Google Scholar] [CrossRef]
- Lechtenberg, M.; Schepmann, D.; Niehues, M.; Hellenbrand, M.; Wunsch, B.; Hensel, A. Quality and functionality of saffron: Quality control, species assortment and affinity of extract and isolated saffron compounds to NMDA and σ1 (Sigma-1) receptors. Planta Med. 2008, 74, 764–772. [Google Scholar] [CrossRef]
- Berger, F.; Hensel, A.; Nieber, K. Saffron extracts and trans-crocetin inhibit glutamatergic synaptic transmission in rat cortical brain slices. Neuroscience 2011, 180, 238–247. [Google Scholar] [CrossRef]
- Arroyo-Garcia, L.E.; Rodriguez-Moreno, A.; Flores, G. Apomorphine effects on hippocampus. Neural Regen. Res. 2018, 13, 2064–2066. [Google Scholar]
- Sugiura, M.; Shoyama, Y.; Saito, H.; Abe, K. Crocin (crocetin di-gentiobiose ester) prevents the inhibitory effect of ethanol on long-term potentiation in the dentate gyrus in vivo. J. Pharmacol. Exp. Ther. 1994, 271, 703–707. [Google Scholar]
- Khandaker, G.M.; Cousins, L.; Deakin, J.; Lennox, R.B.; Yolken, R.; Jones, P.B. Inflammation and immunity in schizophrenia: Implications for pathophysiology and treatment. Lancet Psychiatry 2015, 2, 258–270. [Google Scholar] [CrossRef]
- Rodriguez-Amorim, D.; Rivera-Baltands, T.; Bessa, J.; Sousa, N.; Vallejo-Curto, M.C.; Rodriguez-Jamardo, C.; de las Heras, M.E.; Diaz, R.; Agis-Balboa, R.C.; Olivares, J.M.; et al. The neurobiological hypothesis of neurotrophins in the pathophysiology of schizophrenia: a meta-analysis. J. Psychiatr. Res. 2018, 106, 43–53. [Google Scholar] [CrossRef] [PubMed]
- De Oliveira, L.; Spiazzi, C.M.; Bortolin, T.; Canever, L.; Petronilho, F.; Mina, F.G.; Dal-Pizzol, F.; Quevedoa, J.; Zugno, A.I. Different sub-anesthetic doses of ketamine increase oxidative stress in brain of rats. Prog. Neuropsychopharmacol. Biol. Psychiatry 2009, 33, 1003–1008. [Google Scholar] [CrossRef] [PubMed]
- Naghizadeh, B.; Mansouri, M.T.; Ghorbanzadeh, B.; Farbood, Y.; Sarkaki, A. Protective effects of oral crocin against intracerebroventricular streptozotocin-induced spatial memory deficit and oxidative stress in rats. Phytomedicine 2013, 20, 537–543. [Google Scholar] [CrossRef] [PubMed]
- Ochiai, T.; Soeda, S.; Ohno, S.; Tanaka, H.; Shoyama, Y.; Shimeno, H. Crocin prevent the death of PC-12 cells through sphingomyelinase-ceramide signaling by increasing glutathione synthesis. Neurochem. Int. 2004, 44, 321–330. [Google Scholar] [CrossRef]
- Papandreou, M.A.; Tsachaki, M.; Efthimiopoulos, S.; Cordopatis, P.; Lamari, F.N.; Margarity, M. Memory enhancing effects of saffron in aged mice are correlated with antioxidant protection. Behav. Brain Res. 2011, 219, 197–204. [Google Scholar] [CrossRef]
- Zheng, Y.Q.; Liu, J.X.; Wang, J.N.; Xu, L. Effects of crocin on reperfusion induced oxidative/nitrative injury to cerebral microvessels after global cerebral ischemia. Brain Res. 2007, 1138, 86–94. [Google Scholar] [CrossRef]
- Upthegrove, R.; Marwaha, S.; Birchwood, M. Depression and schizophrenia: Cause, consequence or trans-diagnostic tool? Schizophr. Bull. 2016, 43, 240–244. [Google Scholar]
- Temmingh, H.; Stein, D.J. Anxiety in patients with schizophrenia: Epidemiology and management. CNS Drugs 2015, 29, 819–832. [Google Scholar] [CrossRef]

| Scheme | Agent | Dose Range | Route | Behavioral Test | Effect | Reference |
|---|---|---|---|---|---|---|
| Rat | Crocins | 15, 30, 50 mg/kg | i.p. acute | ORT | Crocins (15, 30 mg/kg) counteracted ketamine-induced non-spatial recognition memory deficits. | [49] |
| Ketamine | 3 mg/kg (NORT) | i.p. acute | ||||
| Ketamine | 8 mg/kg (SI) | i.p. sub-chronic | SI | Crocins (50 mg/kg) attenuated ketamine-induced social isolation. | [49] | |
| Ketamine | 25 mg/kg (motor activity) | i.p. acute | Motor activity, stereotypies, ataxia | Crocins (50 mg/kg) attenuated ketamine-induced hypermotility, stereotypies and ataxia. | [49] | |
| Rat | Crocins | 15, 30, 50 mg/kg | i.p. acute | ORT | Crocins (15, 30 mg/kg) counteracted ketamine-induced non-spatial recognition memory deficits. | [50] |
| Apomorphine | 1 mg/kg | i.p. acute | ||||
| Rat | Crocins | 15, 30, 50 mg/kg | i.p. acute | OLT | No effect | [50] |
| Apomorphine | 1 mg/kg | i.p. acute | ||||
| Rat | Crocins | 25, 50 mg/kg | i.p. acute | RR, OFT | Crocin (25, 50 mg/kg) counteracted MK-801-induced motor activity deficits. | [51] |
| MK-801 | 1 mg/kg | i.p. acute | ||||
| Crocins | 25, 50 mg/kg | i.p. acute | MWM | Crocin (25, 50 mg/kg) counteracted MK-801-induced spatial memory deficits. | [51] | |
| MK-801 | 1 mg/kg | i.p. acute |
| Preclinical research |
| Acute vs. repeated drug treatment Not pharmacological animal models of schizophrenia (genetic, neonatal ventral hippocampal lesions models etc) Evaluation of the effects of saffron and its constituents in animal models of attentional deficits Further evaluation of the effects of saffron and its constituents in animal models resembling cognitive impairments and negative symptoms of schizophrenia Investigation of potential mechanism(s) of action underlying the beneficial effects of saffron and its constituents observed in preclinical studies (molecular, biochemical, neurochemical, electrophysiological studies etc) |
| Clinical research |
| Multi-center, double-blind, placebo-controlled studies Studies of the effects of saffron alone in schizophrenia patients Studies of the effects of saffron in combination with atypical antipsychotics in schizophrenia patients Use of broad dose range of C. sativus Appropriate number of participants |
Publisher’s Note: MDPI stays neutral with regard to jurisdictional claims in published maps and institutional affiliations. |
© 2021 by the author. Licensee MDPI, Basel, Switzerland. This article is an open access article distributed under the terms and conditions of the Creative Commons Attribution (CC BY) license (http://creativecommons.org/licenses/by/4.0/).
Share and Cite
Pitsikas, N. Crocus sativus L. Extracts and Its Constituents Crocins and Safranal; Potential Candidates for Schizophrenia Treatment? Molecules 2021, 26, 1237. https://doi.org/10.3390/molecules26051237
Pitsikas N. Crocus sativus L. Extracts and Its Constituents Crocins and Safranal; Potential Candidates for Schizophrenia Treatment? Molecules. 2021; 26(5):1237. https://doi.org/10.3390/molecules26051237
Chicago/Turabian StylePitsikas, Nikolaos. 2021. "Crocus sativus L. Extracts and Its Constituents Crocins and Safranal; Potential Candidates for Schizophrenia Treatment?" Molecules 26, no. 5: 1237. https://doi.org/10.3390/molecules26051237
APA StylePitsikas, N. (2021). Crocus sativus L. Extracts and Its Constituents Crocins and Safranal; Potential Candidates for Schizophrenia Treatment? Molecules, 26(5), 1237. https://doi.org/10.3390/molecules26051237
