Generative Adversarial Learning of Protein Tertiary Structures
Abstract
1. Introduction
2. Methods
2.1. A Summary of GANs and Their Training
2.1.1. GANs
2.1.2. GAN Training
2.2. Vanilla GAN
2.3. Vanilla GAN Variants to Address Convergence
2.3.1. Two-Time Update Rule (TTUR)
2.3.2. Spectral Normalization (SpecNorm)
2.3.3. Virtual Batch Normalization (VBN)
2.3.4. Resulting Vanilla GAN Variants
2.4. Wasserstein GAN: A Promising Model for Tertiary Structures
2.5. Experimental Setup and Architecture
Training Dataset(s)
2.6. Evaluating Generated Datasets
2.6.1. Evaluating the Presence of Backbone Structure
2.6.2. Evaluating the Presence of Local and Distal Structure
2.6.3. Comparison of Distributions
Maximum Mean Discrepancy (MMD)
Bhattacharya Distance (BD)
Earth Mover’s Distance (EMD)
2.7. Implementation Details
3. Results
3.1. Experimental Setup
3.2. PartI: Convergence Analysis
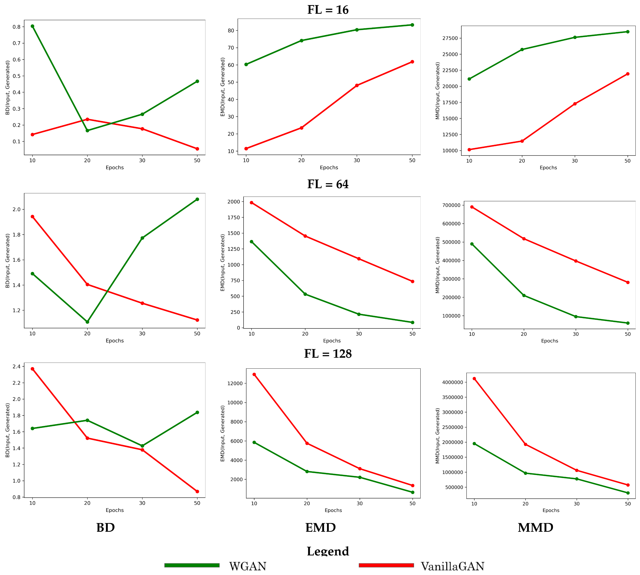
3.3. Part II: Comparison of the Quality of the Generated Datasets
3.3.1. Evaluation of the Learned Backbone Structure
3.3.2. Evaluation of the Learned Short-Range Structure
3.3.3. Evaluation of the Learned Long-Range/Distal Structure
3.4. Part III: Visualizing Distance Matrices as Heatmaps
4. Conclusions
Supplementary Materials
Author Contributions
Funding
Institutional Review Board Statement
Informed Consent Statement
Data Availability Statement
Acknowledgments
Conflicts of Interest
Sample Availability
Abbreviations
| ADMM | Alternating Direction Method of Multipliers |
| BBQ | Backbone Building from Quadrilaterals |
| BD | Bhattacharya distance |
| CA | Alpha Carbon |
| CASP | Critical Assessment of protein Structure Prediction |
| EMD | Earthmover Distance |
| GAN | Generative Adversarial Networks |
| MMD | Maximum Mean Discrepancy |
| PDB | Protein Data Bank |
| SpecNorm | Spectral Normalization |
| TTUR | Two-Time Update Rule |
| VBN | Virtual Batch Normalization |
| WGAN | Wasserstein GAN |
References
- Boehr, D.D.; Wright, P.E. How do proteins interact? Science 2008, 320, 1429–1430. [Google Scholar] [CrossRef]
- Callaway, E. It will change everything’: DeepMind’s AI makes gigantic leap in solving protein structures. Nature 2020, 588, 203–204. [Google Scholar] [CrossRef] [PubMed]
- Perdigao, N.; Heinrich, J.; Stolte, C.; Sabir, K.S.; Buckley, M.J.; Tabor, B.; Signal, B.; Gloss, B.S.; Hammang, C.J.; Rost, B.; et al. Unexpected features of the dark proteome. Proc. Natl. Acad. Sci. USA 2015, 112, 15898–15903. [Google Scholar] [CrossRef] [PubMed]
- Boehr, D.D.; Nussinov, R.; Wright, P.E. The role of dynamic conformational ensembles in biomolecular recognition. Nat. Chem. Biol. 2009, 5, 789–796. [Google Scholar] [CrossRef] [PubMed]
- Maximova, T.; Moffatt, R.; Ma, B.; Nussinov, R.; Shehu, A. Principles and Overview of Sampling Methods for Modeling Macromolecular Structure and Dynamics. PLoS Comput Biol. 2016, 12, e1004619. [Google Scholar] [CrossRef]
- Nussinov, R.; Tsai, C.; Shehu, A.; Jang, H. Computational Structural Biology: The Challenges Ahead. Molecules 2018, 24, 637. [Google Scholar] [CrossRef]
- Clausen, R.; Ma, B.; Nussinov, R.; Shehu, A. Mapping the Conformation Space of Wildtype and Mutant H-Ras with a Memetic, Cellular, and Multiscale Evolutionary Algorithm. PLoS Comput Biol. 2015, 11, e1004470. [Google Scholar] [CrossRef]
- Sapin, E.; Carr, D.B.; De Jong, K.A.; Shehu, A. Computing energy landscape maps and structural excursions of proteins. BMC Genom. 2016, 17, 456. [Google Scholar] [CrossRef]
- Maximova, T.; Plaku, E.; Shehu, A. Structure-guided Protein Transition Modeling with a Probabilistic Roadmap Algorithm. IEEE/ACM Trans. Comput Biol. Bioinf. 2017. [Google Scholar] [CrossRef]
- Goodfellow, I.J.; Pouget-Abadie, J.; Mirza, M.; Xu, B.; Warde-Farley, D.; Ozair, S.; Courville, A.C.; Bengio, Y. Generative adversarial networks. Commun ACM 2020, 63, 139–144. [Google Scholar] [CrossRef]
- Radford, A.; Metz, L.; Chintala, S. Unsupervised Representation Learning with Deep Convolutional Generative Adversarial Networks. In Proceedings of the 4th International Conference on Learning Representations (ICLR), Caribe Hilton, San Juan, Puerto Rico, 2–4 May 2016. [Google Scholar]
- Brock, A.; Donahue, J.; Simonyan, K. Large Scale GAN Training for High Fidelity Natural Image Synthesis. In Proceedings of the 7th International Conference on Learning Representations (ICLR), New Orleans, LA, USA, 6–9 May 2019. [Google Scholar]
- Sabban, S.; Markovsky, M. RamaNet: Computational De Novo Protein Design using a Long Short-Term Memory Generative Adversarial Neural Network. F1000Research 2019, 9, 298. [Google Scholar] [CrossRef]
- Namrata, A.; Po-Ssu, H. Generative modeling for protein structures. In Proceedings of the ACM Conference on Advances in Neural Information Processing Systems, Montreal, QC, Canada, 2–8 December 2018; pp. 7494–7505. [Google Scholar]
- Namrata, A.; Raphael, E.; Po-Ssu, H. Fully differentiable full-atom protein backbone generation. In Proceedings of the International Conference on Learning Representations (ICLR) Workshops, New Orleans, LA, USA, 6–9 May 2019. [Google Scholar]
- Hang, H.; Wang, M.; Yu, Z.; Zhao, X.; Li, A. GANcon: Protein contact map prediction with deep generative adversarial network. IEEE Access 2020, 8, 80899–80907. [Google Scholar]
- Ding, W.; Gong, H. Predicting the Real-Valued Inter-Residue Distances for Proteins. Adv. Sci. 2020, 7, 2001314. [Google Scholar] [CrossRef] [PubMed]
- Hoseni, P.; Zhao, L.; Shehu, A. Generative Deep Learning for Macromolecular Structure and Dynamics. Curr. Opin. Struct. Biol. 2020, 67, 170–177. [Google Scholar] [CrossRef]
- DeGiacomi, M.T. Coupling Molecular Dynamics and Deep Learning to Mine Protein Conformational Space. Structure 2019, 27, 1034–1040. [Google Scholar] [CrossRef] [PubMed]
- Alam, F.F.; Shehu, A. Variational Autoencoders for Protein Structure Prediction. In Proceedings of the ACM Conference on Bioinformatics and Computational Biology (BCB), Virtual Event, USA, 21–24 September 2020; pp. 1–10. [Google Scholar]
- Salimans, T.; Goodfellow, I.; Zaremba, W.; Cheung, V.; Radford, A.; Chen, X. Improved techniques for training GANs. In Proceedings of the Advances in Neural Information Processing Systems, Barcelona, Spain; 5–10 December 2016; pp. 2234–2242. [Google Scholar]
- Berman, H.M.; Henrick, K.; Nakamura, H. Announcing the worldwide Protein Data Bank. Nat. Struct. Biol. 2003, 10, 980. [Google Scholar] [CrossRef]
- Goodfellow, I.J.; Pouget-Abadie, J.; Mirza, M.; Xu, B.; Courville, A.; Bengio, Y. Generative Adversarial Nets. In Proceedings of the International Conference on Neural Information Processing Systems, Montreal, QC, Canada, 8–13 December 2014; Volume 2, pp. 2672–2680. [Google Scholar]
- Heusel, M.; Ramsauer, H.; Unterthiner, T.; Nessler, B.; Hochreiter, S. GANs Trained by a Two Time-Scale Update Rule Converge to a Local Nash Equilibrium. arXiv 2017, arXiv:1706.08500. [Google Scholar]
- Miyato, T.; Kataoka, T.; Koyama, M.; Yoshida, Y. Spectral normalization for generative adversarial networks. arXiv 2018, arXiv:1802.05957. [Google Scholar]
- Arjovsky, M.; Chintala, S.; Bottou, L. Wasserstein gan. arXiv 2017, arXiv:1701.07875. [Google Scholar]
- Gretton, A.; Borgwardt, K.M.; Rasch, M.J.; Schölkopf, B.; Smola, A. A Kernel Two-Sample Test. J. Mach. Learn. Res. 2012, 13, 723–773. [Google Scholar]
- Li, Y.; Swersky, K.; Zemel, R. Generative moment matching networks. In Proceedings of the International Conference on Machine Learning (ICML), Lille, France, 7–9 July 2015; pp. 1718–1727. [Google Scholar]
- Dziugaite, G.K.; Roy, D.M.; Ghahramani, Z. Training generative neural networks via maximum mean discrepancy optimization. arXiv 2015, arXiv:1505.03906. [Google Scholar]
- Bounliphone, W.; Belilovsky, E.; Blaschko, M.B.; Antonoglou, I.; Gretton, A. A Test of Relative Similarity For Model Selection in Generative Models. In Proceedings of the International Conference Learn Representations (ICLR), San Juan, Puerto Rico, 2–4 May 2016; pp. 1–16. [Google Scholar]
- Kailath, T. The divergence and Bhattacharyya distance measures in signal selection. IEEE Trans. Commun. Technol. 1967, 15, 52–60. [Google Scholar] [CrossRef]
- Rubner, Y.; Tomasi, C.; Guibas, L.J. The earth mover’s distance as a metric for image retrieval. Int. J. Comput. Vis. 2000, 40, 99–121. [Google Scholar] [CrossRef]
- Majumder, S.; Chaudhuri, D.P.; Datta, J.; Giri, K. Exploring the intrinsic dynamics of SARS-CoV-2, SARS-CoV and MERS-CoV spike glycoprotein through normal mode analysis using anisotropic network model. J. Mol. Graph. Model. 2021, 102, 107778. [Google Scholar] [CrossRef]
- Henderson, R.; Edwards, R.J.; Mansouri, K. Controlling the SARS-CoV-2 spike glycoprotein conformation. Nat. Struct. Mol. Biol. 2020, 27, 925–933. [Google Scholar] [CrossRef] [PubMed]
- Tian, H.; Tao, P. Deciphering the protein motion of S1 subunit in SARS-CoV-2 spike glycoprotein through integrated computational methods. J. Biomol. Struct. Dyn. 2020. [Google Scholar] [CrossRef] [PubMed]
- Boyd, S.; Parikh, N.; Chu, E.; Peleato, B.; Eckstein, J. Distributed optimization and statistical learning via the alternating direction method of multipliers. Found. Trends Res. Mach. Learn. 2011, 3, 1–122. [Google Scholar]
- Convex Optimization; Cambridge University Press: Cambridge, UK, 2004.
- Gront, D.; Kmiecik, S.; Kolinski, A. Backbone building from quadrilaterals: A fast and accurate algorithm for protein backbone reconstruction from alpha carbon coordinates. J. Comput Chem. 2007, 28, 1593–1597. [Google Scholar] [CrossRef] [PubMed]
- Kaufmann, K.W.; Lemmon, G.H.; DeLuca, S.L.; Sheehan, J.H.; Meiler, J. Practically Useful: What the Rosetta Protein Modeling Suite Can Do for You. Biochemistry 2010, 49, 2987–2998. [Google Scholar] [CrossRef]










| FL | Vanilla GAN | |||
|---|---|---|---|---|
| Mean | Med | Min | Max | |
| 128 | 125.31 | 126 | 94 | 127 |
| 64 | 62.82 | 63 | 48 | 63 |
| 16 | 12.75 | 13 | 9 | 15 |
| 9 | 4.02 | 4 | 0 | 6 |
| 6 | 2.93 | 3 | 0 | 4 |
| FL | Vanilla GAN + SpecNorm | |||
| Mean | Med | Min | Max | |
| 128 | 125.04 | 126 | 101 | 127 |
| 64 | 62.83 | 63 | 18 | 63 |
| 16 | 12.62 | 13 | 11 | 14 |
| 9 | 5.99 | 6 | 3 | 6 |
| 6 | 0.01 | 0 | 0 | 2 |
| FL | Vanilla GAN + VBN | |||
| Mean | Med | Min | Max | |
| 128 | 127.00 | 127.0 | 127 | 127 |
| 64 | 49.08 | 61 | 0 | 63 |
| 16 | 15.00 | 15 | 13 | 15 |
| 9 | 7.94 | 8 | 4 | 8 |
| 6 | 4.98 | 5 | 3 | 5 |
| FL | WGAN | |||
| Mean | Med | Min | Max | |
| 128 | 51.94 | 49 | 0 | 127 |
| 64 | 25.56 | 24 | 0 | 63 |
| 16 | 0.005 | 0 | 0 | 10 |
| 9 | 5.52 | 6 | 0 | 8 |
| 6 | 0.47 | 0 | 0 | 5 |
Publisher’s Note: MDPI stays neutral with regard to jurisdictional claims in published maps and institutional affiliations. |
© 2021 by the authors. Licensee MDPI, Basel, Switzerland. This article is an open access article distributed under the terms and conditions of the Creative Commons Attribution (CC BY) license (http://creativecommons.org/licenses/by/4.0/).
Share and Cite
Rahman, T.; Du, Y.; Zhao, L.; Shehu, A. Generative Adversarial Learning of Protein Tertiary Structures. Molecules 2021, 26, 1209. https://doi.org/10.3390/molecules26051209
Rahman T, Du Y, Zhao L, Shehu A. Generative Adversarial Learning of Protein Tertiary Structures. Molecules. 2021; 26(5):1209. https://doi.org/10.3390/molecules26051209
Chicago/Turabian StyleRahman, Taseef, Yuanqi Du, Liang Zhao, and Amarda Shehu. 2021. "Generative Adversarial Learning of Protein Tertiary Structures" Molecules 26, no. 5: 1209. https://doi.org/10.3390/molecules26051209
APA StyleRahman, T., Du, Y., Zhao, L., & Shehu, A. (2021). Generative Adversarial Learning of Protein Tertiary Structures. Molecules, 26(5), 1209. https://doi.org/10.3390/molecules26051209

