Abstract
Psidium (Myrtaceae) comprises approximately 266 species, distributed in tropical and subtropical regions of the world. Psidium taxa have great ecological, economic, and medicinal relevance due to their essential oils’ chemical diversity and biological potential. This review reports 18 Psidium species growing around the world and the chemical and biological properties of their essential oils. Chemically, 110 oil records are reported with significant variability of volatile constituents, according to their seasonality and collection sites. Monoterpenes and sesquiterpenes with acyclic (C10 and C15), p-menthane, pinane, bisabolane, germacrane, caryophyllane, cadinane, and aromadendrane skeleton-types, were the primary constituents. The essential oils showed various biological activities, including antioxidant, antifungal, antibacterial, phytotoxic, larvicidal, anti-inflammatory, and cytotoxic properties. This review contributes to the Psidium species rational and economic exploration as natural sources to produce new drugs.
1. Introduction
Psidium genus belongs to Myrtaceae, Myrtales order, Rosidae clade, Malvidae subclade, and comprises about 266 species with occurrence in the tropical and subtropical regions of the world. In the Americas, it extends from southern Mexico to Argentina. The centers of high diversity of Psidium species are western India, southern Brazil, Paraguay, and northern South America [1,2,3].
Psidium species are trees and shrubs, glabrous, glabrescent, or sparsely to densely pubescent; branches cylindrical or tetragonal. Leaves are simple and opposite, exhibiting typical brochidodromous venation; elliptic, cordate, oblong or obovate, chartaceous or coriaceous, glabrous, glabrescent or sparsely to densely pubescent, margin entire, revolute or slightly revolute, midvein slightly sulcate above and prominent below. Flowers are solitary, axillary racemes, dichasium, panicle or inflorescence growing from auxotelic axis producing vegetative shoots with adult leaves after anthesis; floral buds pyriform, entire or constricted above the ovary, round or apiculate, calyx with lobes entirely or partially fused, tearing irregularly at anthesis, 4–5 lobed, pentamerous flowers; calyx cupuliform or calyptrate, petals free, numerous stamens; ovary inferior, with two to five locules and few to many ovules per locule on a peltate to the lamellate intrusive placenta. Fruits with many-seeded, seeds with a bony testa and a cochlear embryo with small cotyledons and a large hypocotyl [4].
Psidium species have great ecological relevance. Their fruits are usually fleshly and sought after by several animals, such as birds and mammals, and used as a food source. Thus, this ecological relationship has promoted the conservation of genus diversity since the animals act as seed dispersing agents [5]. Moreover, Psidium species can adapt to constant abiotic stress [6], contributing to broad diversification and species’ geographical distribution [7].
Furthermore, Psidium species stand out due to the commercial exploitation of edible fruits, essential oils, wood, and plants for ornamental purposes, in addition to presenting pharmacological potential [8]. Traditional communities have empirically used Psidium species to treat symptoms of many diseases [9,10]. For example, the tea and infusion of leaves and flowers of Psidium guajava L. are used in traditional medicine to treat diarrhea, while the decoction of their roots is used to treat cough, stomach pain, dysentery, toothache, indigestion, and constipation [11,12,13]. Also, the barks’ decoction and poultice are used to treat ulcer wounds, dysentery, skin diseases, vaginal bleeding wounds, fever, dehydration, and respiratory disorders [14]. The decoction of the leaves of Psidium cattleyanum Sabine is used to treat stomach pain, and, when associated with Malva sylvestris L., Rubus ulmifolius Schott, Elaeagnus umbellata Thunb., Allium sativum L., and A. cepa L., it is used against diarrhea [9].
In recent years, reviews have been published referring to essential oils from Myrtaceae’s largest genera, such as Myrcia, Eugenia, and Syzygium [15,16]. A review of essential oils from Myrtaceae describing various chemical analyses of Psidium species has also been published [17]. However, there is no review focusing jointly on the chemical compositions and biological activities of essential oils of Psidium species. Due to the chemical and biological significance of Psidium species, in this review, there are 110 chemical analyses reported of 18 Psidium species growing widespread in the world and their biological activities.
2. Bibliographic Search Criteria and Statistical Analyses
Bibliographic research was performed using Google Scholar, PubMed, Science Direct, Medline, and Scopus. Applied keywords were “Psidium”, “essential oils”, and “volatile compounds”. Some unusual or incorrect botanical names were updated based on The Plant List” (http://www.theplantlist.org, accessed on 11 February 2021).
Bibliometric data analysis was done using more keywords to search for articles on the theme proposed in this review, using the VOSViewer software (version 1.6.15) [18]. The articles were downloaded from the databases in a supported format by the software. The primary data retrieved from the databases include information related to the article title, authors’ names, keywords, and citation information, including the reference lists. In this way, a cluster was generated relating the main keywords and their links with others used less frequently in the searches.
3. Plants Occurrence and the Bibliometric Network Data
Concerning the Psidium essential oil reports, 75 are in the Americas: 56 in South America, 14 in Central America, and 5 in North America. Brazil is the most reported country, with 52. Also, 20 reports came from Asia, being half in China. From Africa, 11 reports were obtained, being 4 in Egypt. Only two oils were reported in Europe (France) and Oceania (French Polynesia). The geographical distribution of Psidium specimens is shown in Figure 1 and Appendix A.
Figure 1.
Geographical distribution of Psidium based on their essential oils study. This map was built by the authors using the plant occurrence information available in bibliographic data.
Regarding the number of reports, Psidium guajava L. was the most studied species, with 53 essential oil records (48.6%) distributed in the Americas, Africa, Europe, and Asia. Psidium guineense Sw. showed 18 oil records (16.2%), with restricted occurrence in the Americas, and P. cattleyanum Sabine with 10 oils records (9.0%) signalized to the Americas and Oceania. Also, five oil records (4.5%) of P. salutare (Kunth) O. Berg, four oil records (3.6%) of P. myrtoides O. Berg, three oil records (2.7%) of P. laruotteanum Cambess and P. myrsinites Mart. ex DC., and two oil records (1.8%) of P. friedrichsthalianum (O. Berg) Nied., P. sartorianum (O. Berg) Nied and P. striatulum Mart ex. DC. has been reported only in the Americas. Moreover, the other eight species had only one record (7.2%), P. acutangulum Mart. ex DC., P. brownianum Mart. ex DC., P. cymosum Urb., P. gaudichaudianum Proença & Faria, P. montanum Sw., P. parvifolium (Griseb.) Griseb., P. rotundatum Griseb., and P. rufum Mart. ex DC. (see Figure 2).
Figure 2.
Percentual distribution of the records of essential oils from Psidium species.
To find the most widespread subjects of Psidium essential oils and identify their relationships, we analyzed the co-occurrence of similar terms in titles and abstracts of 158 articles in the Scopus database from 1990 to 2020. Figure 3 represents this survey and its associations. The size of the node indicates the extent of searches for the term. That is, the larger the node, the more frequently the term was searched. The search terms are grouped according to their similarity. Thus, the blue cluster includes terms related to in vivo tests, such as “rat”, “animal experiment”, “in humans”, and others. The red cluster contains terms related to biological activities, such as “enzyme activity”, “in vitro study”, “antimicrobial activity”, and “median inhibitory concentration (IC50)”. The green cluster shows terms related to chemical composition, such as “essential oil composition”, “chemical analysis”, “hydrodistillation”, “gas chromatography”, “cineole”, “limonene”, etc. Finally, in yellow and to a lesser extent, one can observe a cluster four with terms related to this article’s theme.
Figure 3.
Network map of the most searched keywords and related to the theme, from 1990 to 2020.
4. Volatile Profiles
The essential oils’ chemical profile is influenced by environmental factors, contributing to their primary and secondary constituents’ chemical variability. This fact takes along several chemical profiles, chemotypes, or different chemical races to the same species. Therefore, it is worth considering that minor constituents in essential oils can play an essential role in the chemical polymorphism of a given species [19,20].
The essential oils of Psidium species are rich in mono- and sesquiterpenes compounds arranged according their biosynthetic pathways [21,22,23,24,25]. The C10-skeletal monoterpenes are grouped in acyclic, p-menthane, pinane, bornane/camphane, thujane, and carane types, and the C15-skeletal sesquiterpenes are arranged as acyclic, cadinane, caryophyllane, eudesmane, germacrane, aromadendrene, and bisabolane types [26,27] (see Figure 4A,B and Appendix B).
Figure 4.
Representative chemical skeletons of geranyl (A) and farnesyl (B) pyrophosphate pathways of some sesquiterpenes found in the essential oils of Psidium species.
4.1. Psidium cattleyanum Sabine
It is native to Brazil, occurring from Minas Gerais to the Rio Grande do Sul states and Uruguay northeastern, and as an isolated form in the Amazon region. It was also naturalized in tropical climates regions such as Hawaii and many Caribbean islands. Commonly, it is known as strawberry guava, bovine guava, jeju guava, cherry guava, purple guava, waiawi, guava, and araçá [28,29]. In some reports, its name has been published as Psidium cattleianum, probability by a written error [30,31]. Psidium cattleyanum fruits are similar to P. guajava (guava); however, with a slightly acid flavor. For this reason, they are widely consumed in nature or juices, jellies, and ice cream forms, with good consumer acceptance and high value for the agri-food industries [32,33]. The vitamin C content in P. cattleyanum fruits is around 3 to 4 times higher than lemon and orange [34,35]. Furthermore, this species has been used in traditional medicine for several purposes, such as antiseptic, digestive, anti-hemorrhagic, blood pressure control, and diuretic [32].
The variability of EO composition of ten accessions of P. cattleyanum (nine from leaves and one from fruits) were classified into different chemical profiles. In all samples, at least one constituent with caryophyllane skeleton was identified. Three profiles of leaves oils were characterized only by caryophyllane-type constituents: E-caryophyllene (31.5%) in profile I from French Polynesia [36]; E-caryophyllene (59.9%) and caryophyllene oxide (5.4%) in profile II from USA [37]; E-caryophyllene (59.6%), caryophyllene oxide (18.2%) and Z-caryophyllene (6.4%) in profile III from south Brazil [38]. Profile IV oil from the USA was rich in E-caryophyllene (59.0%), followed by acyclic monoterpenes, such as α-pinene (13.2%) and myrcene (11.3%), respectively [39]. Profile V oil from southeastern Brazil was characterized by the E-caryophyllene (23.4%), caryophyllene oxide (11.5%), and α-pinene (11.3%) [22]. Profile VI oil from Egypt was rich in E-caryophyllene (28.8%), α-pinene (28.0%), myrcene (13.4%), and trans-β-ocimene (5.3%) [40].
Fruits oil from south Brazil, classified as profile VII, was rich in skeletons of the types caryophyllane (E-caryophyllene 22.5% and α-humulene 7.5%), eudesmane (neo-intermedeol 14.2% and β-selinene 10.1%), and aromadendrene (trans-β-guaiene, 9.1%) [41]. Sesquiterpenes dominated profile VIII oil from Cuba with cadinane and caryophyllane skeleton types, such as epi-α-muurolol (21.9%), α-cadinol (20.0%), epi-α-cadinol (16.7%), caryophyllene oxide (13.6%), juniper camphor (9.4%), and 14-hydroxy-9-epi-E-caryophyllene (5.7%) [42]. Profile IX oil from Brazilian Atlantic Forest was characterized by skeletons of the types thujane (α-thujene 25.2%), p-menthane (1,8-cineole 16.4%), caryophyllane (E-caryophyllene 10.2%), eremophilane (valencene, 8.0%), and acyclic monoterpene (myrcene, 5.0%) [43]. Also, the profile X oil from Brazilian Midwest was rich in the types aromadendrane/eudesmane (viridiflorol 17.9%, β-selinene 8.6% and aromadendrene 5.0%), caryophyllane (E-caryophyllene 11.8% α-humulene 6.0%), and p-menthane (1,8-cineole 10.8%) [44].
4.2. Psidium friedrichsthalianum (O. Berg) Nied
It is a fructiferous plant native from forests and savannas of higher regions from Honduras to Panama, also found in Colombia mountains and widely cultivated in Costa Rica by the trivial names ‘cas’ and ‘goiaba costarriquenha’ [45,46]. The fruits can be consumed as refreshing drinks, jellies, and jams due to its acidity and filling for pies [46,47].
Two oils from P. friedrichsthalianum leaves showed different chemical profiles: a Costa Rica specimen with caryophyllane, elemane, pinane, germacrane, and cadinane skeletons, represented by E-caryophyllene (36.8%), β-elemene (12.86%), α-pinene (10.6%), bicyclogermacrene (8.3%), β-pinene (8.3%), and α-ylangene (7.8%) [37]; and a Southeast Brazil specimen with the caryophyllane (E-caryophyllene 24.6%, caryophyllene oxide 10.6%, and α-humulene 9.2%) and cadinane (α-5.9%) types [22].
4.3. Psidium guajava L.
Psidium guajava, commonly known as ’guava‘, is native to tropical regions from southern Mexico to northern South America. It is a species cultivated in many countries, and this fact allows its reproduction on a large scale in tropical and subtropical climates [48]. In folk medicine, this species is used as tea, infusion, decoctions, and poultice to treat inflammation, diarrhea, rheumatism, and diabetes, and as a diuretic, anti-bacterial [48]. Moreover, its fruits can be consumed in nature or sweets, ice cream, and juices forms, so this species has the highest commercial value of all Psidium species [28].
Fifty-three records of Psidium guajava essential oils were arranged in 28 profiles based on the chemical skeleton of their main compounds. The profile I was characterized by sesquiterpenes with caryophyllane, acyclic and aromadendrene types. Primary compounds were E-caryophyllene (15.8–24.6%), E-nerolidol (7.7–35.6%), caryophyllene oxide (5.1%), (2Z,6E)-farnesol (6.7%), and ledol (5.5%) of oil records from Asia (Pakistan) and Europe (France) [49,50,51]. Profile II corresponded to a record oil from Cuba, rich in the sesquiterpenes of caryophyllane, acyclic, cadinane and aromadendrene types: E-caryophyllene (21.6%), E-nerolidol (l9.2%), selin-11-en-4α-ol (13.4%), viridiflorene (8.8%), α-selinene (8.3%), caryophyllene oxide (8.2%), and cedr-8(15)-en-9α-ol (7.9%) [52]. The profile III displayed compounds with caryophyllane and aromadendrene skeletons, as E-caryophyllene (24.4–36.4%) and γ-gurjunene (12.7–14.0%) corresponding to three oil records from China [53], and another from Tunisia, which was characterized by viridiflorol (36.4%) and E-caryophyllene (5.9%) [54].
Profile IV was composed by sesquiterpenes with caryophyllane, cadinane, and aromadendrene skeletons, as E-caryophyllene (17.2–25.7%), calamenene (6.6–7.8%), γ-gurjunene (9.2–9.5%), and epi-α-cadinol (6.0–10.0%) occurring in five oil records from Asia (China and Taiwan) [53]. Profile V was composed by three oil records from Brazil, belonging to caryophyllane, bisabolane, p-menthane, and acyclic sesquiterpene types, as E-caryophyllene (5.2–9.4%), β-bisabolol (9.2–19.5%), limonene (0–17.8%), 1,8-cineole (2.0–21.4%), E-nerolidol (5.0–7.4%), α-humulene (0–16.5%), β-bisabolene (0–6.3%), humulene epoxide II (0–6.0%), and α-pinene (0–23.9%) [55,56]. Profile VI from china was characterized by constituents with caryophyllane (E-caryophyllene, 26.4%), bisabolane (β-bisabolene, 5.23%), and aromadendrene (γ-gurjunene, 15.2%) skeletons [53]. Profile VII from Egypt was composed by skeleton-types of caryophyllane (E-caryophyllene, 16.9%), eudesmane (selin-7(11)-en-4-α-ol, 8.3%, α-selinene, 6.5%, β-selinene, 6.3%), cadinane (δ-cadinene, 5.3%), and p-menthane (1,8-cineole, 5.4%) [57].
Profile VIII from Brazil displayed caryophyllane and aromadendrane skeleton types, as E-caryophyllene (26.6%), selin-11-en-4α-ol (6.7%), caryophyllene oxide (15.5%), aromadendrene epoxide (8.1%), β-selinene (7.6%), and α-selinene (6.5%) [55]. Profile IX from Brazil was composed by caryophyllane (E-caryophyllene 19.4%, caryophyllene oxide 16.6%), selinane (selin-11-en-4α-ol 7.4%, β-selinene 5.6%), p-menthane (1,8-cineole 8.4%), and aromadendrene (aromadendrene epoxide 9.2%) skeleton types [55]. Profile X composed by oil records from Brazil and Polynesia, showed sesquiterpenes with caryophyllane (E-caryophyllene 10.2–39.0%, caryophyllene oxide 0–8.0%), selinane (selin-11-en-4α-ol 0–16.7%, α-selinene 4.8–9.7%, β-selinene 4.1–9.7%), aromadendrene (aromadendrene epoxide 0–9.5%, aromadendrene 0–6.3%), cadinane (epi-α-cadinol 0–7.9%, epi-cubenol 0–6.7%), p-menthane (1,8-cineole 0.3–7.6%), and bisabolane (E-α-bisabolene 0–5.5%) skeleton types [36,55,58,59].
Profile XI was recorded in the Americas (Cuba), Asia (Taiwan, Korea, India), and Africa (Nigeria, Egypt Mauritius) and characterized by mono- and sesquiterpenes with caryophyllane, aromadendrane, and p-menthane skeletons, as E-caryophyllene (6.8–21.3%), α-pinene (0–14.7%), 1,8-cineole (0–12.4%), aromadendrene (0–6.6%), limonene (0–42.1%), α-selinene (0–6.6%), β-selinene (0–6.4%), caryophyllene oxide (0–15.4%), caryophylla-4(12),8(13)-dien-5β-ol (0–6.5%) [57,60,61,62,63,64,65]. Profile XII was composed by an oil record from Asia (Nepal), characterized by caryophyllane, acyclic, and cadinane skeleton types, as caryophyllene oxide (14.0%), E-caryophyllene (13.9%), 1H-cycloprop[e]azulene (11.7%), adamantane (9.5%), E-nerolidol (6.8%), and α-cubebene (6.7%) [66]. Profile XIII from Brazil was characterized by caryophyllane (α-humulene 15.0%, E-caryophyllene 12.0%), selinane (β-selinene 11.0%, α-selinene 10.0%), cadinane (α-muurolol 5.6%), and cedrane (cedr-8-(15)-en-9-α-ol 7.6%) skeleton types [67].
Profile XIV from oil records from Brazil and Tunisia was characterized by sesquiterpenes with caryophyllane, germacrane, eudesmane, cadinane, and aromadendrene skeletons, as germacrene D (0–16.8%), α-humulene (13.0–15.0%), caryophylla-4(12),8(13)-dien-5-β-ol (0–15.0%), E-caryophyllene (0–12.0%), valerianol (0–10.6%), α-selinene (0–10.0%), α-muurolol (0–9.6%), cedr-8(15)-en-9-α-ol (0–7.6%), β-selinene (0–6.7%), humulene epoxide II (0–6.6%), epi-α-muurolol (0–5.6%), caryophyllene oxide (0–5.1%), and α-cadinol (0–5.0%) [54,67,68]. Profile XV from Brazil was dominated by caryophyllane and eudesmane skeletons, as α-humulene (37.0%), E-caryophyllene (24.0%), β-selinene (14.0%), and α-selinene (12.0%) [67]. Profile XVI from China was rich in mono- and sesquiterpenes with p-menthane, pinane, aromadendrane and cedrane skeletons, as α-pinene (37.8%), 1,8-cineole (18.9%), globulol (6.8%), and cedr-8(15)-en-9-α-ol (5.6%) [69].
Profile XVII from China was characterized by monoterpenes with p-menthane, pinane and carane skeletons (α-pinene 25.5%, δ-3-carene 8.8%, limonene 9.8%), followed by sesquiterpenes with acyclic, caryophyllane, cedrane and aromadendrane skeletons, as E-nerolidol (16.7%), E-caryophyllene (15.7–33.5%), cedran-8-ol (8.8%), viridiflorene (13.0%), and (E)-β-farnesene (11.7%) [70,71]. Profile XVIII from oil records of Ecuador and Egypt was characterized by monoterpenes with p-menthane and pinane skeletons as: limonene (33.3–54.7%), α-pinene (1.5–29.5%), carvotacetone acetate (0–8.2%) and 1,8-cineole (0–32.1%) [40,72]. The profile XIX from Cuba was characterized by the monoterpene limonene (8.3%) and 3-phenylpropylbenzoyl acetate (6.2%) [61].
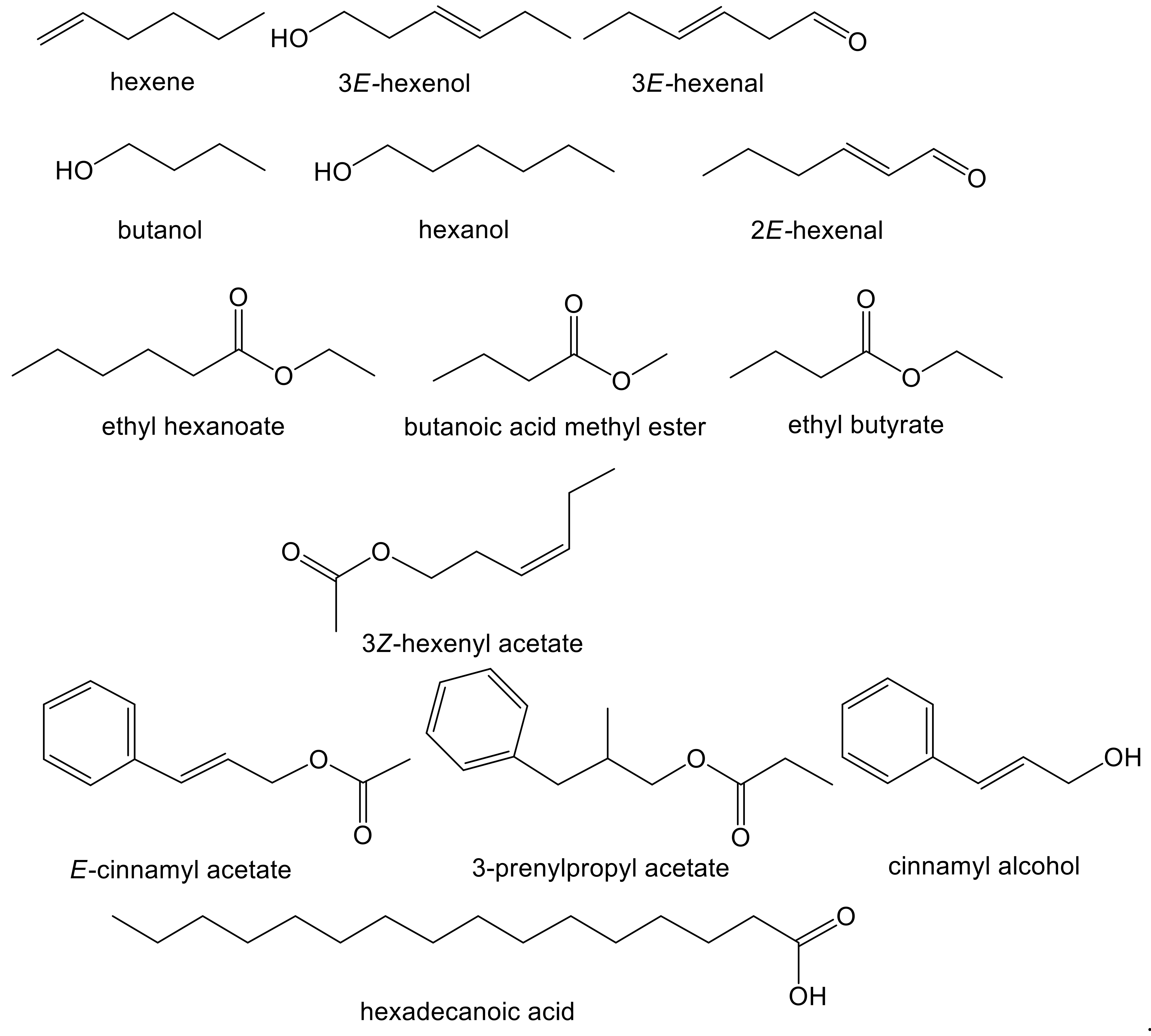
Profiles XX–XXV and XXVII–XXVIII were registered to only one P. guajava sample from different locations. Profile XX from Mauritius was characterized by bisabolane (santalol 50.6%), caryophyllane (caryophyllene oxide 15.4%), p-menthane (limonene (11.6%), and cadinane (cycloisosativene, 6.1%) skeleton types [73]. Profile XXI from Costa Rica was dominated by 2E-hexenal (28.4%) and benzaldehyde (16.5%), followed by the sesquiterpene types p-menthane (1,8-cineole 15.9%), aromadendrene (globulol 10.3%), and acyclic (E-nerolidol 6.9%) [74]. Profile XXII from France, extracted by HS-SPME, was also ruled by other compounds, as hexanal (65.9%), γ-butyrolactone (7.6%), and 2E-hexenal (7.4%) [49]. The fruits volatile concentrate from Cuba, obtained by simultaneous distillation-extraction (SDE), was classified as profile XXIII, rich in a mixture of other classes of constituents, with 3Z-hexenyl acetate (5.0%) as the major compound [61]. Profile XXIV from Mexico specimen leaves displayed bisabolane-skeleton constituents, as β-bisabolene (19.2%), β-sesquiphellandrene (14.8%), E-γ-bisabolene (5.3%), and α-curcumene (5.1%), followed by E-caryophyllene (6.0%) [37]. Profile XXV of fruits concentrate from Cuba showed E-cinnamyl acetate (5.6%) as the most significant constituent [61]. Profile XXVII from Pakistan was rich in hexanol (13.9%), cinnamyl alcohol (10.9%), butanol (10.7%), 3-methyl glutaric anhydride (9.5%), hexene (7.7%), butanoic acid methyl ester (7.2%), and 3-hexenal (6.6%) [75]. Profile XXVIII from South Africa specimen leaves was characterized by 4,4-dimethyl-tetracyclo [6.3.2.0(2,5).0(1,8)]tridecan-9-ol (13.0%) and 1H-cycloprop[e]azulene (8.1%), followed by E-caryophyllene (9.6%) [66].
Profile XXVI was composed of leaves oils from 22 genotypes of P. guajava grown in Espírito Santo state, Brazil, at two different environments and showed a great chemical diversity. The main constituents were sesquiterpenes with acyclic, caryophyllane, bisabolane, cadinane, germacrene, and aromadendrene skeletons, followed by p-menthane monoterpene constituents. Oil samples from the city of Mimoso do Sul displayed E-caryophyllene (5.1–30.0%), α-humulene (2.0–24.4%), 14-hydroxy-epi-E-caryophyllene (1.3–19.3%), β-bisabolol (1.2–20.1%), E-nerolidol (0.5–19.9%), 14-hydroxy-epi-E-caryophyllene (0–14.7%), limonene (0.2–11.7%),γ-muurolene (1.5–6.4%), α-selinene (0.4–12.4%), β-selinene (0.5–13.3%), β-bisabolene (3.1–9.7%), hinesol (0.9–10.0%), epi-α-cadinol (0–6.4%), α-bisabolol (1.0–5.9%), selina-6-en-4-ol (0.6–9.1%), aromadendrene (0.3–7.4%), and 1,8-cineole (0.7–5.3%) as the primary constituents. Oils samples from the city of Linhares showed E-caryophyllene (5.1–32.3%), caryophyllene oxide (1.8–20.9%), α-humulene (1.7–19.9%), β-bisabolol (2.2–19.4%), E-nerolidol (2.1–13.7%), hinesol (3.2–12.4%), α-selinene (0.5–11.2%), b-selinene (0.5–12.8%), epi-α-cadinol (1.1–12.0%), limonene (0.1–11.0%), β-bisabolene (2.3–9.7%), α-bisabolol (0.5–7.3%), epi-β-cubenol (2.2.–7.1%), humulene epoxide (0.6–6.3%), selina-6-en-4-ol (3.3–6.1%), aromadendrene (3.1–5.6%), γ-muurolene (1.7–5.4%), and δ-cadinene (0.5–5.1%) as the major components [24].
4.4. Psidium guineense Sw.
It is a native species of South America, from northern Argentina throughout the Brazilian territory and in isolation form in southern Mexico. Commonly known as ‘araçá’, ‘araçá-comum’, ‘araçá-azedo’, and ‘araçá-do-campo’ [28,76]. Psidium guineense (syn. Psidium araca Raddi or P. guianense Pers., due to a written error that gave it an African name despite its American origin) presents a significant economic and medicinal potential exploitation [77,78]. Psidium guineense fruits have a high content of minerals and functional elements, such as vitamins and phenolic compounds, consumed freshly or used to prepare sweets, juices, ice cream, and jellies [79,80,81]. In folk medicine, all parts of “araçá” are widely used in South America to treat gastrointestinal and genitourinary infections [82].
Eighteen accessions of leaves (16 records) and fruits (2 records) oils of P. guineense were classified in 16 chemical profiles, according to the major constituents (>5%), corresponding to monoterpenes with p-menthane and pinane skeletons, followed by sesquiterpenes with acyclic, bisabolane, germacrane, elemane, caryophyllane, and cadinane skeletons. Profiles I–V, VII–IX, and XI–XIII occur in Northern Brazil, profile VI in Northeast Brazil, profile X in Mexico, profile XIV in South Brazil, all of them from leaves, and profiles XV and XVI from fruits occur in Colombia. Profile I was dominated by limonene (47.4%) [20]; Profile II by limonene (30.4–37.2%) and α-pinene (17.7–34.0%) [21]; Profile III by limonene (26.5%), α-pinene (13.7%), and α-copaene (7.2%) [21]; Profile IV by limonene (9.6%) and epi-β-bisabolol (6.5%) [21]; Profile V by limonene (23.4%), epi-β-bisabolol (9.5%), and β-bisabolene (6.4%) [21]; Profile VI by 1,8-cineole (40.5%), β-eudesmol (19.5%), α-pinene (13.9%), β-pinene (8.6%), elemol (7.7%), and γ-eudesmol (5.2%) [83]; Profile VII by α-pinene (35.6%), α-copaene (8.1%), E-caryophyllene (6.1%), and muurola-4,10(14)-dien-1-β-ol (5.8%) [21]; Profile VIII by α-pinene (26.4%), limonene (14.0%), and E-caryophyllene (5.2%) [21]; Profile IX by β-bisabolene (8.9%) and α-curcumene (5.0%) [21]; Profile X by β-bisabolene (13.2%), α-pinene (12.5%), Z-nerolidol (5.5%), β-sesquiphellandrene (5.2%), and limonene (5.1%) [37]; Profile XI by E-caryophyllene (24.0%) and limonene (5.4%), [21]; Profile XII by β-bisabolol (17.4%), limonene (6.8%), and epi-α-bisabolol (6.7%) [56]; Profile XIII by epi-β-bisabolol (18.1%) and β-bisabolol (5.6%) [21]; Profile XIV by spathulenol (80.7%) [84]. The two oils of Psidium guineense fruits showed different chemical compositions. Profile XV extracted by SDE showed E-caryophyllene 8.6%, butanol 7.4%, ethyl butyrate 7.4%, and selin-11-en-4α-ol 5.9% as the main constituents. Profile XVI extracted by HS-SPME exhibit ethyl butyrate 30.3% and ethyl hexanoate 23.8% [85].
4.5. Psidium laruotteanum Cambess
The species occurs in Central Brazil, and it is commonly known as ‘araçá-cascudo’ Its fruits are similar to the gooseberry, showing a more acidic flavor than ‘araçá’. It is consumed in nature by wild animals and as jams and juice forms by people. This plant has low fruit productivity [30,86,87].
Regarding the chemical variability of leaves essential oils of Psidium laruotteanum, the records from Midwest Brazil were classified into three chemical profiles, rich in monoterpenes with p-menthane and pinane skeletons. Profile I was rich in p-cymene (24.8%), 1,8-cineole (19.2%), α-pinene (13.4%), and terpinen-4-ol (6.3%) [86]. Profile II was dominated by p-cymene (19.4%), α-pinene (11.6%), 1,8-cineole (6.9%), terpinen-4-ol (5.8%), and followed also by γ-terpinene (14.0%), limonene (10.2%), and terpinolene (5.1%) [86]. Profile III was characterized by p-cymene (34.8%), 1,8-cineole (12.5%), α-pinene (9.2%), limonene (7.9%), γ-terpinene (6.9%), and α-terpineol (6.0%), as primary constituents [86]. The three chemical profiles showed quantitative and qualitative variability, probably due to the specimens being collected in the wild and not subjected to the same conditions of environmental control, except in their vegetative stages, without flowers and fruits.
4.6. Psidium myrsinites DC
Native from Brazil, it is also known as ‘araçá’, and the fruits are used in folk medicine for cauterization and to treat diarrhea due to its astringent properties [28,88].
Three P. myrsinites records showed quantitative and qualitative differences in the chemical composition of their leaves’ essential oils, with the predominance of caryophyllane-type skeletons.
Profile I from Goiás (Midwest Brazil) showed E-caryophyllene (31.0%), α-humulene (12.3%), and caryophyllene oxide (7.3%) as the major constituents [88]. Profile II from Maranhão (Northeast Brazil) was rich in E-caryophyllene (26.1%), 𝛼-humulene (23.9%), caryophyllene oxide (10.1%), humulene epoxide II (6.4%), and Caryophylla-4(12),8(13)-dien-5-β-ol (5.7%) [89]. Profile III from Federal District (Midwest Brazil), displayed caryophyllene oxide (26.1%), humulene epoxide II (8.8%), E-caryophyllene (7.4%), Z-caryophyllene (5.4%), and myrcene (5.4%) as the main constituents [90].
4.7. Psidium myrtoides O. Berg
Psidium myrtoides (syn. Psidium myrsinoides Berg) occur in all Brazilian territory, and it is commonly known as ‘araçá-de-veado’ (deer aracá) or just ‘araçá’ [23,30,91]. In folk medicine, as other ‘araçá’ species, P. myrtoides is also used to treat diarrhea [92].
Psidium myrtoides leaf essential oils recorded in some Brazilian states were classified into three chemical profiles, according to their primary constituents. These oil records were rich in mono- and sesquiterpenes with acyclic, p-menthane, pinane, caryophyllane, germacrane, elemane, cadinane, and bisabolane skeleton types. Profile I from Federal District (Midwest Brazil) showed E-caryophyllene (22.4%), caryophyllene oxide (19.7%), α-humulene (8.4%), and myrcene (5.4%) as the main constituents [23]. Profile II from Ceará state (Northeast Brazil) was dominated by 1,8-cineole (29.9–48.1%), α-eudesmol (11.7–20.0%), α-pinene (5.0–12.8%), elemol (3.3–6.0%), and γ-eudesmol (2.5–5.8%) [93]. Profile III, composed of two oil records from Goiás state (Midwest Brazil) and Espírito Santo state (Southeastern Brazil), showed the sesquiterpenes E-caryophyllene (19.4–30.9%), α-humulene (10.4–15.9%), α-bisabolol (7.3–10.4%), α-copaene (6.3–7.8%), and caryophyllene oxide (5.3–7.3%) as the primary components [22,91].
4.8. Psidium salutare (Kunth) O. Berg
It is widely distributed in South America, known as ‘araçá’, ‘araçá-da-pedra’, and ‘araçá-do-campo’ in Brazil, ‘guayabo arrayan’ and ‘managuá’ in the Dominican Republic, and guayabita in Cuba [28,94]. Psidium salutare [syn. P. incanum (O. Berg) Burret and P. luridum (Spreng.) Burret]. Also, four varieties were described to this species: P. salutare var. sericeum (Cambess.) Landrum, P. salutare var. mucronatum (Cambess.) Landrum, P. salutare var. decussatum (DC.) Landrum, and P. salutare var. pohlianum (O. Berg) Landrum, with occurrence in Paraguay, the Caribbean, and Mexico [95].
Five Psidium salutare leaf oil records were classified into 4 chemical profiles. Constituents characterized the first profile from Uruguay with p-menthane and acyclic skeletons, as 1,8-cineole (31.2–36.6%), linalool (11.5–12.38%), and α-terpineol (6.7–7.0%) [96]. The second profile from Northeast Brazil was rich in compounds with p-methane and germacrane skeletons, as 1,8-cineole (63.3%), p-cymene (14.1%), α-terpinyl acetate (7.2%), and β-eudesmol (8.8%) [83,97]. The third profile also from Northeast Brazil showed p-menthane, cadinane and acyclic skeleton types, as p-cymene (5.1–17.8%), terpinolene (6.9–17.0%), γ-terpinene (10.3–17.1%), epi-α-cadinol (10.4–12.8%), linalool (4.7–7.3%), and δ-cadinene (3.8–5.3%) with a change of its constituents according to the seasons [25]. The fourth profile from Cuba was dominated by caryophyllane, bisabolane, germacrane, and pinane skeleton types, as caryophyllene oxide (39.8%), ar-turmerone (17.3%), β-gurjunene (6.7%), β-selinene (6.0%), and α-pinene (5.6%) [98].
4.9. Psidium sartorianum (O.Berg) Nied
It is native to Mexico, known as ‘arrayan’. Also, it occurs in Southeast Brazil, but there are reports of isolated occurrences in other regions [30].
Two P. sartorianum leaves oil records from Cuba and Mexico showed differences in their chemical compositions. The Cuba oil showed p-menthane (limonene 43.0%) and pinane (α-pinene 39.5% and β-pinene 5.6%) skeleton types [99]. The Mexico oil was dominated by the skeleton types of pinane (α-pinene 16.7%), caryophyllane (E-caryophyllene 12.4%), p-menthane (α-phellandrene 9.8%), and acyclic (Z-nerolidol 5.2%) [37].
4.10. Psidium striatulum DC
Psidium striatulum is a native and non-endemic species from Brazil, with occurrence in North (Pará, Roraima and Rondônia states), Northeast (Maranhão state), Midwest (Mato Grosso do Sul and Mato Grosso states), and South (Paraná state) regions. It is known as ‘araçá-mirim’ and ‘araçari’ in Roraima state, Brazil [100].
The fruits essential oil of Psidium striatulum from Roraima state, Brazil, showed constituents with pinane, caryophyllane, cadinane, and aromadendrene skeletons, as α-pinene (12%), α-humulene (10.4%), α-copaene (7.1%), globulol (5.7%), and aromadendrene (5.1%) [100]. Also, the leaf oil of another specimen existing in Maranhão state was rich in caryophyllane and germacrane skeletons, as E-caryophyllene (28.6%), α-selinene (7.7%), caryophyllene oxide (7.6%), β-selinene (7.4%), and selin-11-en-4-α-ol (6.0%) [56].
4.11. Other Species
Although 10 Psidium species have been widely studied with two or more essential oils or volatile concentrates samples, about 8 species were registered concerning their leaf oil compositions. These records were from Brazil and Cuba, with four oils in each country. The species that included only monoterpene constituents were P. acutangulum DC. with α-pinene 14.8%, 1,8-cineole 12.9%, β-pinene 10.1% [56]; P. montanum Sw. (syn. Psidium wrightii Krub et Urb.) with 1,8-cineole 46.9%, α-terpineol 9.2%, α-pinene 8.9% [101]; and P. rotundatum Griseb. with 1,8-cineole 28.0%, α-pinene 18.3%, α-terpineol 9.2%, E-nerolidol 8.7%, and linalool 5.1% [102]. Also, the species that included mono- and sesquiterpenes as major constituents were P. brownianum Mart. ex DC. with β-eudesmol 27.1%, 1,8-cineole 24.7%, α-elemol 11.8%, α-pinene 11.4%, guaiol 9.1%, and β-pinene 8.4% [103]; P. cymosum Urb. with epi-α-cadinol 46.6%, 1,8-cineole 15.0%, α-muurolol 11.8%, α-terpineol 8.4%, and α-pinene, 5.7% [99]; P. gaudichaudianum Proença & Faria with E-caryophyllene 17.0%, limonene 16.2%, α-pinene 8.4%, caryophyllene oxide 7.5%, and α-humulene, 5.8% [22]; P. parvifolium Griseb. with viridiflorol 31.9%, α-terpineol 8.2%, cubenol 7.3%, borneol 7.2%, epi-α-muurolol 6.6%, trans-sabinol 5.5% and P. rufum DC. (syn. Psidium widgrenianum O.Berg) with E-caryophyllene 21.0%, α-pinene 14.0%, γ-eudesmol 8.5%, 1,8-cineole 8.4%, α-eudesmol, 8.2%, and β-eudesmol, 6.8% [104].
5. Seasonal Variation in the Essential Oils Composition
Reports of Psidium myrtoides and P. salutare have focused on the effects of seasonality in the essential oils’ chemical composition. Both species were registered to the Chapada do Araripe, Ceará state, Brazil, with their leaves sampled in February, May, August, and November, which encompasses the dry and rainy seasons of that region [25,93]. The variation in the leaf essential oils is illustrated in Figure 5.
Figure 5.
Chemical variability on essential oils of Psidium myrtoides and P. salutare during dry and rainy seasons. D: the dried season; R: the rainy season; MH: monoterpene hydrocarbons; OM: oxygenated monoterpenes; SH: sesquiterpene hydrocarbons; OS: oxygenated sesquiterpenes; OT: others.
Psidium myrtoides oil presented the highest yields in the dry season (0.96–1.02%), decreasing in the rainy seasons (0.36–0.48%). A negative correlation between the oil yield and rainfall was noted. November presented the higher oil content (0.27 mL/100 g, fresh leaves), suggesting an excellent harvesting time. The oxygenated constituents (mono- and sesquiterpenes) decreased from May (OM: 7.01%; OS: 39.0%) to November (OM: 0%; OS: 21.0%), while the sesquiterpene hydrocarbons increased at the same time (May: 40.0%; November: 70.5%). The most predominant constituents in these two seasons were 1,8-cineole (29.5–48.1%), α-eudesmol (11.7–20.0%), α-pinene (5.0–12.8%), elemol (3.3–6.7%), and γ-eudesmol (2.5–5.8%). Lower content to 1,8-cineole occurred in March, during the ripening process of Psidium species [93].
The rainy season was considered the ideal period for the oil extraction of Psidium salutare, which showed the highest yield in February (0.73%), and decreasing in May (0.29%) and August (0.15%). The oil main constituents were p-cymene (5.1–17.8%), terpinolene (6.9–17.0%), γ-terpinene (10.3–17.1%), epi-α-cadinol (10.4–12.8%), linalool (4.7–7.3%), and δ-cadinene (3.8–5.3%). The results of seasonal studies do not show a statistical correlation with the environmental parameters [25].
6. Biological Activities
The studies focused on Psidium essential oils’ biological activities comprised 77 records, which displayed at least one biological propriety. The percentage of biological assays, according to the number of studies, is presented in Figure 6. Antibacterial potential (20.8%) was the most investigated, followed by antioxidant (19.5%) and antifungal (16.5%). Also, other bioactivities have been reported, such as larvicide (11.7%), anti-inflammatory (11.7%), phytotoxic (5.2%), and cytotoxic (5.2%). Studies regarding antinociceptive, insecticide, nematicide, acaricide, vasorelaxant, spasmolytic, and anticholinesterase potential corresponded to approximately 11.7%.
Figure 6.
Distribution of records on biological activity of Psidium species.
6.1. Antioxidant Activity
Antioxidants compounds can prevent disorders and diseases caused by free radicals, stabilizing them. In recent years, the interest in replacing synthetic antioxidants with aromatic and medicinal plants has been growing. The following methods have evaluated the antioxidant activity of Psidium essential oils, DPPH, ABTS, linoleic acid oxidation, XO, OH, NO, ORAC, FRAP, deoxyribose degradation, and MDA [105].
The essential oil of P. cattleyanum showed a significant antioxidant potential by the DPPH method on TLC. The sesquiterpenes E-caryophyllene (22.5%), neo-intermedeol (14.2%), and β-selinene (10.1%) were identified as their main constituents [41]. On the other hand, the leaves oil rich in E-caryophyllene (59.6%), caryophyllene oxide (18.2%), and Z-caryophyllene (6.4%) was inactive on DPPH and ABTS methods (at 10–500 mg/mL), but it exhibited activity on linoleic acid oxidation assay (IC50 56.41 μg/mL) [38].
Psidium guajava essential oil has been extensively investigated for its antioxidant potential, using different methods. The leaves oil from central region of Mauritius, dominated by caryophyllene oxide (15.4%) and limonene (11.6%), displayed antioxidant activity against DPPH (IC50 5.19 µg/mL), ABTS (IC50 3.09 µg/mL), XO (IC50 2.51 µg/mL), OH (IC50 1.90 µg/mL), NO (IC50 2.71 µg/mL), ORAC (0.27 gTE/gEO), and FRAP (44.41 µmol Fe+2/mg OE) methods [62]. Psidium guajava essential oils from different China regions were evaluated by DPPH, ABTS, and FRAP methods. Three oil records rich in oxygenated sesquiterpenes (17.4–18.7%) from Guangdong province showed the highest antioxidant potential on DPPH (IC50 18.5–20.3 mg/mL), ABTS (13.1–16.2 mg/mL) and FRAP assays (7.3–9.1 mmol Vc/g DM). On the other hand, the samples from other regions were less active on DPPH (IC50 20.4–33.7 mg/mL) and ABTS (IC50 18.3–25.3 mg/mL) methods [53]. Psidium guajava leaves (E-caryophyllene 16.9%, selin-7(11)-en-4-α-ol 8.3%, and α-selinene 6.5%) and fruits (E-caryophyllene 17.6%, limonene 11.0%, and α-selinene, 6.6%) oils from Egypt displayed antioxidant activity on DPPH (leaves oil, IC50 3,59 mg/mL; fruits oil, IC50 8,11 mg/mL), and deoxyribose assay (leaves oil, IC50 12,64 μg/mL; fruits oil, IC50 42,78 μg/mL). This antioxidant effect may result from the high content of oxygenated mono- and sesquiterpenes in both oils [57].
Psidium guineense essential oil collected in Brazil and rich in spathulenol (80.7%) showed high antioxidant activity on DPPH (IC50 63.1 µg/mL), ABTS (IC50 780.1 µg/mL), and MDA (IC50 37.9 µg/mL) methods. This effect may be attributed to spathulenol, its principal constituent [84].
6.2. Antifungal Activity
The growing resistance to azole antimycotics, the most used antifungals class, has been a recurrent problem in the treatment of fungal pathologies. Today new efforts are dedicated to discovering new antimycotics agents with different mechanisms of action [106]. Therefore, the use of natural products stands out as a viable alternative for the treatment of several mycoses due to its broad spectrum of bioactive compounds [107]. In this context, essential oils gain prominence as fungicides, with many studies addressing this aspect [108].
Psidium cattleyanum essential oil—rich in E-caryophyllene (59.6%), caryophyllene oxide (18.2%), and Z-caryophyllene (6.4%)—was evaluated against Candida spp. fungi known to cause superficial and invasive infections to debilitated or immunocompromised patients. Its oil did not show activity against Candida lipolytica (MIC 125.0 mg/mL), C. parapsilosis (MIC 104.2 mg/mL), C. guilhermondi (MIC 125.0 mg/mL), C. albicans (MIC 166.7 mg/mL), and Trichosporon asahii (MIC 41.67 mg/mL) [38].
Psidium guajava oil, rich in limonene (33.3%), α-pinene (29.5%), and carvotacetone acetate (8.2%), was evaluated against Candida albicans (MIC 0.14 mg/mL), Rhodotorula glutinis (MIC 0.09 mg/mL), Schizosaccharomyces pombe (MIC 0.09 mg/mL), Saccharomyces cerevisiae (MIC 0.06 mg/mL), Yarrowia lypolitica, (MIC 0.23 mg/mL), displaying significant activity [72]. Furthermore, Psidium guajava oil records from different regions of China, rich in E-caryophyllene (27.2–31.4%), exhibited activity against Saccharomyces cerevisiae (inhibition halo 16.9–20.6 mm) and Rhodotorula sp. (inhibition halo 18.3–26.3 mm) [53].
Psidium myrtoides oils, rich in 1,8-cineole (29.5–48.1%), α-eudesmol (11,7–20.0%), α-pinene (5.0–12.8%), elemol (3.3–6.7%), and γ-eudesmol (2.5–5.8%), with seasonal influence on its chemical compositions, showed significant fungicidal activity against Candida albicans (MFC 1.0–4.1 µg/mL, IC50 103.3–963.8 µg/mL), and moderate against C. krusei (MFC 8.2–16.4 µg/mL, IC50 1235.9–3564.5 µg/mL) and C. tropicalis (MFC > 16.384 µg/mL, IC50 1671.1–2535.1 µg/mL) [93].
Psidium salutare oil, rich in p-cymene (5.1–17.8%), terpinolene (6.9–17.0%), γ-terpinene (10.3–17.1%), epi-α-cadinol (10.4–12.8%), linalool (4.7–7.3%), and δ-cadinene (3.8–5.3%) exhibited significant activity against Candida albicans (MFC 1.0–4.1 µg/mL), Candida krusei, (MFC 8.2–16.4 µg/mL), and Candida tropicalis (MFC > 16.4 mg/mL) [25].
The fungicidal activity of these Psidium species can be attributed to the mono- and sesquiterpenes present in their essential oils, as these compound classes showed fungicidal potential previously reported [109,110].
6.3. Antibacterial Activity
In the last years, the antimicrobial resistance to antibiotics has increased due to the adaptive evolution of bacteria and fungi. Thus, the treatment of pathologies caused by these agents has been hampered. For this reason, research focused on the potential of new antimicrobials based on natural products has been explored, especially essential oils, generating an excellent source of bioactive compounds for the pharmaceutical industry, among others [111,112,113].
Several published works have reported the potential of Psidium essential oils against Gram-positive and Gram-negative bacteria. Psidium guajava essential oils from China were evaluated by disc diffusion method exhibiting inhibition halos against strains of Bacillus aryabhattai (15.3–23.1 mm), Arthrobacter creatinolyticus (9.1–20.1 mm), Bacillus megaterium (16.9–21.2 mm), Bacillus subtilis (17.0–19.0 mm) [53], Enterococcus faecales (6.0–16.5 mm), Staphylococcus aureus (9.0–18.6 mm), Haemophilus influenzae (12.0 mm), Pseudomonas aeruginosa (6.0–8.0 mm), and Escherichia coli (13.0–19.4 mm), methicillin-resistant Staphylococcus aureus (7.6 mm), and Staphylococcus epidermidis (18.2 mm) [71,73].
Psidium cattleyanum essential oils showed significant antibacterial activity against Porphyromonas gingivalis (MIC 20.0 µg/mL), Prevotella nigrescens (MIC 62.5 µg/mL), Fusobacterium nucleatum (MIC 12.5 µg/mL), Bacteroides fragilis (MIC 12.5 µg/mL), Actinomyces naeslundii (MIC 50 µg/mL), Aggregatibacter actinomycetemcomitans (MIC 6.2 µg/mL), Peptostreptococcus anaerobius (MIC 62.5 µg/mL [44], and Neisseria gonorrhoeae (MIC 13.0 µg/mL) [40].
Psidium guineense essential oil displayed effective antibacterial activity against Mycobacterium tuberculosis (MIC 126.4 µg/mL) [84]. The same with P. myrtoides oils against Streptococcus strains, as S. mitis (MIC 100 µg/mL), S. sanguinis (MIC 100 µg/mL), S. sobrinus (MIC 250 µg/mL), S. salivarius (MIC 250 µg/mL), and S. mutans (MIC 62.5 µg/mL) [91].
6.4. Phytotoxic Activity
The phytotoxic potential of plants and their chemical constituents against invasive plants is increasingly investigated as a possible alternative to synthetic herbicides in crops weed control [114]. Some Psidium essential oils inhibited parasitic herbs’ growth, showing the potential to be used against the crops’ invasive plants [22].
Leaf essential oils of four Psidium species from Espírito Santo state, Southeast Brazil, were evaluated against Lactuca sativa L. and Sorghum bicolor (L.) Moench. Germination inhibition and germination speed index were the analyzed parameters. Psidium cattleyanum oil, rich in E-caryophyllene (23.4%), caryophyllene oxide (11.5%), and α-pinene (11.3%), at a concentration of 3000 µg/mL, caused germination inhibition against L. sativa (74.6%) and S. bicolor (92.6%), with a germination speed index of 3.4 mm and 6.9 mm, respectively. Psidium friedrichsthalianum oil dominated by E-caryophyllene (24.6%), caryophyllene oxide (10.6%), α-humulene (9.2%), and α-copaene (5.9%), at a concentration of 375 µg/mL, inhibited the germination of L. sativa (92.8%) and S. bicolor (91.7%), with a germination speed index of 5.7 mm and 8.4 mm, respectively. Psidium gaudichaudianum, rich in E-caryophyllene (17.0%), limonene (16.2%), α-pinene (8.4%), caryophyllene oxide (7.5%), and α-humulene (5.8%), at a concentration of 1500 µg/mL, caused a germination inhibition of L. sativa (90.7%) and S. bicolor (91.1%), with a germination speed index of 5.2 mm and 8.1 mm, respectively. Also, P. myrtoides oil, composed primarily of E-caryophyllene (19.4%), α-bisabolol (10.4%), α-humulene (10.4%), α-copaene (6.3%), and caryophyllene oxide (5.3%), at a concentration of 3000 µg/mL, inhibited the germination of L. sativa and S. bicolor in 47.4% and 90.4%, at a germination speed index of 3.4 mm and 7.8 mm, respectively [22].
6.5. Larvicidal Activity
The larvicidal effect of essential oils has been tested against several disease vectors [115]. Thus, the P. guajava essential oil from Nepal—rich in E-nerolidol (35.6%), E-caryophyllene (15.8%), and 2Z,6E-farnesol (6.7%)—exhibited significant larvicidal activity against Chaoborus plumicornis (LC50 63.3 μg/mL) [51]. Moreover, Psidium guajava oil from Espirito Santo state, Brazil, dominated by E-caryophyllene (26.6%), caryophyllene oxide (15.5%), and aromadendrene epoxide (8.1%), showed larvicidal activity against Aedes aegypti larvae (LC50 39.48–64.25 μg/mL) [55]. Likewise, P. myrtoides oils from Maranhão state, Brazil, rich in E-caryophyllene (26.1–31.0%), α-humulene (12.3–23.9%), and caryophyllene oxide (7.3–10.1%) showed significant activity against Artemia salina (LC50 95.3 µg/mL) and low activity on Aedes aegypti larvae (LC50 292 mg/mL) [89].
6.6. Anti-Inflammatory
Natural products with anti-inflammatory activity have long been used in folk medicine for inflammatory diseases and their symptoms, such as fever, pain, migraine, and arthritis [116]. Scientists are focused on herbal medicine research and active compounds to develop new drugs as useful therapeutic agents [117]. Thus, essential oils gain importance in the field of human health, acting as anti-inflammatories [118].
Three P. guajava leaf oils recorded in Rio de Janeiro, Brazil, showed anti-inflammatory activity in pleurisy induced by lipopolysaccharide model with inhibition in migration of eosinophils between 67% and 76% at 100 mg/kg. In these oils, predominated the caryophyllane-type compounds, as α-humulene (13.0–37.0%), E-caryophyllene (7.2–24.0%), β-selinene (7.7–14.0%), α-selinene (10.0–12.0%), α-muurolol (7.6–9.6%), cedr-8-(15)-en-9-α-ol (7.4–7.6%), humulene epoxide II (6.6%), and caryophyllene oxide (5.0%) [67]. Also, leaf and fruit essential oils of P. guajava from Egypt, rich in E-caryophyllene (16.9% and 17.6%), limonene (0.2% and 11.0%), selin-7(11)-en-4-α-ol (8.3% and 0.5%), α-selinene (6.5% and 6.6%), β-selinene (6.3% and 6.4%), 1,8-cineole (5.4% and 0.8%), and δ-cadinene (5.3% and 4.9%), showed a moderate activity when tested in vitro on 5-lipoxygenase inhibition, exhibiting IC50 values of 49.76 μg/mL for the fruits, and 32.53 μg/mL for the leaves [57].
Psidium guineense leaf oil from Mato Grosso do Sul, Brazil, dominated by spathulenol (80.1%) showed the inhibition of 59.46% in a carrageenan-induced mouse paw model, at 300 mg/kg, reduction of 45.33% (at 30 mg/kg) and 77.70% (at 100 mg/kg) in the increase of total leukocytes in pleurisy model, and reduction in the rise of protein levels of 49.72% (at 30 mg/kg) and 78.40% (at 100 mg/kg) [84].
The leaf oil of Psidium rufum from Rio de Janeiro, Brazil, composed primarily by E-caryophyllene (21.0%), α-pinene (14.0%), γ-eudesmol (8.5%), 1,8-cineole (8.4%), α-eudesmol (8.2%), and β-eudesmol (6.8%), showed 70% reduction (at 100 mg/kg) in eosinophil migration in Zymosan assay, and 51% reduction (at 100 mg/kg) in nitric oxide production, in vitro [104].
6.7. Cytotoxic
The anticancer potential of essential oils has been investigated, aiming to implement them as therapeutic agents, whether in alternative or complementary treatment [119]. The cytotoxic activity of essential oils from P. guajava, P. guineense, and P. myrtoides were evaluated against the human cancer cell lines. Oils of leaves and fruits of P. guajava from Egypt, dominated by E-caryophyllene (16.9% and 17.6%), limonene (0% and 11.0%), and selin-7(11)-en-4α-ol (8.3% and 0%), respectively, showed low activity against hepatic cancer cell lines (HepG2) (leaf oil, IC50 130.69 µg/mL; fruit oil, IC50 196.45 µg/mL), breast cancer (MCF-7) (leaf oil, IC50 351.00 µg/mL; fruit oil, IC50 544.38 µg/mL) [57]. Oils of leaves of P. myrtoides from Brazil, rich in E-caryophyllene (30.9%), α-humulene (15.9%), and α-copaene (7.8%), displayed low cytotoxic potential against the breast adenocarcinoma (MCF-7, IC50 254.5 μg/mL) and cervical adenocarcinoma (HeLa, IC50 324.2 μg/mL) human cells [91]. Psidium guineense oil, rich in spathulenol, (80.7%), showed high cytotoxic activity against the human cells: ovarian expressing the phenotype of multiple drug resistance (NCI-ADR/RES, IC50 9.25 µg/mL), renal (786–0, GI50 2.57 µg/mL), lung (NCI-H460, GI50 4.57 µg/mL), prostate (PCO-3, GI50 9.18 µg/mL), ovarian (OVCAR-3, GI50 0.89 µg/mL), colon (HT-29, GI50 5.62 µg/mL), leukemia (K-562, GI50 5.03 µg/mL), keratinocytes (HaCaT, GI50 7.98 µg/mL), glioma (U251, GI50 9.84 µg/mL), and breast (MCF-7, GI50 7.90 µg/mL) [84].
6.8. Other Activity
Other biological activities concerning Psidium essential oils. Psidium pohlianum O. Berg (syn. Psidium salutare var. pohlianum (O. Berg) Landrum), rich in β-eudesmol (27.1%), 1,8-cineole (24.7%), α-elemol (11.8%), α-pinene (11.4%), guaiol (9.1%), and β-pinene (8.4%), showed an antinociceptive effect in mice, causing a reduction in nociception induced by formalin of 25% (dose of 100 mg/kg), 45% (dose of 200 mg/kg), and 84% (dose of 400 mg/kg), respectively. In the hot plate test, this oil increased the reaction times by 30 min (200 mg/kg) and 60 min (400 mg/kg), respectively. In the tail compression and locomotion tests, positive results were also observed [97]. Moreover, in the oil of Psidium brownianum Mart. ex DC., rich in β-eudesmol (27.1%), 1,8-cineole (24.7%), α-elemol (11.8%), α-pinene (11.4%), guaiol (9.1%), and β-pinene (8.4%), the antinociceptive effect has also been observed in the acute nociception model, induced by acetic acid at 100 and 200 mg/kg doses, where the number of abdominal contortions was reduced by 41.79%. This oil reduced paw licking time in both phases, in formalin-induced abdominal contortions, by 80.47% (100 mg/kg) and 87.59% (200 mg/kg), respectively. In the hot plate test, at a concentration of 100 and 200 mg/kg, the oil prolonged the mice’s reaction time (30 min, 68.54, and 76.16%; 60 min, 105.47, and 106.52%; 90 min, 105.57, and 96.58%, respectively). In capsaicin-induced nociception, the oil reduced the animals’ paw licking time by 45.36% and 42.26% (doses of 100 and 200 mg/kg, orally administered) after capsaicin (20 μL/paw) administration [103].
Thr leaf oil of Psidium guajava shown promise as natural insecticides on the fumigation method against Tribolium castaneum (LC50 6.1, <2 µg/L of air after 24 and 72 h treatment), Culex pipiens (LC50 > 50 µg/L) [70] and Drosophila melanogaster (LC50 327 μg/mL) [51]. Also, Psidium guajava oil showed nematicidal activity against Caenorhabditis elegans (LC50 142 μg/mL) [51] and acaricidal against Rhipicephalus microplus females on the adult immersion test, showing great efficacy (99.9%) at 12.5 mg/mL [58]. The fruit oil of Psidium guajava, rich in hexanol (13.9%), cinnamyl alcohol (10.9%), and butanol (10.7%) displayed vasorelaxant activity inhibiting the K+ and phenylephrine with EC50 of 5.52 and 6.23 mg/mL, respectively, besides spasmodic effects inhibiting the spontaneous and induced K+ contractions with EC50 of 0.84 and 0.71 mg/mL, respectively [75].
Psidium cattleyanum oil, rich in E-caryophyllene (59.6%), caryophyllene oxide (18.2%), and Z-caryophyllene (6.4%), showed low toxicity when tested in a mouse model, with oral administration (LD50 > 500 mg/Kg) [38]. Also, P. salutare oil, rich in α-pinene (12%), α-humulene (10.4%), α-copaene (7.1%), globulol (5.7%), and aromadendrene (5.1%), presented moderate inhibition for the acetylcholinesterase enzyme (44.4%) [99].
7. Conclusions
The Psidium genus essential oils present a significant chemical variability. They are composed of mono- and sesquiterpenes with acyclic (C10 and C15), p-menthane, pinane, bisabolane, germacrane, caryophyllane, cadinane, and aromadendrene skeleton-types. Geographical occurrence and seasonality can influence the chemical composition of Psidium essential oils. Also, it has exhibited a wide range of biological activities, directly influenced by its chemical variability. Although Psidium species display a broad spectrum of ethnomedicinal uses, studies on their biological activities are mostly restricted to P. guajava and P. cattleyanum species. Furthermore, a reduced number of species with known chemical composition, 18 species of 266 contained in the genus, from 110 studied samples. Thus, it is necessary to further explore the volatile content of Psidium species and their therapeutic properties. Variations in the chemical profile of the species indicate the importance of optimizing protocols for the collection, processing, and extraction of plant material.
Author Contributions
R.C.e.S., J.S.d.C., and R.O.d.F.: conceptualization, investigation, resources, writing—original draft, writing—review and editing. W.N.S., J.K.R.d.S., and J.G.S.M.: writing—review and editing. P.L.B.F.: conceptualization, investigation, resources, writing—review, editing and supervision. All authors have read and agreed to the published version of the manuscript.
Funding
The authors are grateful to the Coordenação de Aperfeiçoamento de Pessoal de Nível Superior (CAPES) for support the studies and research, and providing a scholarship to Renan Campos e Silva; and to PROPESP/Universidade Federal do Pará, Brazil.
Institutional Review Board Statement
Not applicable.
Informed Consent Statement
Not applicable.
Data Availability Statement
The data presented in this study are available in this article.
Acknowledgments
The authors are grateful to CNPq and Capes, institutions for scientific support of the Brazilian Government, and to PROPESP/Universidade Federal do Pará, Brazil. WNS and JKRS participated in this work as part of the activities of the Aromatic Plant Research Center (APRC, https://aromaticplant.org/) (accessed on 11 February 2021).
Conflicts of Interest
The authors declare no conflict of interest.
Abbreviations
| DPPH | 2,2-diphenyl-1-picrylhydrazyl |
| EO | Essential oil |
| FRAP | Ferric reducing antioxidant power |
| HD | Hydrodistillation |
| HS-SPME | HeadSpace Solid Phase Micro Extraction, |
| IC50 | Median inhibitory concentration |
| LC50 | Median lethal concentration |
| MDA | Malondialdehyde |
| MFC | Minimum Fungicide Concentration |
| MIC | Minimum inhibitory concentration |
| MMC | Minimum microbicide concentration |
| NO | Nitric oxide radical scavenging assay |
| ORAC | Oxygen radical absorbing capacity assay |
| SAFE | Solvent-assisted flavor evaporation |
| SD | Steam distillation |
| SDE | Simultaneous steam distillation-solvent extraction, |
| SE | Solvent extraction |
| SPME | Solid Phase Micro Extraction |
| TBARS | Thiobarbituric Acid Reactive Species |
| TLC | Thin Layer Chromatography |
| XO | Xanthine oxidase assay |
| TE/gEO | Trolox equivalent per gram of essential oil |
| µmol Fe+2/mg OE | Micromol of FE+2 per milligram of essential oil |
Appendix A
Table A1.
Psidium species: essential oil composition
Table A1.
Psidium species: essential oil composition
| Species | Occurrence | Plant Part/ Extraction Type | Primary Components (>5%) | Ref. |
|---|---|---|---|---|
| P. acutangulum | Boa vista-Bonfim Road, Roraima, Brazil | Leaf/stems (HD) | α-pinene (14.8%), 1,8-cineole (12.9%), and β-pinene (10.1%) | [56] |
| P. brownianum | Crato, CE, Brazil | Leaf (HD) | β-eudesmol (27.1%), 1,8-cineole (24.7%), α-elemol (11.8%), α-pinene (11.4%), guaiol (9.1%), and β-pinene (8.4%) | [103] |
| P. cattleyanum | Moorea Island, Haapiti, French Polynesia | Leaf (HD) | Profile I (caryophyllane): E-caryophyllene (31.5%) | [36] |
| P. cattleyanum | Arizona, USA | Leaf (SD) | Profile II (caryophyllane): E-caryophyllene (59.9%) and caryophyllene oxide (5.4%) | [37] |
| P. cattleyanum | Pelotas, RS, Brazil | Leaf (SD) | Profile III (caryophyllane): E-caryophyllene (59.6%), caryophyllene oxide (18.2%), and Z-caryophyllene (6.4%) | [38] |
| P. cattleyanum | Honolulu, Hawaii, USA | Leaf (HD) | Profile IV (caryophyllane/pinane/acyclic): E-caryophyllene (59.0%), α-pinene (13.2%), and myrcene (11.3%) | [39] |
| P. cattleyanum | Alegre, ES, Brazil | Leaf (HD) | Profile V (caryophyllane/pinane): E-caryophyllene (23.4%), caryophyllene oxide (11.5%), and α-pinene (11.3%) | [22] |
| P. cattleyanum | El-Behera, Egypt | Leaf (HD) | Profile VI (caryophyllane/pinane/acyclic): E-caryophyllene (28.8%), α-pinene (28.0%), myrcene (13.4%), and trans-β-ocimene (5.3%) | [40] |
| P. cattleyanum | Pelotas, RS, Brazil | Fruit (HD) | Profile VII (caryophyllane/eudesmane/aromadendrene): E-caryophyllene (22.5%), neo-intermedeol (14.2%), β-selinene (10.1%), trans-β-guaiene (9.1%), and α-humulene (7.5%) | [41] |
| P. cattleyanum | Pinar del Río, Cuba | Leaf (HD) | Profile VIII (cadinane/caryophyllane): epi-α-muurolol (21.9%), α-cadinol (20.0%), epi-α-cadinol (16.7%), caryophyllene oxide (13.6%), juniper camphor (9.4%), and 14-hydroxy-9-epi-E-caryophyllene (5.7%) | [42] |
| P. cattleyanum | Atlantic Forest, Brazil | Leaf (HD) | Profile IX (p-menthane/caryophyllane/eremophilane/acyclic): α-thujene (25.2%), 1,8-cineole (16.4%), E-caryophyllene (10.2%), valencene (8.0%), and myrcene (5.0%) | [43] |
| P. cattleyanum | Limeira, SP, Brazil | Leaf (HD) | Profile X (eudesmane/caryophyllane/p-menthane/aromadendrene) viridiflorol (17.9%), E-caryophyllene (11.8%), 1,8-cineole (10.8%), β-selinene (8.6%), α-humulene (6.0%), and aromadendrene (5.0%) | [44] |
| P. cymosum | Pinar del Rio, Cuba | Leaf (HD) | epi-α-cadinol (46.6%), 1,8-cineole (15.0%), α-muurolol (11.8%), α-terpineol (8.4%), and α-pinene (5.7%) | [99] |
| P. friedrichsthalianum | San Jose, Costa Rica | Leaf (SD) | Profile I (caryophyllane/elemane/pinane/germacrane/cadinane): E-caryophyllene (36.8%), β-elemene (12.86%), α-pinene (10.6%), bicyclogermacrene (8.3%), β-pinene (8.3%), and α-ylangene (7.8%) | [37] |
| P. friedrichsthalianum | Alegre, ES, Brazil | Leaf (HD) | Profile II (caryophyllane/cadinane): E-caryophyllene (24.6%), caryophyllene oxide (10.6%), α-humulene (9.2%), and α-copaene (5.9%) | [22] |
| P. gaudichaudianum | Alegre, ES, Brazil | Leaf (HD) | E-caryophyllene (17.0%), limonene (16.2%), α-pinene (8.4%), caryophyllene oxide (7.5%), and α-humulene (5.8%) | [22] |
| P. guajava | Saint-Denis, France | Fruit (HD) | Profile I (caryophyllane/acyclic/aromadendrene): E-caryophyllene (24.6%), nerolidol (18.0%), and caryophyllene oxide (5.1%) | [49] |
| P. guajava | Sindh Province, Pakistan | Leaf (HD) | Profile I (caryophyllane/acyclic/aromadendrene): E-caryophyllene (20.3%), globulol (8.2%), and E-nerolidol (7.7%) | [50] |
| P. guajava | Kathmandu, Nepal | Leaf (HD) | Profile I (caryophyllane/acyclic/aromadendrene): E-nerolidol (35.6%), E-caryophyllene (15.8%), (2Z,6E)-farnesol (6.7%), and ledol (5.5%) | [51] |
| P. guajava | Guira de Melena, Havana, Cuba | Leaf (HD) | Profile II (caryophyllane/acyclic/eudesmane/aromadendrene): E-caryophyllene (21.6%), E-nerolidol (l9.2%), selin-ll-en-4α-ol (13.4%), viridiflorene (8.8%), α-selinene (8.3%), caryophyllene oxide (8.2%), and cedr-8(15)-en-9α-ol (7.9%) | [52] |
| P. guajava | Shijiazhuang, Hebei, China | Leaf (HD) | Profile III (caryophyllane/aromadendrene): E-caryophyllene (27.4%) and γ-gurjunene (13.5%) | [53] |
| P. guajava | Anguo, Hebei, China | Leaf (HD) | Profile III (caryophyllane/aromadendrene): E-caryophyllene (24.4%) and γ-gurjunene (12.7%) | [53] |
| P. guajava | Hangzhou, Zhejiang, China | Leaf (HD) | Profile III (caryophyllane/aromadendrene): E-caryophyllene (31.4%) and γ-gurjunene (14.0%), | [53] |
| P. guajava | Chenchou, Tunisia | Leaf (HD) | Profile III (caryophyllane/aromadendrene): viridiflorol (36.4%) and E-caryophyllene (5.9%) | [54] |
| P. guajava | Panyu, Guangdong, China | Leaf (HD) | Profile IV (caryophyllane/cadinane/aromadendrene): E-caryophyllene (25.7%), calamenene (7.4%), γ-gurjunene (9.5%), and epi-α-cadinol (6.4%) | [53] |
| P. guajava | Meizhou, Guangdong, China | Leaf (HD) | Profile IV (caryophyllane/cadinane/aromadendrene): E-caryophyllene (25.0%), γ-gurjunene (9.5%), epi-α-cadinol (6.1%), and calamenene (7.8%) | [53] |
| P. guajava | Taipei, Taiwan | Leaf (HD) | Profile IV (caryophyllane/cadinane/aromadendrene): E-caryophyllene (17.2), γ-gurjunene (9.3%), epi-α-cadinol (10.0%), and calamenene (6.7%) | [53] |
| P. guajava | Tainan, Taiwan | Leaf (HD) | Profile IV (caryophyllane/cadinane/aromadendrene): E-caryophyllene (21.4%), γ-gurjunene (9.2%), epi-α-cadinol (7.8%), and calamenene (6.6%) | [53] |
| P. guajava | Jiangmen, Guangdong, China | Leaf (HD) | Profile IV (caryophyllane/cadinane/aromadendrene): E-caryophyllene (25.0%), calamenene (7.1%), γ-gurjunene (9.5%), and epi-α-cadinol (6.0%) | [53] |
| P. guajava | Alegre, ES, Brazil | Leaf (HD) | Profile V (caryophyllane/bisabolane/p-menthane/acyclic): E-caryophyllene (7.6%), β-bisabolol (19.5%), limonene (17.8%), 1,8-cineole (5.1%), and E-nerolidol (6.9%) | [55] |
| P. guajava | Alegre, ES, Brazil | Leaf (HD) | Profile V (caryophyllane/bisabolane/p-menthane/acyclic): E-caryophyllene (9.4%), β-bisabolol (15.1%), limonene (6.5%), α-humulene (16.5%), E-nerolidol (7.4%), β-bisabolene (6.3%), and humulene epoxide II (6.0%) | [55] |
| P. guajava | Belém, PA, Brazil | Leaf/stems (HD) | Profile V (caryophyllane/bisabolane/p-menthane/acyclic): α-pinene (23.9%), 1,8-cineole (21.4%), β-bisabolol (9.2%), E-caryophyllene (5.2%), and E-nerolidol (5.0%) | [56] |
| P. guajava | Bozhou, Anhui, China | Leaf (HD) | Profile VI (caryophyllane/bisabolane/aromadendrene): E-caryophyllene (26.4%), β-bisabolene (5.23%), and γ-gurjunene (15.2%) | [53] |
| P. guajava | Cairo, Egypt | Leaf (HD) | Profile VII (caryophyllane/eudesmane/p-menthane/cadinane): E-caryophyllene (16.9%), selin-7(11)-en-4-α-ol (8.3%), α-selinene (6.5%), β-selinene (6.3%), 1,8-cineole (5.4%), and δ-cadinene (5.3%) | [57] |
| P. guajava | Alegre, ES, Brazil | Leaf (HD) | Profile VIII (caryophyllane/eudesmane/aromadendrene): E-caryophyllene (26.6%), selin-11-en-4α-ol (6.7%), caryophyllene oxide (15.5%), aromadendrene epoxide (8.1%), β-selinene (7.6%), and α-selinene (6.5%) | [55] |
| P. guajava | Alegre, ES, Brazil | Leaf (HD) | Profile IX (caryophyllane/eudesmane/p-menthane/aromadendrene): E-caryophyllene (19.4%), selin-11-en-4α-ol (7.4%), caryophyllene oxide (16.6%), aromadendrene epoxide (9.2%), 1,8-cineole (8.4%), and β-selinene (5.6%) | [55] |
| P. guajava | Alegre, ES, Brazil | Leaf (HD) | Profile X (caryophyllane/eudesmane/p-menthane/aromadendrene/cadinane): E-caryophyllene (10.2%), selin-11-en-4α-ol (16.7%), caryophyllene oxide (8.0%), aromadendrene epoxide (9.5%), 1,8-cineole (7.6%), epi-α-cadinol (7.9%), β-selinene (8.2%), epi-cubenol (6.7%), and α-selinene (6.3%) | [55] |
| P. guajava | Moorea Island, Taravao, French Polynesia | Leaf (HD) | Profile X (caryophyllane/eudesmane/p-menthane/bisabolane/aromadendrene): E-caryophyllene (18.3%), selin-11-en 4α-ol (6.9%), 1,8-cineole (6.2%), and E-α-bisabolene (5.5%) | [36] |
| P. guajava | Parnaíba, PI, Brazil | Leaf (SD) | Profile X (caryophyllane/eudesmane/p-menthane/bisabolane): E-caryophyllene (39.0%), β-selinene (9.7%), α-selinene (9.7%), 1,8-cineole (6.9%), and aromadendrene (6.3%) | [58] |
| P. guajava | Cairo, Egypt | Fruit (SE) | Profile X (caryophyllane/eudesmane/p-menthane/bisabolane): E−caryophyllene (12.8%), α−selinene (8.4%), β−selinene (8.3%), and 3Z-hexenol (6.7%) | [59] |
| P. guajava | Chang-hua, Taiwan | Leaf (SD) | Profile XI (caryophyllane/aromadendrene/p-menthane): E-caryophyllene (27.7%), α-pinene (14.7%), 1,8-cineole (12.4%), and aromadendrene (6.6%) | [60] |
| P. guajava | Cairo, Egypt | Fruit (HD) | Profile XI (caryophyllane/eudesmane/p-menthane): E-caryophyllene (17.6%), limonene (11.0%), α-selinene (6.6%), and β-selinene (6.4%) | [57] |
| P. guajava | Guira de Melena, Havana, Cuba | Fruit (SDE) | Profile XI (caryophyllane/p-menthane/others): E-caryophyllene (12.2%), limonene (10.3%), hexadecanoic acid (8.7%), and 2E-hexenal (5.2%) | [61] |
| P. guajava | Mauritius | Leaf (HD) | Profile XI (caryophyllane/p-menthane): caryophyllene oxide (15.4%) and limonene (11.6%) | [62] |
| P. guajava | Lucknow, Uttar Pradesh, India | senescent leaves (HD) | Profile XI (caryophyllane/p-menthane): limonene (29.1%), E-caryophyllene (15.7%), caryophyllene oxide (8.8%), and caryophylla-4(12),8(13)-dien-5β-ol (6.5%) | [63] |
| P. guajava | Jeju Island, South Korea | Leaf (SAFE) | Profile XI (caryophyllane/p-menthane): α-pinene (12.3%) and E-caryophyllene 6.8%) | [64] |
| P. guajava | Lagos, Nigeria | Leaf (HD) | Profile XI (caryophyllane/p-menthane): limonene (42.1%) and E-caryophyllen (21.3%) | [65] |
| P. guajava | KwaZulu, Natal, South Africa | Leaf (HD)a white fruit | Profile XII (caryophyllane/acyclic/cadinane): caryophyllene oxide (14.0%), E-caryophyllene (13.9%), 1H-cycloprop[e]azulene (11.7%), adamantane (9.5%), E-nerolidol (6.8%), and α-cubebene (6.7%) | [66] |
| P. guajava | Rio de Janeiro, RJ, Brazil | Leaf (HD) | Profile XIII (caryophyllane/eudesmane/cadinane): α-humulene (15.0%), E-caryophyllene (12.0%), β-selinene (11.0%), α-selinene (10.0%), cedr-8-(15)-en-9-α-ol (7.6%), and α-muurolol (5.6%) | [67] |
| P. guajava | Chenchou, Tunisia | Stems (HD) | Profile XIV (caryophyllane/germacrane/cadinane): germacrene D (16.8%), valerianol (10.6%), caryophyllene oxide (5.1%), and α-cadinol (5.0%) | [54] |
| P. guajava | Rio de Janeiro, RJ, Brazil | Leaf (HD) | Profile XIV (caryophyllane/eudesmane/cadinane): α-humulene (15.0%), E-caryophyllene (12.0%), α-selinene (10.0%), cedr-8(15)-en-9-α-ol (7.6%), and epi-α-muurolol (5.6%) | [104] |
| P. guajava | Rio de Janeiro, RJ, Brazil | Leaf (HD) | Profile XIV (caryophyllane/eudesmane/cadinane): caryophylla-4(12),8(13)-dien-5-β-ol (15.0%), α-humulene (13.0%), α-muurolol (9.6%), cedr-8-(15)-en-9-α-ol (7.4%), E-caryophyllene (7.2%), β-selinene (6.7%), humulene epoxide II (6.6%), and caryophyllene oxide (5.0%) | [67] |
| P. guajava | Rio de Janeiro, RJ, Brazil | Leaf (HD) | Profile XV (caryophyllane/eudesmane): α-humulene (37.0%), E-caryophyllene (24.0%), β-selinene (14.0%), and α-selinene (12.0%) | [67] |
| P. guajava | Nanning, China | Leaf (SD) | Profile XVI (p-menthane/aromadendrene): α-pinene (37.8%), 1,8-cineole (18.9%), globulol (6.8%), and cedrenol (5.6%) | [69] |
| P. guajava | Rio de Janeiro, RJ, Brazil | Leaf (HD) | Profile XVII (p-menthane/acyclic/caryophyllane/aromadendrene): α-pinene (25.5%), E-nerolidol (16.7%), E-caryophyllene (15.7%), δ-3-carene (8.8%), and cedran-8-ol (8.8%) | [70] |
| P. guajava | Alsharquia, Oman | Leaf (HD) | Profile XVII (p-menthane/acyclic/caryophyllane/aromadendrene): E-caryophyllene (33.5%), viridiflorene (13.0%), farnesene (11.7%), and limonene (9.8%) | [71] |
| P. guajava | Macas, Ecuador | Leaf (HD) | Profile XVIII (p-menthane): limonene (33.3%), α-pinene (29.5%), and carvotacetone acetate (8.2%) | [72] |
| P. guajava | El-Behera, Egypt | Leaf (HD) | Profile XVIII (p-menthane): limonene (54.7%) and 1, 8-cineole (32.1%) | [40] |
| P. guajava | Guira de Melena, Havana, Cuba | Fruit (SDE) | Profile XIX (p-menthane/others): limonene (8.3%), and 3-phenylpropyl acetate (6.2%) | [61] |
| P. guajava | Mauritius | Leaf (HD) | Profile XX (bisabolane/caryophyllane/p-menthane/cadinane): santalol (50.6%), caryophyllene oxide (15.4%), limonene (11.6%), and cycloisosativene (6.1%) | [73] |
| P. guajava | Monteverde, Costa Rica | Leaf (SDE) | Profile XXI (others/p-menthane/aromadendrene/acyclic): 2E-hexenal (28.4%), benzaldehyde (16.5%), 1,8-cineole (15.9%), globulol (10.3%), E-nerolidol (6.9%) | [74] |
| P. guajava | Saint-Denis, France | Fruit (HS-SPME) | Profile XXII (others): hexanal (65.9%), γ-butyrolactone (7.6%), 2E-hexenal (7.4%) | [49] |
| P. guajava | Guira de Melena, Havana, Cuba | Fruit (SDE) | Profile XXIII (others): 3Z-hexenyl acetate (5.0%) | [61] |
| P. guajava | Villahermosa, Mexico | Leaf (SD) | Profile XXIV (bisabolane/caryophyllane): β-bisabolene (19.2%), β-sesquiphellandrene (14.8%), E-caryophyllene (6.0%), E-γ-bisabolene (5.3%), and α-curcumene (5.1%) | [37] |
| P. guajava | Guira de Melena, Havana, Cuba | Fruit (SDE) | Profile XXV (others): E-cinnamyl acetate (5.6%) | [61] |
| P. guajava | Mimoso do Sul, ES, Brazil | Leaf (HD) | Profile XXVI: (caryophyllane/bisabolane/acyclic/p-menthane/cadinane/eudesmane/aromadendrene): E-caryophyllene (5.1–30.0%), α-humulene (2.0–24.4%), 14-hydroxy-epi-E-caryophyllene (1.3–19.3%), β-bisabolol (1.2–20.1%), E-nerolidol (0.5–19.9%), 14-hydroxy-epi-E-caryophyllene (0–14.7%), limonene (0.2–11.7%), γ-muurolene (1.5–6.4%), α-selinene (0.4–12.4%), β-selinene (0.5–13.3%), β-bisabolene (3.1–9.7%), hinesol (0.9–10.0%), epi-α-cadinol (0–6.4%), α-bisabolol (1.0–5.9%), selina-6-en-4-ol (0.6–9.1%), aromadendrene (0.3–7.4%), and 1,8-cineole (0.7–5.3%) | [24] |
| P. guajava | Linhares, ES, Brazil | Leaf (HD) | Profile XXVI (caryophyllane/bisabolane/acyclic/p-menthane/cadinane/eudesmane/aromadendrene): E-caryophyllene (5.1–32.3%), caryophyllene oxide (1.8–20.9%), α-humulene (1.7–19.9%), β-bisabolol (2.2–19.4%), E-nerolidol (2.1–13.7%), hinesol (3.2–12.4%), α-selinene (0.5–11.2%), β-selinene (0.5–12.8%), epi-α-cadinol (1.1–12.0%), limonene (0.1–11.0%), β-bisabolene (2.3–9.7%), α-bisabolol (0.5–7.3%), epi-β-cubenol (2.2.–7.1%), humulene epoxide (0.6–6.3%), selina-6-en-4-ol (3.3–6.1%), aromadendrene (3.1–5.6%), γ-muurolene (1.7–5.4%), and δ-cadinene (0.5–5.1%) | [24] |
| P. guajava | Abbottabad, Pakistan | Fruit (SD) | Profile XXVII (others): hexanol (13.9%), cinnamyl alcohol (10.9%), butanol (10.7%), 3-methyl glutaric anhydride (9.5%), hexene (7.7%), butanoic acid methyl ester (7.2%), and 3-hexenal (6.6%) | [75] |
| P. guajava | KwaZulu, Natal, South Africa | Leaf (HD)a pink fruit | Profile XXVIII (others/caryophyllane): tetracyclo[6,3,2,0(2,5).0(1,8)] tridecan-9-ol,4,4-dimethyl (13.0%), E-caryophyllene (9.6%), 1H-cycloprop[e]azulene (8.1%) | [66] |
| P. guineense | Santarém, PA, Brazil | Leaf (HD) | Profile I (p-menthane): limonene (47.4%) | [21] |
| P. guineense | Curuçá, PA, Brazil | Leaf (HD) | Profile II (p-menthane/pinane): limonene (30.7%) and α-pinene (26.1%) | [21] |
| P. guineense | Curuçá, PA, Brazil | Leaf (HD) | Profile II (p-menthane/pinane): limonene (30.4%) and α-pinene (17.7%) | [21] |
| P. guineense | Curuçá, PA, Brazil | Leaf (HD) | Profile II (p-menthane/pinane): limonene (37.2%) and α-pinene (34.0%) | [21] |
| P. guineense | Curuçá, PA, Brazil | Leaf (HD) | Profile III (p-menthane/pinane): limonene (26.5%), α-pinene (13.7%), and α-copaene (7.2%) | [21] |
| P. guineense | Monte Alegre, PA, Brazil | Leaf (HD) | Profile IV (p-menthane/bisabolane): limonene (9.6%) and epi-β-bisabolol (6.5%) | [21] |
| P. guineense | Santarém, PA, Brazil | Leaf (HD) | Profile V (p-menthane/bisabolane): limonene (23.4%), epi-β-Bisabolol (9.5%), and β-bisabolene (6.4%), | [21] |
| P. guineense | Crato, CE, Brazil | Leaf (SD) | Profile VI (p-menthane/germacrane/pinane/elemane): 1,8-cineole (40.5%), β-eudesmol (19.5%), α-pinene (13.9%), β-pinene (8.6%), elemol (7.7%), and γ-eudesmol (5.2%) | [83] |
| P. guineense | Curuçá, PA, Brazil | Leaf (HD) | Profile VII (pinane/cadinane/caryophyllane): α-pinene (35.6%), α-copaene (8.1%), E-caryophyllene (6.1%), and muurola-4,10(14)-dien-1-β-ol (5.8%) | [21] |
| P. guineense | Santarém, PA, Brazil | Leaf (HD) | Profile VIII (pinane/p-menthane/caryophyllane): α-pinene (26.4%), limonene (14.0%), and E-caryophyllene (5.2%) | [21] |
| P. guineense | Monte Alegre, PA, Brazil | Leaf (HD) | Profile IX (bisabolane): β-bisabolene (8.9%) and α-curcumene (5.0%) | [21] |
| P. guineense | Ocozocoautla, Chiapas, Mexico | Leaf (SD) | Profile X (bisabolane/pinane/acyclic/p-menthane): β-bisabolene (13.2%), α-pinene (12.5%), Z-nerolidol (5.5%), β-sesquiphellandrene (5.2%), and limonene (5.1%) | [37] |
| P. guineense | Ponta de Pedras, PA, Brazil | Leaf (HD) | Profile XI (caryophyllane/p-menthane): E-caryophyllene (24.0%) and limonene (5.4%) | [21] |
| P. guineense | Boa Vista do Alto Alegre, RR, Brazil | Leaf/stems (HD) | Profile XII (bisabolane/p-menthane): β-bisabolol (17.4%), limonene (6.8%), and epi-α-bisabolol (6.7%) | [56] |
| P. guineense | Santarém, PA, Brazil | Leaf (HD) | Profile XIII (bisabolane): epi-β-bisabolol (18.1%) and β-bisabolol (5.6%) | [21] |
| P. guineense | Dourados, MS, Brazil | Leaf (HD) | Profile XIV (germacrane): spathulenol (80.7%) | [84] |
| P. guineense | La Palma, Cundinamarca, Colombia | Fruits (SDE) | Profile XV (caryophyllane/eudesmane/others): E-caryophyllene (8.6%), butanol (7.4%), ethyl butyrate (7.4%), and selin-11-en-4α-ol (5.9%) | [85] |
| P. guineense | La Palma, Cundinamarca, Colombia | Fruits (HS-SPME) | Profile XVI (others): ethyl butyrate (30.3%) and ethyl hexanoate (23.8%) | [85] |
| P. laruotteanum | Brasilia, Brazil | Leaves (HD) | Profile I (p-menthane/pinane): p-cymene (24.8%), 1,8-cineole (19.2%), α-pinene (13.4%), and terpinen-4-ol (6.3%) | [86] |
| P. laruotteanum | Brasilia, Brazil | Leaves (HD) | Profile II (p-menthane/pinane): p-cymene (19.4%), γ-terpinene (14.0%), α-pinene (11.6%), limonene (10.2%), 1,8-cineole (6.9%), terpinen-4-ol (5.8%), terpinolene (5.1%) | [86] |
| P. laruotteanum | Brasilia, Brazil | Leaves (HD) | Profile III (p-menthane/pinane): p-cymene (34.8%), 1,8-cineole (12.5%), α-pinene (9.2%), limonene (7.9%), γ-terpinene (6.9%), and α-terpineol (6.0%) | [86] |
| P. montanum | West region, Cuba | Leaf (HD) | Profile p-menthane/pinane: 1,8-cineole (46.9%), α-terpineol (9.2%), and α-pinene (8.9%) | [101] |
| P. myrsinites | Anápolis, GO, Brazil | Leaf (HD) | Profile I (caryophyllane): E-caryophyllene (31.0%), α-humulene (12.3%), and caryophyllene oxide (7.3%) | [88] |
| P. myrsinites | Chapada das Mesas National Park, MA, Brazil | Leaf (HD) | Profile II (caryophyllane): E-caryophyllene (26.1%), 𝛼-humulene (23.9%), caryophyllene oxide (10.1%), humulene epoxide II (6.4%), and Caryophylla-4(12),8(13)-dien- 5-β-ol (5.7%) | [89] |
| P. myrsinites | Brasilia, Brazil | Leaf/flower (HD) | Profile III (caryophyllane/acyclic): caryophyllene oxide (26.1%), humulene epoxide II (8.8%), E-caryophyllene (7.4%), Z-caryophyllene (5.4%), and myrcene (5.4%) | [90] |
| P. myrtoides | Brasilia, Brazil | Leaf (HD) | Profile I (caryophyllane/acyclic) E-caryophyllene (22.4%), caryophyllene oxide (19.7%), α-humulene (8.4%), and myrcene (5.4%) | [23] |
| P. myrtoides | Chapada, do Araripe, CE, Brazil | Leaf (HD) b | Profile II (p-menthane/germacrane/pinane/elemane) 1,8-cineole (29.5–48.1%), α-eudesmol (11.7–20.0%), α-pinene (5.0–12.8%), elemol (3.3–6.7%), and γ-eudesmol (2.5–5.8%) | [93] |
| P. myrtoides | Rio verde, GO, Brazil | Leaf (HD) | Profile III (caryophyllane/cadinane/bisabolane): E-caryophyllene (30.9%), α-humulene (15.9%), α-copaene (7.8%), caryophyllene oxide (7.3%), and α-bisabolol (7.3%) | [91] |
| P. myrtoides | Alegre, ES, Brazil | Leaf (HD) | Profile III (caryophyllane/cadinane/bisabolane): E-caryophyllene (19.4%), α-bisabolol (10.4%), α-humulene (10.4%), α-copaene (6.3%), and caryophyllene oxide (5.3%) | [22] |
| P. parvifolium | Pinar del Río, Cuba | Leaf (HD) | viridiflorol (31.9%), α-terpineol (8.2%), cubenol (7.3%), borneol (7.2%), epi-α-muurolol (6.6%), and trans-sabinol (5.5%) | [42] |
| P. rotundatum | Pinar del Rio, Cuba | Leaf/Stalks (SDE) | 1,8-cineole (28.0%), α-pinene (18.3%), α-terpineol (9.2%), E-nerolidol (8.7%), and linalool (5.1%) | [102] |
| P. salutare | Punta Espinillo, Montevideo, Uruguay | Leaf/Twig (SD) | Profile I (p-menthane/acyclic): 1,8-cineole (31.1%), linalool (11.5%), and α-terpineol (7.0%) | [96] |
| P. salutare | Punta Espinillo, Montevideo, Uruguay | Leaf/Twig (SD) | Profile I (p-menthane/acyclic): 1,8-cineole (36.6%), linalool (12.4%), and α-terpineol (6.7%) | [96] |
| P. salutare | Crato, CE, Brazil | Leaf (SD) | Profile II (p-menthane/germacrane): 1,8-cineole (63.3%), p-cymene (14.1%), α-terpinyl acetate (7.2%), and β-eudesmol (8.8%) | [83,97] |
| P. salutare | Chapada do Araripe, CE, Brazil | Leaf (HD) b | Profile III (p-menthane/cadinane/acyclic): p-cymene (5.1–17.8%), terpinolene (6.9–17.0%), γ-terpinene (10.3–17.1%), epi-α-cadinol (10.4–12.8%), linalool (4.7–7.3%), and δ-cadinene (3.8–5.3%) | [25] |
| P. salutare | Pinar del Rio, Cuba | Leaf (HD) | Profile IV (caryophyllane/bisabolane/eudesmane/pinane): caryophyllene oxide (39.8%), ar-turmerone (17.3%), β-gurjunene (6.7%), β-selinene (6.0%), and α-pinene (5.6%) | [98] |
| P. sartorianum | Pinar del Rio, Cuba | Leaf (HD) | Profile I (p-menthane/pinane): limonene (43.0%), α-pinene (39.5%), and β-pinene (5.6%) | [99] |
| P. sartorianum | Guadalajara, Mexico | Leaf (SD) | Profile II (pinane/caryophyllane/p-menthane/acyclic): α-pinene (16.7%), E-caryophyllene (12.4%), α-phellandrene (9.8%), and Z-nerolidol (5.2%) | [37] |
| P. striatulum | Boa Vista, RR, Brazil | Fruits (HD) | Profile I (pinane/caryophyllane/cadinane/aromadendrene): α-pinene (12%), α-humulene (10.4%), α-copaene (7.1%), globulol (5.7%), and aromadendrene (5.1%) | [100] |
| P. striatulum | Carolina, MA, Brazil | Leaf/stems (HD) | Profile II (caryophyllane/eudesmane) E-caryophyllene (28.6%), α-selinene (7.7%), caryophyllene oxide (7.6%), β-selinene (7.4%), selin-11-en-4-α-ol (6.0%) | [56] |
| P. rufum | Rio de Janeiro, RJ, Brazil | Leaf (HD) | E-caryophyllene (21.0%), α-pinene (14.0%), γ-eudesmol (8.5%), 1,8-cineole (8.4%), α-eudesmol (8.2%), and β-eudesmol (6.8%) | [104] |
a = doubtful analysis, unknown RI values, b = seasonal study, SD = steam distillation, HD = hydrodistillation, SPME = solid phase micro extraction, HS-SPME = headspace—solid phase micro extraction, SDE = simultaneous steam distillation-solvent extraction, SAFE = solvent-assisted flavor evaporation, SE = solvent extraction.
Appendix B
Table A2.
Species of Psidium: essential oil biological activity
Table A2.
Species of Psidium: essential oil biological activity
| Species | Occurrence | Plant Part/ Extraction Type | Primary Components (>5%) | Essential Oil Bioactivity | Ref. |
|---|---|---|---|---|---|
| P. brownianum | Crato, CE, Brazil | Leaf (HD) | β-eudesmol (27.1%), 1,8-cineole (24.7%), α-elemol (11.8%), α-pinene (11.4%), guaiol (9.1%), and β-pinene (8.4%) | Antinociceptive effect (doses 100 and 200 mg/kg) | [103] |
| P. cattleyanum | Pelotas, RS, Brazil | Leaf (SD) | E-caryophyllene (59.6%), caryophyllene oxide (18.2%), and Z-caryophyllene (6.4%) | Antioxidant in vitro, DPPH assay (inactive at 10–500 mg/mL); Antioxidant in vitro, ABTS assay (inactive at 10–500 mg/mL); Antioxidant in vitro, linoleic acid oxidation assay (IC50 56.41 μg/mL) Toxicity, mouse model oral administration (LD50 > 500mg/Kg) Antifungal, broth microdilution method (Candida albicans, MIC 166.7 µg/mL; Candida lipolytica, MIC 125 µg/mL; Candida guilhermondii, MIC 125 µg/mL; Candida parapsilosis, MIC 104.2 µg/mL; Trichosporon asahii, MIC 41.76 µg/mL) | [38] |
| P. cattleyanum | Alegre, ES, Brazil | Leaf (HD) | E-caryophyllene (23.4%), caryophyllene oxide (11.5%), and α-pinene (11.3%) | Phytotoxic, dose 3000 µg/mL (Lactuca sativa, Germination inhibition 74.6%, Germination Speed Index 3.4 mm; Sorghum bicolor, Germination inhibition 92.6%, Germination Speed Index, 6.9 mm) | [22] |
| P. cattleyanum | El-Behera, Egypt | Leaf (HD) | E-caryophyllene (28.8%), α-pinene (28.0%), myrcene (13.4%), and trans-β-ocimene (5.3%) | Antibacterial, disk diffusion method (Neisseria gonorrhoeae, MIC 13.01 µg/mL) | [40] |
| P. cattleyanum | Pelotas, RS, Brazil | Fruit (HD) | E-caryophyllene (22.5%), neo-intermedeol (14.2%), β-selinene (10.1%), trans-β-guaiene (9.1%), and α-humulene (7.5%) | Antioxidant, DPPH assay on TLC plate (1:250 dilution) | [41] |
| P. cattleyanum | Limeira, SP, Brazil | Leaf (HD) | Viridiflorol (17.9%), E-caryophyllene (11.8%), 1,8-cineole (10.8%), β-selinene (8.6%), α-humulene (6.0%), and aromadendrene (5.0%) | Antibacterial, broth microdilution assay (Porphyromonas gingivalis, MIC 20 µg/mL; Prevotella nigrescens, MIC 62.5 µg/mL; Fusobacterium nucleatum, MIC 12.5 µg/mL; Bacteroides fragilis, MIC 12.5 µg/mL; Actinomyces naeslundii, MIC 50 µg/mL; Peptostreptococcus anaerobius, MIC 62.5 µg/mL; Aggregatibacter actinomycetemcomitans, MIC 6.25 µg/mL) | [44] |
| P. friedrichsthalianum | Alegre, ES, Brazil | Leaf (HD) | E-caryophyllene (24.6%), caryophyllene oxide (10.6%), α-humulene (9.2%), α-copaene (5.9%) | Phytotoxic, dose 375 µg/mL (Lactuca sativa, Germination inhibition 92.8%, Germination Speed Index 5.7 mm; Sorghum bicolor, Germination inhibition 91.7%, Germination Speed Index, 8.4 mm) | [22] |
| P. gaudichaudianum | Alegre, ES, Brazil | Leaf (HD) | E-caryophyllene (17.0%), limonene (16.2%), α-pinene (8.4%), caryophyllene oxide (7.5%), and α-humulene (5.8%) | Phytotoxic, dose 1500 µg/mL (Lactuca sativa, Germination inhibition 90.7%, Germination Speed Index 5.2 mm; Sorghum bicolor, Germination inhibition 91.1%, Germination Speed Index, 8.1 mm) | [22] |
| P. guajava | Mauritius | Leaf (HD) | Caryophyllene oxide (15.4%) and limonene (11.6%) | Antioxidant, DPPH assay (IC50 5.19 µg/mL); Antioxidant, ABTS assay (IC50 3.09 µg/mL); Antioxidant, XO assay (IC50 2.51 µg/mL); Antioxidant, OH assay (IC50 1.90 µg/mL); Antioxidant, NO assay (IC50 2.71 µg/mL); Antioxidant, ORAC assay (0.275 TE/gEO); Antioxidant, FRAP assay (44.41 µmol Fe+2/mg OE); | [62] |
| P. guajava | Mauritius | Leaf (HD) | Santalol (50.6%), caryophyllene oxide (15.4%), limonene (11.6%), and cycloisosativene (6.1%) | Antibacterial, disc diffusion assay (Enterococcus faecalis, 16.5 mm; Escherichia coli, 19.4 mm, Methicillin Resistant Staphylococcus aureus, 7.6 mm; Pseudomonas aeruginosa, 8.0 mm; Staphylococcus aureus, 18.6 mm; Staphylococcus epidermidis, 18.2 mm) | [73] |
| P. guajava | Macas, Ecuador | Leaf (HD) | Limonene (33.3%), α-pinene (29.5%), and carvotacetone acetate (8.2%) | Antifungal, disk diffusion assay (Candida albicans, MIC 0.14 mg/mL; Rhodotorula glutinis, MIC 0.09 mg/mL; Schizosaccharomyces pombe, MIC 0.09 mg/mL; Saccharomyces cerevisiae, MIC 0.06 mg/mL; Yarrowia lypolitica, MIC 0.23 mg/mL) | [72] |
| P. guajava | Bozhou, Anhui, China | Leaf (HD) | E-caryophyllene (26.4%), β-bisabolene (5.23%), and γ-gurjunene (15.2%) | Antioxidant activity: DPPH assay (IC50 23.39 mg/mL); ABTS assay (IC50 18.34 mg/mL); FRAP assay (6.57 mmol Vc/g DM) Antimicrobial, disc diffusion assay (Escherichia coli, 9.24 mm; Alcaligenes faecalis, 11.46 mm; Bacillus aryabhattai, 18.18 mm; Arthrobacter creatinolyticus, 11.35 mm; Bacillus megaterium, 19.18 mm; Bacillus subtilis, 17.69 mm; Saccharomyces cerevisiae, 18.76 mm; Rhodotorula sp., 19.35 mm) | [53] |
| P. guajava | Panyu, Guangdong, China | Leaf (HD) | E-caryophyllene (25.7%), calamenene (7.4%), γ-gurjunene (9.5%%), and epi-α-cadinol (6.4%) | Antioxidant activity: DPPH assay (IC50 18.52 mg/mL); ABTS assay (IC50 13.12 mg/mL); FRAP assay (9.13 mmol Vc/g DM) Antimicrobial, disc diffusion assay (Escherichia coli, 10.54 mm; Alcaligenes faecalis, 16.54 mm; Bacillus aryabhattai, 23.15 mm; Arthrobacter creatinolyticus, 15.27 mm; Bacillus megaterium, 22.98 mm; Bacillus subtilis, 19.34 mm; Saccharomyces cerevisiae, 20.13 mm; Rhodotorula sp., 26.36 mm) | [53] |
| P. guajava | Jiangmen, Guangdong, China | Leaf (HD) | E-caryophyllene (25.0%), calamenene (7.1%), γ-gurjunene (9.5%), and epi-α-cadinol (6.0%) | Antioxidant activity: DPPH assay (IC50 19.42 mg/mL); ABTS assay (IC50 15.31 mg/mL); FRAP assay (7.68 mmol Vc/g DM) Antimicrobial, disc diffusion assay (Escherichia coli, 11.23 mm; Alcaligenes faecalis, 14.14 mm; Bacillus aryabhattai, 22.79 mm; Arthrobacter creatinolyticus, 14.97 mm; Bacillus megaterium, 21.45 mm; Bacillus subtilis, 18.89 mm; Saccharomyces cerevisiae, 21.23 mm; Rhodotorula sp., 26.71 mm) | [53] |
| P. guajava | Shijiazhuang, Hebei, China | Leaf (HD) | E-caryophyllene (27.4%) and γ-gurjunene (13.5%) | Antioxidant activity: DPPH assay (IC50 23.44 mg/mL); ABTS assay (IC50 19.13 mg/mL); FRAP assay (6.92 mmol Vc/g DM) Antimicrobial, disc diffusion assay (Escherichia coli, 8.76 mm; Alcaligenes faecalis, 9.26 mm; Bacillus aryabhattai, 17.34 mm; Arthrobacter creatinolyticus, 10.24 mm; Bacillus megaterium, 17.39 mm; Bacillus subtilis, 18.27 mm; Saccharomyces cerevisiae, 18.69 mm; Rhodotorula sp., 19.35 mm) | [53] |
| P. guajava | Anguo, Hebei, China | Leaf (HD) | E-caryophyllene (24.4%) and γ-gurjunene (12.7%) | Antioxidant activity: DPPH method (IC50 24.07 mg/mL); ABTS method (IC50 20.34 mg/mL); FRAP method (6.91 mmol Vc/g DM) Antimicrobial, disc diffusion method (Escherichia coli, 8.35 mm; Alcaligenes faecalis, 9.78 mm; Bacillus aryabhattai, 17.26 mm; Arthrobacter creatinolyticus, 10.57 mm; Bacillus megaterium, 17.08 mm; Bacillus subtilis, 18.34 mm; Saccharomyces cerevisiae, 18.76 mm; Rhodotorula sp., 19.78 mm) | [53] |
| P. guajava | Taipei, Taiwan | Leaf (HD) | E-caryophyllene (17.2), γ-gurjunene (9.3%), epi-α-cadinol (10.0%), and calamenene (6.7%) | Antioxidant activity: DPPH assay (IC50 31.12 mg/mL); ABTS assay (IC50 24.15 mg/mL); FRAP assay (2.36 mmol Vc/g DM) Antimicrobial, disc diffusion assay (Escherichia coli, 7.89 mm; Alcaligenes faecalis, 10.23 mm; Bacillus aryabhattai, 15.34 mm; Arthrobacter creatinolyticus, 9.12 mm; Bacillus megaterium, 16.89 mm; Bacillus subtilis, 17.02 mm; Saccharomyces cerevisiae, 16.89 mm; Rhodotorula sp., 20.23 mm) | [53] |
| P. guajava | Hangzhou, Zhejiang, China | Leaf (HD) | E-caryophyllene (31.4%) and γ-gurjunene (14.0%), | Antioxidant activity: DPPH assay (IC50 20.36 mg/mL); ABTS assay (IC50 19.39 mg/mL); FRAP assay (7.12 mmol Vc/g DM) Antimicrobial, disc diffusion assay (Escherichia coli, 8.98 mm; Alcaligenes faecalis, 11.13 mm; Bacillus aryabhattai, 18.79 mm; Arthrobacter creatinolyticus, 10.79 mm; Bacillus megaterium, 19.09 mm; Bacillus subtilis, 18.01 mm; Saccharomyces cerevisiae, 17.11 mm; Rhodotorula sp., 18.34 mm | [53] |
| P. guajava | Tainan, Taiwan | Leaf (HD) | E-caryophyllene (21.4%), γ-gurjunene (9.2%), epi-α-cadinol (7.8%), and calamenene (6.6%) | Antioxidant activity, DPPH assay (IC50 33.71 mg/mL); Antioxidant activity, ABTS assay (IC50 25.35 mg/mL), Antioxidant activity, FRAP assay (2.29 mmol Vc/g DM); Antimicrobial, disc diffusion assay (Escherichia coli, 7.90 mm; Alcaligenes faecalis, 10.15 mm; Bacillus aryabhattai, 15.76 mm; Arthrobacter creatinolyticus, 9.34 mm; Bacillus megaterium, 17.02 mm; Bacillus subtilis, 18.10 mm; Saccharomyces cerevisiae, 18.98 mm; Rhodotorula sp., 19.90 mm) | [53] |
| P. guajava | Meizhou, Guangdong, China | Leaf (HD) | E-caryophyllene (25.0%), γ-gurjunene (9.5%), epi-α-cadinol (6.1%), and calamenene (7.8%) | Antioxidant activity: DPPH assay (IC50 20.26 mg/mL); ABTS assay (IC50 16.18 mg/mL); FRAP assay (7.34 mmol Vc/g DM) Antimicrobial, disc diffusion assay (Escherichia coli, 10.38 mm; Alcaligenes faecalis, 14.65 mm; Bacillus aryabhattai, 21.97 mm; Arthrobacter creatinolyticus, 14.65 mm; Bacillus megaterium, 21.22 mm; Bacillus subtilis, 18.97 mm; Saccharomyces cerevisiae, 20.57 mm; Rhodotorula sp., 25.98 mm) | [53] |
| P. guajava | Kathmandu, Nepal | Leaf (HD) | E-nerolidol (35.6%), E-caryophyllene (15.8%), (2Z,6E)-farnesol (6.7%), and ledol (5.5%) | Larvicidal activity against Chaoborus plumicornis (LC50 63.3 μg/mL); Insecticidal activity against Drosophila melanogaster (LC50 327 μg/mL) Nematicidal activity against Caenorhabditis elegans with (LC50 of 142 μg/mL). | [51] |
| P. guajava | Alsharquia, Oman | Leaf (HD) | E-caryophyllene (33.5%), viridiflorene (13.0%), farnesene (11.7%), and limonene (9.8%) | Antibacterial activity, disc diffusion assay (Enterococcus faecales, 6 mm; Staphylococcus aureus, 9 mm; Haemophilus influenzae, 12 mm; Pseudomonas aeruginosa, 6 mm; Escherichia coli, 13 mm) | [71] |
| P. guajava | El-Behera, Egypt | Leaf (HD) | limonene (54.7%) and 1, 8-cineole (32.1%) | Antibacterial activity, disc diffusion assay (Staphylococcus aureus, MIC 6.75 µg/mL) | [40] |
| P. guajava | Lucknow, Uttar Pradesh, India | senescent leaves (HD) | Limonene (29.1%), E-caryophyllene (15.7%), caryophyllene oxide (8.8%), caryophylla-4(12),8(13)-dien-5β-ol (6.5%) | Antibacterial activity, disc diffusion and microdilution broth assays (Staphylococcus aureus methicillin-resistant, 65 µg/mL; S. aureus, 65–261 µg/mL; Staphylococcus epidermidis, 130 µg/mL; S. epidermidis methicillin-resistant, 65 µg/mL; Mycobacterium smegmatis, 261 µg/mL) Antifungal activity, disc diffusion and microdilution broth assays (Candida krusei, 16.71 mg/mL) | [63] |
| P. guajava | Parnaíba, PI, Brazil | Leaf (SD) | E-caryophyllene (39.0%), β-selinene (9.7%), α-selinene (9.7%), 1,8-cineole (6.9%), and aromadendrene (6.3%) | Acaricidal activity (females of RhipicephalusMicroplus, adult immersion test, 99.95% of efficiency on engorged at 12.5 mg/L; larval packet test, larvae mortality 5.8% at 12.5 mg/L) | [58] |
| P. guajava | Rio de Janeiro, RJ, Brazil | Leaf (HD) | α-humulene (15.0%), E-caryophyllene (12.0%), β-selinene (11.0%), α-selinene (10.0%), cedr-8-(15)-en-9-α-ol (7.6%), and α-muurolol (5.6%) | Anti-inflammatory activity, Pleurisy induced by lipopolysaccharide model (inhibition in migration of eosinophils 76% at 100 mg/kg) | [67] |
| P. guajava | Rio de Janeiro, RJ, Brazil | Leaf (HD) | α-humulene (37.0%), E-caryophyllene (24.0%), β-selinene (14.0%), and α-selinene (12.0%) | Anti-inflammatory activity, Pleurisy induced by lipopolysaccharide model (inhibition in migration of eosinophils 67% at 100 mg/kg) | [67] |
| P. guajava | Rio de Janeiro, RJ, Brazil | Leaf (HD) | caryophylla-4(12),8(13)-dien-5-β-ol (15.0%), α-humulene (13.0%), α-muurolol (9.6%), cedr-8-(15)-en-9-α-ol (7.4%), E-caryophyllene (7.2), β-selinene (6.7%), humulene epoxide II (6.6%), and caryophyllene oxide (5.0%) | Anti-inflammatory, Pleurisy induced by LPS model (migration inhibition of eosinophils 74% at 100 mg/kg) | [67] |
| P. guajava | Alegre, ES, Brazil | Leaf (HD) | E-caryophyllene (26.6%), selin-11-en-4α-ol (6.7%), caryophyllene oxide (15.5%), aromadendrene epoxide (8.1%), β-selinene (7.6%), and α-selinene (6.5%) | Larvicidal activity against Aedes aegypti (LC50 39.48 μg/mL; LC90 57.34 μg/mL) | [55] |
| P. guajava | Alegre, ES, Brazil | Leaf (HD) | E-caryophyllene (7.6%), β-bisabolol (19.5%), limonene (17.8%), 1,8-cineole (5.1%), and E-nerolidol (6.9%) | Larvicidal activity against Aedes aegypti (LC50 51.11 μg/mL; LC90 71.56 μg/mL) | [55] |
| P. guajava | Alegre, ES, Brazil | Leaf (HD) | E-caryophyllene (9.4%), β-bisabolol (15.1%), limonene (6.5%), α-humulene (16.5%), E-nerolidol (7.4%), β-bisabolene (6.3%), and humulene epoxide II (6.0%) | Larvicidal activity against Aedes aegypti (LC50 53.47 μg/mL; LC90 73.84 μg/mL) | [55] |
| P. guajava | Alegre, ES, Brazil | Leaf (HD) | E-caryophyllene (19.4%), selin-11-en-4α-ol (7.4%), caryophyllene oxide (16.6%), aromadendrene epoxide (9.2%), 1,8-cineole (8.4%), and β-selinene (5.6%) | Larvicidal activity against Aedes aegypti (LC50 63.35 μg/mL; LC90 82.44 μg/mL) | [55] |
| P. guajava | Alegre, ES, Brazil | Leaf (HD) | E-caryophyllene (10.2%), selin-11-en-4α-ol (16.7%), caryophyllene oxide (8.0%), aromadendrene epoxide (9.5%), 1,8-cineole (7.6%), epi-α-cadinol (7.9%), β-selinene (8.2%), epi-cubenol (6.7%), and α-selinene (6.3%) | Larvicidal activity against Aedes aegypti (LC50 64.25 μg/mL; LC90 86.00 μg/mL) | [55] |
| P. guajava | Rio de Janeiro, RJ, Brazil | Leaf (HD) | α-pinene (25.5%), E-nerolidol (16.7%), E-caryophyllene (15.7%), δ-3-carene (8.8%), and cedran-8-ol (8.8%) | Inseticidal activity (Tribolium castaneum, Fumigation LC50 6.1 µg/L air after 24 h of treatment and < 2 µg/L air after 72 h Inseticidal activity (Culex pipiens, Fumigation LC50 > 50 µg/L) Larvicidal activity (Culex pipiens, Fumigation LC50 > 100 µg/L) | [70] |
| P. guajava | Abbottabad, Pakistan | Fruit (SD) | Hexanol (13.9%), cinnamyl alcohol (10.9%), Butanol (10.7%), 3-methyl glutaric anhydride (9.5%), hexene (7.7%), butanoic acid methyl ester (7.2%), and 3-hexenal (6.6%) | Vasorelaxant effect, rabbit aorta preparations against pre-concentrations of K+ (EC50 5.52 mg/mL); Vasorelaxant effect, rabbit aorta preparations against phenylephrine (EC50 6.23 mg/mL); Spasmolytic effect, isolated rabbit jejunum against contractions spontaneous (EC50 0.84 mg/mL) Spasmolytic effect, isolated rabbit jejunum against induced contractions by K+ (EC50 0.71 mg/mL) | [75] |
| P. guajava | Cairo, Egypt | Fruit (HD) | E-caryophyllene (17.6%), limonene (11.0%), α-selinene (6.6%), and β-selinene (6.4%) | Antioxidant activity: DPPH assay (IC50 8.11 mg/mL); deoxyribose degradation (IC50 42.78 μg/mL); Anti-inflammatory activity: inhibition of 5-lipoxygenase (IC50 49.76 μg/mL); Cytotoxic activity (HepG2 hepatic cancer, IC50 196.45 µg/mL; MCF-7 breast cancer, IC50 544.38 µg/mL) | [57] |
| P. guajava | Cairo, Egypt | Leaf (HD) | E-caryophyllene (16.9%), selin-7(11)-en-4-α-ol (8.3%), α-selinene (6.5%), β-selinene (6.3%), 1,8-cineole (5.4%), and δ-cadinene (5.3%) | Antioxidant activity: DPPH assay (IC50 3.59 mg/mL); deoxyribose degradation (IC50 12.64 μg/mL); Anti-inflammatory activity: inhibition of 5-lipoxygenase (IC50 32.53 μg/mL); Cytotoxic activity: HepG2 hepatic cancer, IC50 130.69 µg/mL; MCF-7 breast cancer, IC50 351.00 µg/mL) | [57] |
| P. guineense | Dourados, MS, Brazil | Leaf (HD) | Spathulenol (80.7%) | Antioxidant activity: DDPH assay (IC50 63.08 µg/mL); ABTS assay (IC50 780.13 µg/mL); MDA assay (IC50 37.91 µg/mL) Anti-inflammatory activity: carrageenan-induced mice paw oedema model, inhibition of 59.46% after second and fourth hour at 300 mg/kg); pleurisy model, reduction in the increase in total leukocytes of 45.33% at 30 mg/kg and 77.70% at 100 mg/kg); reduction in the rise in protein levels of 49.72%, at 30 mg/kg, and 78.40%, at 100 mg/kg;Cytotoxic activity: U251 glioma, GI50 9.84 µg/mL; MCF-7 breast, GI50 7.90 µg/mL; NCI/ADR-RES ovarian expressing the phenotype of multiple drug resistance, GIC50 9.25 µg/mL; 786–0 renal, GI50 2.57 µg/mL; NCI-H460 lung, GI50 4.57 µg/mL; PCO-3 prostate, GI50 9.18 µg/mL; OVCAR-3 ovarian, GI50 0.89 µg/mL; HT-29 colon, GI50 5.62 µg/mL; K-562 leukemia, GI50 5.03 µg/mL; HaCaT keratinocytes, GI50 7.98 µg/mL) | [84] |
| P. myrsinites | Anápolis, GO, Brazil | Leaf (HD) | E-caryophyllene (31.0%), α-humulene (12.3%), and caryophyllene oxide (7.3%) | Larvicidal activity against Artemia salina (LC50 95.3 µg/mL) | [88] |
| P. myrsinites | Chapada das Mesas National Park, MA, Brazil | Leaf (HD) | E-caryophyllene (26.1%), 𝛼-humulene (23.9%), caryophyllene oxide (10.1%), humulene epoxide II (6.4%), and Caryophylla-4(12),8(13)--ien-5-β-ol (5.7%) | Larvicidal activity against Aedes aegypti (LC50 292 mg/mL) | [89] |
| P. myrtoides | Chapada, do Araripe, CE, Brazil | Leaf (HD) b | 1,8-cineole (29.5–48.1%), α-eudesmol (11,7–20.0%), α-pinene (5.0–12.8%), elemol(3.3–6.7%), and γ-eudesmol (2.5–5.8%) | Antifungal activity: broth microdilution assay (Candida albicans, MFC 1.02–4.10 µg/mL, IC50 103.3–963.8 µg/mL; C. krusei, MFC 8.19–16.38 µg/mL, IC50 1235.9–3564.5 µg/mL; C. tropicalis, MFC > 16.384 µg/mL, IC50 1671.1–2535.1 µg/mL) | [93] |
| P. myrtoides | Rio verde, GO, Brazil | Leaf (HD) | E-caryophyllene (30.9%), α-humulene (15.9%), α-copaene (7.8%), caryophyllene oxide (7.3%), and α-bisabolol (7.3%) | Antibacterial activity, broth microdilution assay: Streptococcus mitis, MIC100 μg/mL; S. sanguinis, MIC 100 μg/mL; S. sobrinus, MIC 250 μg/mL; S. salivarius, MIC 250 μg/mL; S. mutans MIC, 62.5 μg/mL; Cytotoxic activity: MCF-7 human breast adenocarcinoma, IC50 254.5 μg/mL; HeLa, human cervical adenocarcinoma, IC50 324.2 μg/mL; M059J human glioblastoma, IC50 289.3 μg/mL) | [91] |
| P. myrtoides | Alegre, ES, Brazil | Leaf (HD) | E-caryophyllene (19.4%), α-bisabolol (10.4%), α-humulene (10.4%), α-copaene (6.3%), and caryophyllene oxide (5.3%) | Phytotoxic activity (dose 3000 µg/mL): Lactuca sativa, Germination inhibition 47.4%, Germination Speed Index 3.4 mm; Sorghum bicolor, Germination inhibition 90.4%, Germination Speed Index, 7.8 mm) | [22] |
| P. salutare | Crato, CE, Brazil | Leaf (SD) | 1,8-cineole (63.3%), p-cymene (14.1%), α-terpinyl acetate (7.2%), and β-eudesmol (8.8%) | Antinociceptive effect (dose 400 mg/kg in mouse model) | [83,97] |
| P. salutare | Chapada do Araripe, CE, Brazil | Leaf (HD) b | p-cymene (5.1–17.8%), terpinolene (6.9–17.0%), γ-terpinene (10.3–17.1%), epi-α-cadinol (10.4–12.8%), linalool (4.7–7.3%), and δ-cadinene(3.8–5.3%) | Antifungal activity: Candida albicans, MFC 1.02–4.10 µg/mL; Candida krusei, MFC 8.19–16.38 µg/mL; Candida tropicalis, MFC > 16.38 mg/mL) | [25] |
| P. striatulum | Boa Vista, RR, Brazil | Fruits (HD) | α-pinene (12%), α-humulene (10.4%), α-copaene (7.1%), globulol (5.7%), and aromadendrene (5.1%) | Antibacterial activity: Staphylococcus aureus, IC50 28.62 μg/mL; Bacillus cereus, IC50 24.74 μg/mL; Salmonella typhimurium, IC50 18.69 μg/mL); Enzyme acetylcholinesterase, inhibition 44.42%) | [100] |
| P. rufum | Rio de Janeiro, RJ, Brazil | Leaf (HD) | E-caryophyllene (21.0%), α-pinene (14.0%), γ-eudesmol (8.5%), 1,8-cineole (8.4%), α-eudesmol (8.2%), and β-eudesmol (6.8%) | Anti-inflammatory activity: zymosan induced inflammatory model (reduction in eosinophil migration 70% at 100 mg/kg), in vitro nitric oxide production (moderate effect, 51% at 100 mg/kg) | [104] |
a = doubtful analysis, unknown RI values, b = seasonal study, SD = steam distillation, HD = hydrodistillation, SPME = solid phase micro extraction, HS-SPME = headspace—solid phase micro extraction, SDE = simultaneous steam distillation-solvent extraction, SAFE = solvent-assisted flavor evaporation, SE = solvent extraction IC50 = median inhibitory concentration, MIC = minimum inhibitory concentration, MMC = minimum microbicide concentration, LC50 = median lethal concentration; MFC = minimum fungicide concentration, MDA = malondialdehyde, TBARS = thiobarbituric acid reactive species, NO = nitric oxide radical scavenging assay; XO = xanthine oxidase assay; ORAC = oxygen radical absorbing capacity assay, FRAP = ferric reducing antioxidant power, DPPH = 2,2-diphenyl-1-picrylhydrazyl.
Figure A1.
Major monoterpenoids found in Psidium species.
Figure A1.
Major monoterpenoids found in Psidium species.

Figure A2.
Major sesquiterpene hydrocarbons found in Psidium species.
Figure A2.
Major sesquiterpene hydrocarbons found in Psidium species.

Figure A3.
Major oxygenated sesquiterpenes found in Psidium species.
Figure A3.
Major oxygenated sesquiterpenes found in Psidium species.

Figure A4.
Other Major compound found in Psidium species.
Figure A4.
Other Major compound found in Psidium species.

References
- Soares-Silva, L.H.; Proença, C.E.B. A new species of Psidium L. (Myrtaceae) from southern Brazil. Bot. J. Linn. Soc. 2008, 158, 51–54. [Google Scholar] [CrossRef][Green Version]
- The Angiosperm Phylogeny Group. An update of the Angiosperm Phylogeny Group classification for the orders and families of flowering plants: APG IV. Bot. J. Linn. Soc. 2016, 181, 1–20. [Google Scholar] [CrossRef]
- Psidium, L. Available online: https://www.gbif.org/species/3187232 (accessed on 10 July 2020).
- Tuler, A.C.; Carrijo, T.T.; Ferreria, M.F.S.; Peixoto, A.L. Flora of Espírito santo: Psidium (Myrtaceae). Rodriguésia 2017, 68, 1791–1805. [Google Scholar] [CrossRef]
- Gressler, E.; Pizo, M.A.; Morellato, L.P.C. Polinização e dispersão de sementes em Myrtaceae do Brasil. Rev. Bras. Botânica 2006, 29, 509–530. [Google Scholar] [CrossRef]
- Medina, A.L.; Haas, L.I.R.; Chaves, F.C.; Salvador, M.; Zambiazi, R.C.; Da Silva, W.P.; Nora, L.; Rombaldi, C.V. Araçá (Psidium cattleianum Sabine) fruit extracts with antioxidant and antimicrobial activities and antiproliferative effect on human cancer cells. Food Chem. 2011, 128, 916–922. [Google Scholar] [CrossRef]
- Tuler, A.C.; Carrijo, T.T.; Peixoto, A.L.; Garbin, M.L.; Ferreira, M.F.D.S.; Carvalho, C.R.; Spadeto, M.S.; Clarindo, W.R. Diversification and geographical distribution of Psidium (Myrtaceae) species with distinct ploidy levels. Trees 2019, 33, 1101–1110. [Google Scholar] [CrossRef]
- Bezerra, J.E.F.; Lederman, I.E.; Silva-Junior, J.F.; da Franzon, R.C.; Sousa-Silva, J.C.; Campos, L.Z.O.; Proença, C.E.B. Psidium spp.: Araçá. In Espécies Nativas da Flora Brasileira de Valor Econômico Atual ou Potencial: Plantas Para o Futuro—Região Centro-Oeste; Vieira, R.F., Camillo, J., Coradin, L., Eds.; Ministério do Meio Ambiente, Secretaria de Biodiversidade: Bloco DF, Brazil, 2016; pp. 294–314. ISBN 9788577383092. [Google Scholar]
- Silva, P.T.M.; Silva, M.A.F.; Silva, L.; Seca, A.M.L. Ethnobotanical Knowledge in Sete Cidades, Azores Archipelago: First Ethnomedicinal Report. Plants 2019, 8, 256. [Google Scholar] [CrossRef]
- Juárez-Vázquez, M.D.C.; Carranza-Álvarez, C.; Alonso-Castro, A.J.; González-Alcaraz, V.F.; Bravo-Acevedo, E.; Chamarro-Tinajero, F.J.; Solano, E. Ethnobotany of medicinal plants used in Xalpatlahuac, Guerrero, México. J. Ethnopharmacol. 2013, 148, 521–527. [Google Scholar] [CrossRef]
- Moraes, L.L.C.; Freitas, J.L.; Matos Filho, J.R.; Silva, R.B.L.; Borges, C.H.A.; Santos, A.C. Ethno-knowledge of medicinal plants in a community in the eastern Amazon. Rev. Ciências Agrárias 2019, 42, 565–573. [Google Scholar]
- Costa, J.C.; Marinho, M.G.V. Etnobotânica de plantas medicinais em duas comunidades do município de Picuí, Paraíba, Brasil. Rev. Bras. Plantas Med. 2016, 18, 125–134. [Google Scholar] [CrossRef][Green Version]
- Penido, A.B.; De Morais, S.M.; Ribeiro, A.B.; Silva, A.Z. Ethnobotanical study of medicinal plants in Imperatriz, State of Maranhão, Northeastern Brazil. Acta Amaz. 2016, 46, 345–354. [Google Scholar] [CrossRef]
- Shruthi, S.D.; Roshan, A.; Timilsina, S.S.; Sunita, S. A review on the medicinal plant Psidium guajava Linn. (Myrtaceae). J. Drug Deliv. Ther. 2011, 3, 162–168. [Google Scholar]
- Da Costa, J.S.; da Cruz, E.d.N.S.; Setzer, W.N.; Da Silva, J.K.R.; Maia, J.G.S.; Figueiredo, P.L.B. Essentials Oils from Brazilian Eugenia and Syzygium Species and Their Biological Activities. Biomolecules 2020, 10, 1155. [Google Scholar] [CrossRef]
- Cascaes, M.M.; Guilhon, G.M.S.P.; de Aguiar Andrade, E.H.; das Graças Bichara Zoghbi, M.; da Silva Santos, L. Constituents and pharmacological activities of Myrcia (Myrtaceae): A review of an aromatic and medicinal group of plants. Int. J. Mol. Sci. 2015, 16, 23881–23904. [Google Scholar] [CrossRef]
- Stefanello, M.É.A.; Pascoal, A.C.R.F.; Salvador, M.J. Essential Oils from Neotropical Myrtaceae: Chemical Diversity and Biological Properties. Chem. Biodivers. 2011, 8, 73–94. [Google Scholar] [CrossRef]
- van Eck, N.J.; Waltman, L. Software survey: VOSviewer, a computer program for bibliometric mapping. Scientometrics 2010, 84, 523–538. [Google Scholar] [CrossRef]
- Zouari, N. Essential Oils Chemotypes: A Less Known Side. Med. Aromat. Plants 2013, 2. [Google Scholar] [CrossRef]
- Thompson, J.D.; Chalchat, J.-C.; Michet, A.; Linhart, Y.B.; Ehlers, B. Qualitative and Quantitative Variation in Monoterpene Co-Occurrence and Composition in the Essential Oil of Thymus vulgaris Chemotypes. J. Chem. Ecol. 2003, 29, 859–880. [Google Scholar] [CrossRef] [PubMed]
- Figueiredo, P.L.; Silva, R.C.; Da Silva, J.K.R.; Suemitsu, C.; Mourão, R.H.V.; Maia, J.G.S. Chemical variability in the essential oil of leaves of Araçá (Psidium guineense Sw.), with occurrence in the Amazon. Chem. Central J. 2018, 12, 52. [Google Scholar] [CrossRef]
- Vasconcelos, L.C.; de Souza Santos, E.; de Oliveira Bernardes, C.; da Silva Ferreira, M.F.; Ferreira, A.; Tuler, A.C.; Carvalho, J.A.M.; Pinheiro, P.F.; Praça-Fontes, M.M. Phytochemical analysis and effect of the essential oil of Psidium L. species on the initial development and mitotic activity of plants. Environ. Sci. Pollut. Res. 2019, 26, 26216–26228. [Google Scholar] [CrossRef] [PubMed]
- Freitas, M.O.; De Morais, S.M.; Silveira, E.R. Volatile Constituents of Psidium myrsinoides O. Berg. J. Essent. Oil Res. 2002, 14, 364–365. [Google Scholar] [CrossRef]
- Souza, T.S.; Ferreira, M.F.D.S.; Menini, L.; Souza, J.R.C.D.L.; Bernardes, C.D.O.; Ferreira, A. Chemotype diversity of Psidium guajava L. Phytochem. 2018, 153, 129–137. [Google Scholar] [CrossRef] [PubMed]
- De Macêdo, D.G.; Souza, M.M.A.; Morais-Braga, M.F.B.; Coutinho, H.D.M.; dos Santos, A.T.L.; da Cruz, R.P.; da Costa, J.G.M.; Rodrigues, F.F.G.; Quintans-junior, L.J.; da Silva Almeida, J.R.G.; et al. Effect of seasonality on chemical profile and antifungal activity of essential oil isolated from leaves Psidium salutare (Kunth). O. Berg. Peer J. 2018, 6, e5476. [Google Scholar] [CrossRef]
- Mahmoud, S.S.; Croteau, R. Strategies for transgenic manipulation of monoterpene biosynthesis in plants. Trends Plant Sci. 2002, 7, 366–373. [Google Scholar] [CrossRef]
- Siani, A.C.; de Azevedo, M.B.M.; Ramos, M.F.S.; Trigo, J.R. Monoterpenes and sesquiterpenes of Neotropical Myrtaceae. In Current Trends in Phytochemistry; Epifano, F., Ed.; Research Signpost: Kerala, India, 2008; pp. 223–251. ISBN 978-81-308-0277-0. [Google Scholar]
- Franzon, R.C.; Campos, L.Z.O.; Proença, C.E.B.; Sousa-Silva, J.C. Araçás do Gênero Psidium: Principais Espécies, Ocorrência, Descrição e Usos, 1st ed.; Embrapa Cerrados: Planaltina, Brazil, 2009; ISBN 2176-5081. [Google Scholar]
- Patel, S. Exotic tropical plant Psidium cattleianum: A review on prospects and threats. Rev. Environ. Sci. Bio/Technol. 2012, 11, 243–248. [Google Scholar] [CrossRef]
- Sobral, M.; Proença, C.; Souza, M.; Mazine, F.; Lucas, E. Myrtaceae in Lista de Espécies da Flora do Brasil. Available online: http://floradobrasil.jbrj.gov.br/ (accessed on 11 November 2020).
- Govaerts, R.; Sobral, M.; Ashton, P.; Barrie, F.; Holst, B.K.; Landrum, L.L.; Matsumoto, K.; Mazine, F.F.; Nic Lughadha, E.; Proenca, C.; et al. World Checklist of Myrtaceae; Royal Botanic Gardens, Kew: Richmond, UK, 2018. [Google Scholar]
- Goncalves, R.C.; Faleiro, J.H.; Faleiro Naves, P.L.; dos Santos, M.N.; Malafaia, G. Pharmacognostic Characterization, Bioactive Com-pounds and Powder Antioxidant Action of Leaves of Araca (Psidium cattleianum Myrtaceae). Gen. Med. Open Access 2016, 4. [Google Scholar]
- Oliveira, V.B.; Yamada, L.T.; Fagg, C.W.; Brandão, M.G. Native foods from Brazilian biodiversity as a source of bioactive compounds. Food Res. Int. 2012, 48, 170–179. [Google Scholar] [CrossRef]
- Biegelmeyer, R.; Andrade, J.M.M.; Aboy, A.L.; Apel, M.A.; Dresch, R.R.; Marin, R.; Raseira, M.D.C.B.; Henriques, A.T. Comparative Analysis of the Chemical Composition and Antioxidant Activity of Red (Psidium cattleianum) and Yellow (Psidium cattleianum var. lucidum) Strawberry Guava Fruit. J. Food Sci. 2011, 76, C991–C996. [Google Scholar] [CrossRef] [PubMed]
- Raseira, M.D.C.B.; Raseira, A. Contribuição ao Estudo do Araçazeiro (Psidium cattleyanum); EMBRAPA: Pelotas, Brazil, 1996. [Google Scholar]
- Adam, F.; Vahirua-Lechat, I.; Deslandes, E.; Menut, C. Aromatic Plants of French Polynesia. V. Chemical Composition of Essential Oils of Leaves of Psidium guajava L. and Psidium cattleyanum Sabine. J. Essent. Oil Res. 2011, 23, 98–101. [Google Scholar] [CrossRef]
- Tucker, O.; Maciarelloa, M.J.; Landrumb, L.R. Volatile leaf oils of American Myrtaceae. III. Psidium cattleianum Sabine, P. friedrichsthalianum (Berg) Niedenzu, P. guajava L., P. guineense Sw., and P. sartorianum (Berg) Niedenzu. J. Essent. Oil Res. 1995, 7. [Google Scholar] [CrossRef]
- Castro, M.R.; Victoria, F.N.; Oliveira, D.H.; Jacob, R.G.; Savegnago, L.; Alves, D. Essential oil of Psidium cattleianum leaves: Antioxidant and antifungal activity. Pharm. Biol. 2015, 53, 242–250. [Google Scholar] [CrossRef] [PubMed]
- Chen, J.; Lichwa, J.; Ray, C. Essential Oils of Selected Hawaiian Plants and Associated Litters. J. Essent. Oil Res. 2007, 19, 276–278. [Google Scholar] [CrossRef]
- Soliman, F.M.; Fathy, M.M.; Salama, M.M.; Saber, F.R. Comparative study of the volatile oil content and antimicrobial activity of Psidium guajava L. and Psidium cattleianum Sabine leaves. Bull. Fac. Pharmacy, Cairo Univ. 2016, 54, 219–225. [Google Scholar] [CrossRef]
- Marin, R.; Apel, M.A.; Limberger, R.P.; Raseira, M.C.B.; Pereira, J.F.M.; Zuanazzi, J.Â.S.; Henriques, A.T. Volatile Components and Antioxidant Activity from some Myrtaceous Fruits cultivated in Southern Brazil. Lat. Am. J. Pharm. 2008, 27, 172–177. [Google Scholar]
- Pino, J.A.; Bello, A.; Urquiola, A.; Marbot, R.; Martí, M.P. Leaf Oils of Psidium parvifolium Griseb. And Psidium cattleianum Sabine from Cuba. J. Essent. Oil Res. 2004, 16, 370–371. [Google Scholar] [CrossRef]
- Marques, F.A.; Wendler, E.P.; Maia, B.H.L.N.S.; Coffani-Nunes, J.V.; Campana, J.; Guerrero, P.G. Volatile Oil ofPsidium cattleianumSabine from the Brazilian Atlantic Forest. J. Essent. Oil Res. 2008, 20, 519–520. [Google Scholar] [CrossRef]
- Chrystal, P.; Pereira, A.C.; Alves, C.C.F.; De Souza, J.M.; Martins, C.H.; Potenza, J.; Crotti, A.E.M.; Miranda, M.L.D. Essential Oil from Psidium cattleianum Sabine (Myrtaceae) Fresh Leaves: Chemical Characterization and in vitro Antibacterial Activity Against Endodontic Pathogens. Braz. Arch. Biol. Technol. 2020, 63, 63. [Google Scholar] [CrossRef]
- Gentil, D.F.D.O.; Ferreira, S.A.D.N.; Rebouças, E.R. Germination of Psidium friedrichsthalianum (O. Berg) Nied. seeds under different temperature and storage conditions. J. Seed Sci. 2018, 40, 246–252. [Google Scholar] [CrossRef]
- Lim, T.K. Edible Medicinal and Non-Medicinal Plants, 1st ed.; Springer: London, UK, 2012; ISBN 9789400725331. [Google Scholar]
- Flores, G.; Dastmalchi, K.; Wu, S.-B.; Whalen, K.; Dabo, A.J.; Reynertson, K.A.; Foronjy, R.F.; D′Armiento, J.M.; Kennelly, E.J. Phenolic-rich extract from the Costa Rican guava (Psidium friedrichsthalianum) pulp with antioxidant and anti-inflammatory activity. Potential for COPD therapy. Food Chem. 2013, 141, 889–895. [Google Scholar] [CrossRef]
- Diaz-De-Cerio, E.; Verardo, V.; Gómez-Caravaca, A.M.; Fernández-Gutiérrez, A.; Segura-Carretero, A. Health Effects of Psidium guajava L. Leaves: An Overview of the Last Decade. Int. J. Mol. Sci. 2017, 18, 897. [Google Scholar] [CrossRef]
- Paniandy, J.-C.; Chane-Ming, J.; Pieribattesti, J.-C. Chemical Composition of the Essential Oil and Headspace Solid-Phase Microextraction of the Guava Fruit (Psidium guajava L.). J. Essent. Oil Res. 2000, 12, 153–158. [Google Scholar] [CrossRef]
- Arain, A.; Sherazi, S.T.H.; Mahesar, S.A. Essential Oil from Psidium guajava Leaves: An Excellent Source of β-Caryophyllene. Nat. Prod. Commun. 2019, 14. [Google Scholar] [CrossRef]
- Satyal, P.; Paudel, P.; Lamichhane, B.; Setzer, W.N. Leaf essential oil composition and bioactivity of Psidium guajava from Kathmandu, Nepal. Am. J. Essent. Oils Nat. Prod. 2015, 3, 11–14. [Google Scholar]
- Pino, J.A.; Agüero, J.; Marbot, R.; Fuentes, V. Leaf Oil of Psidium guajava L. from Cuba. J. Essent. Oil Res. 2001, 13, 61–62. [Google Scholar] [CrossRef]
- Wang, L.; Wu, Y.; Huang, T.; Shi, K.; Wu, Z. Chemical Compositions, Antioxidant and Antimicrobial Activities of Essential Oils of Psidium guajava L. Leaves from Different Geographic Regions in China. Chem. Biodivers. 2017, 14, e1700114. [Google Scholar] [CrossRef]
- Khadhri, A.; El Mokni, R.; Almeida, C.; Nogueira, J.; Araújo, M.E.M. Chemical composition of essential oil of Psidium guajava L. growing in Tunisia. Ind. Crops Prod. 2014, 52, 29–31. [Google Scholar] [CrossRef]
- Mendes, L.A.; Martins, G.F.; Valbon, W.R.; Souza, T.D.S.D.; Menini, L.; Ferreira, A.; Ferreira, M.F.D.S. Larvicidal effect of essential oils from Brazilian cultivars of guava on Aedes aegypti L. Ind. Crop. Prod. 2017, 108, 684–689. [Google Scholar] [CrossRef]
- Da Silva, J.D.; Luz, A.I.R.; Silva, M.H.L.; Andrade, E.H.A.; Zoghbi, M.G.B.; Maia, J.G.S. Essential oils of leaves and stems of four Psidium spp. Flavour Fragr. J. 2003, 18. [Google Scholar]
- El-Ahmady, S.H.; Ashour, M.L.; Wink, M. Chemical composition and anti-inflammatory activity of the essential oils of Psidium guajava fruits and leaves. J. Essent. Oil Res. 2013, 25, 475–481. [Google Scholar] [CrossRef]
- Castro, K.N.C.; Costa-Júnior, L.M.; Lima, D.F.; Canuto, K.M.; Sousa de Brito, E.; De Andrade, I.M.; Teodoro, M.S.; Oi-ram-Filho, F.; Dos Santos, R.C.; Mayo, S.J. Acaricidal activity of cashew nut shell liquid associated with essential oils from Cordia verbenacea and Psidium guajava on Rhipicephalus microplus. J. Essent. Oil Res. 2019, 31, 297–304. [Google Scholar] [CrossRef]
- Clery, R.A.; Hammond, C.J. New Sulfur Components of Pink Guava Fruit (Psidium guajava L.). J. Essent. Oil Res. 2008, 20, 315–317. [Google Scholar] [CrossRef]
- Chen, H.-C.; Sheu, M.-J.; Lin, L.-Y.; Wu, C.-M. Chemical Composition of the Leaf Essential Oil of Psidium guajava L. from Taiwan. J. Essent. Oil Res. 2007, 19, 345–347. [Google Scholar] [CrossRef]
- Pino, J.A.; Ortega, A.; Rosado, A. Volatile Constituents of Guava (Psidium guajava L.) Fruits from Cuba. J. Essent. Oil Res. 1999, 11, 623–628. [Google Scholar] [CrossRef]
- Mahomoodally, F.; Aumeeruddy-Elalfi, Z.; Venugopala, K.N.; Hosenally, M. Antiglycation, comparative antioxidant potential, phenolic content and yield variation of essential oils from 19 exotic and endemic medicinal plants. Saudi J. Biol. Sci. 2019, 26, 1779–1788. [Google Scholar] [CrossRef]
- Chaturvedi, T.; Singh, S.; Nishad, I.; Kumar, A.; Tiwari, N.; Tandon, S.; Saikia, D.; Verma, R.S. Chemical composition and antimicrobial activity of the essential oil of senescent leaves of guava (Psidium guajava L.). Nat. Prod. Res. 2019, 1–5. [Google Scholar] [CrossRef] [PubMed]
- Lee, S.; Km, Y.-S.; Choi, H.-K.; Cho, S.K. Determination of the Volatile Components in the Fruits and Leaves of Guava Plants (Psidium guajava L.) Grown on Jeju Island, South Korea. J. Essent. Oil Res. 2011, 23, 52–56. [Google Scholar] [CrossRef]
- Ogunwande, I.A.; Olawore, N.O.; Adeleke, K.A.; Ekundayo, O.; Koenig, W.A. Chemical composition of the leaf volatile oil of Psidium guajavaL. growing in Nigeria. Flavour Fragr. J. 2003, 18, 136–138. [Google Scholar] [CrossRef]
- Chalannavar, R.K.; Venugopala, K.N.; Baijnath, H.; Odhav, B. The Chemical Composition of Leaf Essential Oils ofPsidium guajavaL. (White and Pink fruit forms) from South Africa. J. Essent. Oil Bear. Plants 2014, 17, 1293–1302. [Google Scholar] [CrossRef]
- Siani, A.C.; Souza, M.C.; Henriques, M.G.M.O.; Ramos, M.F.S. Anti-inflammatory activity of essential oils from Syzygium cumini and Psidium guajava. Pharm. Biol. 2013, 51, 881–887. [Google Scholar] [CrossRef]
- Ramos, A.R.; Falcão, L.L.; Barbosa, G.S.; Marcellino, L.H.; Gander, E.S. Neem (Azadirachta indica a. Juss) components: Candidates for the control of Crinipellis perniciosa and Phytophthora ssp. Microbiol. Res. 2007, 238–243. [Google Scholar] [CrossRef]
- Ji, X.-D.; Pu, Q.-L.; Garraffo, H.M.; Pannell, L.K. The Essential Oil of the Leaves ofPsidium guajavaL. J. Essent. Oil Res. 1991, 3, 187–189. [Google Scholar] [CrossRef]
- El-Sabrout, A.M.; Salem, M.Z.M.; Bin-Jumah, M.; Allam, A.A. Toxicological activity of some plant essential oils against Tribo-lium castaneum and Culex pipiens larvae. Processes 2019, 7, 933. [Google Scholar] [CrossRef]
- Weli, A.; Al-Kaabi, A.; Al-Sabahi, J.; Said, S.; Hossain, M.A.; Al-Riyami, S.; Hossain, A. Chemical composition and biological activities of the essential oils of Psidium guajava leaf. J. King Saud Univ. Sci. 2019, 31, 993–998. [Google Scholar] [CrossRef]
- Sacchetti, G.; Maietti, S.; Muzzoli, M.; Scaglianti, M.; Manfredini, S.; Radice, M.; Bruni, R. Comparative evaluation of 11 essential oils of different origin as functional antioxidants, antiradicals and antimicrobials in foods. Food Chem. 2005, 91, 621–632. [Google Scholar] [CrossRef]
- Aumeeruddy-Elalfi, Z.; Gurib-Fakim, A.; Mahomoodally, M.F. Chemical composition, antimicrobial and antibiotic potentiating activity of essential oils from 10 tropical medicinal plants from Mauritius. J. Herb. Med. 2016, 6, 88–95. [Google Scholar] [CrossRef]
- Cole, R.A.; Setzer, W.N. Chemical Composition of the Leaf Essential Oil of Psidium guajava from Monteverde, Costa Rica. J. Essent. Oil Bear. Plants 2007, 10, 365–373. [Google Scholar] [CrossRef]
- Rasheed, H.M.; Khan, T.; Wahid, F.; Khan, R.; Shah, A.J. Chemical composition and vascular and intestinal smooth muscle relaxant effects of the essential oil from Psidium guajava fruit. Pharm. Biol. 2016, 54, 2679–2684. [Google Scholar] [CrossRef]
- Rodrigues, C.G.; Ferreira, P.R.B.; Mendes, C.S.O.; Reis, R.; Valerio, H.M.; Brandi, I.V.; de Oliveira, D.A. Antibacterial activity of tannins from Psidium guineense Sw. (Myrtaceae). J. Med. Plants Res. 2014, 8, 1095–1100. [Google Scholar] [CrossRef]
- Cavalcante, P.B. Frutas Comestíveis na Amazônia, 7th ed.; Museu Paraense Emilio Goeldi: Belém, Brazil, 2010. [Google Scholar]
- Dos Santos, M.A.C.; Rego, M.M.D.; De Queiroz, M.A.; Dantas, B.F.; Otoni, W.C. Synchronizing The In Vitro Germination Of Psidium Guineense Sw. Seeds By Means of Osmotic Priming. Revista Árvore 2016, 40, 649–660. [Google Scholar] [CrossRef]
- Padilha, M.D.R.F.; Shinohara, N.K.S.; Pereira, E.D.P.R.; Pimentel, R.M.M.; Andrade, S.A.C.; Portela, F.H.; Bernardino, A.V.S. Physical, physicochemical and taxonomic characterization of Psidium araça Raddi. J. Environ. Anal. Prog. 2016, 1, 106. [Google Scholar] [CrossRef]
- Dos Santos, M.A.C.; De Queiroz, M.A.; Bispo, J.D.S.; Dantas, B.F. Seed germination of Brazilian guava (Psidium guineense Swartz.). J. Seed Sci. 2015, 37, 214–221. [Google Scholar] [CrossRef]
- Dos Santos, M.A.C.; do Rêgo, M.M.; de Queiróz, M.A.; Caproni, D.T.R.; Dietrich, O.H.S.; Santos, A.F.; Rocha, D.I.; Batista, D.S.; Otoni, W.C. In vitro growth performance of Psidium guajava and P. guineense plantlets as affected by culture medium formu-lations. Vegetos 2020, 33, 435–445. [Google Scholar] [CrossRef]
- Fernandes, T.G.; De Mesquita, A.R.C.; Randau, K.P.; Franchitti, A.A.; Ximenes, E.A. In Vitro Synergistic Effect of Psidium guineense (Swartz) in Combination with Antimicrobial Agents against Methicillin-Resistant Staphylococcus aureus Strains. Sci. World J. 2012, 2012, 1–7. [Google Scholar] [CrossRef]
- Neto, M.A.; De Alencar, J.W.; Cunha, A.N.; Silveira, E.R.; Batista, T.G. Volatile Constituents ofPsidium pohlianumBerg, andPsidium guyanensisPers. J. Essent. Oil Res. 1994, 6, 299–300. [Google Scholar] [CrossRef]
- Nascimento, K.F.D.; Moreira, F.M.F.; Santos, J.A.; Kassuya, C.A.L.; Croda, J.H.R.; Cardoso, C.A.L.; Vieira, M.D.C.; Ruiz, A.L.T.G.; Foglio, M.A.; De Carvalho, J.E.; et al. Antioxidant, anti-inflammatory, antiproliferative and antimycobacterial activities of the essential oil of Psidium guineense Sw. and spathulenol. J. Ethnopharmacol. 2018, 210, 351–358. [Google Scholar] [CrossRef]
- Peralta-Bohórquezo, A.F.; Parada, F.; Quijano, C.E.; Pino, J.A. Analysis of Volatile Compounds of Sour Guava (Psidium guin-eense Swartz) Fruit. J. Essent. Oil Res. 2010, 22, 493–498. [Google Scholar] [CrossRef]
- Medeiros, F.C.M.; Del Menezzi, C.H.S.; Vieira, R.F.; Fernandes, Y.F.M.; Santos, M.C.S.; Bizzo, H.R. Scents from Brazilian Cerrado: Chemical composition of the essential oil from Psidium laruotteanum Cambess (Myrtaceae). J. Essent. Oil Res. 2018, 30, 253–257. [Google Scholar] [CrossRef]
- Fagg, C.W.; Lughadha, E.N.; Milliken, W.; Nicholas Hind, D.J.; Brandão, M.G.L. Useful Brazilian plants listed in the manu-scripts and publications of the Scottish medic and naturalist George Gardner (1812–1849). J. Ethnopharmacol. 2015, 161, 18–29. [Google Scholar] [CrossRef]
- Durães, E.R.B.; Clementino, C.D.O.; Fari, L.R.; Ramos, L.M.; Oliveira, M.S.; De Paula, J.A.M.; Naves, P.L.F. Phytochemical study, toxicity and antimicrobial activity of Psidium myrsinites DC. (Myrtaceae) leaves. Biosci. J. 2017, 33, 1305–1313. [Google Scholar] [CrossRef]
- Dias, C.N.; Alves, L.P.L.; Rodrigues, K.A.D.F.; Brito, M.C.A.; Rosa, C.D.S.; Amaral, F.M.M.D.; Monteiro, O.D.S.; Andrade, E.H.D.A.; Maia, J.G.S.; Moraes, D.F.C. Chemical Composition and Larvicidal Activity of Essential Oils Extracted from Brazilian Legal Amazon Plants againstAedes aegyptiL. (Diptera: Culicidae). Evidence-Based Complement. Altern. Med. 2015, 2015, 1–8. [Google Scholar] [CrossRef] [PubMed]
- Medeiros, F.C.M.; Del Menezzi, C.H.S.; Bizzo, H.R.; Vieira, R.F. Scents from Brazilian Cerrado: Psidium myrsinites DC. (Myrtaceae) leaves and inflorescences essential oil. J. Essent. Oil Res. 2015, 27, 289–292. [Google Scholar] [CrossRef]
- Dias, A.L.B.; Batista, H.R.F.; Estevam, E.B.B.; Alves, C.C.F.; Forim, M.R.; Nicolella, H.D.; Furtado, R.A.; Tavares, D.C.; Silva, T.S.; Martins, C.H.G.; et al. Chemical composition and in vitro antibacterial and antiproliferative activities of the essential oil from the leaves of Psidium myrtoides O. Berg (Myrtaceae). Nat. Prod. Res. 2019, 33, 2566–2570. [Google Scholar] [CrossRef] [PubMed]
- Souza, C.D.; Felfili, J.M. Uso de plantas medicinais na região de Alto Paraíso de Goiás, GO, Brasil. Acta Bot. Bras. 2006, 20, 135–142. [Google Scholar] [CrossRef]
- De Macêdo, D.G.; de Almeida Souza, M.M.; Morais-Braga, M.F.B.; Coutinho, H.D.M.; dos Santos, A.T.L.; Machado, A.J.T.; Rodrigues, F.F.G.; da Costa, J.G.M.; de Menezes, I.R.A. Seasonality influence on the chemical composition and antifungal activity of Psidium myrtoides O. Berg. South Afr. J. Bot. 2020, 128, 9–17. [Google Scholar] [CrossRef]
- Vieira, R.F.; Agostini-Costa, T.D.; Silva, D.B.; Ferreira, F.R.; Sano, S.M. Frutas Nativas da Região Centro-Oste do Brasil, 1st ed.; Embrapa Recursos Genéticos e Biotecnologia: Brasília, Brazil, 2006; ISBN 9788587697448. [Google Scholar]
- Landrum, L.R. A revision of the Psidium salutare complex (Myrtaceae). SIDA Contrib. Bot. 2003, 20, 1449–1469. [Google Scholar]
- Rossini, C.; Dellacassa, E.; Moyna, P. Comparative Study of the Leaf Oils of Psidium luridum and Psidium incanum. J. Essent. Oil Res. 1994, 6, 513–515. [Google Scholar] [CrossRef]
- Santos, F.; Rao, V.; Silveira, E. Naloxone-resistant antinociceptive activity in the essential oil of Psidium pohlianum Berg. Phytomedicine 1996, 3, 197–201. [Google Scholar] [CrossRef]
- Pino, J.A.; Bello, A.; Urquiola, A.; Agüero, J. Leaf Oil of Psidium salutare (HBK) Berg. from Cuba. J. Essent. Oil Res. 2003, 15, 19–20. [Google Scholar] [CrossRef]
- Pino, J.A.; Bello, A.; Urquiola, A.; Aguero, J.; Marbot, R. Leaf Oils of Psidium cymosum Urb. and Psidium sartorianum Niedz. from Cuba. J. Essent. Oil Res. 2003, 15, 187–188. [Google Scholar] [CrossRef]
- Moniz, A.M.H.; De Carvalho Neto, M.F.; Goncalves Reis De Melo, A.C.; Takahashi, J.A.; Ferraz, V.P.; Chagas, E.A.; Chagas Cardoso, P.; De Melo Filho, A.A. Biological Evaluation of Essential Oil from Green Fruits of Psidium Striatulum of the Roraima State, Brazil. Chem. Eng. Trans. 2019, 75, 379–384. [Google Scholar]
- Pino, J.A.; Marbot, R.; Payo, A.; Chao, D.; Herrera, P. Aromatic Plants from Western Cuba VII. Composition of the Leaf Oils of Psidium wrightii Krug et Urb., Lantana involucrata L., Cinnamomum montanum (Sw.) Berchtold et J. Persl. And Caesalpinia violacea (Mill.) Standley. J. Essent. Oil Res. 2006, 18, 170–174. [Google Scholar] [CrossRef]
- Pino, J.A.; Rosado, A.; Bello, A.; Urquiobi, A.; Garcia, S. Essential Oil of Psidium rotundatum Griseb. from Cuba. J. Essent. Oil Res. 1999, 11, 783–784. [Google Scholar] [CrossRef]
- Sampaio, R.S.; Petícia do Nascimento, E.; Alencar de Menezes, I.R.; Sales, V.S.; Brito Pereira, A.O.; Mendes de Lacerda, G.; Santos, E.S.; Pereira Lopes, M.J.; Gomes da Silva, L.; de Araújo Delmondes, G.; et al. Antinociceptive activity of the Psidium brownianum Mart ex DC. leaf essential oil in mice. Food Chem. Toxicol. 2020, 135, 111053. [Google Scholar] [CrossRef] [PubMed]
- Ramos, M.F.S.; Siani, A.C.; Souza, M.C.; Rosas, E.C.; Henriques, M.G.M.O. Avaliação da atividade antiinflamatória dos óleos essenciais de cinco espécies de Myrtaceae. Rev. Fitos 2006, 2, 58–66. [Google Scholar]
- Nunes, X.P.; Silva, F.S.; Almeida, J.R.G.S.; de Lima, J.T.; Ribeiro, L.A.A.; Quintans Júnior, L.J.; Barbosa Filho, J.M. Biological Oxidations and Antioxidant Activity of Natural Products. In Phytochemicals as Nutraceuticals—Global Approaches to Their Role in Nutrition and Health; Rao, V., Ed.; IntechOpen: London, UK, 2012. [Google Scholar]
- Di Santo, R. Natural products as antifungal agents against clinically relevant pathogens. Nat. Prod. Rep. 2010, 27, 1084–1098. [Google Scholar] [CrossRef] [PubMed]
- Barrett, D. From natural products to clinically useful antifungals. Biochim. Biophys. Acta Mol. Basis Dis. 2002, 1587, 224–233. [Google Scholar] [CrossRef]
- D’agostino, M.; Tesse, N.; Frippiat, J.P.; Machouart, M.; Debourgogne, A. Essential Oils and Their Natural Active Compounds Presenting Antifungal Properties. Molecules 2019, 24, 3713. [Google Scholar] [CrossRef] [PubMed]
- Rao, A.; Zhang, Y.; Muend, S.; Rao, R. Mechanism of Antifungal Activity of Terpenoid Phenols Resembles Calcium Stress and Inhibition of the TOR Pathway. Antimicrob. Agents Chemother. 2010, 54, 5062–5069. [Google Scholar] [CrossRef]
- Kumar, A.; Singh, S.; Kumar, A.; Bawankule, D.U.; Tandon, S.; Singh, A.K.; Verma, R.S.; Saikia, D. Chemical composition, bactericidal kinetics, mechanism of action, and anti-inflammatory activity of Isodon melissoides (Benth.) H. Hara essential oil. Nat. Prod. Res. 2019, 1–6. [Google Scholar] [CrossRef]
- Saleem, M.; Nazir, M.; Ali, M.S.; Hussain, H.; Lee, Y.S.; Riaz, N.; Jabbar, A. Antimicrobial natural products: An update on future antibiotic drug candidates. Nat. Prod. Rep. 2010, 27, 238–254. [Google Scholar] [CrossRef]
- Gyawali, R.; Ibrahim, S.A. Natural products as antimicrobial agents. Food Control 2014, 46, 412–429. [Google Scholar] [CrossRef]
- Gavarić, N.; Kovač, J.; Kretschmer, N.; Kladar, N.; Možina, S.S.; Bucar, F.; Bauer, R.; Božin, B. Natural Products as Antibacterial Agents—Antibacterial Potential and Safety of Post-distillation and Waste Material from Thymus vulgaris L., Lamiaceae. In Concepts, Compounds and the Alternatives of Antibacterials; Bobbarala, V., Ed.; IntechOpen: London, UK, 2016; p. 31. [Google Scholar]
- Rob, M.M.; Hossen, K.; Iwasaki, A.; Suenaga, K.; Kato-Noguchi, H. Phytotoxic Activity and Identification of Phytotoxic Substances from Schumannianthus dichotomus. Plants 2020, 9, 102. [Google Scholar] [CrossRef]
- Luz, T.R.S.A.; de Mesquita, L.S.S.; Amaral, F.M.M.; Coutinho, D.F. Essential oils and their chemical constituents against Aedes aegypti L. (Diptera: Culicidae) larvae. Acta Trop. 2020, 212, 105705. [Google Scholar] [CrossRef]
- Yuan, G.; Wahlqvist, M.L.; He, G.; Yang, M.; Li, D. Natural products and anti-inflammatory activity. Asia Pac. J. Clin. Nutr. 2006, 15, 143–152. [Google Scholar]
- Romano, B.; Iqbal, A.J.; Maione, F. Natural Anti-Inflammatory Products/Compounds: Hopes and Reality. Mediators Inflamm. 2015, 2015, 374239. [Google Scholar] [PubMed]
- Miguel, M.G. Antioxidant and Anti-Inflammatory Activities of Essential Oils: A Short Review. Molecules 2010, 15. [Google Scholar] [CrossRef]
- Russo, R.; Corasaniti, M.T.; Bagetta, G.; Morrone, L.A. Exploitation of cytotoxicity of some essential oils for translation in cancer therapy. Evid. Based Complement. Altern. Med. 2015, 2015, 1–9. [Google Scholar] [CrossRef] [PubMed]
Publisher’s Note: MDPI stays neutral with regard to jurisdictional claims in published maps and institutional affiliations. |
© 2021 by the authors. Licensee MDPI, Basel, Switzerland. This article is an open access article distributed under the terms and conditions of the Creative Commons Attribution (CC BY) license (http://creativecommons.org/licenses/by/4.0/).





