Comparison of Three Accelerated Oxidation Tests Applied to Red Wines with Different Chemical Composition
Abstract
1. Introduction
2. Results and Discussion
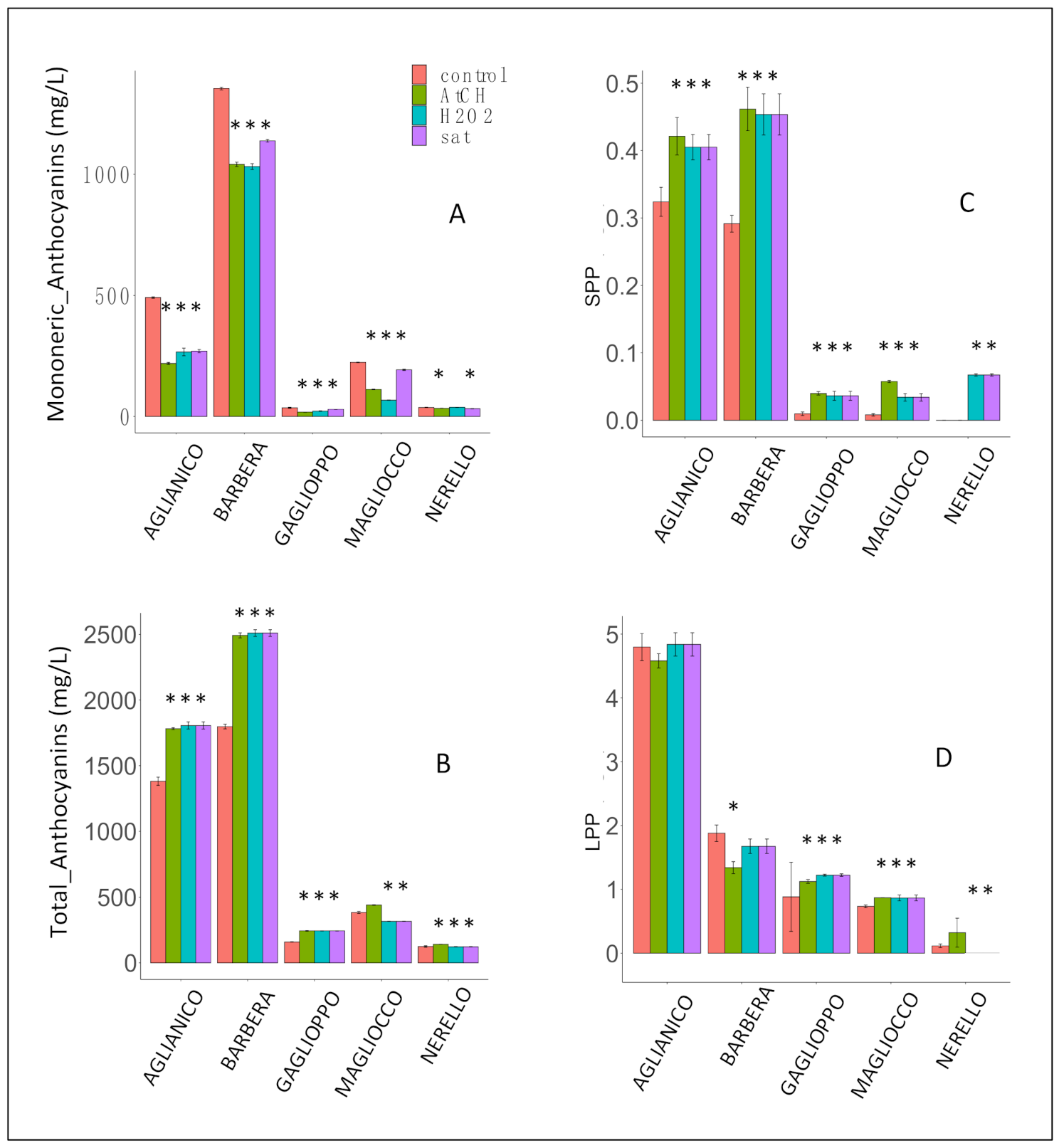
2.1. Variation of Pigments and Chromatic Characteristics
2.2. Variation of Protein Reactive Tannins and Vanillin Reactive Flavans
2.3. Application of Accelerated Oxidation Tests
3. Materials and Methods
3.1. Wines
3.2. Accelerated Oxidation Tests
3.3. Spectrophotometric Analyses
3.4. High-Performance Liquid Chromatography Determination of Acetaldehyde
3.5. High-Performance Liquid Chromatography Analyses of Anthocyanins
3.6. Statistical Analysis
Author Contributions
Funding
Institutional Review Board Statement
Informed Consent Statement
Data Availability Statement
Acknowledgments
Conflicts of Interest
Appendix A
| Aglianico | ||||||||||||
| Control | AtCH | H2O2 | sat | |||||||||
| Dp3glc | 33.29 | ± | 0.53 | 13.33 | ± | 0.49 | 17.08 | ± | 0.61 | 17.28 | ± | 0.37 |
| Cy3glc | 1.12 | ± | 0.02 | 0.47 | ± | 0.06 | 0.64 | ± | 0.08 | 0.58 | ± | 0.13 |
| Pt3glc | 40.07 | ± | 1.34 | 6.79 | ± | 0.19 | 8.39 | ± | 0.35 | 8.47 | ± | 0.51 |
| Pn3glc | 10.29 | ± | 0.47 | 3.58 | ± | 0.67 | 5.41 | ± | 0.19 | 5.85 | ± | 0.06 |
| Mv3glc | 370.44 | ± | 2.50 | 188.06 | ± | 3.02 | 222.50 | ± | 16.39 | 229.24 | ± | 8.24 |
| Mv3acglc | 11.75 | ± | 0.60 | 2.31 | ± | 0.17 | 6.11 | ± | 1.15 | 2.60 | ± | 0.23 |
| Mv3cmglc | 23.77 | ± | 1.72 | 4.46 | ± | 1.73 | 5.48 | ± | 0.67 | 5.17 | ± | 0.61 |
| Tot mon anth | 490.73 | ± | 3.08 | 219.00 | ± | 5.19 | 265.62 | ± | 19.15 | 269.19 | ± | 8.44 |
| Barbera | ||||||||||||
| Control | AtCH | H2O2 | sat | |||||||||
| Dp3glc | 87.24 | ± | 0.90 | 64.71 | ± | 1.72 | 63.15 | ± | 0.87 | 71.24 | ± | 1.85 |
| Cy3glc | 6.95 | ± | 0.92 | 4.38 | ± | 0.92 | 2.19 | ± | 0.24 | 3.64 | ± | 2.04 |
| Pt3glc | 119.70 | ± | 1.09 | 89.83 | ± | 0.94 | 87.03 | ± | 1.21 | 98.57 | ± | 1.54 |
| Pn3glc | 42.09 | ± | 0.52 | 31.21 | ± | 2.53 | 32.80 | ± | 0.09 | 35.23 | ± | 1.40 |
| Mv3glc | 883.90 | ± | 1.97 | 692.66 | ± | 6.52 | 682.79 | ± | 9.52 | 762.20 | ± | 0.52 |
| Mv3acglc | 139.47 | ± | 3.07 | 101.87 | ± | 2.92 | 108.71 | ± | 0.75 | 112.60 | ± | 3.72 |
| Mv3cmglc | 75.47 | ± | 0.65 | 57.04 | ± | 1.77 | 50.94 | ± | 2.76 | 55.10 | ± | 2.63 |
| tot mon anth | 1354.81 | ± | 6.78 | 1041.70 | ± | 8.88 | 1027.62 | ± | 9.45 | 1138.58 | ± | 9.59 |
| Gaglioppo | ||||||||||||
| Control | AtCH | H2O2 | sat | |||||||||
| Dp3glc | 1.63 | ± | 0.05 | 0.87 | ± | 0.04 | 1.06 | ± | 0.09 | 1.59 | ± | 0.04 |
| Cy3glc | 0.97 | ± | 0.03 | 0.35 | ± | 0.05 | 0.46 | ± | 0.15 | 0.92 | ± | 0.06 |
| Pt3glc | 2.66 | ± | 0.18 | 1.63 | ± | 0.06 | 1.82 | ± | 0.27 | 2.29 | ± | 0.13 |
| Pn3glc | 2.53 | ± | 0.15 | 1.09 | ± | 0.10 | 1.42 | ± | 0.03 | 2.33 | ± | 0.24 |
| Mv3glc | 21.76 | ± | 0.67 | 11.99 | ± | 0.12 | 14.99 | ± | 0.31 | 18.10 | ± | 0.46 |
| Mv3acglc | 1.62 | ± | 1.50 | 0.39 | ± | 0.12 | 0.39 | ± | 0.05 | 0.51 | ± | 0.12 |
| Mv3cmglc | 5.32 | ± | 0.80 | 1.70 | ± | 0.30 | 2.42 | ± | 0.86 | 3.96 | ± | 1.23 |
| tot mon anth | 36.48 | ± | 2.07 | 18.03 | ± | 0.33 | 22.57 | ± | 1.12 | 30.07 | ± | 0.95 |
| Magliocco | ||||||||||||
| Control | AtCH | H2O2 | sat | |||||||||
| Dp3glc | 6.93 | ± | 0.18 | 3.21 | ± | 0.17 | 1.52 | ± | 0.14 | 5.63 | ± | 0.23 |
| Cy3glc | 2.26 | ± | 0.28 | 1.11 | ± | 0.05 | 0.50 | ± | 0.03 | 1.83 | ± | 0.17 |
| Pt3glc | 10.96 | ± | 0.07 | 5.13 | ± | 0.23 | 2.73 | ± | 0.05 | 9.13 | ± | 0.08 |
| Pn3glc | 9.72 | ± | 0.72 | 4.50 | ± | 0.15 | 2.42 | ± | 0.13 | 8.67 | ± | 0.10 |
| Mv3glc | 167.91 | ± | 0.57 | 86.66 | ± | 1.09 | 53.12 | ± | 0.50 | 146.79 | ± | 0.81 |
| Mv3acglc | 7.56 | ± | 0.62 | 3.56 | ± | 0.25 | 2.04 | ± | 0.59 | 6.98 | ± | 0.56 |
| Mv3cmglc | 17.72 | ± | 1.39 | 7.84 | ± | 0.32 | 5.16 | ± | 0.70 | 14.45 | ± | 1.98 |
| tot mon anth | 223.06 | ± | 1.25 | 112.00 | ± | 1.44 | 67.50 | ± | 0.19 | 193.48 | ± | 3.47 |
| Nerello | ||||||||||||
| Control | AtCH | H2O2 | sat | |||||||||
| Dp3glc | 4.48 | ± | 0.14 | 3.92 | ± | 0.02 | 4.03 | ± | 0.11 | 3.64 | ± | 0.13 |
| Cy3glc | 2.74 | ± | 0.08 | 2.44 | ± | 0.11 | 2.55 | ± | 0.02 | 2.94 | ± | 0.10 |
| Pt3glc | 4.60 | ± | 0.17 | 4.07 | ± | 0.04 | 4.43 | ± | 0.06 | 3.07 | ± | 0.10 |
| Pn3glc | 5.26 | ± | 0.21 | 4.44 | ± | 0.17 | 5.04 | ± | 0.05 | 3.90 | ± | 0.21 |
| Mv3glc | 20.03 | ± | 1.09 | 18.97 | ± | 0.42 | 21.40 | ± | 0.12 | 18.46 | ± | 1.21 |
| Mv3acglc | 0.13 | ± | 0.02 | 0.18 | ± | 0.06 | 0.17 | ± | 0.02 | 0.29 | ± | 0.01 |
| Mv3cmglc | 0.31 | ± | 0.10 | 0.13 | ± | 0.06 | 0.26 | ± | 0.25 | 0.22 | ± | 0.02 |
| tot mon anth | 37.55 | ± | 1.40 | 34.15 | ± | 0.36 | 37.88 | ± | 0.18 | 32.70 | ± | 0.89 |



References
- Du Toit, W.J.; Marais, J.; Pretorius, I.S.; Du Toit, M. Oxygen in must and wine: A review. S. Afr. J. Enol. Vitic. 2006, 27, 76–94. [Google Scholar] [CrossRef]
- Waterhouse, A.L.; Laurie, V.F. Oxidation of wine phenolics: A critical evaluation and hypotheses. Am. J. Enol. Vitic. 2006, 57, 306–313. [Google Scholar]
- Waterhouse, A.L.; Sacks, G.L.; Jeffery, D.W. Understanding Wine Chemistry; John Wiley & Sons: Hoboken, NJ, USA, 2016. [Google Scholar]
- Picariello, L.; Gambuti, A.; Picariello, B.; Moio, L. Evolution of pigments, tannins and acetaldehyde during forced oxidation of red wine: Effect of tannins addition. LWT 2017, 77, 370–375. [Google Scholar] [CrossRef]
- Deshaies, S.; Cazals, G.; Enjalbal, C.; Constantin, T.; Garcia, F.; Mouls, L.; Saucier, C. Red Wine Oxidation: Accelerated Ageing Tests, Possible Reaction Mechanisms and Application to Syrah Red Wines. Antioxidants 2020, 9, 663. [Google Scholar] [CrossRef]
- Sheridan, M.K.; Elias, R.J. Exogenous acetaldehyde as a tool for modulating wine color and astringency during fermentation. Food Chem. 2015, 177, 17–22. [Google Scholar] [CrossRef] [PubMed]
- Teng, B.; Hayasaka, Y.; Smith, P.A.; Bindon, K.A. Effect of Grape Seed and Skin Tannin Molecular Mass and Composition on the Rate of Reaction with Anthocyanin and Subsequent Formation of Polymeric Pigments in the Presence of Acetaldehyde. J. Agric. Food Chem. 2019, 67, 8938–8949. [Google Scholar] [CrossRef] [PubMed]
- Gambuti, A.; Picariello, L.; Rinaldi, A.; Moio, L. Evolution of Sangiovese wines with varied tannin and anthocyanin ratios during oxidative aging. Front. Chem. 2018, 6, 63. [Google Scholar] [CrossRef] [PubMed]
- Ferreira, V.; Carrascon, V.; Bueno, M.; Ugliano, M.; Fernandez-Zurbano, P. Oxygen consumption by red wines. Part I: Consumption rates, relationship with chemical composition, and role of SO2. J. Agric. Food Chem. 2015, 63, 10928–10937. [Google Scholar] [CrossRef]
- Jenkins, T.W.; Howe, P.A.; Sacks, G.L.; Waterhouse, A.L. Determination of Molecular and “Truly” Free Sulfur Dioxide in Wine: A Comparison of Headspace and Conventional Methods. Am. J. Enol. Vitic. 2020, 71, 222–230. [Google Scholar] [CrossRef]
- Harbertson, J.F.; Picciotto, E.A.; Adams, D.O. Measurement of polymeric pigments in grape berry extract sand wines using a protein precipitation assay combined with bisulfite bleaching. Am. J. Enol. Vitic. 2003, 54, 301–306. [Google Scholar]
- Waterhouse, A.L.; Zhu, J. A quarter century of wine pigment discovery. J. Sci. Food Agric. 2020, 100, 5093–5101. [Google Scholar] [CrossRef] [PubMed]
- Pérez-Magariño, S.; González-San José, M.L. Evolution of flavanols, anthocyanins, and their derivatives during the aging of red wines elaborated from grapes harvested at different stages of ripening. J. Agric. Food Chem. 2004, 52, 1181–1189. [Google Scholar] [CrossRef] [PubMed]
- Avizcuri, J.M.; Sáenz-Navajas, M.P.; Echávarri, J.F.; Ferreira, V.; Fernández-Zurbano, P. Evaluation of the impact of initial red wine composition on changes in color and anthocyanin content during bottle storage. Food Chem. 2016, 213, 123–134. [Google Scholar] [CrossRef] [PubMed]
- Howe, P.A.; Worobo, R.; Sacks, G.L. Conventional measurements of sulfur dioxide (SO2) in red wine overestimate SO2 antimicrobial activity. Am. J. Enol. Vitic. 2018, 69, 210–220. [Google Scholar] [CrossRef]
- Mokrzycki, W.S.; Tatol, M. Colour difference∆ E-A survey. Mach. Graph. Vis. 2011, 20, 383–411. [Google Scholar]
- Sacks, G.L.; Howe, P.A.; Standing, M.; Danilewicz, J.C. Free, Bound, and Total Sulfur Dioxide (SO2) during Oxidation of Wines. Am. J. Enol. Vitic. 2020, 71, 266–277. [Google Scholar] [CrossRef]
- Vrhovsek, U.; Mattivi, F.; Waterhouse, A.L. Analysis of red wine phenolics: Comparison of HPLC and spectrophotometric methods. Vitis 2001, 40, 87–91. [Google Scholar]
- Timberlake, C.F.; Bridle, P. Interactions between anthocyanins, phenolic compounds, and acetaldehyde and their significance in red wines. Am. J. Enol. Vitic. 1976, 27, 97–105. [Google Scholar]
- Poncet-Legrand, C.; Cabane, B.; Bautista-Ortín, A.B.; Carrillo, S.; Fulcrand, H.; Pérez, J.; Vernhet, A. Tannin oxidation: Intra-versus intermolecular reactions. Biomacromolecules 2010, 11, 2376–2386. [Google Scholar] [CrossRef]
- Forino, M.; Picariello, L.; Lopatriello, A.; Moio, L.; Gambuti, A. New insights into the chemical bases of wine color evolution and stability: The key role of acetaldehyde. Eur. Food Res. Technol. 2020, 246, 733–743. [Google Scholar] [CrossRef]
- Rivas-Gonzalo, J.C.; Bravo-Haro, S.; Santos-Buelga, C. Detection of compounds formed through the reaction of malvidin 3-monoglucoside and catechin in the presence of acetaldehyde. J. Agric. Food Chem. 1995, 43, 1444–1449. [Google Scholar] [CrossRef]
- Zhang, X.K.; Lan, Y.B.; Huang, Y.; Zhao, X.; Duan, C.Q. Targeted metabolomics of anthocyanin derivatives during prolonged wine aging: Evolution, color contribution and aging prediction. Food Chem. 2020, 339, 127795. [Google Scholar] [CrossRef] [PubMed]
- Escribano-Bailón, T.; Álvarez-García, M.; Rivas-Gonzalo, J.C.; Heredia, F.J.; Santos-Buelga, C. Color and stability of pigments derived from the acetaldehyde-mediated condensation between malvidin 3-O-glucoside and (+)-catechin. J. Agric. Food Chem. 2001, 49, 1213–1217. [Google Scholar] [CrossRef] [PubMed]
- Organisation Internationale de la Vigne et du Vin. Compendium of International Methods of wine And Must Analysis. Available online: https://www.oiv.int (accessed on 13 December 2020).
- R Core Team. R: A Language and Environment for Statistical Computing; R Foundation for Statistical Computing: Vienna, Austria, 2020; Available online: https://www.R-project.org/ (accessed on 3 November 2020).
- Kay, M.; Wobbrock, J. ARTool: Aligned Rank Transform for Nonparametric Factorial ANOVAs, R Package Version 0.10.8. 2020. Available online: https://github.com/mjskay/ARTool (accessed on 3 November 2020).
- Wobbrock, J.; Findlater, L.; Gergle, D.; Higgins, J. The Aligned Rank Transform for Nonparametric Factorial Analyses Using Only ANOVA Procedures. In Proceedings of the ACM Conference on Human Factors in Computing Systems (CHI ‘11), Vancouver, BC, Canada, 7–12 May 2011; pp. 143–146. [Google Scholar]
- Kassambara, A. Practical Guide to Principal Component Methods in R: PCA, M (CA), FAMD, MFA, HCPC, Factoextra; STHDA: Marseille, France, 2017; Volume 2. [Google Scholar]




| Total Acidity (mg/L) | Aglianico | Barbera | Gaglioppo | Magliocco | Nerello | ||||||||||
|---|---|---|---|---|---|---|---|---|---|---|---|---|---|---|---|
| EtOH (%) | 15.11 | ± | 0.14 | 13.34 | ± | 0.06 | 13.05 | ± | 0.01 | 10.68 | ± | 0.02 | 11.47 | ± | 0.02 |
| pH | 3.25 | ± | 0.02 | 3.77 | ± | 0.01 | 3.55 | ± | 0.01 | 3.84 | ± | 0.08 | 3.77 | ± | 0.01 |
| free SO2 (mg/L) | 12.65 | ± | 0.44 | 19.77 | ± | 0.80 | 11.1 | ± | 0.60 | 7.15 | ± | 0.05 | 2.40 | ± | 0.01 |
| total SO2 (mg/L) | 47.05 | ± | 0.66 | 37.45 | ± | 0.10 | 61.60 | ± | 0.46 | 26.4 | ± | 0.16 | 16.75 | ± | 1.90 |
| total acidity (mg/L) | 7.17 | ± | 0.04 | 4.59 | ± | 0.05 | 5.57 | ± | 0.10 | 4.65 | ± | 0.01 | 4.20 | ± | 0.05 |
| volatile acidity (mg/L) | 0.51 | ± | 0.02 | 0.69 | ± | 0.02 | 0.93 | ± | 0.02 | 0.61 | ± | 0.01 | 0.64 | ± | 0.01 |
| sugar (mg/L) | 1.95 | ± | 0.12 | 2.3 | ± | 0.11 | 1.92 | ± | 0.09 | 1.39 | ± | 0.01 | 1.7 | ± | 0.14 |
| monomeric anthocyanins (mg/L)/BSA Reactive Tannins (mg/L) | 0.31 | 2.40 | 0.03 | 0.22 | 0.05 | ||||||||||
| Name | L* | a(u)* | b(v)* | Chromacity | Hue Angle | ∆E |
|---|---|---|---|---|---|---|
| Aglianico | ||||||
| control | 41.5 ± 0.31 | 40.15 ± 0.1 | 9.325 ± 0.05 | 41.25 ± 0.01 | 41.25 ± 0.02 | |
| sat | 37.67 ± 0.05 | 42.57 ± 0.05 | 11.72 ± 0.05 | 44.17 ± 0.05 | 15.42 ± 0.05 | 5.13 ± 0.19 |
| H2O2 | 36.42 ± 0.09 | 43.25 ± 0.05 | 11.37 ± 0.05 | 44.75 ± 0.05 | 14.75 ± 0.05 | 6.29 ± 0.18 |
| AtCH | 36.57 ± 0.20 | 43.75 ± 0.70 | 11.15 ± 0.17 | 45.12 ± 0.72 | 14.3 ± 0.00 | 6.41 ± 0.14 |
| Barbera | ||||||
| control | 51.8 ± 0.12 | 28.775 ± 0.05 | 10.7 ± 0.08 | 30.7 ± 0.08 | 20.4 ± 0.08 | |
| sat | 40.9 ± 0.2 | 41.025 ± 0.12 | 12.475 ± 0.05 | 42.87 ± 0.09 | 16.95 ± 0.1 | 16.49 ± 0.18 |
| H2O2 | 39.52 ± 0.09 | 41.72 ± 0.05 | 11.22 ± 0.05 | 43.17 ± 0.09 | 15.05 ± 0.05 | 17.85 ± 0.09 |
| AtCH | 39.67 ± 0.20 | 42.8 ± 0.11 | 11.52 ± 0.09 | 44.35 ± 0.05 | 15.07 ± 0.15 | 18.56 ± 0.11 |
| Gaglioppo | ||||||
| control | 71.25 ± 0.45 | 9.3 ± 0.10 | 5.63 ± 0.20 | 10.86 ± 0.05 | 31.12 ± 1.19 | |
| sat | 70.27 ± 0.05 | 11.17 ± 0.05 | 9.67 ± 0.05 | 14.77 ± 0.05 | 40.77 ± 0.05 | 4.59 ± 0.16 |
| H2O2 | 70.37 ± 0.05 | 11.0 ± 0.8 | 9.3 ± 0.00 | 14.4 ± 0.8 | 40.2 ± 0.14 | 4.18 ± 0.13 |
| AtCH | 69.85 ± 0.75 | 11.27 ± 0.05 | 9.52 ± 0.32 | 14.8 ± 0.18 | 40.17 ± 1.01 | 4.63 ± 0.12 |
| Magliocco | ||||||
| control | 71.42 ± 0.12 | 9.35 ± 0.05 | 8.52 ± 0.09 | 12.65 ± 0.19 | 42.3 ± 0.21 | |
| sat | 67.45 ± 0.05 | 14.5 ± 0.00 | 6.05 ± 0.1 | 15.67 ± 0.05 | 22.725 ± 0.29 | 6.96 ± 0.13 |
| H2O2 | 69.22 ± 0.32 | 12.42 ± 0.32 | 6.65 ± 0.05 | 14.1 ± 0.29 | 28.17 ± 0.74 | 4.24 ± 0.43 |
| AtCH | 65.27 ± 0.98 | 15.92 ± 0.26 | 5.1 ± 0.32 | 16.72 ± 0.36 | 17.65 ± 0.83 | 9.68 ± 0.78 |
| Nerello | ||||||
| control | 75.35 ± 0.7 | 4.2 ± 0.27 | 4.975 ± 0.05 | 6.575 ± 0.15 | 50.075 ± 2.11 | |
| sat | 74.15 ± 0.13 | 6.5 ± 0.00 | 5.7 ± 0.00 | 8.62 ± 0.05 | 41.37 ± 0.09 | 2.83 ± 0.8 |
| H2O2 | 74.5 ± 0.18 | 5.92 ± 0.05 | 5.65 ± 0.12 | 8.17 ± 0.09 | 43.65 ± 0.23 | 2.16 ± 0.46 |
| AtCH | 73.8 ± 0.5 | 6.27 ± 0.09 | 5.55 ± 0.17 | 8.37 ± 0.20 | 41.62 ± 0.55 | 2.82 ± 0.80 |
Publisher’s Note: MDPI stays neutral with regard to jurisdictional claims in published maps and institutional affiliations. |
© 2021 by the authors. Licensee MDPI, Basel, Switzerland. This article is an open access article distributed under the terms and conditions of the Creative Commons Attribution (CC BY) license (http://creativecommons.org/licenses/by/4.0/).
Share and Cite
Coppola, F.; Picariello, L.; Forino, M.; Moio, L.; Gambuti, A. Comparison of Three Accelerated Oxidation Tests Applied to Red Wines with Different Chemical Composition. Molecules 2021, 26, 815. https://doi.org/10.3390/molecules26040815
Coppola F, Picariello L, Forino M, Moio L, Gambuti A. Comparison of Three Accelerated Oxidation Tests Applied to Red Wines with Different Chemical Composition. Molecules. 2021; 26(4):815. https://doi.org/10.3390/molecules26040815
Chicago/Turabian StyleCoppola, Francesca, Luigi Picariello, Martino Forino, Luigi Moio, and Angelita Gambuti. 2021. "Comparison of Three Accelerated Oxidation Tests Applied to Red Wines with Different Chemical Composition" Molecules 26, no. 4: 815. https://doi.org/10.3390/molecules26040815
APA StyleCoppola, F., Picariello, L., Forino, M., Moio, L., & Gambuti, A. (2021). Comparison of Three Accelerated Oxidation Tests Applied to Red Wines with Different Chemical Composition. Molecules, 26(4), 815. https://doi.org/10.3390/molecules26040815

