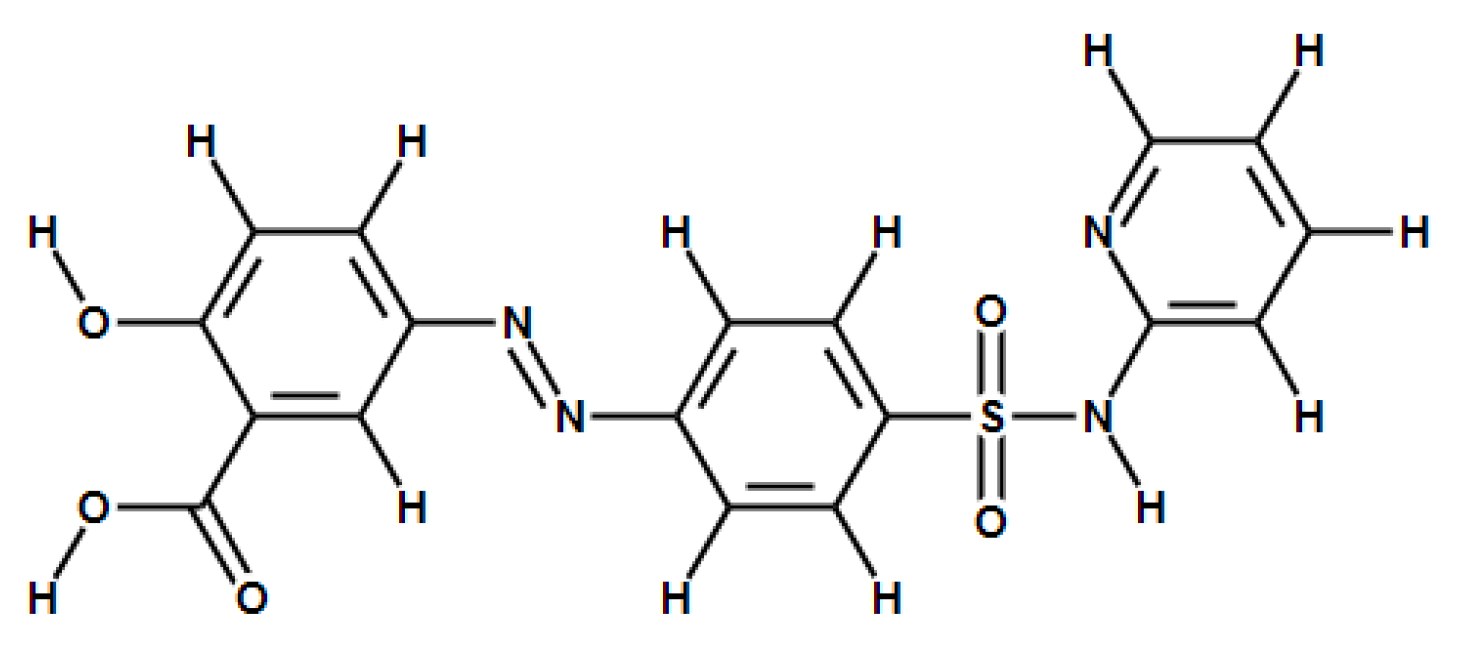
Quantification and Metabolite Identification of Sulfasalazine in Mouse Brain and Plasma Using Quadrupole-Time-of-Flight Mass Spectrometry
Abstract
1. Introduction
2. Results
2.1. Method Development and Qualification
2.2. Pharmacokinetic Study–Kpbrain
2.3. In Vivo Metabolite Identification
2.3.1. Collision-Induced Dissociation (CID) Analysis
2.3.2. Brain Distribution
2.3.3. In Vivo Metabolites Identification
3. Discussion and Conclusions
4. Materials and Methods
4.1. Reagents and Chemicals
4.2. Preparation of Analytical Stock and Standards Solutions
4.3. Sample Preparation
4.4. LC-ESI-TOF-MS Condition
4.5. Animal Study Design
4.6. H/D Exchange Study
4.7. Data Analysis for Pharmacokinetic and MetID Study
Author Contributions
Funding
Data Availability Statement
Conflicts of Interest
Sample Availability
References
- Upadhyay, R.K. Drug delivery systems, CNS protection, and the blood brain barrier. BioMed Res. Int. 2014, 2014, 869269. [Google Scholar] [CrossRef]
- Di, L.; Kerns, E.H. Blood-Brain Barrier in Drug Discovery: Optimizing Brain Exposure of CNS Drugs and Minimizing Brain Side Effects for Peripheral Drugs; John Wiley & Sons: Hoboken, NJ, USA, 2015. [Google Scholar]
- Huang, Y.; Dai, Z.; Barbacioru, C.; Sadée, W. Cystine-glutamate transporter SLC7A11 in cancer chemosensitivity and chemoresistance. Cancer Res. 2005, 65, 7446–7454. [Google Scholar] [CrossRef]
- Lo, M.; Wang, Y.Z.; Gout, P.W. The x cystine/glutamate antiporter: A potential target for therapy of cancer and other diseases. J. Cell Physiol. 2008, 215, 593–602. [Google Scholar] [CrossRef]
- Robert, S.M.; Sontheimer, H. Glutamate transporters in the biology of malignant gliomas. Cell Mol. Life Sci. 2014, 71, 1839–1854. [Google Scholar] [CrossRef] [PubMed]
- Plosker, G.L.; Croom, K.F. Sulfasalazine: A review of its use in the management of rheumatoid arthritis. Drugs 2005, 65, 2591. [Google Scholar] [CrossRef]
- Robe, P.A.; Bentires-Alj, M.; Bonif, M.; Rogister, B.; Deprez, M.; Haddada, H.; Khac, M.-T.N.; Jolois, O.; Erkmen, K.; Merville, M.-P. In vitro and in vivo activity of the nuclear factor-κB inhibitor sulfasalazine in human glioblastomas. Clin. Cancer Res. 2004, 10, 5595–5603. [Google Scholar] [CrossRef]
- Gout, P.; Buckley, A.; Simms, C.; Bruchovsky, N. Sulfasalazine, a potent suppressor of lymphoma growth by inhibition of the xc− cystine transporter: A new action for an old drug. Leukemia 2001, 15, 1633–1640. [Google Scholar] [CrossRef] [PubMed]
- Sontheimer, H.; Bridges, R.J. Sulfasalazine for brain cancer fits. Expert Opin Investig Drugs 2012, 21, 575–578. [Google Scholar] [CrossRef] [PubMed]
- Nashed, M.G.; Ungard, R.G.; Young, K.; Zacal, N.J.; Seidlitz, E.P.; Fazzari, J.; Frey, B.N.; Singh, G. Behavioural effects of using sulfasalazine to inhibit glutamate released by cancer cells: A novel target for cancer-induced depression. Sci. Rep. 2017, 7, 1–11. [Google Scholar] [CrossRef]
- Alcoreza, O.; Tewari, B.P.; Bouslog, A.; Savoia, A.; Sontheimer, H.; Campbell, S.L. Sulfasalazine decreases mouse cortical hyperexcitability. Epilepsia 2019, 60, 1365–1377. [Google Scholar] [CrossRef]
- Chungi, V.S.; Dittert, L.W.; Shargel, L. Pharmacokinetics of sulfasalazine metabolites in rats following concomitant oral administration of riboflavin. Pharm. Res. 1989, 6, 1067–1072. [Google Scholar] [CrossRef] [PubMed]
- Sjöquist, B.; Ahnfelt, N.-O.; Andersson, S.; Fjellner, G.; Hatsuoka, M.; Olsson, L.-I.; Ljungstedt-Påhlman, I. Pharmacokinetics of Salazosulfapyridine (Sulfasalazine, SASP)(I): Plasma kinetics and plasma metabolites in the rat after a single intravenous or oral administration. Drug Metab. Pharmacokinet. 1991, 6, 425–437. [Google Scholar] [CrossRef][Green Version]
- Zaher, H.; Khan, A.A.; Palandra, J.; Brayman, T.G.; Yu, L.; Ware, J.A. Breast cancer resistance protein (Bcrp/abcg2) is a major determinant of sulfasalazine absorption and elimination in the mouse. Mol. Pharm. 2006, 3, 55–61. [Google Scholar] [CrossRef] [PubMed]
- Hanngren, Å.; Hansson, E.; Svartz, N.; Ullberg, S. Distribution and Metabolism of Salicyl-azo-sulfapyridine: I. A Study with C14-salicyl-azo-sulfapyridine and C14-5-amino-salicylic Acid 1. Acta Med. Scand. 1963, 173, 61–72. [Google Scholar] [CrossRef] [PubMed]
- Zamek-Gliszczynski, M.J.; Bedwell, D.W.; Bao, J.Q.; Higgins, J.W. Characterization of SAGE Mdr1a (P-gp), Bcrp, and Mrp2 knockout rats using loperamide, paclitaxel, sulfasalazine, and carboxydichlorofluorescein pharmacokinetics. Drug Metab. Dispos. 2012, 40, 1825–1833. [Google Scholar] [CrossRef]
- Salvamoser, J.D.; Avemary, J.; Luna-Munguia, H.; Pascher, B.; Getzinger, T.; Pieper, T.; Kudernatsch, M.; Kluger, G.; Potschka, H. Glutamate-mediated down-regulation of the multidrug-resistance protein BCRP/ABCG2 in porcine and human brain capillaries. Mol. Pharm. 2015, 12, 2049–2060. [Google Scholar] [CrossRef] [PubMed]
- Mut, S.E.; Kutlu, G.; Ucler, S.; Erdal, A.; Inan, L.E. Reversible encephalopathy due to sulfasalazine. Clin. Neuropharmacol. 2008, 31, 368–371. [Google Scholar] [CrossRef]
- Agarwal, V.; Kommaddi, R.P.; Valli, K.; Ryder, D.; Hyde, T.M.; Kleinman, J.E.; Strobel, H.W.; Ravindranath, V. Drug metabolism in human brain: High levels of cytochrome P4503A43 in brain and metabolism of anti-anxiety drug alprazolam to its active metabolite. PLoS ONE 2008, 3, e2337. [Google Scholar] [CrossRef]
- Hong, L.; Jiang, W.; Pan, H.; Jiang, Y.; Zeng, S.; Zheng, W. Brain regional pharmacokinetics of p-aminosalicylic acid and its N-acetylated metabolite: Effectiveness in chelating brain manganese. Drug Metab. Dispos. 2011, 39, 1904–1909. [Google Scholar] [CrossRef] [PubMed]
- Yerokun, T.; Winfield, L.L. Celecoxib and LLW-3-6 reduce survival of human glioma cells independently and synergistically with sulfasalazine. Anticancer Res. 2015, 35, 6419–6424. [Google Scholar] [PubMed]
- Sehm, T.; Fan, Z.; Ghoochani, A.; Rauh, M.; Engelhorn, T.; Minakaki, G.; Dörfler, A.; Klucken, J.; Buchfelder, M.; Eyüpoglu, I.Y. Sulfasalazine impacts on ferroptotic cell death and alleviates the tumor microenvironment and glioma-induced brain edema. Oncotarget 2016, 7, 36021. [Google Scholar] [CrossRef] [PubMed]
- Zalipsky, J.; Patel, D.; Reavey-Cantwell, N. Characterization of impurities in sulfasalazine. J. Pharm. Sci. 1978, 67, 387–391. [Google Scholar] [CrossRef] [PubMed]
- Lam, W.; Ramanathan, R. In electrospray ionization source hydrogen/deuterium exchange LC-MS and LC-MS/MS for characterization of metabolites. J. Am. Soc. Mass Spectrom. 2002, 13, 345–353. [Google Scholar] [CrossRef]
- Chen, S.; Wu, J.T.; Huang, R. Evaluation of surrogate matrices for standard curve preparation in tissue bioanalysis. Bioanalysis 2012, 4, 2579–2587. [Google Scholar] [CrossRef]
- Das, K.M.; Dubin, R. Clinical Pharmacokinetics of Sulphasalazine. Clin. Pharmacokinet. 1976, 1, 406–425. [Google Scholar] [CrossRef]
- Ryan, A. Azoreductases in drug metabolism. Br. J. Pharmacol. 2017, 174, 2161–2173. [Google Scholar] [CrossRef]
- Guo, Y.; Lee, H.; Jeong, H. Gut microbiota in reductive drug metabolism. Prog. Mol. Biol. Transl. Sci. 2020, 171, 61–93. [Google Scholar] [PubMed]
- Hop, C.E.; Wang, Z.; Chen, Q.; Kwei, G. Plasma-pooling methods to increase throughput for in vivo pharmacokinetic screening. J. Pharm. Sci. 1998, 87, 901–903. [Google Scholar] [CrossRef] [PubMed]
- Hamilton, R.A.; Garnett, W.R.; Kline, B.J. Determination of mean valproic acid serum level by assay of a single pooled sample. Clin. Pharmacol. Ther. 1981, 29, 408–413. [Google Scholar] [CrossRef] [PubMed]
- Graham, R.A.; Lum, B.L.; Morrison, G.; Chang, I.; Jorga, K.; Dean, B.; Shin, Y.G.; Yue, Q.; Mulder, T.; Malhi, V. A single dose mass balance study of the Hedgehog pathway inhibitor vismodegib (GDC-0449) in humans using accelerator mass spectrometry. Drug Metab. Dispos. 2011, 39, 1460–1467. [Google Scholar] [CrossRef] [PubMed]





| Run | Nominal Concentration (ng/mL) | Calculated Concentration (ng/mL) | Mean Accuracy (%) | Precision (% CV) |
|---|---|---|---|---|
| Run 1 | QC low [15.0] | 14.3 | 95.1 | 10.0 |
| QC medium [165] | 167 | 101 | 6.90 | |
| QC high [1820] | 2070 | 114 | 3.79 | |
| Run 2 | QC low [15.0] | 14.2 | 94.2 | 5.98 |
| QC medium [165] | 160 | 97.1 | 1.69 | |
| QC high [1820] | 1950 | 107 | 1.10 | |
| Run 3 | QC low [15.0] | 16.3 | 108 | 4.95 |
| QC medium [165] | 161 | 97.6 | 7.00 | |
| QC high [1820] | 1930 | 106 | 4.56 |
| Nominal Concentration (ng/mL) | Calculated Concentration (ng/mL) | Mean Accuracy (%) | Precision (% CV) |
|---|---|---|---|
| QC low [15.0] | 14.9 | 99.2 | 8.71 |
| QC medium [165] | 163 | 98.7 | 5.11 |
| QC high [1820] | 1980 | 109 | 4.09 |
| Nominal Concentration (ng/mL) | Calculated Concentration (ng/mL) | Mean Accuracy (%) | Precision (% CV) |
|---|---|---|---|
| 9.15 | 10.1 | 111 | 13.0 |
| Dilution Factor | Nominal Concentration (ng/mL) | Calculated Concentration (ng/mL) | Mean Accuracy (%) | Precision (% CV) |
|---|---|---|---|---|
| ×10 | 20,000 | 17,700 | 88.4 | 13.9 |
| Dosing Route | Matrix | Dose (mg/kg) | T1/2 (min) | Cmax (ng/mL or ng/g) | AUClast (min × ng/mL or min × ng/g) | Vd (mL/kg) | CL (mL/min/kg) | Brain to Plasma Ratio (%) |
|---|---|---|---|---|---|---|---|---|
| IV administration | Plasma | 10 | 82 | 12,500 | 674,000 | 1740 | 14.8 | 1.26 |
| Brain | 269 | 126 | 8460 | − | − |
| Name | Formula | Exact m/z | Error (ppm) | Nominal Mass Change (Da) | RT (min) |
|---|---|---|---|---|---|
| SAS | C18H15N4O5S+ | 399.0763 | − | − | 13.84 |
| SP | C11H12N3O2S+ | 250.0650 | −7.2 | −149 | 3.94 |
| SP-OH | C11H12N3O3S+ | 266.0599 | −6.4 | −133 | 3.92 |
| Ac-SP | C13H14N3O3S+ | 292.0756 | −4.5 | −107 | 5.23 |
| Metabolite | SP | SP-OH | Ac-SP |
|---|---|---|---|
| Mass Range (m/z) | 50~500 | ||
| Product of (m/z) | 250.1 | 266.1 | 292.1 |
| DP (V) | 100 | 100 | 100 |
| CE (V) | 30 | 30 | 30 |
Publisher’s Note: MDPI stays neutral with regard to jurisdictional claims in published maps and institutional affiliations. |
© 2021 by the authors. Licensee MDPI, Basel, Switzerland. This article is an open access article distributed under the terms and conditions of the Creative Commons Attribution (CC BY) license (http://creativecommons.org/licenses/by/4.0/).
Share and Cite
Choi, J.; Park, M.-H.; Shin, S.-H.; Byeon, J.-J.; Lee, B.i.; Park, Y.; Shin, Y.G. Quantification and Metabolite Identification of Sulfasalazine in Mouse Brain and Plasma Using Quadrupole-Time-of-Flight Mass Spectrometry. Molecules 2021, 26, 1179. https://doi.org/10.3390/molecules26041179
Choi J, Park M-H, Shin S-H, Byeon J-J, Lee Bi, Park Y, Shin YG. Quantification and Metabolite Identification of Sulfasalazine in Mouse Brain and Plasma Using Quadrupole-Time-of-Flight Mass Spectrometry. Molecules. 2021; 26(4):1179. https://doi.org/10.3390/molecules26041179
Chicago/Turabian StyleChoi, Jangmi, Min-Ho Park, Seok-Ho Shin, Jin-Ju Byeon, Byeong ill Lee, Yuri Park, and Young G. Shin. 2021. "Quantification and Metabolite Identification of Sulfasalazine in Mouse Brain and Plasma Using Quadrupole-Time-of-Flight Mass Spectrometry" Molecules 26, no. 4: 1179. https://doi.org/10.3390/molecules26041179
APA StyleChoi, J., Park, M.-H., Shin, S.-H., Byeon, J.-J., Lee, B. i., Park, Y., & Shin, Y. G. (2021). Quantification and Metabolite Identification of Sulfasalazine in Mouse Brain and Plasma Using Quadrupole-Time-of-Flight Mass Spectrometry. Molecules, 26(4), 1179. https://doi.org/10.3390/molecules26041179

