Synthesis and Antimicrobial Activity of δ-Viniferin Analogues and Isosteres
Abstract
:1. Introduction
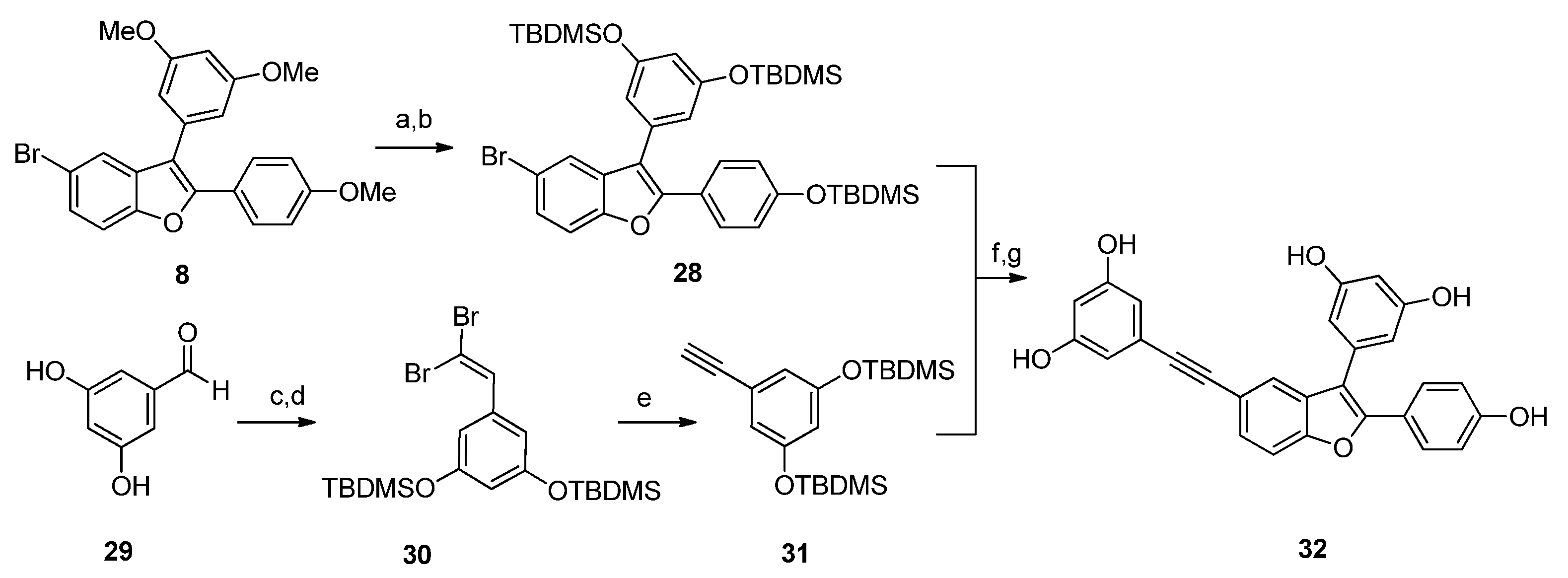
2. Results and Discussion
3. Materials and Methods
4. Conclusions
Supplementary Materials
Author Contributions
Funding
Institutional Review Board Statement
Informed Consent Statement
Data Availability Statement
Acknowledgments
Conflicts of Interest
Sample Availability
References
- Keylor, M.H.; Matsuura, B.S.; Stephenson, C.R.J. Chemistry and Biology of Resveratrol-Derived Natural Products. Chem. Rev. 2015, 115, 8976–9027. [Google Scholar] [CrossRef] [PubMed]
- Mattio, L.M.; Catinella, G.; Dallavalle, S.; Pinto, A. Stilbenoids: A natural arsenal against Bacterial pathogens. Antibiotics 2020, 9, 336. [Google Scholar] [CrossRef]
- Pecyna, P.; Wargula, J.; Murias, M.; Kucinska, M. More than resveratrol: New insights into stilbene-based compounds. Biomolecules 2020, 10, 1111. [Google Scholar] [CrossRef] [PubMed]
- Weiskirchen, S.; Weiskirchen, R. Resveratrol: How Much Wine Do You Have to Drink to Stay Healthy? Adv. Nutr. An Int. Rev. J. 2016, 7, 706–718. [Google Scholar] [CrossRef] [PubMed] [Green Version]
- Lindgren, A.E.G.; Öberg, C.T.; Hillgren, J.M.; Elofsson, M. Total synthesis of the resveratrol oligomers (±)-Ampelopsin B and (±)-σ-Viniferin. Eur. J. Org. Chem. 2016, 2016, 426–429. [Google Scholar] [CrossRef]
- Vo, D.D.; Elofsson, M. Total Synthesis of Viniferifuran, Resveratrol-Piceatannol Hybrid, Anigopreissin A and Analogues—Investigation of Demethylation Strategies. Adv. Synth. Catal. 2016, 358, 4085–4092. [Google Scholar] [CrossRef] [PubMed] [Green Version]
- Snyder, S.A.; Breazzano, S.P.; Ross, A.G.; Lin, Y.; Zografos, A.L. Total synthesis of diverse carbogenic complexity within the resveratrol class from a common building block. J. Am. Chem. Soc. 2009, 131, 1753–1765. [Google Scholar] [CrossRef]
- Romero, K.J.; Keylor, M.H.; Griesser, M.; Zhu, X.; Strobel, E.J.; Pratt, D.A.; Stephenson, C.R.J. Synthesis of Vitisins A and D Enabled by a Persistent Radical Equilibrium. J. Am. Chem. Soc. 2020, 142, 6499–6504. [Google Scholar] [CrossRef]
- Keylor, M.H.; Matsuura, B.S.; Griesser, M.; Chauvin, J.P.R.; Harding, R.A.; Kirillova, M.S.; Zhu, X.; Fischer, O.J.; Pratt, D.A.; Stephenson, C.R.J. Synthesis of resveratrol tetramers via a stereoconvergent radical equilibrium. Science 2016, 354, 1260–1265. [Google Scholar] [CrossRef] [PubMed] [Green Version]
- Krzyzanowski, A.; Saleeb, M.; Elofsson, M. Synthesis of Indole-, Benzo[b]thiophene-, and Benzo[b]selenophene-Based Analogues of the Resveratrol Dimers Viniferifuran and (±)-Dehydroampelopsin B. Org. Lett. 2018, 20, 6650–6654. [Google Scholar] [CrossRef]
- Saleeb, M.; Mojica, S.; Eriksson, A.U.; Andersson, C.D.; Gylfe, Å.; Elofsson, M. Natural product inspired library synthesis—Identification of 2,3-diarylbenzofuran and 2,3-dihydrobenzofuran based inhibitors of Chlamydia trachomatis. Eur. J. Med. Chem. 2018, 143, 1077–1089. [Google Scholar] [CrossRef]
- Chen, D.Y.K.; Kang, Q.; Wu, T.R. Modular synthesis of polyphenolic benzofurans, and application in the total synthesis of malibatol A and shoreaphenol. Molecules 2010, 15, 5909–5927. [Google Scholar] [CrossRef] [PubMed] [Green Version]
- Liu, J.T.; Do, T.J.; Simmons, C.J.; Lynch, J.C.; Gu, W.; Ma, Z.X.; Xu, W.; Tang, W. Total synthesis of diptoindonesin G and its analogues as selective modulators of estrogen receptors. Org. Biomol. Chem. 2016, 14, 8927–8930. [Google Scholar] [CrossRef] [PubMed]
- Vo, D.D.; Elofsson, M. Synthesis of 4-Formyl-2-arylbenzofuran Derivatives by PdCl(C3H5)dppb-Catalyzed Tandem Sonogashira Coupling-Cyclization under Microwave Irradiation—Application to the Synthesis of Viniferifuran Analogues. ChemistrySelect 2017, 2, 6245–6248. [Google Scholar] [CrossRef] [Green Version]
- Khanam, H. Shamsuzzaman Bioactive Benzofuran derivatives: A review. Eur. J. Med. Chem. 2015, 97, 483–504. [Google Scholar] [CrossRef] [PubMed]
- Naik, R.; Harmalkar, D.S.; Xu, X.; Jang, K.; Lee, K. Bioactive benzofuran derivatives: Moracins A-Z in medicinal chemistry. Eur. J. Med. Chem. 2015, 90, 379–393. [Google Scholar] [CrossRef] [PubMed]
- Chand, K.; Hiremathad, A.; Singh, M.; Santos, M.A.; Keri, R.S. A review on antioxidant potential of bioactive heterocycle benzofuran: Natural and synthetic derivatives. Pharmacol. Rep. 2017, 69, 281–295. [Google Scholar] [CrossRef] [PubMed]
- Miao, Y.H.; Hu, Y.H.; Yang, J.; Liu, T.; Sun, J.; Wang, X.J. Natural source, bioactivity and synthesis of benzofuran derivatives. RSC Adv. 2019, 9, 27510–27540. [Google Scholar] [CrossRef] [Green Version]
- Hiremathad, A.; Patil, M.R.; Chethana, K.R.; Chand, K.; Santos, M.A.; Keri, R.S. Benzofuran: An emerging scaffold for antimicrobial agents. RSC Adv. 2015, 5, 96809–96828. [Google Scholar] [CrossRef]
- Elsherif, M.A.; Hassan, A.S.; Moustafa, G.O.; Awad, H.M.; Morsy, N.M. Antimicrobial evaluation and molecular properties prediction of pyrazolines incorporating benzofuran and pyrazole moieties. J. Appl. Pharm. Sci. 2020, 10, 37–43. [Google Scholar] [CrossRef] [Green Version]
- Mattio, L.M.; Dallavalle, S.; Musso, L.; Filardi, R.; Franzetti, L.; Pellegrino, L.; D’Incecco, P.; Mora, D.; Pinto, A.; Arioli, S. Antimicrobial activity of resveratrol-derived monomers and dimers against foodborne pathogens. Sci. Rep. 2019, 9, 1–13. [Google Scholar] [CrossRef]
- Catinella, G.; Mattio, L.M.; Musso, L.; Arioli, S.; Mora, D.; Beretta, G.L.; Za, N.; Pinto, A.; Dallavalle, S. Structural Requirements of Benzofuran Derivatives Dehydro-δ-and Dehydro-ε-Viniferin for Antimicrobial Activity Against the Foodborne Pathogen Listeria monocytogenes. Int. J. Mol. Sci. 2020, 21, 2168. [Google Scholar] [CrossRef] [PubMed] [Green Version]
- Lamaa, D.; Hauguel, C.; Lin, H.-P.; Messe, E.; Gandon, V.; Alami, M.; Hamze, A. Sequential One-Pot Synthesis of 3-Arylbenzofurans from N-Tosylhydrazones and Bromophenol Derivatives. J. Org. Chem. 2020, 85, 13664–13673. [Google Scholar] [CrossRef] [PubMed]
- Basu, P.; Satam, N.; Namboothiri, I.N.N. Synthesis of indenofurans, benzofurans and spiro-lactones: Via Hauser-Kraus annulation involving 1,6-addition of phthalide to quinone methides. Org. Biomol. Chem. 2020, 18, 5677–5687. [Google Scholar] [CrossRef] [PubMed]
- Das, P.; Maity, S.; Ghosh, P.; Dutta, A.; Das, S. Condensation of ninhydrin with phenols: Regioselective formation of diverse organic scaffolds and crystal structure studies. J. Mol. Struct. 2020, 1202, 127260. [Google Scholar] [CrossRef]
- Singh, G.; Goswami, P.; Sharma, S.; Anand, R.V. A One-Pot Approach to 2,3-Diarylbenzo[b]furans through N-Heterocyclic Carbene-Catalyzed 1,6-Conjugate Addition Followed by Acid Mediated Dehydrative Annulation. J. Org. Chem. 2018, 83, 56. [Google Scholar] [CrossRef] [PubMed]
- Fan, X.; He, H.; Li, J.; Luo, G.; Zheng, Y.; Zhou, J.K.; He, J.; Pu, W.; Zhao, Y. Discovery of 4,6-bis(benzyloxy)-3-phenylbenzofuran as a novel Pin1 inhibitor to suppress hepatocellular carcinoma via upregulating microRNA biogenesis. Bioorg. Med. Chem. 2019, 27, 2235–2244. [Google Scholar] [CrossRef] [PubMed]
- Liou, Y.C.; Karanam, P.; Jang, Y.J.; Lin, W. Synthesis of Functionalized Benzofurans from para-Quinone Methides via Phospha-1,6-Addition/ O-Acylation/Wittig Pathway. Org. Lett. 2019, 21, 8008–8012. [Google Scholar] [CrossRef] [PubMed]
- Arcadi, A.; Cacchi, S.; Del Rosario, M.; Fabrizi, G.; Marinelli, F. Palladium-catalyzed reaction of o-ethynylphenols, o-((trimethylsilyl)ethynyl)phenyl acetates, and o-alkynylphenols with unsaturated triflates or halides: A route to 2-substituted-, 2,3-disubstituted-, and 2-substituted-3-acylbenzo[b]furans. J. Org. Chem. 1996, 61, 9280–9288. [Google Scholar] [CrossRef]
- Markina, N.A.; Chen, Y.; Larock, R.C. Efficient microwave-assisted one-pot three-component synthesis of 2,3-disubstituted benzofurans under Sonogashira conditions. Tetrahedron 2013, 69, 2701–2713. [Google Scholar] [CrossRef] [PubMed] [Green Version]
- St. John, S.E.; Jensen, K.C.; Kang, S.; Chen, Y.; Calamini, B.; Mesecar, A.D.; Lipton, M.A. Design, synthesis, biological and structural evaluation of functionalized resveratrol analogues as inhibitors of quinone reductase 2. Bioorganic Med. Chem. 2013, 21, 6022–6037. [Google Scholar] [CrossRef] [Green Version]
- Stockdale, D.P.; Titunick, M.B.; Biegler, J.M.; Reed, J.L.; Hartung, A.M.; Wiemer, D.F.; McLaughlin, P.J.; Neighbors, J.D. Selective opioid growth factor receptor antagonists based on a stilbene isostere. Bioorganic Med. Chem. 2017, 25, 4464–4474. [Google Scholar] [CrossRef] [PubMed]
- Stockdale, D.P.; Beutler, J.A.; Wiemer, D.F. Synthesis of amide isosteres of schweinfurthin-based stilbenes. Bioorganic Med. Chem. 2017, 25, 5483–5489. [Google Scholar] [CrossRef] [PubMed]
- Li, X.C.; Ferreira, D. Stereoselective cyclization of stilbene derived carbocations. Tetrahedron 2003, 59, 1501–1507. [Google Scholar] [CrossRef]
- Velu, S.; Thomas, N.; Weber, J.F. Strategies and methods for the syntheses of natural oligomeric stilbenoids and analogues. Curr. Org. Chem. 2012, 16, 605–662. [Google Scholar] [CrossRef] [Green Version]
- Schmidt, B.; Riemer, M.; Karras, M. 2,2′-Biphenols Via Protecting Group-Free Thermal or Microwave-Accelerated Suzuki-Miyaura Coupling in Water. J. Org. Chem. 2013, 78, 8680–8688. [Google Scholar] [CrossRef] [PubMed]
- Gibtner, T.; Hampel, F.; Gisselbrecht, J.P.; Hirsch, A. End-cap stabilized oligoynes: Model compounds for the linear sp carbon allotrope carbyne. Chem. A Eur. J. 2002, 8, 408–432. [Google Scholar] [CrossRef]
- Yue, F.; Lu, F.; Regner, M.; Sun, R.; Ralph, J. Lignin-Derived Thioacidolysis Dimers: Reevaluation, New Products, Authentication, and Quantification. ChemSusChem 2017, 10, 830–835. [Google Scholar] [CrossRef] [Green Version]
- Wiegand, I.; Hilpert, K.; Hancock, R.E.W. Agar and broth dilution methods to determine the minimal inhibitory concentration (MIC) of antimicrobial substances. Nat. Protoc. 2008, 3, 163–175. [Google Scholar] [CrossRef]
- Teng, B.H.; Zhu, Q.B.; Fan, Y.Y.; Yao, C.S. Total synthesis of the active resveratrol dimer dehydro- δ-viniferin. J. Asian. Nat. Prod. Res. 2020, 22, 947–955. [Google Scholar] [CrossRef]
- Hoshino, J.; Park, E.J.; Kondratyuk, T.P.; Marler, L.; Pezzuto, J.M.; van Breemen, R.B.; Mo, S.; Li, Y.; Cushman, M. Selective Synthesis and Biological Evaluation of Sulfate-Conjugated Resveratrol Metabolites. J. Med. Chem. 2010, 53, 5033–5043. [Google Scholar] [CrossRef] [PubMed] [Green Version]








| S. aureus ATCC29213 | |||||
|---|---|---|---|---|---|
| MHB-II | TSB | ||||
| Compounds | Structure | MIC (µg/mL) | MBC (µg/mL) | MIC (µg/mL) | MBC (µg/mL) |
| 1 | ![]() | 2 * | ≥512 | ≥512 | ≥512 |
| 10 | ![]() | 4 * | ≥512 | 32 * | ≥512 |
| 15 | ![]() | 16 * | ≥512 | 32 * | ≥512 |
| 27 | ![]() | 16 * | ≥512 | 16 * | 16 * |
| 32 | ![]() | 2 * | 8 | 2 * | 2 * |
| 33 | ![]() | 4 * | 4 | 4 * | 4 * |
| 35 | ![]() | 256 | ≥512 | ≥512 | ≥512 |
| Tobramycin | <0.5 | <0.5 | <0.5 | <0.5 | |
Publisher’s Note: MDPI stays neutral with regard to jurisdictional claims in published maps and institutional affiliations. |
© 2021 by the authors. Licensee MDPI, Basel, Switzerland. This article is an open access article distributed under the terms and conditions of the Creative Commons Attribution (CC BY) license (https://creativecommons.org/licenses/by/4.0/).
Share and Cite
Mattio, L.M.; Pinna, C.; Catinella, G.; Musso, L.; Pedersen, K.J.; Krogfelt, K.A.; Dallavalle, S.; Pinto, A. Synthesis and Antimicrobial Activity of δ-Viniferin Analogues and Isosteres. Molecules 2021, 26, 7594. https://doi.org/10.3390/molecules26247594
Mattio LM, Pinna C, Catinella G, Musso L, Pedersen KJ, Krogfelt KA, Dallavalle S, Pinto A. Synthesis and Antimicrobial Activity of δ-Viniferin Analogues and Isosteres. Molecules. 2021; 26(24):7594. https://doi.org/10.3390/molecules26247594
Chicago/Turabian StyleMattio, Luce Micaela, Cecilia Pinna, Giorgia Catinella, Loana Musso, Kasandra Juliet Pedersen, Karen Angeliki Krogfelt, Sabrina Dallavalle, and Andrea Pinto. 2021. "Synthesis and Antimicrobial Activity of δ-Viniferin Analogues and Isosteres" Molecules 26, no. 24: 7594. https://doi.org/10.3390/molecules26247594
APA StyleMattio, L. M., Pinna, C., Catinella, G., Musso, L., Pedersen, K. J., Krogfelt, K. A., Dallavalle, S., & Pinto, A. (2021). Synthesis and Antimicrobial Activity of δ-Viniferin Analogues and Isosteres. Molecules, 26(24), 7594. https://doi.org/10.3390/molecules26247594








