Chlovalicin B, a Chlorinated Sesquiterpene Isolated from the Marine Mushroom Digitatispora marina
Abstract
1. Introduction
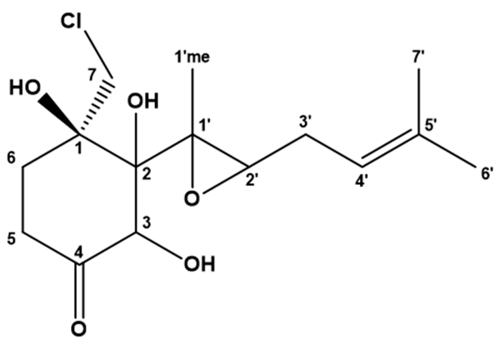
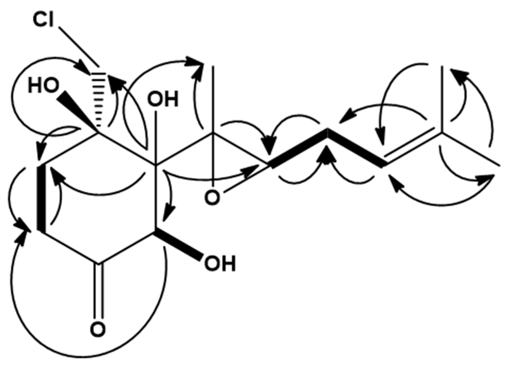
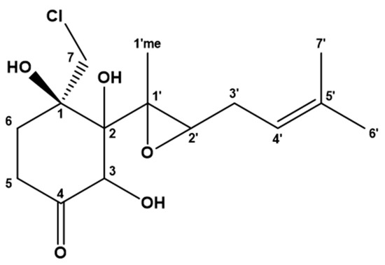
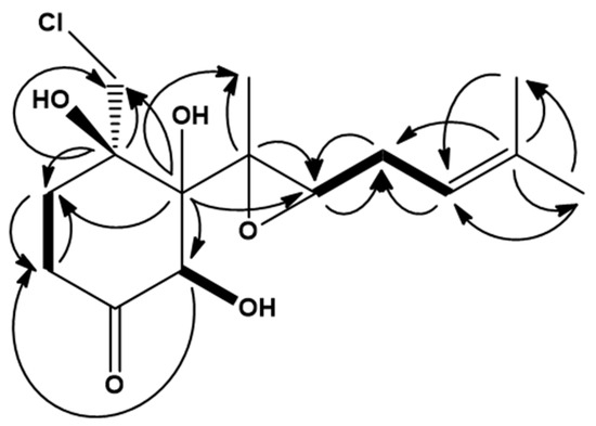
2. Results and Discussion
3. Materials and Methods
3.1. General Experimental Procedures
3.2. Fungal Material and Cultivation Condition
3.3. Extraction and Isolation
3.4. Bioactivity Testing of Compound 1
4. Conclusions
Supplementary Materials
Author Contributions
Funding
Institutional Review Board Statement
Informed Consent Statement
Data Availability Statement
Acknowledgments
Conflicts of Interest
Sample Availability
References
- Imhoff, J.F. Natural products from marine fungi-still an underrepresented resource. Mar. Drugs 2016, 14, 19. [Google Scholar] [CrossRef]
- Overy, D.P.; Rämä, T.; Oosterhuis, R.; Walker, A.K.; Pang, K.-L. The neglected marine fungi, sensu stricto, and their isolation for natural products’ discovery. Mar. Drugs 2019, 17, 42. [Google Scholar] [CrossRef]
- Doguet, G. Digitatispora marina, n-g-, n.sp., Basidiomycète marin. C. R. Hebd. Séances Acad. Sci. 1962, 254, 4336–4338. [Google Scholar]
- Jones, E.B.G. Digitatispora lignicola, a new marine lignicolous Basidiomycotina. Mycotaxon 1986, 27, 155–159. [Google Scholar]
- Jones, E.B.G.; Suetrong, S.; Sakayaroj, J.; Bahkali, A.H.; Abdel-Wahab, M.A.; Boekhout, T.; Pang, K.-L. Classification of marine Ascomycota, Basidiomycota, Blastocladiomycota and Chytridiomycota. Fungal Divers. 2015, 73, 1–72. [Google Scholar] [CrossRef]
- Sulistyo, B.P.; Larsson, K.-H.; Haelewaters, D.; Ryberg, M. Multigene phylogeny and taxonomic revision of Atheliales s.l.: Reinstatement of three families and one new family, Lobuliciaceae fam. nov. Fungal Biol. 2021, 125, 239–255. [Google Scholar] [CrossRef]
- Abdel-Wahab, M.A.; Jones, E.B.G.; Abdel-Aziz, F.A.; Bahkali, A.H. Nia lenicarpa sp. nov. (Niaceae, Agaricales) from Red Sea mangroves in Saudi Arabia with comments on Nia vibrissa. Phytotaxa 2019, 406, 157–168. [Google Scholar] [CrossRef]
- Rämä, T.; Mathiassen, G.; Kauserud, H. Marine fungi new to Norway, with an outlook to the overall diversity. Agarica 2014, 35, 35–47. [Google Scholar]
- Tibell, S.; Tibell, L.; Pang, K.-L.; Calabon, M.; Jones, E.B.G. Marine fungi of the Baltic Sea. Mycology 2020, 11, 195–213. [Google Scholar] [CrossRef]
- Takamatsu, S.; Kim, Y.P.; Komiya, T.; Sunazuka, T.; Hayashi, M.; Tanaka, H.; Komiyama, K.; Omura, S. Chlovalicin, a new cytocidal antibiotic produced by Sporothrix sp. FO-4649. II. Physicochemical properties and structural elucidation. J. Antibiot. 1996, 49, 635–638. [Google Scholar] [CrossRef] [PubMed][Green Version]
- Aliev, A.E.; Harris, K.D.M. 37Cl/35Cl isotope effects in 13C NMR spectroscopy of chlorohydrocarbons. Magn. Reson. Chem. 1993, 31, 54–57. [Google Scholar] [CrossRef]
- Sergeyev, N.M.; Sandor, P.; Sergeyeva, N.D.; Raynes, W.T. 37Cl/35Cl-Induced 13C isotope shifts in chlorinated methanes. J. Magn. Reson. 1995, 115, 174–182. [Google Scholar] [CrossRef]
- Yamaguchi, J.; Hayashi, Y. Syntheses of fumagillin and ovalicin. Chem. Eur. J. 2010, 16, 3884–3901. [Google Scholar] [CrossRef]
- Eble, T.E.; Hanson, F.R. Fumagillin, an antibiotic from Aspergillus funigatus H-3. Antibiot. Chemother. 1951, 1, 54–58. [Google Scholar]
- Hanson, F.R.; Eble, T.E. An antiphage agent isolated from Aspergillus sp. J. Bacteriol. 1949, 58, 527–529. [Google Scholar] [CrossRef] [PubMed]
- Hayashi, M.; Kim, Y.-P.; Takamatsu, S.; Preeprame, S.; Komiya, T.; Masuma, R.; Tanaka, H.; Komiyama, K.; Omura, S. Chlovalicin, a new cytocidal antibiotic produced by Sporothrix sp. FO-4649. I. Taxonomy, fermentation, isolation and biological activities. J. Antibiot. 1996, 49, 631–634. [Google Scholar] [CrossRef][Green Version]
- Sigg, H.P.; Weber, H.P. Isolierung und strukturaufklärung von ovalicin. Helv. Chim. 1968, 51, 1395–1408. [Google Scholar] [CrossRef]
- Vansteelandt, M.; Blanchet, E.; Egorov, M.; Petit, F.; Toupet, L.; Bondon, A.; Monteau, F.; Le Bizec, B.; Thomas, O.P.; Pouchus, Y.F.; et al. Ligerin, an antiproliferative chlorinated sesquiterpenoid from a marine-derived Penicillium Strain. J. Nat. Prod. 2013, 76, 297–301. [Google Scholar] [CrossRef]
- Uchoa, P.K.S.; Pimenta, A.T.A.; Braz-Filho, R.; de Oliveira, M.d.C.F.; Saraiva, N.N.; Rodrigues, B.S.F.; Pfenning, L.H.; Abreu, L.M.; Wilke, D.V.; Florêncio, K.G.D.; et al. New cytotoxic furan from the marine sediment-derived fungi Aspergillus niger. Nat. Prod. Res. 2017, 31, 2599–2603. [Google Scholar] [CrossRef]
- Neumann, C.S.; Fujimori, D.G.; Walsh, C.T. Halogenation strategies in natural product biosynthesis. Chem. Biol. 2008, 15, 99–109. [Google Scholar] [CrossRef]
- Liu, D.-H.; Sun, Y.-Z.; Kurtán, T.; Mándi, A.; Tang, H.; Li, J.; Su, L.; Zhuang, C.-L.; Liu, Z.-Y.; Zhang, W. Osteoclastogenesis regulation metabolites from the coral-associated fungus Pseudallescheria boydii TW-1024-3. J. Nat. Prod. 2019, 82, 1274–1282. [Google Scholar] [CrossRef] [PubMed]
- Schneider, Y.; Jenssen, M.; Isaksson, J.; Hansen, K.Ø.; Andersen, J.H.; Hansen, E.H. Bioactivity of serratiochelin A, a siderophore isolated from a co-culture of Serratia sp. and Shewanella sp. Microorganisms 2020, 8, 1042. [Google Scholar] [CrossRef] [PubMed]
- Jenssen, M.; Rainsford, P.; Juskewitz, E.; Andersen, J.H.; Hansen, E.H.; Isaksson, J.; Rämä, T.; Hansen, K.Ø. Lulworthinone, a new dimeric naphthopyrone from a marine fungus in the family Lulworthiaceae with antibacterial activity against clinical methicillin-resistant Staphylococcus aureus isolates. Front. Microbiol. 2021, 12, 730740. [Google Scholar] [CrossRef]
- Lind, K.F.; Hansen, E.; Østerud, B.; Eilertsen, K.-E.; Bayer, A.; Engqvist, M.; Leszczak, K.; Jørgensen, T.Ø.; Andersen, J.H. Antioxidant and anti-inflammatory activities of barettin. Mar. Drugs 2013, 11, 2655–2666. [Google Scholar] [CrossRef] [PubMed]
- Hansen, K.Ø.; Isaksson, J.; Bayer, A.; Johansen, J.A.; Andersen, J.H.; Hansen, E. Securamine derivatives from the Arctic bryozoan Securiflustra securifrons. J. Nat. Prod. 2017, 80, 3276–3283. [Google Scholar] [CrossRef]


| Position | δC, Type | δH (J in Hz) | COSY | HMBC b |
|---|---|---|---|---|
| 1 | 75.3, C | 7a, 6a, 6b | ||
| 1OH | 5.79, s | |||
| 2 | 81.7, C | 3, 7a, 2′, 6a, 1′Me | ||
| 2OH | 4.27, s | |||
| 3 | 75.9, CH | 4.83, d (7.1) | 3OH | 5b |
| 3OH | 4.45, d (8.3) | |||
| 4 | 209.6, C | |||
| 5a | 34.4, CH2 | 2.64, td (13.9, 6.9) | 6a, 6b | 6a, 6b |
| 5b | 2.15, ddd (14.2, 5.1, 1.4) | 5b | ||
| 6a | 31.5, CH2 | 2.09, ddd (13.4, 6.9, 1.6) | 5a, 5b, 6a | 7a, 7b, 5a, 5b |
| 6b | 1.91, td (13.5, 5.3) | |||
| 7a | 51.9, CH3 | 3.70, d (11.0) | 7 | |
| 7b | 3.63, d (11.0) | |||
| 1′Me | 15.8, CH3 | 1.48, s | ||
| 1′ | 60.4, C | 2′, 3′b, 1′Me | ||
| 2′ | 55.2, CH | 2.79, t (6.5) | 3′a, 3′b | 3′a, 3′b. 6′, 7′, 1′Me |
| 3′a | 26.7, CH2 | 2.19, dt (14.6, 7.1) | 2′, 4′ | 2′, 7′ |
| 3′b | 2.27, m c | |||
| 4′ | 119.2, CH | 5.21, t (7.4) | 3′a, 3′b | |
| 5′ | 133.9, C | 3′a, 3′b, 6′, 7′ | ||
| 6′ | 25.5, CH3 | 1.70, s | 4′, 7′ | |
| 7′ | 17.8, CH3 | 1.63, s | 4′, 6′ |
Publisher’s Note: MDPI stays neutral with regard to jurisdictional claims in published maps and institutional affiliations. |
© 2021 by the authors. Licensee MDPI, Basel, Switzerland. This article is an open access article distributed under the terms and conditions of the Creative Commons Attribution (CC BY) license (https://creativecommons.org/licenses/by/4.0/).
Share and Cite
Jenssen, M.; Kristoffersen, V.; Motiram-Corral, K.; Isaksson, J.; Rämä, T.; Andersen, J.H.; Hansen, E.H.; Hansen, K.Ø. Chlovalicin B, a Chlorinated Sesquiterpene Isolated from the Marine Mushroom Digitatispora marina. Molecules 2021, 26, 7560. https://doi.org/10.3390/molecules26247560
Jenssen M, Kristoffersen V, Motiram-Corral K, Isaksson J, Rämä T, Andersen JH, Hansen EH, Hansen KØ. Chlovalicin B, a Chlorinated Sesquiterpene Isolated from the Marine Mushroom Digitatispora marina. Molecules. 2021; 26(24):7560. https://doi.org/10.3390/molecules26247560
Chicago/Turabian StyleJenssen, Marte, Venke Kristoffersen, Kumar Motiram-Corral, Johan Isaksson, Teppo Rämä, Jeanette H. Andersen, Espen H. Hansen, and Kine Østnes Hansen. 2021. "Chlovalicin B, a Chlorinated Sesquiterpene Isolated from the Marine Mushroom Digitatispora marina" Molecules 26, no. 24: 7560. https://doi.org/10.3390/molecules26247560
APA StyleJenssen, M., Kristoffersen, V., Motiram-Corral, K., Isaksson, J., Rämä, T., Andersen, J. H., Hansen, E. H., & Hansen, K. Ø. (2021). Chlovalicin B, a Chlorinated Sesquiterpene Isolated from the Marine Mushroom Digitatispora marina. Molecules, 26(24), 7560. https://doi.org/10.3390/molecules26247560

