Secondary Metabolites with Cytotoxic Activities from Streptomyces sp. BM-8 Isolated from the Feces of Equusquagga
Abstract
:1. Introduction
2. Results
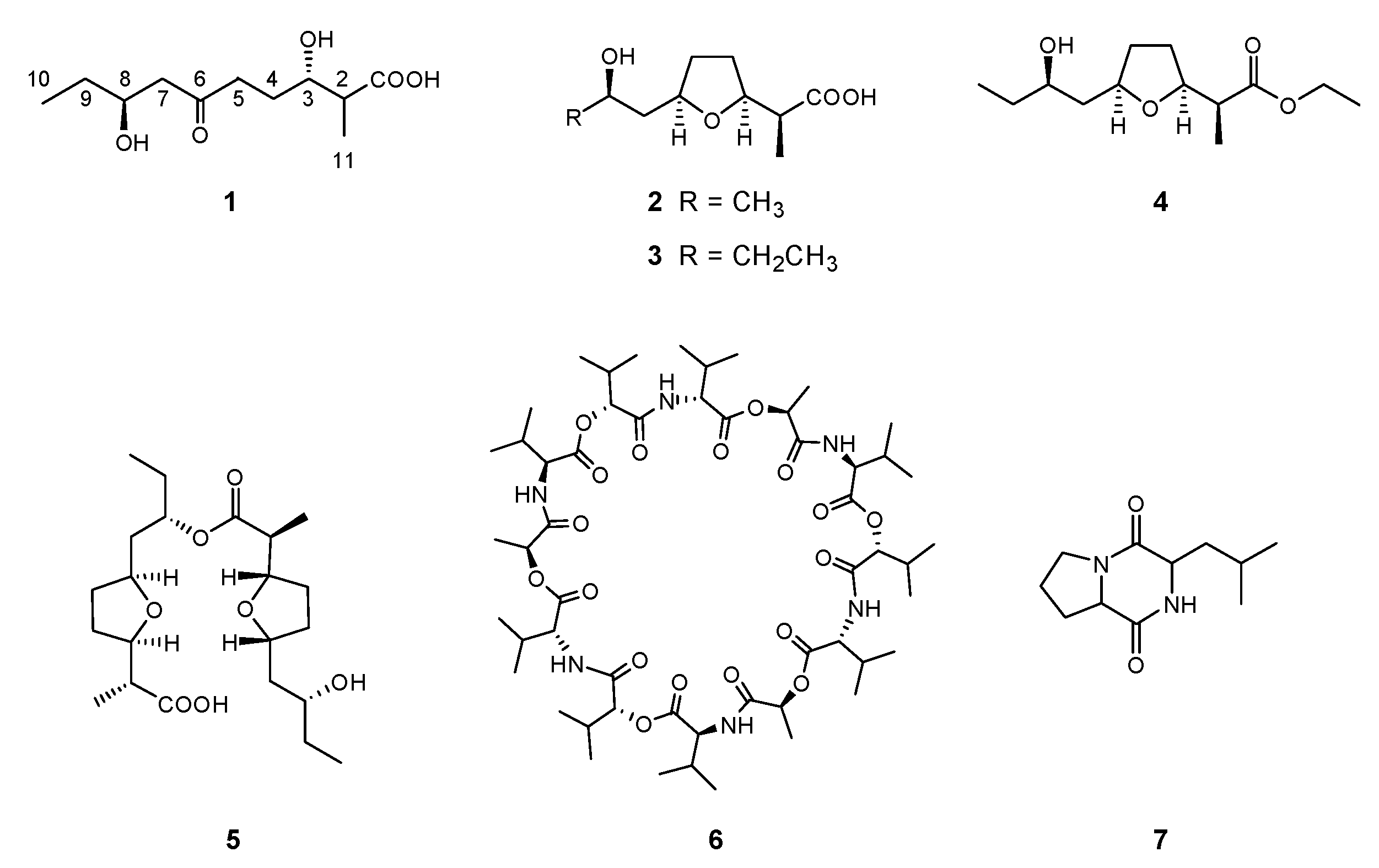
2.1. Structure Elucidation
2.2. Synthesis of Serial Compounds Based on 2 and 3
2.3. Cytotoxicity
3. Materials and Methods
3.1. General Experimental Procedures
3.2. Collection and Phylogenetic Analysis of Strain BM-8
3.3. Cultivation and Extraction
3.4. Isolation and Purification
3.5. Determination of the Absolute Configuration at C-3 and C-8 by Modified Mosher’s Method
3.6. General Procedures for Preparation of Compounds 8–21
3.7. Cytotoxicity Assays (MTT Assays)
4. Conclusions
Supplementary Materials
Author Contributions
Funding
Institutional Review Board Statement
Informed Consent Statement
Conflicts of Interest
Sample Availability
References
- Newman, D.J.; Cragg, G.M. Natural Products as Sources of New Drugs over the Last 25 Years. J. Nat. Prod. 2007, 70, 461–477. [Google Scholar] [CrossRef] [PubMed] [Green Version]
- Scott, J.J.; Oh, D.-C.; Yuceer, M.C.; Klepzig, K.D.; Clardy, J.; Currie, C.R. Bacterial Protection of Beetle-Fungus Mutualism. Science 2008, 322, 63. [Google Scholar] [CrossRef] [PubMed] [Green Version]
- Vivarelli, S.; Salemi, R.; Candido, S.; Falzone, L.; Santagati, M.; Stefani, S.; Torino, F.; Banna, G.L.; Tonini, G.; Libra, M. Gut Microbiota and Cancer: From Pathogenesis to Therapy. Cancers 2019, 11, 38. [Google Scholar] [CrossRef] [PubMed] [Green Version]
- Pamer, E.G. Resurrecting the intestinal microbiota to combat antibiotic-resistant pathogens. Science 2016, 352, 535–538. [Google Scholar] [CrossRef] [PubMed] [Green Version]
- Hirai, N.; Kingston, D.G.I.; Van Tassell, R.L.; Wilkins, T.D. Isolation and Structure Elucidation of Fecapentaenes-12, Potent Mutagens from Human Feces. J. Nat. Prod. 1985, 48, 622–630. [Google Scholar] [CrossRef] [PubMed]
- Gamble, W.R.; Gloer, J.B.; Scott, J.A.; Malloch, D. Polytolypin, a New Antifungal Triterpenoid from the Coprophilous Fungus Polytolypahystricis. J. Nat. Prod. 1995, 58, 1983–1986. [Google Scholar] [CrossRef] [PubMed]
- Park, S.-H.; Moon, K.; Bang, H.-S.; Kim, S.-H.; Kim, D.-G.; Oh, K.-B.; Shin, J.; Oh, D.-C. Tripartilactam, a Cyclobutane-Bearing Tricyclic Lactam from a Streptomyces sp. in a Dung Beetle’s Brood Ball. Org. Lett. 2012, 14, 1258–1261. [Google Scholar] [CrossRef] [PubMed]
- Li, F.; Chen, D.; Lu, S.; Yang, G.; Zhang, X.; Chen, Z.; Fan, S.; Wu, S.; He, J. Anti-Influenza A Viral Butenolide from Streptomyces sp. Smu03 Inhabiting the Intestine of Elephas maximus. Viruses 2018, 10, 356. [Google Scholar] [CrossRef] [PubMed] [Green Version]
- Álvarez-Bercedo, P.; Murga, J.; Carda, M.; Marco, J.A. Stereoselective Synthesis of the Published Structure of Feigrisolide A. Structural Revision of Feigrisolides A and B. J. Org. Chem. 2006, 71, 5766–5769. [Google Scholar] [CrossRef] [PubMed]
- Han, L.; Huo, P.; Chen, H.; Li, S.; Jiang, Y.; Li, L.; Xu, L.; Jiang, C.; Huang, X. New Derivatives of Nonactic and Homononactic Acids from Bacillus pumilus Derived from Breynia fruticosa. Chem. Biodivers 2014, 11, 1088–1098. [Google Scholar] [CrossRef] [PubMed]
- Ye, X.; Anjum, K.; Song, T.; Wang, W.; Liang, Y.; Chen, M.; Huang, H.; Lian, X.-Y.; Zhang, Z. Antiproliferative cyclodepsipeptides from the marine actinomycete Streptomyces sp. P11-23B downregulating the tumor metabolic enzymes of glycolysis, glutaminolysis, and lipogenesis. Phytochemistry 2017, 135, 151–159. [Google Scholar] [CrossRef] [PubMed]
- Fdhila, F.; Vázquez, V.; Luis Sánchez, J.; Riguera, R. dd-Diketopiperazines: Antibiotics Active against Vibrio anguillarum Isolated from Marine Bacteria Associated with Cultures of Pecten maximus. J. Nat. Prod. 2003, 66, 1299–1301. [Google Scholar] [CrossRef] [PubMed]
- Dale, J.A.; Mosher, H.S. Nuclear magnetic resonance enantiomer regents. Configurational correlations via nuclear magnetic resonance chemical shifts of diastereomeric mandelate, O-methylmandelate, and α-methoxy-α-trifluoromethylphenylacetate (MTPA) esters. J. Am. Chem. Soc. 1973, 95, 512–519. [Google Scholar] [CrossRef]
- Zhao, P.-J.; Fan, L.-M.; Li, G.-H.; Zhu, N.; Shen, Y.-M. Antibacterial and antitumor macrolides from streptomyces sp. Is9131. Arch. Pharmacal Res. 2005, 28, 1228–1232. [Google Scholar] [CrossRef] [PubMed]




| C/H | δH (Mult, J in Hz) a | δCb | HMBC | COSY |
|---|---|---|---|---|
| 1 | - | 184.5, C c | ||
| 2 | 2.29 (quint, J = 6.16, 1 H) | 48.3, CH | H-11, H-3 | |
| 3 | 3.49–3.54 (m, 1 H) | 74.6, CH | H-2, H-4b | |
| 4a | 1.79–1.86 (m, 1 H) | 30.3, CH2 | H-3, H-5 | |
| 4b | 1.62–1.71 (m, 1 H) | |||
| 5 | 2.62–2.65 (m, 2 H) | 41.0, CH2 | C-6, C-4 | H-4a, H-4b |
| 6 | - | 212.9, C | ||
| 7 | 2.56 (d, J = 6.36, 2 H) | 50.9, CH2 | C-6, C-8, C-9 | H-8 |
| 8 | 3.92–3.98 (m, 1 H) | 70.4, CH | H-9, H-7 | |
| 9 | 1.41–1.51 (m, 2 H) | 31.2, CH2 | C-10, C-8, C-7 | H-10, H-8 |
| 10 | 0.94 (t, J = 7.40, 3 H) | 10.3, CH3 | C-9, C-8 | H-9 |
| 11 | 1.18 (d, J = 7.04, 3 H) | 15.9, CH3 | C-1, C-2, C-3 | H-2 |
| Position | 2 | 3 | 4 | 5 |
|---|---|---|---|---|
| δH (mult, J in Hz) a | δH (mult, J in Hz) | δH (mult, J in Hz) | δH (mult, J in Hz) | |
| 2 | 2.49 (quint, J = 7.04, 1 H) | 2.51 (quint, J = 7.08, 1 H) | 2.52 (quint, J = 7.04, 1 H) | 2.49 (quint, J = 7.0, 1 H) |
| 3 | 3.96–4.01 (m, 1 H) | 3.96–4.02 (m, 1 H) | 3.96–4.01 (m, 1 H) | 3.91–4.02 (m, 1 H) |
| 4 | 1.69–1.73 (m, 2 H) | 1.44–1.73 (m, 1 H); 1.64–1.69 (m, 1 H) | 1.94–2.04 (m, 1 H); 1.60–1.68 (m, 1 H) | 1.97–2.02 (m, 1 H); 1.66–1.70 (m, 1 H) |
| 5 | 1.96–2.08 (m, 2 H) | 1.97–2.09 (m, 1 H); 1.64–1.69 (m, 1 H) | 1.94–2.04 (m, 1 H); 1.60–1.68 (m, 1 H) | 2.04–2.06 (m, 1 H); 1.57–1.59 (m, 1 H) |
| 6 | 4.16–4.23 (m, 1 H) | 4.19–4.25 (m, 1 H) | 4.12–4.19 (m, 1 H) | 3.91–4.02 (m, 1 H) |
| 7 | 1.69–1.73 (m, 2 H) | 1.44–1.73 (m, 2 H) | 1.68–1.77 (m, 2 H) | 1.75–1.78 (m, 2 H) |
| 8 | 4.05–4.09 (m, 1 H) | 3.75–3.81 (m, 1 H) | 3.72–3.75 (m, 1 H) | 4.98 (quint, J = 6.12, 1 H) |
| 9 | 1.22 (d, J = 6.32, 3 H) | 1.44–1.73 (m, 2 H) | 1.43–1.54 (m, 2 H) | 1.55–1.61 (m, 2 H) |
| 10 | 1.16 (d, J = 7.00, 3 H) | 0.93 (t, J = 7.44, 3 H) | 0.93 (t, J = 7.44, 3 H) | 0.88 (t, J = 7.44, 3 H) |
| 11 | 1.17 (t, J = 7.00, 3 H) | 1.12 (d, J = 7.44, 3 H) | 1.17 (d, J = 7.04, 3 H) | |
| 1′ | 4.12–4.19 (m, 2 H) | - | ||
| 2′ | 1.26 (t, J = 7.12, 3 H) | 2.49 (quint, J = 7.0, 1 H) | ||
| 3′ | 4.91–3.98 (m, 1 H) | |||
| 4′ | 1.97–2.02 (m, 1 H); 1.59–1.61 (m, 1 H) | |||
| 5′ | 2.04–2.06 (m, 1 H); 1.61–1.64 (m, 1 H) | |||
| 6′ | 4.14–4.17 (m, 1 H) | |||
| 7′ | 1.67–1.71 (m, 2 H) | |||
| 8′ | 3.71–3.77 (m, 1 H) | |||
| 9′ | 1.43–1.55 (m, 2 H) | |||
| 10′ | 0.94 (t, J = 6.60, 3 H) | |||
| 11′ | 1.13 (d, J = 7.04, 3 H) |
| Position | 2 | 3 | 4 | 5 |
|---|---|---|---|---|
| δCa | δC | δC | δC | |
| 1 | 178.1, C | 177.8, C | 175.1, C | 176.6, C |
| 2 | 45.5, CH | 45.5, CH | 45.5, CH | 45.2, CH |
| 3 | 81.3, CH | 81.2, CH | 81.3, CH | 80.9, CH |
| 4 | 29.2, CH2 | 29.3, CH2 | 29.0, CH2 | 29.6, CH2 |
| 5 | 30.7, CH2 | 30.8, CH2 | 30.8, CH2 | 31.2, CH2 |
| 6 | 77.3, CH | 77.5, CH | 77.5, CH | 76.9, CH |
| 7 | 43.0, CH2 | 40.9, CH2 | 40.8, CH2 | 40.4, CH2 |
| 8 | 65.3, CH | 70.6, CH | 70.7, CH | 73.2, CH |
| 9 | 23.2, CH3 | 30.1, CH2 | 30.2, CH2 | 27.5, CH2 |
| 10 | 13.9, CH3 | 10.3, CH3 | 10.4, CH3 | 9.6, CH3 |
| 11 | 13.9, CH3 | 13.7, CH3 | 13.8, CH3 | |
| 1′ | 60.7, CH2 | 174.9, C | ||
| 2′ | 14.4, CH3 | 45.7, CH | ||
| 3′ | 81.3, CH | |||
| 4′ | 29.0, CH2 | |||
| 5′ | 30.6, CH2 | |||
| 6′ | 77.3, CH | |||
| 7′ | 40.7, CH2 | |||
| 8′ | 70.6, CH | |||
| 9′ | 30.1, CH2 | |||
| 10′ | 10.3, CH3 | |||
| 11′ | 14.2, CH3 |
| Compound | IC50 (Means ± SD, μM) a | ||||
|---|---|---|---|---|---|
| HT-29 b | MCF-7 c | A375 d | K562 e | NCM460 f | |
| 1 | 1.98 ± 1.04 | 5.44 ± 1.33 | 44.95 ± 1.21 | 1.56 ± 0.21 | 27.93 ± 4.70 |
| 2 | 44.35 ± 2.77 | 289.34 ± 3.54 | 185.87 ± 1.27 | 83.64 ± 2.54 | 1604.55 ± 14.41 |
| 3 | 39.94 ± 3.22 | 99.10 ± 2.66 | 146.1 ± 2.01 | 57.04 ± 1.88 | 1027.36 ± 8.01 |
| 4 | 11.79 ± 1.83 | 39.58 ± 2.57 | 65.09 ± 0.62 | 12.32 ± 0.54 | 249.26 ± 4.22 |
| 5 | 38.09 ± 2.35 | 16.69 ± 1.08 | 30.66 ± 0.93 | 14.15 ± 0.47 | 33.31 ± 3.31 |
| 6 | 1.22 ± 0.24 | 0.06 ± 0.01 | 1.85 ± 0.22 | 0.04 ± 0.01 | 1.66 ± 0.19 |
| 7 | 101.56 ± 2.66 | 78.78 ± 1.95 | 51.13 ± 4.73 | 21.72 ± 0.35 | 775.86 ± 11.43 |
| 8 | 441.30 ± 1.65 | 847.39 ± 39.52 | 445.93 ± 4.10 | NA h | 164.26 ± 3.09 |
| 9 | 113.45 ± 3.68 | 171.09 ± 5.08 | 115.43 ± 3.66 | 69.38 ± 3.90 | 28.99 ± 3.68 |
| 10 | 326.76 ± 1.40 | 416.54 ± 3.90 | 314.60 ± 0.57 | 285.13 ± 2.44 | 109.23 ± 3.60 |
| 11 | 43.16 ± 2.84 | 34.06 ± 1.87 | 24.29 ± 0.03 | 38.25 ± 0.70 | 44.21 ± 0.64 |
| 12 | 209.05 ± 3.25 | 485.58 ± 3.18 | 127.43 ± 6.65 | 186.91 ± 4.57 | 150.15 ± 4.03 |
| 13 | 321.67 ± 4.17 | 362.39 ± 0.96 | 217.56 ± 0.99 | 312.53 ± 3.29 | 299.32 ± 1.77 |
| 14 | 73.24 ± 1.05 | 111.18 ± 3.89 | 89.92 ± 1.09 | 41.38 ± 2.84 | 21.05 ± 3.66 |
| 15 | 531.44 ± 5.46 | NT i | 174.84 ± 6.11 | 175.13 ± 3.28 | NT |
| 16 | 165.08 ± 1.23 | 155.92 ± 3.56 | 67.32 ± 0.25 | 105.36 ± 2.58 | 109.90 ± 1.36 |
| 17 | 562.52 ± 7.35 | 389.63 ± 10.00 | 199.11 ± 1.90 | 338.96 ± 1.23 | 179.78 ± 7.88 |
| 18 | 235.65 ± 1.31 | 302.35 ± 1.83 | 107.99 ± 5.22 | 402.94 ± 0.69 | 55.72 ± 7.65 |
| 19 | 169.37 ± 4.20 | 270.26 ± 1.09 | 128.5 ± 0.48 | NA | 80.06 ± 3.82 |
| 20 | 356.36 ± 7.67 | 284.27 ± 1.24 | 215.00 ± 0.76 | 323.33 ± 5.94 | 37.00 ± 1.39 |
| 21 | 205.28 ± 0.63 | 355.90 ± 1.1 | 369.5 ± 3.39 | 301.82 ± 1.32 | 22.50 ± 3.09 |
| Paclitaxel g | 5.69 ± 1.32 nM | 13.78 ± 2.12 nM | 45.80 ± 1.79 nM | 9.31 ± 1.88 nM | 18.25 ± 2.34 nM |
Publisher’s Note: MDPI stays neutral with regard to jurisdictional claims in published maps and institutional affiliations. |
© 2021 by the authors. Licensee MDPI, Basel, Switzerland. This article is an open access article distributed under the terms and conditions of the Creative Commons Attribution (CC BY) license (https://creativecommons.org/licenses/by/4.0/).
Share and Cite
Lu, S.; Hu, J.; Xie, X.; Zhou, R.; Li, F.; Huang, R.; He, J. Secondary Metabolites with Cytotoxic Activities from Streptomyces sp. BM-8 Isolated from the Feces of Equusquagga. Molecules 2021, 26, 7556. https://doi.org/10.3390/molecules26247556
Lu S, Hu J, Xie X, Zhou R, Li F, Huang R, He J. Secondary Metabolites with Cytotoxic Activities from Streptomyces sp. BM-8 Isolated from the Feces of Equusquagga. Molecules. 2021; 26(24):7556. https://doi.org/10.3390/molecules26247556
Chicago/Turabian StyleLu, Shengsheng, Jianan Hu, Xi Xie, Runhong Zhou, Fangfang Li, Ruifeng Huang, and Jian He. 2021. "Secondary Metabolites with Cytotoxic Activities from Streptomyces sp. BM-8 Isolated from the Feces of Equusquagga" Molecules 26, no. 24: 7556. https://doi.org/10.3390/molecules26247556
APA StyleLu, S., Hu, J., Xie, X., Zhou, R., Li, F., Huang, R., & He, J. (2021). Secondary Metabolites with Cytotoxic Activities from Streptomyces sp. BM-8 Isolated from the Feces of Equusquagga. Molecules, 26(24), 7556. https://doi.org/10.3390/molecules26247556
