Scientifically Formulated Avocado Fruit Juice: Phytochemical Analysis, Assessment of Its Antioxidant Potential and Consumer Perception
Abstract
:1. Introduction
2. Materials and Methods
2.1. Ingredients
2.2. Juice Preparation and Formulation
2.3. Optimization Parameters
2.4. Experimental Design and Statistics
i ii ij
2.5. Sensory Analysis
2.6. Proximate Composition and Nutrient Analysis
2.7. Total Phenolic Compounds and Flavonoid Analysis
2.8. Antioxidant Activity
2.8.1. DPPH assay
2.8.2. ABTS Assay
2.8.3. FRAP Assay
2.9. Shelf-Life Study
2.10. Statistical Analysis
3. Results and Discussion
3.1. Avocado Juice Formulation, Optimization, and Sensory Analysis
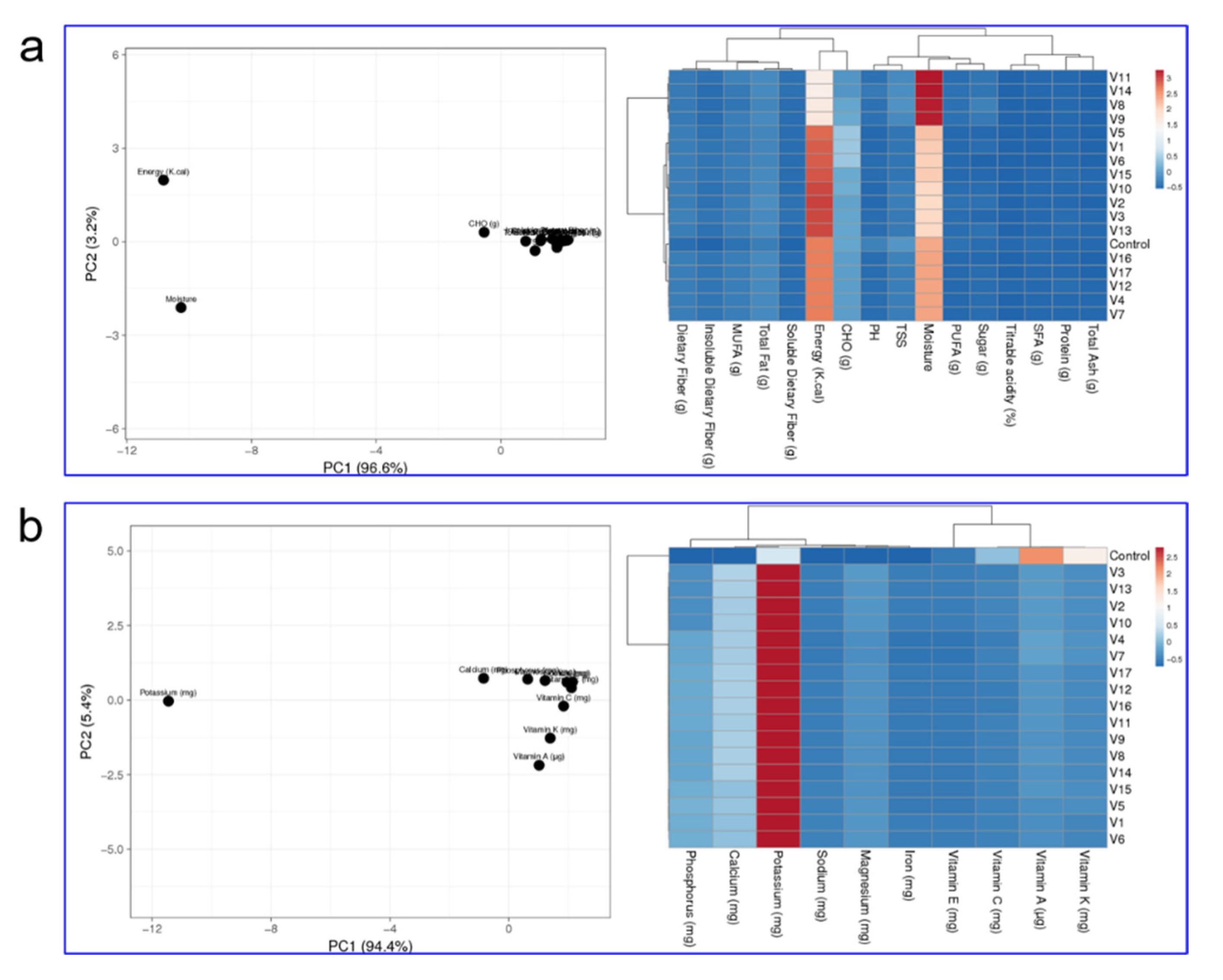
3.2. Proximate Composition and Nutrients of Avocado Juice
3.3. Phenolics and Flavonoids
3.4. Antioxidant Activity
3.4.1. DPPH Assay
3.4.2. ABTS Assay
3.4.3. FRAP Assay
3.5. Shelf Life
4. Conclusions
Supplementary Materials
Author Contributions
Funding
Institutional Review Board Statement
Informed Consent Statement
Data Availability Statement
Acknowledgments
Conflicts of Interest
Sample Availability
References
- Nadathur, S.R.; Carolan, M. Flavors, Taste Preferences, and the Consumer: Taste Modulation and Influencing Change in Dietary Patterns for a Sustainable Earth. Sustain. Protein Sources 2017, 377–389. [Google Scholar] [CrossRef]
- Peng, M. The Growing Market of Organic Foods: Impact on the US and Global Economy. Saf. Pract. Org. Food 2019, 3–22. [Google Scholar] [CrossRef]
- Comerford, K.; Ayoob, K.; Murray, R.; Atkinson, S. The Role of Avocados in Complementary and Transitional Feeding. Nutrients 2016, 8, 316. [Google Scholar] [CrossRef] [Green Version]
- Sanchez, A.; Mejia, A.; Sanchez, J.; Runte, E.; Brown-Fraser, S.; Bivens, R.L. Diets with customary levels of fat from plant origin may reverse coronary artery disease. Med. Hypotheses 2019, 122, 103–105. [Google Scholar] [CrossRef]
- Othman, N.A.; Abdul Manaf, M.; Harith, S.; Wan Ishak, W.R. Influence of Avocado Purée as a Fat Replacer on Nutritional, Fatty Acid, and Organoleptic Properties of Low-Fat Muffins. J. Am. Coll. Nutr. 2018, 37, 583–588. [Google Scholar] [CrossRef] [PubMed]
- Acham, I.O.; Ahemen, S.; Ukeyima, M.T.; Girgih, A.T. Tropical Fruits: Bioactive Properties and Health Promoting Benefits in Chronic Disease Prevention and Management. Asian Food Sci. J. 2018, 3, 1–13. [Google Scholar] [CrossRef]
- Tan, C.X. Virgin avocado oil: An emerging source of functional fruit oil. J. Funct. Foods 2019, 54, 381–392. [Google Scholar] [CrossRef]
- Latif, N.H.A.; Taher, M.; Md Jaffri, J.; Amri, M.S.; Kudos, M.B.A.; Sulaiman, W.M.A.W.; Susanti, D. Selected natural agents used for cholesterol controls. Nutr. Food Sci. 2018, 48, 301–317. [Google Scholar] [CrossRef]
- Mahmassani, H.A.; Avendano, E.E.; Raman, G.; Johnson, E.J. Avocado consumption and risk factors for heart disease: A systematic review and meta-analysis. Am. J. Clin. Nutr. 2018, 107, 523–536. [Google Scholar] [CrossRef] [Green Version]
- Taylor, M.K.; Swerdlow, R.H.; Burns, J.M.; Sullivan, D.K. An Experimental Ketogenic Diet for Alzheimer Disease Was Nutritionally Dense and Rich in Vegetables and Avocado. Curr. Dev. Nutr. 2019, 3. [Google Scholar] [CrossRef]
- Hurtado-Fernández, E.; Fernández-Gutiérrez, A.; Carrasco-Pancorbo, A. Avocado fruit—Persea americana. Exot. Fruits 2018, 37–48. [Google Scholar] [CrossRef]
- Faustino, M.; Veiga, M.; Sousa, P.; Costa, E.; Silva, S.; Pintado, M. Agro-Food Byproducts as a New Source of Natural Food Additives. Molecules 2019, 24, 1056. [Google Scholar] [CrossRef] [Green Version]
- Myers, R.H.; Montgomery, D.C.; Anderson-Cook, C.M. Response Surface Methodology: Process. and Product Optimization Using Designed Experiments; Wiley: Hoboken, NJ, USA, 2016; ISBN 9781118916032. [Google Scholar]
- Muthusamy, S.; Manickam, L.P.; Murugesan, V.; Muthukumaran, C.; Pugazhendhi, A. Pectin extraction from Helianthus annuus (sunflower) heads using RSM and ANN modelling by a genetic algorithm approach. Int. J. Biol. Macromol. 2019, 124, 750–758. [Google Scholar] [CrossRef]
- Sabokbar, N.; Moosavi-Nasab, M.; Khodaiyan, F. Preparation and characterization of an apple juice and whey based novel beverage fermented using kefir grains. Food Sci. Biotechnol. 2015, 24, 2095–2104. [Google Scholar] [CrossRef]
- Méndez-Zúñiga, S.M.; Corrales-García, J.E.; Gutiérrez-Grijalva, E.P.; García-Mateos, R.; Pérez-Rubio, V.; Heredia, J.B. Fatty Acid Profile, Total Carotenoids, and Free Radical-Scavenging from the Lipophilic Fractions of 12 Native Mexican Avocado Accessions. Plant. Foods Hum. Nutr. 2019, 74, 501–507. [Google Scholar] [CrossRef]
- Schiassi, M.C.E.V.; Salgado, D.L.; Meirelles, B.S.; Lago, A.M.T.; Queiroz, F.; Curi, P.N.; Pio, R.; Souza, V.R. Berry Jelly: Optimization Through Desirability-Based Mixture Design. J. Food Sci. 2019, 84, 1522–1528. [Google Scholar] [CrossRef]
- Curi, P.N.; Almeida, A.B.D.; Tavares, B.D.S.; Nunes, C.A.; Pio, R.; Pasqual, M.; Souza, V.R.D. Optimization of tropical fruit juice based on sensory and nutritional characteristics. Food Sci. Technol. 2017, 37, 308–314. [Google Scholar] [CrossRef] [Green Version]
- Khuri, A.I.; Cornell, J.A.; Cornell, J.A. Response Surfaces: Designs and Analyses; Routledge: London, UK, 2018; ISBN 9780203740774. [Google Scholar]
- Rocha, I.F.D.O.; Bolini, H.M.A. Passion fruit juice with different sweeteners: Sensory profile by descriptive analysis and acceptance. Food Sci. Nutr. 2015, 3, 129–139. [Google Scholar] [CrossRef]
- Tan, Y.; Jin, Y.; Yang, N.; Wang, Z.; Xie, Z.; Xu, X.; Jin, Z.; Liao, X.; Sun, H. Influence of uniform magnetic field on physicochemical properties of freeze-thawed avocado puree. RSC Adv. 2019, 9, 39595–39603. [Google Scholar] [CrossRef] [Green Version]
- Horwitz, W. The Association of Official Agricultural Chemists (AOAC); Springer: New York, NY, USA, 1964; pp. 37–60. [Google Scholar]
- Firestone, D. American Oil Chemists’ Society Official Methods and Recommended Practices. 2009. Available online: https://www.aocs.org/attain-lab-services/methods?SSO=True (accessed on 1 August 2021).
- Nielsen, S. Food Analysis Laboratory Manual, 3rd ed.; Kluwer Academic/Plenum Publishers: New York, NY, USA, 2017; ISBN 978-3-319-44127-6. [Google Scholar]
- Suárez, S.; Mu, T.; Sun, H.; Añón, M.C. Antioxidant activity, nutritional, and phenolic composition of sweet potato leaves as affected by harvesting period. Int. J. Food Prop. 2020, 23, 178–188. [Google Scholar] [CrossRef]
- Sun, H.; Mu, T.; Xi, L.; Zhang, M.; Chen, J. Sweet potato (Ipomoea batatas L.) leaves as nutritional and functional foods. Food Chem. 2014, 156, 380–389. [Google Scholar] [CrossRef]
- Harnly, J.M.; Doherty, R.F.; Beecher, G.R.; Holden, J.M.; Haytowitz, D.B.; Bhagwat, S.; Gebhardt, S. Flavonoid content of U.S. fruits, vegetables, and nuts. J. Agric. Food Chem. 2006, 54, 9966–9977. [Google Scholar] [CrossRef]
- Sivasankar, P.; Seedevi, P.; Poongodi, S.; Sivakumar, M.; Murugan, T.; Sivakumar, L.; Sivakumar, K.; Balasubramanian, T. Characterization, antimicrobial and antioxidant property of exopolysaccharide mediated silver nanoparticles synthesized by Streptomyces violaceus MM72. Carbohydr. Polym. 2018, 181, 752–759. [Google Scholar] [CrossRef]
- Poongodi, S.; Karuppiah, V.; Sivakumar, K.; Kannan, L. Antioxidant Activity of Nocardiopsis sp., a Marine Actinobacterium, Isolated from the Gulf of Mannar Biosphere Reserve, India. Natl. Acad. Sci. Lett. 2014, 37, 65–70. [Google Scholar] [CrossRef]
- Yeap, Y.S.Y.; Kassim, N.K.; Ng, R.C.; Ee, G.C.L.; Saiful Yazan, L.; Musa, K.H. Antioxidant properties of ginger (Kaempferia angustifolia Rosc.) and its chemical markers. Int. J. Food Prop. 2017, 20, S1158–S1172. [Google Scholar] [CrossRef] [Green Version]
- Rabie, M.A.; Soliman, A.Z.; Diaconeasa, Z.S.; Constantin, B. Effect of Pasteurization and Shelf Life on the Physicochemical Properties of Physalis (Physalis peruviana L.) Juice. J. Food Process. Preserv. 2015, 39, 1051–1060. [Google Scholar] [CrossRef]
- Kalaimurugan, D.; Sivasankar, P.; Manikandan, E.; Durairaj, K.; Lavanya, K.; Vasudhevan, P.; Lakshmanan, R.; Venkatesan, S. Spatial determination of soil variables using GIS method and their influence on microbial communities in the Eastern Ghats region. Trop. Ecol. 2019, 60, 16–29. [Google Scholar] [CrossRef]
- Martínez-Navarrete, N.; Camacho, M.M.; Agudelo, C.; Salvador, A. Sensory characterization of juice obtained via rehydration of freeze-dried and spray-dried grapefruit. J. Sci. Food Agric. 2019, 99, 244–252. [Google Scholar] [CrossRef] [PubMed] [Green Version]
- Kopec, R.E.; Cooperstone, J.L.; Schweiggert, R.M.; Young, G.S.; Harrison, E.H.; Francis, D.M.; Clinton, S.K.; Schwartz, S.J. Avocado Consumption Enhances Human Postprandial Provitamin A Absorption and Conversion from a Novel High-β-Carotene Tomato Sauce and from Carrots. J. Nutr. 2014, 144, 1158–1166. [Google Scholar] [CrossRef] [Green Version]
- Fulgoni, V.L.; Dreher, M.; Davenport, A.J. Avocado consumption is associated with better diet quality and nutrient intake, and lower metabolic syndrome risk in US adults: Results from the National Health and Nutrition Examination Survey (NHANES) 2001–2008. Nutr. J. 2013, 12, 1. [Google Scholar] [CrossRef] [PubMed] [Green Version]
- Schenone, A.V.; Conte, L.O.; Botta, M.A.; Alfano, O.M. Modeling and optimization of photo-Fenton degradation of 2,4-D using ferrioxalate complex and response surface methodology (RSM). J. Environ. Manag. 2015, 155, 177–183. [Google Scholar] [CrossRef] [PubMed]
- Luckow, T.; Delahunty, C. Consumer acceptance of orange juice containing functional ingredients. Food Res. Int. 2004, 37, 805–814. [Google Scholar] [CrossRef]
- Neri-Numa, I.A.; Soriano Sancho, R.A.; Pereira, A.P.A.; Pastore, G.M. Small Brazilian wild fruits: Nutrients, bioactive compounds, health-promotion properties and commercial interest. Food Res. Int. 2018, 103, 345–360. [Google Scholar] [CrossRef]
- Ochoa-Zarzosa, A.; Báez-Magaña, M.; Guzmán-Rodríguez, J.J.; Flores-Alvarez, L.J.; Lara-Márquez, M.; Zavala-Guerrero, B.; Salgado-Garciglia, R.; López-Gómez, R.; López-Meza, J.E. Bioactive Molecules From Native Mexican Avocado Fruit (Persea americana var. drymifolia): A Review. Plant. Foods Hum. Nutr. 2021, 76, 133–142. [Google Scholar] [CrossRef]
- Moberg, L.; Kornacki, J.L. Microbiological Monitoring of the Food Processing Environment. Compend. Methods Microbiol. Exam. Foods 2001, 4, 25–35. [Google Scholar]
- Okafor, N.; Okeke, C.B. Modern Industrial Microbiology and Biotechnology, 2nd ed.; CRC Press: Boca Raton, FL, USA, 2017. [Google Scholar]
- Vekiari, S.A.; Papadopoulou, P.P.; Lionakis, S.; Krystallis, A. Variation in the composition of Cretan avocado cultivars during ripening. J. Sci. Food Agric. 2004, 84, 485–492. [Google Scholar] [CrossRef]
- Hurtado-Fernández, E.; Pacchiarotta, T.; Gómez-Romero, M.; Schoenmaker, B.; Derks, R.; Deelder, A.M.; Mayboroda, O.A.; Carrasco-Pancorbo, A.; Fernández-Gutiérrez, A. Ultra high performance liquid chromatography-time of flight mass spectrometry for analysis of avocado fruit metabolites: Method evaluation and applicability to the analysis of ripening degrees. J. Chromatogr. A 2011, 1218, 7723–7738. [Google Scholar] [CrossRef]
- McRae, M.P. Dietary Fiber Is Beneficial for the Prevention of Cardiovascular Disease: An Umbrella Review of Meta-analyses. J. Chiropr. Med. 2017, 16, 289–299. [Google Scholar] [CrossRef]
- Dabas, D.; Shegog, R.; Ziegler, G.; Lambert, J. Avocado (Persea americana) Seed as a Source of Bioactive Phytochemicals. Curr. Pharm. Des. 2013, 19, 6133–6140. [Google Scholar] [CrossRef]
- Yasir, M.; Das, S.; Kharya, M. The phytochemical and pharmacological profile of Persea americana Mill. Pharmacogn. Rev. 2010, 4, 77. [Google Scholar] [CrossRef] [PubMed] [Green Version]
- Rangel-Sánchez, G.; Castro-Mercado, E.; García-Pineda, E. Avocado roots treated with salicylic acid produce phenol-2,4-bis (1,1-dimethylethyl), a compound with antifungal activity. J. Plant. Physiol. 2014, 171, 189–198. [Google Scholar] [CrossRef]
- Rodriguez-Sanchez, D.G.; Flores-García, M.; Silva-Platas, C.; Rizzo, S.; Torre-Amione, G.; De La Peña-Diaz, A.; Hernández-Brenes, C.; García-Rivas, G. Isolation and chemical identification of lipid derivatives from avocado (Persea americana) pulp with antiplatelet and antithrombotic activities. Food Funct. 2015, 6, 192–202. [Google Scholar] [CrossRef]
- Figueroa, J.G.; Borrás-Linares, I.; Del Pino-García, R.; Curiel, J.A.; Lozano-Sánchez, J.; Segura-Carretero, A. Functional ingredient from avocado peel: Microwave-assisted extraction, characterization and potential applications for the food industry. Food Chem. 2021, 352, 129300. [Google Scholar] [CrossRef] [PubMed]
- Ramos-Aguilar, A.L.; Ornelas-Paz, J.; Tapia-Vargas, L.M.; Gardea-Béjar, A.A.; Yahia, E.M.; Ornelas-Paz, J.D.J.; Ruiz-Cruz, S.; Rios-Velasco, C.; Escalante-Minakata, P. Effect of cultivar on the content of selected phytochemicals in avocado peels. Food Res. Int. 2021, 140, 110024. [Google Scholar] [CrossRef]
- Ignat, I.; Volf, I.; Popa, V.I. A critical review of methods for characterisation of polyphenolic compounds in fruits and vegetables. Food Chem. 2011, 126, 1821–1835. [Google Scholar] [CrossRef]
- Weremfo, A.; Adulley, F.; Adarkwah-Yiadom, M. Simultaneous Optimization of Microwave-Assisted Extraction of Phenolic Compounds and Antioxidant Activity of Avocado (Persea americana Mill.) Seeds Using Response Surface Methodology. J. Anal. Methods Chem. 2020, 9, 1468. [Google Scholar] [CrossRef]
- Wang, W.; Bostic, T.R.; Gu, L. Antioxidant capacities, procyanidins and pigments in avocados of different strains and cultivars. Food Chem. 2010, 122, 1193–1198. [Google Scholar] [CrossRef]
- Dabas, D.; Elias, R.J.; Ziegler, G.R.; Lambert, J.D. In Vitro Antioxidant and Cancer Inhibitory Activity of a Colored Avocado Seed Extract. Int. J. Food Sci. 2019. [Google Scholar] [CrossRef] [Green Version]
- Cenobio-Galindo, A.D.J.; Ocampo-López, J.; Reyes-Munguía, A.; Carrillo-Inungaray, M.L.; Cawood, M.; Medina-Pérez, G.; Fernández-Luqueño, F.; Campos-Montiel, R.G. Influence of bioactive compounds incorporated in a nanoemulsion as coating on avocado fruits (Persea americana) during postharvest storage: Antioxidant activity, physicochemical changes and structural evaluation. Antioxidants 2019, 8, 500. [Google Scholar] [CrossRef] [Green Version]
- Melgar, B.; Dias, M.I.; Ciric, A.; Sokovic, M.; Garcia-Castello, E.M.; Rodriguez-Lopez, A.D.; Barros, L.; Ferreira, I.C.R.F. Bioactive characterization of Persea americana Mill. by-products: A rich source of inherent antioxidants. Ind. Crop. Prod. 2018, 111, 212–218. [Google Scholar] [CrossRef] [Green Version]
- Castro-López, C.; Bautista-Hernández, I.; González-Hernández, M.D.; Martínez-Ávila, G.C.G.; Rojas, R.; Gutiérrez-Díez, A.; Medina-Herrera, N.; Aguirre-Arzola, V.E. Polyphenolic Profile and Antioxidant Activity of Leaf Purified Hydroalcoholic Extracts from Seven Mexican Persea americana Cultivars. Molecules 2019, 24, 173. [Google Scholar] [CrossRef] [Green Version]
- López-Yerena, A.; Guerra-Ramírez, D.; Jácome-Rincón, J.; Espinosa-Solares, T.; Reyes-Trejo, B.; Famiani, F.; Cruz-Castillo, J.G. Initial evaluation of fruit of accessions of Persea schiedeana Nees for nutritional value, quality and oil extraction. Food Chem. 2018, 245, 879–884. [Google Scholar] [CrossRef]
- Rotta, E.M.; de Morais, D.R.; Biondo, P.B.F.; dos Santos, V.J.; Matsushita, M.; Visentainer, J.V. Uso da casca do abacate (Persea americana)na formulação de chá: Um produto funcional contendo compostos fenólicos e atividade antioxidante. Acta Sci.-Technol. 2016, 38, 23–29. [Google Scholar] [CrossRef] [Green Version]
- Boadu, A.; Singh, S.; Karpoormath, R.; Nlooto, M. Review on Ethnomedicinal Uses, Phytochemical Constituents and Pharmacological Evidence on Leaf Extract of Persea americana and Vernonia amygdalina of the African Continent-A review. Indian Drugs 2019, 56, 7–24. [Google Scholar]
- Hindra, F.; Baik, O.D. Kinetics of quality changes during food frying. Crit. Rev. Food Sci. Nutr. 2006, 46, 239–258. [Google Scholar] [CrossRef]
- Raymond Chia, T.W.; Dykes, G.A. Antimicrobial activity of crude epicarp and seed extracts from mature avocado fruit (Persea americana) of three cultivars. Pharm. Biol. 2010, 48, 753–756. [Google Scholar] [CrossRef] [PubMed]



| Run | Independent Variable (Ingredients) | Dependent Variable (Sensory Attributes) | |||||
|---|---|---|---|---|---|---|---|
| Avocado Pulp (g) (A) | Honey (mL) (B) | Water (mL) (C) | Flavor | Mouthfeel and Taste | Consistency | Overall Acceptability | |
| 1 | 250 | 20 | 100 | 7.14 ± 0.20 e | 6.28 ± 1.11 ab | 5.91 ± 0.35 cd | 6.42 ± 4.42 cd |
| 2 | 150 | 20 | 150 | 7.11 ± 0.87 e | 6.59 ± 0.98 ab | 6.38 ± 0.28 c | 6.24 ± 0.62 c |
| 3 | 150 | 5 | 50 | 3.25 ± 0.74 a | 3.68 ± 0.50 a | 3.47 ± 0.31 a | 2.54 ± 0.57 a |
| 4 | 150 | 12.5 | 100 | 9.34 ± 0.73 f | 9.87 ± 0.82 b | 9.66 ± 0.12 e | 8.59 ± 0.89 de |
| 5 | 250 | 5 | 100 | 6.67 ± 0.38 de | 6.30 ± 3.01 ab | 5.93 ± 0.17 c | 5.91 ± 0.34 c |
| 6 | 250 | 12.5 | 50 | 5.65 ± 0.48 cd | 6.29 ± 2.75 ab | 5.88 ± 0.57 c | 4.92 ± 0.41 bc |
| 7 | 150 | 12.5 | 100 | 9.41 ± 0.82 f | 9.87 ± 0.01 b | 9.65 ± 0.21 e | 8.56 ± 0.09 de |
| 8 | 50 | 20 | 100 | 4.94 ± 0.50 bc | 4.41 ± 2.35 a | 4.20 ± 0.55 ab | 4.23 ± 0.24 abc |
| 9 | 50 | 12.5 | 150 | 6.61 ± 0.55 | 6.32 ± 1.89 ab | 5.86 ± 0.75 c | 5.89 ± 0.32 c |
| 10 | 150 | 5 | 150 | 6.54 ± 0.89 de | 7.13 ± 2.76 ab | 6.82 ± 0.33 d | 5.86 ± 0.75 c |
| 11 | 50 | 12.5 | 50 | 3.77 ± 1.16 ab | 4.56 ± 2.55 a | 4.45 ± 0.95 b | 3.05 ± 0.34 ab |
| 12 | 150 | 12.5 | 100 | 9.34 ± 1.26 f | 9.87 ± 0.17 b | 9.60 ± 0.17 e | 8.54 ± 0.95 de |
| 13 | 150 | 20 | 50 | 4.07 ± 0.78 ab | 4.50 ± 3.01 a | 4.30 ± 0.56 ab | 3.39 ± 1.09 ab |
| 14 | 50 | 5 | 100 | 4.11 ± 0.86 ab | 4.32 ± 3.02 a | 3.93 ± 0.58 ab | 3.32 ± 0.19 ab |
| 15 | 250 | 12.5 | 150 | 9.74 ± 0.73 f | 9.69 ± 0.51 b | 9.45 ± 0.58 e | 9.04 ± 0.17 e |
| 16 | 150 | 12.5 | 100 | 9.39 ± 0.20 f | 9.58 ± 0.52 b | 9.65 ± 0.21 e | 8.62 ±0.28 de |
| 17 | 150 | 12.5 | 100 | 9.45 ± 0.53 f | 9.58 ± 0.52 b | 9.59 ± 0.15 e | 8.71 ± 0.33 de |
| Factors | Flavor | Mouth-Feel and Taste | ||||||
|---|---|---|---|---|---|---|---|---|
| SS2 | DF | F | p-Value | SS2 | DF | F | p-Value | |
| Model | 83.6 | 9 | 1057.81 | 0.0001 | 87.66 | 9 | 427.94 | <0.0001 |
| A | 11.9 | 1 | 1358.18 | 0.0001 | 9.48 | 1 | 416.64 | <0.0001 |
| B | 0.91 | 1 | 103.73 | 0.0001 | 0.0145 | 1 | 0.6349 | 0.4517 |
| C | 22.01 | 1 | 2505.59 | 0.0001 | 14.82 | 1 | 651.30 | <0.0001 |
| AB | 0.0324 | 1 | 3.69 | 0.0963 | 0.0012 | 1 | 0.0538 | 0.8232 |
| AC | 0.3906 | 1 | 44.46 | 0.0003 | 0.8464 | 1 | 37.19 | 0.0005 |
| BC | 0.0169 | 1 | 1.92 | 0.2080 | 0.4692 | 1 | 20.62 | 0.0027 |
| A2 | 6.41 | 1 | 730.13 | 0.0001 | 11.81 | 1 | 519.02 | <0.0001 |
| B2 | 25.00 | 1 | 2845.88 | 0.0001 | 34.50 | 1 | 1515.80 | <0.0001 |
| C2 | 12.30 | 1 | 1400.25 | 0.0001 | 9.86 | 1 | 433.05 | <0.0001 |
| Residual | 0.0615 | 7 | 0.1593 | 7 | ||||
| Lack of fit | 0.0526 | 3 | 7.86 | 0.0375 | 0.1593 | 3 | ||
| Factors | Consistency | Overall Acceptability | ||||||
|---|---|---|---|---|---|---|---|---|
| SS2 | DF | F | p-Value | SS2 | DF | F | p-Value | |
| Model | 88.96 | 9 | 285.60 | 0.0001 | 81.61 | 9 | 1286.9 | <0.0001 |
| A | 9.53 | 1 | 275.25 | 0.0001 | 11.91 | 1 | 1689.9 | <0.0001 |
| B | 0.0512 | 1 | 1.48 | 0.2633 | 1.01 | 1 | 143.09 | <0.0001 |
| C | 13.55 | 1 | 391.38 | 0.0001 | 22.04 | 1 | 3128.8 | <0.0001 |
| AB | 0.0210 | 1 | 0.6075 | 0.4613 | 0.0400 | 1 | 5.68 | 0.0487 |
| AC | 1.17 | 1 | 33.70 | 0.0007 | 0.4356 | 1 | 61.82 | 0.0001 |
| BC | 0.4032 | 1 | 11.65 | 0.0112 | 0.0225 | 1 | 3.19 | 0.1171 |
| A2 | 12.89 | 1 | 372.56 | 0.0001 | 6.22 | 1 | 882.92 | <0.0001 |
| B2 | 35.84 | 1 | 1035.49 | 0.0001 | 24.26 | 1 | 3443.62 | <0.0001 |
| C2 | 9.47 | 1 | 273.72 | 0.0001 | 11.26 | 1 | 1598.5 | <0.0001 |
| Residual | 0.2423 | 7 | 0.0493 | 7 | ||||
| Lack of fit | 0.2423 | 3 | 0.0442 | 3 | 11.51 | 0.0195 | ||
Publisher’s Note: MDPI stays neutral with regard to jurisdictional claims in published maps and institutional affiliations. |
© 2021 by the authors. Licensee MDPI, Basel, Switzerland. This article is an open access article distributed under the terms and conditions of the Creative Commons Attribution (CC BY) license (https://creativecommons.org/licenses/by/4.0/).
Share and Cite
Jobil, A.J.; Parameshwari, S.; Husain, F.M.; Alomar, S.Y.; Ahmad, N.; Albalawi, F.; Alam, P. Scientifically Formulated Avocado Fruit Juice: Phytochemical Analysis, Assessment of Its Antioxidant Potential and Consumer Perception. Molecules 2021, 26, 7424. https://doi.org/10.3390/molecules26247424
Jobil AJ, Parameshwari S, Husain FM, Alomar SY, Ahmad N, Albalawi F, Alam P. Scientifically Formulated Avocado Fruit Juice: Phytochemical Analysis, Assessment of Its Antioxidant Potential and Consumer Perception. Molecules. 2021; 26(24):7424. https://doi.org/10.3390/molecules26247424
Chicago/Turabian StyleJobil, Arackal Jose, Sakthivelan Parameshwari, Fohad Mabood Husain, Suliman Yousef Alomar, Naushad Ahmad, Fadwa Albalawi, and Pravej Alam. 2021. "Scientifically Formulated Avocado Fruit Juice: Phytochemical Analysis, Assessment of Its Antioxidant Potential and Consumer Perception" Molecules 26, no. 24: 7424. https://doi.org/10.3390/molecules26247424
APA StyleJobil, A. J., Parameshwari, S., Husain, F. M., Alomar, S. Y., Ahmad, N., Albalawi, F., & Alam, P. (2021). Scientifically Formulated Avocado Fruit Juice: Phytochemical Analysis, Assessment of Its Antioxidant Potential and Consumer Perception. Molecules, 26(24), 7424. https://doi.org/10.3390/molecules26247424

