The Synthesis of Hypodiphosphoric Acid and Derivatives with P-P Bond, including Esters and Diphosphine Dioxides: A Review
Abstract
:1. Introduction
2. Hypodiphosphoric Acid
3. The Hypodiphosphoric Acid Esters
4. The Isomerism between Molecules Possess >P(=O)-P< and >P-O-P< Fragments
5. P-Centered Radicals Dimerization
6. The Diphosphine Dioxides
6.1. Phosphinito and Phosphito-Mercuries Metal Complexes Decomposition
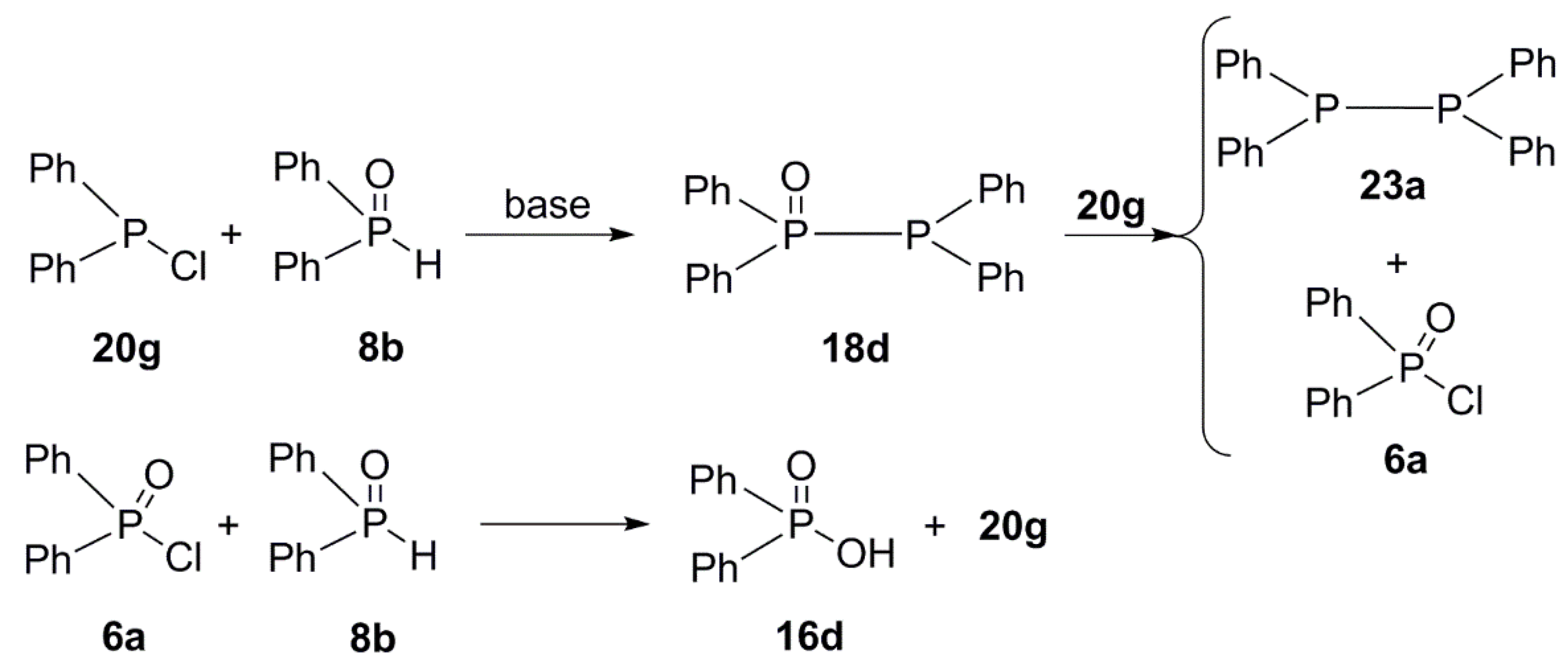
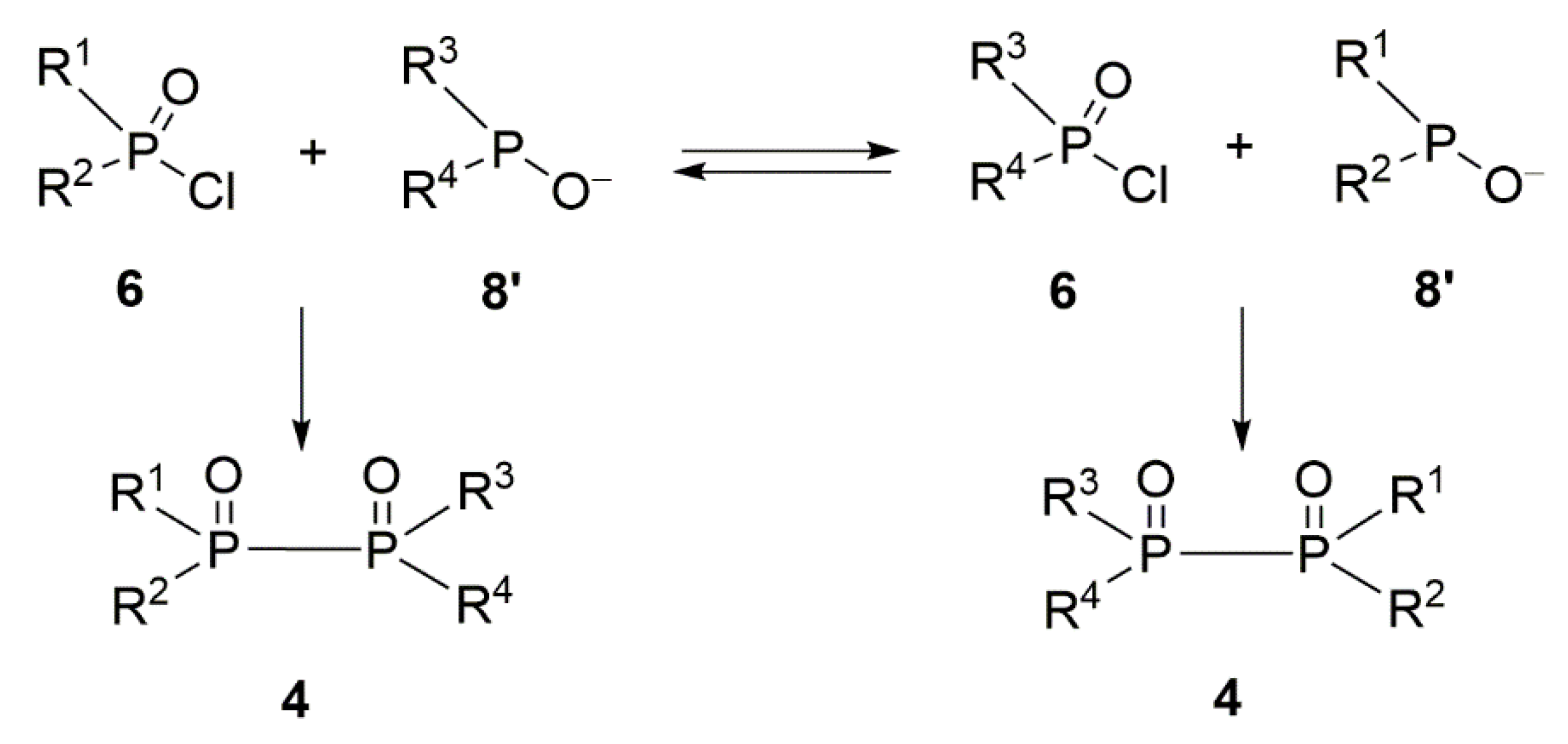
6.2. Some Synthetic Approaches of Diphosphine Dioxides
7. The Analogs of Biologically Active Compounds That Possess a P-P bond
8. Conclusions
Funding
Conflicts of Interest
Abbreviations
| ACN | Acetonitrile |
| DBU | 1,4-diazabicyclo[5 .4.0]undec-7-ene |
| THF | Tetrahydrofuran |
| TFA | Trifluoroacetic acid |
| DCC | Dicyclohexylcarbodiimide |
| TEEDA | N,N,N’,N’-tetraethylethylenediamine |
| dTMP | Deoxythymidine monophosphate |
| CP MAS | Cross polarization magic angle spinning |
| CP-HETCOR | Cross polarization-Heteronuclear correlation |
| FAB MS | Fast atom bombardment mass spectrometry |
| HOMO | High occupied molecular orbital |
| HIT-protein | The histidine triad protein |
References
- Błaziak, D.; Guga, P.; Jagiełło, A.; Korczyński, D.; Maciaszek, A.; Nowicka, A.; Pietkiewicz, A.; Stec, W. Stereoselective formation of a P–P bond in the reaction of 2-alkoxy-2-thio-1,3,2-oxathiaphospholanes with O,O-dialkyl H-phosphonates and H-thiophosphonates. J. Org. Biomol. Chem. 2010, 8, 5505–5510. [Google Scholar] [CrossRef]
- Guranowski, A.; Wojdy, A.M.; Zimny, J.; Wypijewska, A.; Kowalska, J.; Łukaszewicz, M.; Jemielity, J.; Darżynkiewicz, E.; Jagiełło, A.; Bieganowski, P. Recognition of different nucleotidyl-derivatives as substrates of reactions catalyzed by various HIT-proteins. New J. Chem. 2010, 34, 888–893. [Google Scholar] [CrossRef]
- Salzer, T. Ueber die Unterphosphorsäure. Liebigs Ann. 1877, 187, 322–341. (In German) [Google Scholar] [CrossRef] [Green Version]
- Salzer, T. Ueber Unterphosphorsäure und deren Salze. Liebigs Ann. 1878, 194, 28–39. (In German) [Google Scholar] [CrossRef]
- Salzer, T. Ueber Unterphosphorsäure. Liebigs Ann. 1882, 211, 1–35. (In German) [Google Scholar] [CrossRef]
- Salzer, T. Ueber Unterphosphorsäure. Vierte Abhandlung. Liebigs Ann. 1886, 232, 114–121. (In German) [Google Scholar] [CrossRef] [Green Version]
- Leininger, E.; Chulski, T. Disodium dihydrogen hypophosphate. Inorg. Synth. 1953, 4, 68–71. [Google Scholar]
- Prokop, M.; Bystron, T.; Paidar, M.; Bouzek, K. H3PO3 electrochemical behavior on a bulk Pt electrode: Adsorption and oxidation kinetics. Electrochim. Acta 2016, 212, 465–472. [Google Scholar] [CrossRef]
- Greenwood, N.N.; Earnshaw, A. Chemistry of the Elements, 2nd ed.; Butterworth-Heinemann: Oxford, UK, 1997; pp. 473–546. [Google Scholar]
- Greenwood, N.N.; Earnshaw, A. Chemistry of the Elements; Pergamon Press: Oxford, UK, 1984; p. 590. [Google Scholar]
- Hoge, B.; Garcia, P.; Willner, H.; Oberhammer, H. Bis(trifluoromethyl)phosphinous Acid (CF3)2P-O-H: An Example of a Thermally Stable Phosphinous Acid—Synthesis, Gas-Phase Structure, and Rotational Isomers. Chem. Eur. J. 2006, 12, 3567–3574. [Google Scholar] [CrossRef] [PubMed]
- Griffiths, J.E.; Burg, A.B. The phosphinous acid (CF3)2POH and the diphosphoxane (CF3)2POP(CF3)2. J. Am. Chem. Soc. 1960, 82, 1507–1508. [Google Scholar] [CrossRef]
- Hoge, B.; Neufeind, S.; Hettel, S.; Wiebe, W.; Thösen, C. Stable phosphinous acids. J. Organomet. Chem. 2005, 690, 2382–2387. [Google Scholar] [CrossRef]
- Mootz, D.; Altenburg, H. Kristallstrukturen von Säurehydraten und Oxoniumsalzen. VI. Dioxonium-dihydrogen-hypophosphat, (H3O+)2[H2P2O62−]. Acta Crystallogr. B 1971, 27, 1520–1523. (In German) [Google Scholar] [CrossRef]
- Collin, R.L.; Willis, M. The crystal structure of disodium dihydrogen hypophosphate hexahydrate (Na2H2P2O6.6H2O) and disodium dihydrogen pyrophosphate hexahydrate (Na2H2P2O7.6H2O). Acta Crystallogr. B 1971, 27, 291–302. [Google Scholar] [CrossRef]
- Szafranowska, B.; Ślepokura, K.; Lis, T. Structural analysis of six potassium salts of hypodiphosphoric acid, H4P2O6, containing the anions in all possible basicities, is focused on the anion structure and the organization of the anionic and cationic sublattices. Acta Crystallogr. C 2012, 68, i71–i82. [Google Scholar] [CrossRef] [PubMed]
- Gjikaj, M.; Wu, P.; Brockner, W. New Quaternary Alkali-Metal Hypodiphosphate Hydrates: Preparation, Crystal Structure, Vibrational Spectrum, and Thermal Behavior of K4P2O6·8H2O and Na2K2P2O6·8H2O in Comparison to Na4P2O6·10H2O. Z. Anorg. Allg. Chem. 2012, 638, 2144–2149. [Google Scholar] [CrossRef]
- Wu, P.; Wiegand, T.; Eckert, H.; Gjikaj, M. New hypodiphosphates of the alkali metals: Synthesis, crystal structure and vibrational spectra of the hypodiphosphates(IV) M2[(H2P2O6)(H4P2O6)] (M = Rb and Cs). J. Solid State Chem. 2012, 194, 212–218. [Google Scholar] [CrossRef] [Green Version]
- Gjikaj, M.; Wu, P.; Brockner, W. Preparation, Crystal Structure, Vibrational Spectra, and Thermal Behavior of Rb2H2P2O6·2H2O. Z. Anorg. Allg. Chem. 2014, 640, 379–384. [Google Scholar] [CrossRef]
- Gjikaj, M.; Haase, M. Crystal structure of catena-poly[[tetraaquamagnesium]-μ-(dihydrogen hypodiphosphato)-κ2O:O′]. Acta Crystallogr. E 2015, 71, 867–869. [Google Scholar] [CrossRef] [PubMed]
- Haase, M.; Gjikaj, M. Preparation, Crystal Structure and Vibrational Spectra of Ca2P2O6·2H2O and [Ca(H2O)3(H2P2O6)]·0.5(C12H24O6)·H2O. Z. Anorg. Allg. Chem. 2017, 643, 962–967. [Google Scholar] [CrossRef]
- Palkina, K.K.; Maksimova, S.I.; Chibiskova, N.T.; Mironova, K.S.; Tananaev, I.K. Crystal structure of LnHP2O5·4H2O (Ln-Gd, Dy, Ho) and change of P-P bond length in hypophosphate anion at Ln=Nd-Yb. Russ. J. Inorg. Chem. 1987, 32, 1790–1792. [Google Scholar]
- Hagen, S.; Jansen, M. Darstellung und Kristallstruktur von Cobalt(II)-Hexaoxodiphosphat(P–P)(4−)-dodecahydrat, Co2P2O6.12 H2O. Z. Anorg. Allg. Chem. 1995, 621, 149–152. [Google Scholar] [CrossRef]
- Haag, J.M.; LeBret, G.C.; Cleary, D.A.; Twamley, B. Room temperature synthesis and solid-state structure of Ni2P2O6 12H2O. J. Solid State Chem. 2005, 178, 1308–1311. [Google Scholar] [CrossRef]
- Gjikaj, M.; Wu, P.; Pook, N.-P. Hexaaquanickel(II) dihydrogen hypodiphosphate. Acta Crystallogr. E 2013, 69, i83. [Google Scholar] [CrossRef] [PubMed] [Green Version]
- Wu, P.; Pook, N.P.; Gjikaj, M. Darstellung und Kristallstruktur von Cobalt((II)-Hexaoxodiphosphat(P-P)(4-)-dodecahydrat, Co2,P2O6 12 H2O. Z. Anorg. Allg. Chem. 2015, 641, 1755–1761. [Google Scholar] [CrossRef]
- Gjikaj, M.; Wu, P. Transition Metal Complexes Containing Dihydrogen Hypodiphosphate in Eclipsed Conformation as Ligand: Preparation, Crystal Structure, Vibrational Spectra, and Thermal Behavior of K2[M(H2P2O6)2(H2O)2]·H2O (M = Co, Ni, Cu, and Zn). Z. Anorg. Allg. Chem. 2014, 640, 189–194. [Google Scholar] [CrossRef]
- Kinzhybalo, V.; Mermer, A.; Lis, T.; Starynowicz, P. Electron density distribution in tetralithium hypodiphosphate hexahydrate, Li4P2O6·6H2O. Acta Crystallogr. B 2013, 69, 344–355. [Google Scholar] [CrossRef] [PubMed]
- Otręba, M.; Budzikur, D.; Górecki, Ł.; Ślepokura, K.A. Adenosine hypodiphosphate ester, an analogue of ADP: Analysis of the adenine–hypodiphosphate interaction mode in hypodiphosphate nucleotides and adenine salts. Acta Crystallogr. C 2018, 74, 571–583. [Google Scholar] [CrossRef] [PubMed]
- Emami, M.; Ślepokura, K.A.; Trzebiatowska, M.; Noshiranzadeh, N.; Kinzhybalo, V. Oxyanion clusters with antielectrostatic hydrogen bonding (AEHB) in tetraalkylammonium hypodiphosphates. CrystEngComm 2018, 20, 5209–5219. [Google Scholar] [CrossRef]
- Wilson, A.; McGeachin, M.M. The Crystal Structure of Diammonium Dihydrogen Hypophosphate (NH4)2H2P2O6. Acta Crystallogr. 1964, 17, 1352–1355. [Google Scholar] [CrossRef]
- Ourvard, G.; Brec, R.; Rouxel, J. Structural determination of some MPS3 layered phases (M = Mn, Fe, Co, Ni and Cd). Mater. Res. Bull. 1985, 20, 1181–1189. [Google Scholar]
- Szklarz, P.; Chański, M.; Ślepokura, K.; Lis, T. Discovery of Ferroelectric Properties in Diammonium Hypodiphosphate (NH4)2H2P2O6 (ADhP). Chem. Mater. 2011, 23, 1082–1084. [Google Scholar] [CrossRef]
- Medycki, W.; Latanowicz, L.; Szklarz, P.; Jakubas, R. Proton dynamics at low and high temperatures in a novel ferroelectric diammonium hypodiphosphate (NH4)2H2P2O6 (ADhP) as studied by 1H spin–lattice relaxation time and second moment of NMR line. J. Magn. Reson. 2013, 231, 54–60. [Google Scholar] [CrossRef] [PubMed]
- Szklarz, P.; Przesławski, J.; Kosturek, B.; Jakubas, R. Phase transition of the novel hydrogen bonded ferroelectric (NH4)2H2P2O6 studied by specific heat measurements. Thermochim. Acta 2012, 527, 8–12. [Google Scholar] [CrossRef]
- Kers, A.; Kers, I.; Stawiński, J.; Sobkowski, M.; Kraszewski, A. Studies on aryl H-phosphonates. 3. Mechanistic investigations related to the disproportionation of diphenyl H-phosphonate under anhydrous basic conditions. Tetrahedron 1996, 52, 9931–9944. [Google Scholar] [CrossRef]
- Baudler, M. Untersuchungen über Phosphorverbindungen II. Zur Kenntnis der Umsetzung von Dialkylphosphorsäure-halogeniden mit Natrium. Z. Naturforsch. 1954, 9b, 447–448. (In German) [Google Scholar] [CrossRef]
- Baudler, M. Untersuchungen über Phosphorverbindungen. VII. Über die Ester der Unterphosphorsäure. Z. Anorg. Allg. Chem. 1956, 288, 171–192. (In German) [Google Scholar] [CrossRef]
- Michalski, J.; Zwierzak, A. Synthesis of Tetraalkyl Hypophosphates. Bull. Acad. Polon. Sci. Ser. Sci. Chim. 1965, 13, 253–259. [Google Scholar]
- Stec, W.; Zwierzak, A. Cyclic organophosphorus compounds. II. Some sterically hindered cyclic hypophosphate systems and related compounds. Can. J. Chem. 1967, 45, 2513–2520. [Google Scholar] [CrossRef] [Green Version]
- Stec, W.; Zwierzak, A.; Michalski, J. Studies on the Reaction of Dialkyl Phosphites with Dialkyl Phosphorochloridates in the Presence of Tertiary Amines. Bull. Acad. Pol. SciSer Sci. Chim. 1969, 17, 587–594. [Google Scholar]
- Nycz, J.; Rachon, J. Reductive cleavage of the halogen—Phosphorus, oxygen—phosphorus and phosphorus—phosphorus bonds with alkali metals. Phosphorus Sulfur 2000, 161, 39–59. [Google Scholar] [CrossRef]
- Schab-Balcerzak, E.; Wiącek, M.; Nycz, J.; Kondratowicz, F. P-Winylobenzyle oraz Sposób ich Otrzymywania. Polski Patent P. 232855, 30 August 2019. (In Polish). [Google Scholar]
- Kepler, J.A.; Carroll, F.I.; Garner, R.A.; Wall, M.E. Reaction of the Trichloromethyl Group with Di- and Trialkyl Phosphites. J. Org. Chem. 1966, 31, 105–107. [Google Scholar] [CrossRef]
- Steinberg, G.M. Reactions of dialkyl phosphites. Synthesis of dialkyl chlorophosphates, tetraalkyl pyrophosphates, and mixed orthophosphate esters1. J. Org. Chem. 1950, 15, 637–647. [Google Scholar] [CrossRef]
- Nylen, P. Studien uber Organische Phosphorverbindungen. Inaugural Dissertation, University of Uppsala, Uppsala, Sweden, 1930; pp. 62–64. (In German). [Google Scholar]
- Arbuzov, A.E.; Arbuzov, B.A. Über die Ester der pyrophosphorigen, der Unterphosphor- und der Pyro-phosphorsäure, III. Mitteil.: Diäthyl- phosphorigsäure-chlorid und Darstellung von Tetraäthyl-pyrophosphit daraus. Berichte 1932, 65, 195–199. (In German) [Google Scholar]
- Michalski, J.; Modro, T.; Zwierzak, A. Anhydrides of organophosphorus acids. Part II. The synthesis of tri- and tetra-alkyl esters of phosphorous phosphoric anhydride. J. Chem. Soc. 1961, 4904–4906. [Google Scholar] [CrossRef]
- Michalski, J.; Zwierzak, A. A Novel Synthesis of Tetra-alkyl Hypophosphates. Proc. Chem. Soc. 1964, 80. [Google Scholar]
- Mehrotra, R.C.; Srivastava, G.; Nagar, P.N. Dialkylphosphonate and Thiophosphonate (Open Chain and Cyclic) Derivatives of Arsenic(III) and Tin(IV). Phosphorus Sulfur 1983, 18, 145–148. [Google Scholar] [CrossRef]
- Yin, Y.-W.; Chen, Y.; Zhao, Y.-F.; Li, L.-P. N-selective phosphorylation with chlorophosphoryl dialkylesters prepared from dialkylphosphite/CCl4/NEt3. Phosphorus Sulfur 1993, 82, 67–72. [Google Scholar] [CrossRef]
- Anderson, G.W.; Blodringer, J.; Welcher, A.D. Tetraethyl Pyrophosphite as a Reagent for Peptide Syntheses. J. Am. Chem. Soc. 1952, 74, 5309–5312. [Google Scholar] [CrossRef]
- Anderson, G.W.; McGregor, A.C. t-Butyloxycarbonylamino Acids and Their Use in Peptide Synthesis. J. Am. Chem. Soc. 1957, 79, 6180–6183. [Google Scholar] [CrossRef]
- Crofts, P.C.; Markes, J.H.H.; Rydon, H.N. Bis-o-phenylene Pyrophosphite: A New Reagent for Peptide Synthesis. Part I. The Preparation of Some o-Phenylene Pyrophosphites. J. Chem. Soc. 1958, 4250–4254. [Google Scholar] [CrossRef]
- Arbuzov, B.A.; Nikonorov, K.W.; Fedorova, O.N.; Vinokurova, G.M.; Schischova, Z.G. Glikolevye efiry pirofosforistoi kisloty. Doklady Akad. Nauk SSSR 1953, 91, 817–820. (In Russian) [Google Scholar]
- Foss, W.L.; Lukashev, N.W.; Lutsenko, I.F. Tetraamidodiphosphine monoxides and isomeric diamidophosphoric acid anhydrides – phosphorotropic tautomerism of these compounds. Zh. Obshch. Khim. 1980, 50, 1236–1246. (In Russian) [Google Scholar]
- Foss, W.L.; Lukashev, N.W.; Petrovsky, P.W.; Lutsenko, I.F. Unsymmetrical amidoalkoxydiphosphine monoxides and their isomeric mixed anhydrides—phosphorotropic tautomerism. Zh. Obshch. Khim. 1980, 50, 2400–2409. (In Russian) [Google Scholar]
- Foss, W.L.; Kudinova, W.W.; Lutsenko, I.F. Synthesis and isomerization of mixed anhydrides of phosphorus and phosphonic-acids. Zh. Obshch. Khim. 1984, 54, 545–552. (In Russian) [Google Scholar]
- Foss, W.L.; Kudinova, W.W.; Lutsenko, I.F. Reversible isomerization of mono-oxidized alkyltrialkoxydiphosphines. Zh. Obshch. Khim. 1980, 50, 2803–2805. (In Russian) [Google Scholar]
- Konovalova, I.W.; Ofitserov, E.N.; Mironov, W.F.; Kostyuk, W.I.; Pudovik, A.N. Reactions of pyrocatechintrifluoracylphosphite with alcohols and acids. Zh. Obshch. Khim. 1983, 53, 1945–1950. (In Russian) [Google Scholar]
- Alfonsov, W.A.; Zamaletbinova, G.U.; Watyeva, E.S.; Pudovik, A.N. Reaction of diethyldithiochlorophosphite with silylphosphites and diethylphosphites. Zh. Obshch. Khim. 1985, 55, 704–705. (In Russian) [Google Scholar]
- Nifantev, E.E.; Kukhareva, T.S.; Solbatova, I.A.; Tchukhvar, T.G. Cyclophosphites and amidophosphites of 3,5-di-tert-butylpyrocatechols. Zh. Obshch. Khim. 1986, 56, 2487–2491. (In Russian) [Google Scholar]
- Rachoń, J. Fosforowe odczynniki nukleofilowe typu >P-O w reakcjach halofilowej substytucji. Wiadomości Chem. 2000, 54, 105–126. (In Polish) [Google Scholar]
- Nifantev, E.E.; Grachev, M.K.; Bekker, A.R.; Wasyanina, L.K.; Koroteyev, A.M. Study of 2-(1-imidazolyl)-5,5-dimethyl-1,3,2-dioxaphosphorinane. Zh. Obshch. Khim. 1988, 58, 312–316. (In Russian) [Google Scholar]
- Winter, N.J.; Fossey, J.; Beccard, B.; Berchadsky, Y.; Vila, F.; Werbelow, L.; Tordo, P. Kinetic and Spectroscopic Characterization of the Diarylphosphonyl Radical, (2,4,6-But3C6H2)2P=O. J. Phys. Chem. 1986, 90, 6749–6750. [Google Scholar] [CrossRef]
- Leca, D.; Fensterbank, L.; Lacôte, E.; Malacria, M. Recent advances in the use of phosphorus-centered radicals in organic chemistry. Chem. Soc. Rev. 2005, 34, 858–865. [Google Scholar] [CrossRef] [PubMed]
- Romakhin, A.S.; Zagumennov, V.A.; Nikitin, E.V. Electrochemical oxidation and interaction with salt halogens of dialkyl phosphorus acids. Russ. J. Gen. Chem. 1997, 67, 7, 1085–1090. (In Russian) [Google Scholar]
- Nycz, J.E.; Musiol, R. New approaches to the synthesis of diphosphine dioxides and hypophosphoric acid esters. Heteroatom Chem. 2006, 17, 310–316. [Google Scholar] [CrossRef]
- Zhou, Y.; Yin, S.; Gao, Y.; Zhao, Y.; Goto, M.; Han, L.-B. Selective PP and POP Bond Formations through Copper-Catalyzed Aerobic Oxidative Dehydrogenative Couplings of H-Phosphonates. Angew. Chem. Int. Ed. 2010, 49, 6852–6855. [Google Scholar] [CrossRef] [Green Version]
- Nycz, J.E.; Malecki, G.; Chikkali, S.; Hajdok, I.; Singh, P. The Reaction of Quinoline-5,8-diones With Selected Charged Phosphorus Nucleophiles. Phosphorus Sulfur 2012, 187, 564–572. [Google Scholar] [CrossRef]
- Bunnett, J.F. Aromatic Substitution by the SRN1 Mechanism. Acc. Chem. Res. 1978, 11, 413–420. [Google Scholar] [CrossRef]
- Russell, G.A.; Hershberger, J. Trapping of radicals by dialkyl phosphite ions; synthesis of α-nitroalkylphosphonates by SRN1 reactions. J. Chem. Soc. Chem. Commun. 1980, 216–217. [Google Scholar] [CrossRef]
- Haynes, R.K.; Lam, W.W.-L.; Williams, I.D.; Yeung, L.-L. The First Examples of Enantiomerically Pure Diphosphane Dioxides—(RP,RP)- and (SP,SP)-1,2-Di-ter-butyl-1,2-diphenyldiphosphane 1,2-Dioxides, and (RP)- and (SP)-1-tert-Butyl-1,2,2-triphenyldiphosphane 1,2-Dioxides. Chem. Eur. J. 1997, 3, 2052–2057. [Google Scholar] [CrossRef]
- Hitchcock, P.B.; Lappert, M.F.; Nycz, J.E. Synthesis, structure and reductive dechlorination of the C-centered phosphorus(III) β-diketiminate PCl(Ph)L [L = C{C(Me)NC6H3Pri2-2,6}{C(Me)NHC6H3Pri2-2,6}]. Chem. Commun. 2003, 10, 1142–1143. [Google Scholar] [CrossRef]
- Bezombes, J.-P.; Hitchcock, P.B.; Lappert, M.F.; Nycz, J.E. Synthesis and P–P cleavage reactions of [P(X)X’]2, X-ray structures of [Co{P(X)X’}(CO)3] and P4[P(X)X’]2[X = N(SiMe3)2, X’= NPri2]. Dalton Trans. 2004, 4, 499–501. [Google Scholar] [CrossRef] [PubMed]
- Bezombes, J.-P.; Borisenko, K.B.; Hitchcock, P.B.; Lappert, M.F.; Nycz, J.E.; Rankin, D.W.H.; Robertson, H.E. Structures of the radical P[N(SiMe3)2](NPri2), its dimer, cation and chloro derivative. Dalton Trans. 2004, 13, 1980–1988. [Google Scholar] [CrossRef] [PubMed]
- Eichbichler, J.; Peringer, P. (O-n-Butyl-P-phenyl-phosphonito-P)-Mercury Complexes. Inorg. Chim. Acta 1980, 43, 121–124. [Google Scholar] [CrossRef]
- Peringer, P.; Eichbichler, J. Bis(di-tert-butylphosphinito-P)mercury. Preparation and properties. J. Inorg. Nucl. Chem. 1981, 43, 2033–2036. [Google Scholar] [CrossRef]
- Nycz, J.E. Synthetic and Mechanistic Aspects of Preparation of Phosphinito and Phosphito-mercuries. Heteroatom Chem. 2008, 19, 234–237. [Google Scholar] [CrossRef]
- Germann, F.E.E.; Traxler, R.N. Preparation and melting points of pure di- and triiodide of phosphorus. J. Am. Chem. Soc. 1927, 49, 307–312. [Google Scholar] [CrossRef]
- Hewertson, W.; Watson, H.R. The Preparation of Di- and Tri-tertiary Phosphines. J. Chem. Soc. 1962, 1490–1494. [Google Scholar] [CrossRef]
- Kuchen, W.; Buchwald, H. Mono- und Oligophenylphosphine. Angew. Chem. 1956, 68, 791. (In German) [Google Scholar] [CrossRef]
- Issleib, K.; Seidel, W. Darstellung und chemisches Verhalten aliphatischer und cycloaliphatischer Diphosphine, R2P–PR2. Chem. Ber. 1959, 92, 2681–2694. (In German) [Google Scholar] [CrossRef]
- Kuchen, W.; Buchwald, H. Zur Kenntnis der Organophosphorverbindungen, II. Das Tetraphenyldiphosphin. Chem. Ber. 1958, 91, 2871–2877. (In German) [Google Scholar] [CrossRef]
- Issleib, K.; Hoffmann, M. Alkali-Phosphorverbindungen und ihr reaktives Verhalten, XLI. Tetra-tert.-butyl-biphosphin und Tetra-tert.-butyl-cyclotetra-phosphin. Chem. Ber. 1966, 99, 1320–1324. (In German) [Google Scholar] [CrossRef]
- Niebergall, H. Synthese von Tetraorgano-diphosphinen und Diorgano-phosphinen. Angew. Chem. 1960, 72, 210. (In German) [Google Scholar] [CrossRef]
- Hart, F.A.; Mann, F.G. The Synthesis and Properties of 4-Methyl-o-phenylenebis-(diethylphosphine). J. Chem. Soc. 1957, 39393944. [Google Scholar] [CrossRef]
- Fild, M.; Hollenberg, I.; Glemser, O. Reaktionen der Pentafluorphenyl-phosphorhalogenide. Naturwissenschaften 1967, 54, 89–90. (in German). [Google Scholar] [CrossRef]
- Horner, L.; Dickerhof, K. Studien zum Vorgang der Wasserstoffübertragung, 67. Endioldiester durch acylierende elektroreduktive Dimerisierung von Carbonsäurechloriden mit Lithiumamalgam. Chem. Ber. 1983, 116, 1603–1614. (In German) [Google Scholar] [CrossRef]
- Homer, L.; Beck, P.; Hoffmann, H. Phosphororganische Verbindungen, XIX. Reduktion von Phosphorverbindungen mit Alkalimetallen. Chem. Ber. 1959, 92, 2088–2094. (In German) [Google Scholar]
- Goda, K.; Gomi, H.; Yoshifuji, M.; Inamoto, N. Metal Phosphinylides and Phosphinothioylides. VII. The Structure of [Ph2PX]M (X=O, S) in Solution and Their Disproportionation. Bull. Chem. Soc. Jpn. 1977, 50, 545–546. [Google Scholar] [CrossRef] [Green Version]
- Sasaki, M.; Collin, J.; Kagan, H.B. Reactions of P-Cl Compounds in presence of SmI2. Tetrahedron Lett. 1991, 32, 2493–2496. [Google Scholar] [CrossRef]
- Stankiewicz, M.; Nycz, J.; Rachon, J. Reductive cleavage of the halogen—phosphorus and sulfur—phosphorus bonds with alkali metals. Heteroatom Chem. 2002, 13, 330–339. [Google Scholar] [CrossRef]
- Hunter, D.; Michie, J.K.; Miller, J.A.; Stewart, W. The reaction of diphenylphosphine oxide with diphenylphosphinous chloride in the absence of base. Phosphorus Sulfur 1981, 10, 267–270. [Google Scholar] [CrossRef]
- Aksnes, G.; Majewski, P. Investigation of the reaction between dialkylphosphine oxides and carbontetrachloride. Phosphorus Sulfur 1986, 26, 261–274. [Google Scholar] [CrossRef]
- Quin, L.D.; Anderson, H.G. Some New Reactions of Functions Containing Secondary Phosphorus. J. Org. Chem. 1966, 31, 1206–1209. [Google Scholar] [CrossRef]
- Pearson, R.G. Hard and Soft Acids and Bases. J. Am. Chem. Soc. 1963, 85, 3533–3539. [Google Scholar] [CrossRef]
- Foss, W.L.; Kudinova, P.L.; Lutsenko, I.F. Effect of spatial barriers on the relative thermodynamical stability of monooxides of trialkylalkoxy diphosphines and isomeric anhydrides. Zh. Obshch. Khim. 1983, 53, 2193–2199. (In Russian) [Google Scholar]
- Rose, M.G.; Farrell, M.P.; Schmitz, J.C. Thymidylate Synthase: A Critical Target for Cancer Chemotherapy. Clin. Colorectal Canc. 2002, 1, 220–229. [Google Scholar] [CrossRef]
- Setondji, J.; Remy, P.; Ebel, J.-P.; Dirheimer, G. Analogues de nucléosides polyphosphates. V. Action de l’adfnosine-5′-hypophosphate sur l’adénylate kinase et la pyruvate kinase. Préparation de l’adénosine-5′-hypophosphophosphate, analogue structural de l’ATP. Biochim. Biophys. Acta 1971, 232, 585–594. (In French) [Google Scholar] [CrossRef]
- Setondji, J.; Remy, P.; Dirheimer, G.; Ebel, J.-P. Analogues de nucleosides polyphosphate IV. Synthese de l’adenosine 5′-hypophosphate un analogue structural de L’ADP. Biochim. Biophys. Acta 1970, 224, 136–143. (In French) [Google Scholar] [CrossRef]












































Publisher’s Note: MDPI stays neutral with regard to jurisdictional claims in published maps and institutional affiliations. |
© 2021 by the author. Licensee MDPI, Basel, Switzerland. This article is an open access article distributed under the terms and conditions of the Creative Commons Attribution (CC BY) license (https://creativecommons.org/licenses/by/4.0/).
Share and Cite
Nycz, J.E. The Synthesis of Hypodiphosphoric Acid and Derivatives with P-P Bond, including Esters and Diphosphine Dioxides: A Review. Molecules 2021, 26, 7286. https://doi.org/10.3390/molecules26237286
Nycz JE. The Synthesis of Hypodiphosphoric Acid and Derivatives with P-P Bond, including Esters and Diphosphine Dioxides: A Review. Molecules. 2021; 26(23):7286. https://doi.org/10.3390/molecules26237286
Chicago/Turabian StyleNycz, Jacek E. 2021. "The Synthesis of Hypodiphosphoric Acid and Derivatives with P-P Bond, including Esters and Diphosphine Dioxides: A Review" Molecules 26, no. 23: 7286. https://doi.org/10.3390/molecules26237286
APA StyleNycz, J. E. (2021). The Synthesis of Hypodiphosphoric Acid and Derivatives with P-P Bond, including Esters and Diphosphine Dioxides: A Review. Molecules, 26(23), 7286. https://doi.org/10.3390/molecules26237286
