Importance of Bile Composition for Diagnosis of Biliary Obstructions
Abstract
1. Introduction
2. Results and Discussion
2.1. Bilirubin as an Indicator of Neoplasm
2.2. Importance of BSs as Indicators of Biliary Obstruction
2.2.1. Choledocholithiasis
2.2.2. Cholangiocarcinoma
2.2.3. Pancreatic Neoplasms
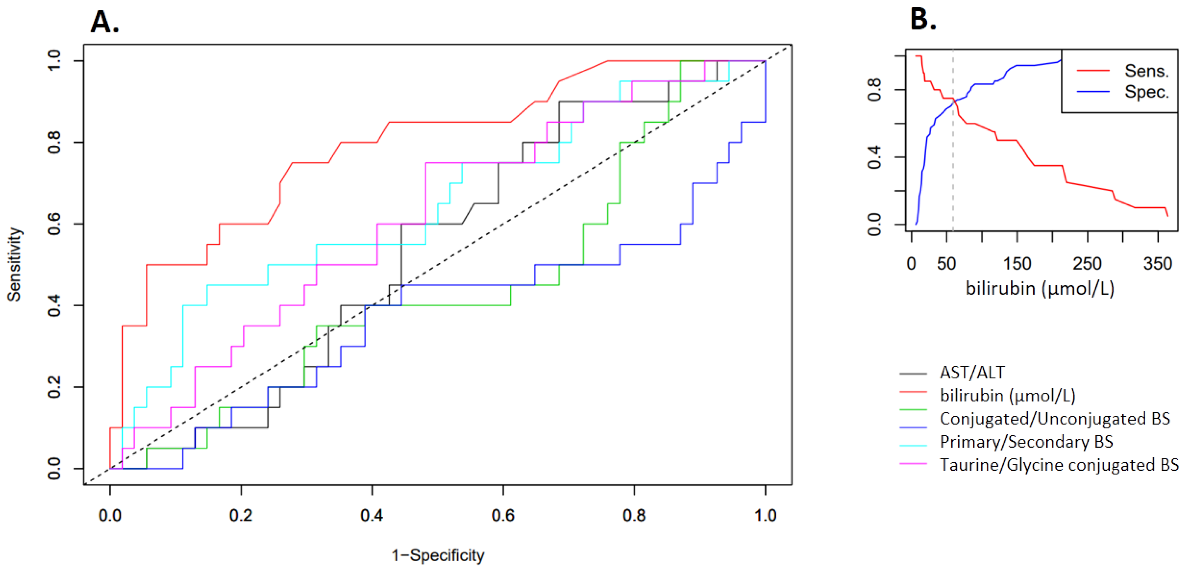
2.3. Diagnosis of Biliary Obstruction
3. Materials and Methods
3.1. Sample Collection
3.2. HB Analysis
3.3. Statistical Analysis
4. Conclusions
Author Contributions
Funding
Institutional Review Board Statement
Informed Consent Statement
Data Availability Statement
Conflicts of Interest
Sample Availability
References
- Guibaud, L.; Bret, P.M.; Reinhold, C.; Atri, M.; Barkun, A.N. Bile Duct Diagnosis Obstruction with Choledocholithiasis: Cholanglography. Radiology 1995, 197, 109–115. [Google Scholar] [CrossRef]
- Katabathina, V.S.; Dasyam, A.K.; Dasyam, N.; Hosseinzadeh, K. Adult bile duct strictures: Role of MR imaging and MR cholangiopancreatography in characterization. Radiographics 2014, 34, 565–586. [Google Scholar] [CrossRef] [PubMed]
- Rizk, R.S.; McVicar, J.P.; Emond, M.J.; Rohrmann, J.; Kowdley, K.V.; Perkins, J.; Carithers, J.; Kimmey, M.B. Endoscopic management of biliary strictures in liver transplant recipients: Effect on patient and graft survival. Gastrointest. Endosc. 1998, 47, 128–135. [Google Scholar] [CrossRef]
- Al-Mofleh, I.A.; Aljebreen, A.M.; Al-Amri, S.M.; Al-Rashed, R.S.; Al-Faleh, F.Z.; Al-Freihi, H.M.; Abdo, A.A.; Isnani, A.C. Biochemical and radiological predictors of malignant biliary strictures. World J. Gastroenterol. 2004, 10, 1504–1507. [Google Scholar] [CrossRef] [PubMed]
- Schwartz, L.H.; Coakley, F.V.; Sun, Y.; Blumgart, L.H.; Fong, Y.; Panicek, D.M. Neoplastic pancreaticobiliary duct obstruction: Evaluation with breath-hold MR cholangiopancreatography. AJR Am. J. Roentgenol. 1998, 170, 1491–1495. [Google Scholar] [CrossRef] [PubMed][Green Version]
- Zidi, S.H.; Prat, F.; Le Guen, O.; Rondeau, Y.; Pelletier, G. Performance characteristics of magnetic resonance cholangiography in the staging of malignant hilar strictures. Gut 2000, 46, 103–106. [Google Scholar] [CrossRef]
- Brountzos, E.N.; Ptochis, N.; Panagiotou, I.; Malagari, K.; Tzavara, C.; Kelekis, D.A. Survival analysis of patients with malignant biliary strictures treated by percutaneous metallic stenting. Cardiovasc. Intervent. Radiol. 2007, 30, 66–73. [Google Scholar] [CrossRef]
- Lee, B.H.; Choe, D.H.; Lee, J.H.; Kim, K.H.; Chin, S.Y. Metallic stents in malignant biliary obstruction: Prospective long-term clinical results. AJR Am. J. Roentgenol. 1997, 168, 741–745. [Google Scholar] [CrossRef]
- Endoprosthesis, S.S. Malignant biliary obstruction: Treatment with self-expandable stainless steel endoprosthesis. Cardiovasc. Interv. Radiol. 1992, 15, 351–355. [Google Scholar]
- Nakayama, A.; Imamura, H.; Shimada, R.; Miyagawa, S.I.; Makuuchi, M.; Kawasaki, S. Proximal bile duct stricture disguised as malignant neoplasm. Surgery 1999, 125, 514–521. [Google Scholar] [CrossRef]
- Kim, M.J.; Mitchell, D.G.; Ito, K.; Outwater, E.K. Biliary dilatation: Differentiation of benign from malignant causes—Value of adding conventional MR imaging to MR cholangiopancreatography. Radiology 2000, 214, 173–181. [Google Scholar] [CrossRef]
- Rösch, T.; Meining, A.; Frühmorgen, S.; Zillinger, C.; Schusdziarra, V.; Hellerhoff, K.; Classen, M.; Helmberger, H.A. Prospective comparison of the diagnostic accuracy of ERCP, MRCP, CT, and EUS in biliary strictures. Gastrointest. Endosc. 2002, 55, 870–876. [Google Scholar] [CrossRef]
- Scudera, P.L.; Koizumi, J.; Jacobson, I.M. Brush cytology evaluation of lesions encountered during ERCP. Gastrointest. Endosc. 1990, 36, 281–284. [Google Scholar] [CrossRef]
- Davidson, B.; Varsamidakis, N.; Dooley, J.; Deery, A.; Dick, R.; Kurzawinski, T.; Hobbs, K. Value of exfoliative cytology for investigating bile duct strictures. Gut 1992, 33, 1408–1411. [Google Scholar] [CrossRef] [PubMed][Green Version]
- Foutch, P.G.; Harlan, J.R.; Kerr, D.; Sanowski, R.A. Wire-guided brush cytology: A new endoscopic method for diagnosis of bile duct cancer. Gastrointest. Endosc. 1989, 35, 243–247. [Google Scholar] [CrossRef]
- Leung JW, C.; Sung, J.Y.; Chung SC, S.; Chan, K.M. Endoscopic scraping biopsy of malignant biliary strictures. Gastrointest. Endosc. 1989, 35, 65–66. [Google Scholar] [CrossRef]
- Hawes, R.H. Diagnostic and therapeutic uses of ERCP in pancreatic and biliary tract malignancies. Gastrointest. Endosc. 2002, 56, 201–205. [Google Scholar] [CrossRef]
- Eisen, G.M.; Dominitz, J.A.; Faigel, D.O.; Goldstein, J.L.; Kalloo, A.N.; Petersen, B.T.; Wheeler-Harbaugh, J. An annotated algorithmic approach to malignant biliary obstruction. Gastrointest. Endosc. 2001, 53, 849–852. [Google Scholar] [CrossRef]
- Eloubeidi, M.A.; Chen, V.K.; Jhala, N.C.; Eltoum, I.E.; Jhala, D.; Chhieng, D.C.; Wilcox, C.M. Endoscopic ultrasound guided fine needle aspiration biopsy. Clin. Gastroenterol. Hepatol. 2004, 2, 209–2013. [Google Scholar] [CrossRef]
- Rösch, T.; Hofrichter, K.; Frimberger, E.; Meining, A.; Born, P.; Weigert, N.; Allescher, H.D.; Classen, M.; Barbur, M.; Schenck, U.; et al. ERCP or EUS for tissue diagnosis of biliary strictures? A prospective comparative study. Gastrointest. Endosc. 2004, 60, 390–396. [Google Scholar] [CrossRef]
- DeWitt, J.; Misra, V.L.; LeBlanc, J.K.; McHenry, L.; Sherman, S. EUS-guided FNA of proximal biliary strictures after negative ERCP brush cytology results. Gastrointest. Endosc. 2006, 64, 325–333. [Google Scholar] [CrossRef]
- Saluja, S.S.; Sharma, R.; Pal, S.; Sahni, P.; Chattopadhyay, T.K. Differentiation between benign and malignant hilar obstructions using laboratory and radiological investigations: A prospective study. Hpb 2007, 9, 373–382. [Google Scholar] [CrossRef]
- Paritpokee, N.; Tangkijvanich, P.; Teerasaksilp, S.; Wiwanitkit, V.; Lertmaharit, S.; Tosukhowong, P. Fast liver alkaline phosphatase isoenzyme in diagnosis of malignant biliary obstruction. J. Med. Assoc. Thailand Chotmaihet Thangphaet 1999, 82, 1241–1246. [Google Scholar]
- Jain, A.K.; Tantry, B.V.; Kumar, A.; Gupta, J.P. Alkaline phosphatase isoenzymes in the differential diagnosis of cholestasis. Trop. Gastroenterol. Off. J. Dig. Dis. Found. 1986, 7, 65–70. [Google Scholar]
- Surina, B.; Jagarinec, N.; Cerlek, S.; Stulhofer, M. Evaluation of high-molecular weight alkaline phosphatase in the detection of malignant extra-hepatic obstruction. Lijec. Vjesn. 1988, 110, 257–261. [Google Scholar]
- Garcea, G.; Ngu, W.; Neal, C.P.; Dennison, A.R.; Berry, D.P. Bilirubin levels predict malignancy in patients with obstructive jaundice. Hpb 2011, 13, 426–430. [Google Scholar] [CrossRef] [PubMed]
- Laurent, A.; Tayar, C.; Cherqui, D. Cholangiocarcinoma: Preoperative biliary drainage (Con). Hpb 2008, 10, 126–129. [Google Scholar] [CrossRef] [PubMed]
- Khoei, N.S.; Carreras-Torres, R.; Murphy, N.; Gunter, M.J.; Brennan, P.; Smith-Byrne, K.; Mariosa, D.; McKay, J.; O’Mara, T.A.; Jarrett, R.; et al. Genetically raised circulating bilirubin levels and risk of ten cancers: A mendelian randomization study. Cells 2021, 10, 394. [Google Scholar] [CrossRef]
- Zeng, D.; Wu, H.; Huang, Q.; Zeng, A.; Yu, Z.; Zhong, Z. Serum Lipid, Total Bile Acid and Total Bilirubin Levels are the Risk Factors of Gallstones. Res. Sq. 2020, 1–14. Available online: https://www.researchsquare.com/article/rs-112989/v1 (accessed on 9 November 2021).
- Hafkenscheid JC, M.; Hectors MP, C. An enzymic method for the determination of the glycine/taurine ratio of conjugated bile acids in bile. Clin. Chim. Acta 1975, 65, 67–74. [Google Scholar] [CrossRef]
- Martínez-Augustin, O.; de Medina, F.S. Intestinal bile acid physiology and pathophysiology. World J. Gastroenterol. 2008, 14, 5630–5640. [Google Scholar] [CrossRef] [PubMed]
- Goto, J.; Mano, N.; Goto, T. Development of Highly Selective Analytical Systems for Biological Substances Using Chromatography Combined with Mass Spectrometry—With Special Reference to Bio—Analytical Studies of Bile Acids. Chromatography 2004, 25, 1–8. [Google Scholar]
- Hofmann, A.F. The continuing importance of bile acids in liver and intestinal disease. Arch. Intern. Med. 1999, 159, 2647–2658. [Google Scholar]
- Al-Khaifi, A.; Rudling, M.; Angelin, B. An FXR Agonist Reduces Bile Acid Synthesis Independently of Increases in FGF19 in Healthy Volunteers. Gastroenterology 2018, 155, 1012–1016. [Google Scholar] [CrossRef]
- Kok, T.; Hulzebos, C.V.; Wolters, H.; Havinga, R.; Agellon, L.B.; Stellaard, F.; Shan, B.; Schwarz, M.; Kuipers, F. Enterohepatic circulation of bile salts in farnesoid X receptor-deficient mice: Efficient intestinal bile salt absorption in the absence of ileal bile acid-binding protein. J. Biol. Chem. 2003, 278, 41930–41937. [Google Scholar] [CrossRef] [PubMed]
- Stofan, M.; Guo, G.L. Bile Acids and FXR: Novel Targets for Liver Diseases. Front. Med. 2020, 7, 544. [Google Scholar] [CrossRef]
- Goodwin, B.; Jones, S.A.; Price, R.R.; Watson, M.A.; McKee, D.D.; Moore, L.B.; Galardi, C.; Wilson, J.G.; Lewis, M.C.; Roth, M.E.; et al. A regulatory cascade of the nuclear receptors FXR, SHP-1, and LRH-1 represses bile acid biosynthesis. Mol. Cell 2000, 6, 517–526. [Google Scholar] [CrossRef]
- Dawson, P.A.; Lan, T.; Rao, A. Thematic review series: Bile acids. Bile Acid Transp. J. Lipid Res. 2009, 50, 2340–2357. [Google Scholar] [CrossRef] [PubMed]
- Pircher, P.C.; Kitto, J.L.; Petrowski, M.L.; Tangirala, R.K.; Bischoff, E.D.; Schulman, I.G.; Westin, S.K. Farnesoid X receptor regulates bile acid-amino acid conjugation. J. Biol. Chem. 2003, 278, 27703–27711. [Google Scholar] [CrossRef]
- Kullak-Ublick, G.A.; Stieger, B.; Meier, P.J. Enterohepatic Bile Salt Transporters in Normal Physiology and Liver Disease. Gastroenterology 2004, 126, 322–342. [Google Scholar] [CrossRef]
- Hofmann, A.F. Division of Gastroenterology. Department of Medicine, University of California, San Diego. La Jolla, California 92093-0063. Front. Biosci. 2009, 126, 2584–2598. [Google Scholar] [CrossRef]
- Nathanson, M.H.; Boyer, J.L. Mechanisms and regulation of bile secretion. Hepatology 1991, 14, 551–566. [Google Scholar] [CrossRef] [PubMed]
- Cook, J.W.; Kennaway, E.L.; Kennaway, N.M. Production of tumours in mice by deoxycholic acid. Nature 1940, 145, 627. [Google Scholar] [CrossRef]
- Ikeda, Y.; Morita, S.Y.; Terada, T. Cholesterol attenuates cytoprotective effects of phosphatidylcholine against bile salts. Sci. Rep. 2017, 7, 306. [Google Scholar] [CrossRef] [PubMed]
- Moschetta, A.; VanBerge-Henegouwen, G.P.; Portincasa, P.; Palasciano, G.; Groen, A.K.; Van Erpecum, K.J. Sphingomyelin exhibits greatly enhanced protection compared with egg yolk phosphatidylcholine against detergent bile salts. J. Lipid Res. 2000, 41, 916–924. [Google Scholar] [CrossRef]
- Ajouz, H.; Mukherji, D.; Shamseddine, A. Secondary bile acids: An underrecognized cause of colon cancer. World J. Surg. Oncol. 2014, 12, 164. [Google Scholar] [CrossRef]
- Dai, J.; Wang, H.; Shi, Y.; Dong, Y.; Zhang, Y.; Wang, J. Impact of bile acids on the growth of human cholangiocarcinoma via FXR. J. Hematol. Oncol. 2011, 4, 41. [Google Scholar] [CrossRef]
- Jusakul, A.; Khuntikeo, N.; Haigh, W.G.; Kuver, R.; Ioannou, G.N.; Loilome, W.; Namwat, N.; Bhudhisawasdi, V.; Pugkhem, A.; Pairojkul, C.; et al. Identification of biliary bile acids in patients with benign biliary diseases, hepatocellular carcinoma and cholangiocarcinoma. Asian Pac. J. Cancer Prev. 2012, 13, 77–82. [Google Scholar]
- Zhang, X.; Yang, Z.; Shi, Z.; Zhu, Z.; Li, C.; Du, Z.; Zhang, Y.; Wang, Z.; Jiao, Z.; Tian, X.; et al. Analysis of bile acid profile in plasma to differentiate cholangiocarcinoma from benign biliary diseases and healthy controls. J. Steroid Biochem. Mol. Biol. 2021, 205, 105775. [Google Scholar] [CrossRef]
- Dai, J.; Wang, H.; Dong, Y.; Zhang, Y.; Wang, J. Bile acids affect the growth of human cholangiocarcinoma via NF-kB pathway. Cancer Investig. 2013, 31, 111–120. [Google Scholar] [CrossRef]
- Jaeschke, H.; Gores, G.J.; Cederbaum, A.I.; Hinson, J.A.; Pessayre, D.; Lemasters, J.J. Mechanisms of hepatotoxicity. Toxicol. Sci. 2002, 65, 166–176. [Google Scholar] [CrossRef] [PubMed]
- Bernstein, H.; Bernstein, C.; Payne, C.M.; Dvorakova, K.; Garewal, H. Bile acids as carcinogens in human gastrointestinal cancers. Mutat. Res. Rev. Mutat. Res. 2005, 589, 47–65. [Google Scholar] [CrossRef]
- Feng, H.Y.; Chen, Y.C. Role of bile acids in carcinogenesis of pancreatic cancer: An old topic with new perspective. World J. Gastroenterol. 2016, 22, 7463–7477. [Google Scholar] [CrossRef]
- Tucker, O.N.; Dannenberg, A.J.; Yang, E.K.; Fahey, T.J. Bile acids induce cyclooxygenase-2 expression in human pancreatic cancer cell lines. Carcinogenesis 2004, 25, 419–423. [Google Scholar] [CrossRef] [PubMed]
- Rees, D.O.; Crick, P.J.; Jenkins, G.J.; Wang, Y.; Griffiths, W.J.; Brown, T.H.; Al-Sarireh, B. Comparison of the composition of bile acids in bile of patients with adenocarcinoma of the pancreas and benign disease. J. Steroid Biochem. Mol. Biol. 2017, 174, 290–295. [Google Scholar] [CrossRef]
- Modica, S.; Gadaleta, R.M.; Moschetta, A. Deciphering the nuclear bile acid receptor FXR paradigm. Nucl. Recept. Signal. 2010, 8, nrs-08005. [Google Scholar] [CrossRef] [PubMed]
- Haeusler, R.A.; Camastra, S.; Nannipieri, M.; Astiarraga, B.; Castro-Perez, J.; Xie, D.; Wang, L.; Chakravarthy, M.; Ferrannini, E. Increased bile acid synthesis and impaired bile acid transport in human obesity. J. Clin. Endocrinol. Metab. 2016, 101, 1935–1944. [Google Scholar] [CrossRef]
- Sandstad, O.; Osnes, T.; Skar, V.; Urdal, P.; Osnes, M. Structure and composition of common bile duct stones in relation to duodenal diverticula, gastric resection, cholecystectomy and infection. Digestion 2000, 61, 181–188. [Google Scholar] [CrossRef]
- Xiao, Y.; Zhou, K.; Lu, Y.; Yan, W.; Cai, W.; Wang, Y. Administration of antibiotics contributes to cholestasis in pediatric patients with intestinal failure via the alteration of FXR signaling. Exp. Mol. Med. 2018, 50, 1–14. [Google Scholar] [CrossRef]
- Jones, M.L.; Martoni, C.J.; Ganopolsky, J.G.; Labbé, A.; Prakash, S. The human microbiome and bile acid metabolism: Dysbiosis, dysmetabolism, disease and intervention. Expert Opin. Biol. Ther. 2014, 14, 467–482. [Google Scholar] [CrossRef]
- Lee, J.H.; Park, Y.H.; Seo, J.H.; Chung, J.B.; Lee, S.J.; Chung, J.P.; Kang, J.K. Biliary Bile Acid Analysis in the Patients with Bile Duct Cancer. Korean J. Gastroenterol. 2000, 35, 103–110. [Google Scholar]
- Song, W.S.; Park, H.M.; Ha, J.M.; Shin, S.G.; Park, H.G.; Kim, J.; Zhang, T.; Ahn, D.H.; Kim, S.M.; Yang, Y.H.; et al. Discovery of glycocholic acid and taurochenodeoxycholic acid as phenotypic biomarkers in cholangiocarcinoma. Sci. Rep. 2018, 8, 11088. [Google Scholar] [CrossRef] [PubMed]
- Petrov, V.A.; Fernández-Peralbo, M.A.; Derks, R.; Knyazeva, E.M.; Merzlikin, N.V.; Sazonov, A.E.; Mayboroda, O.A.; Saltykova, I.V. Biliary Microbiota and Bile Acid Composition in Cholelithiasis. BioMed Res. Int. 2020, 2020, 1242364. [Google Scholar] [CrossRef]
- Shoda, J.; Tanaka, N.; He, B.F.; Matsuzaki, Y.; Osuga, T.; Miyazaki, H. Alterations of bile acid composition in gallstones, bile, and liver of patients with hepatolithiasis, and their etiological significance. Dig. Dis. Sci. 1993, 38, 2130–2141. [Google Scholar] [CrossRef] [PubMed]
- Akiyoshi, T.; Nakayama, F. Bile acid composition in brown pigment stones. Dig. Dis. Sci. 1990, 35, 27–32. [Google Scholar] [CrossRef] [PubMed]
- Park, J.Y.; Park, B.K.; Ko, J.S.; Bang, S.; Song, S.Y.; Chung, J.B. Bile acid analysis in biliary tract cancer. Yonsei Med. J. 2006, 47, 817–825. [Google Scholar] [CrossRef]
- Vlahcevic, Z.R.; Bell, C.C.; Buhac, I.; Farrar, J.T.; Swell, L. Diminished bile acid pool size in patients with gallstones. Gastroenterology 1970, 59, 165–173. [Google Scholar] [CrossRef]
- Hofmann, A.F.; Thistle, J.L.; Klein, P.D.; Szczepanik, P.A.; Yu, P.Y.S. Chenotherapy for Gallstone Response Changes Composition and Gallstone. 2015. Available online: https://pubmed.ncbi.nlm.nih.gov/628065/ (accessed on 5 January 2021).
- Kanazawa, Y.; Koizumi, M.; Hirakawa, H.; Endo, K.; Yoshida, S.; Miyakawa, T.; Konno, Y.; Goto, Y.; Goto, J.; Nambara, T. The Effect of Ursodeoxycholic Acid on Biliary Bile Acid Composition in Patients with Cholesterol Gallstone. Tohoku J. Exp. Med. 1982, 136, 235–249. [Google Scholar] [CrossRef]
- Gustafsson, U.; Sahlin, S.; Einarsson, C. Biliary lipid composition in patients with cholesterol and pigment gallstones and gallstone-free subjects: Deoxycholic acid does not contribute to formation of cholesterol gallstones. Eur. J. Clin. Investig. 2000, 30, 1099–1106. [Google Scholar] [CrossRef] [PubMed]
- Shukla, V.K.; Tiwari, S.C.; Roy, S.K. Biliary bile acids in cholelithiasis and carcinoma of the gall bladder. Eur. J. Cancer Prev. Off. J. Eur. Cancer Prev. Organ. 1993, 2, 155–160. [Google Scholar] [CrossRef]
- Ramana, K.V.; Rao, R. bnormal levels of γ-glutamyl transpeptidase (GGTP), ALT, AST in human immunodeficiency virus-1 (HIV-1) infection. Biochem. Physiol. Open Access 2012, 1, 2. [Google Scholar]
- Leníček, M.; Ďuricová, D.; Hradsky, O.; Dušátková, P.; Jirásková, A.; Lukáš, M.; Nachtigal, P.; Vítek, L. The relationship between serum bilirubin and Crohn’s disease. Inflamm. Bowel Dis. 2014, 20, 481–487. [Google Scholar] [CrossRef]
- Ghaffarzadegan, T.; Essén, S.; Verbrugghe, P.; Marungruang, N.; Hållenius, F.F.; Nyman, M.; Sandahl, M. Determination of free and conjugated bile acids in serum of Apoe(−/−) mice fed different lingonberry fractions by UHPLC-MS. Sci. Rep. 2019, 9, 3800. [Google Scholar] [CrossRef]
- Neale, G.; Lewis, B.; Weaver, V.; Panveliwalla, D. Serum bile acids in liver disease. Gut 1971, 12, 145–152. [Google Scholar] [CrossRef]
- Ocvirk, S.; O’Keefe, S.J. Influence of bile acids on colorectal cancer risk: Potential mechanisms mediated by diet-gut microbiota interactions. Curr. Nutr. Rep. 2017, 6, 315–322. [Google Scholar] [CrossRef]
- Strom, B.L.; Soloway, R.D.; Rios-Dalenz, J.L.; Rodriguez-Martinez, H.A.; West, S.L.; Kinman, J.L.; Crowther, R.S.; Taylor, D.; Polansky, M.; Berlin, J.A. Biochemical epidemiology of gallbladder cancer. Hepatology 1996, 23, 1402–1411. [Google Scholar] [CrossRef]
- Thomasset, S.C.; Saunders, D.; Holland, A.; Dennison, A.R.; Garcea, G. Malignant biliary strictures in patients with a normal bilirubin and/or normal liver enzymes. Hpb 2015, 17, 969–974. [Google Scholar] [CrossRef] [PubMed]
- Elkbuli, A.; Meneses, E.; Kinslow, K.; McKenney, M.; Boneva, D. Huge gangrenous gallbladder presenting as gastro-esophageal reflux disease successfully treated by laparoscopic cholecystectomy: Case report and literature review. Int. J. Surg. Case Rep. 2020, 76, 315–319. [Google Scholar] [CrossRef] [PubMed]
- Parikh, C.R.; Thiessen Philbrook, H. Statistical considerations in analysis and interpretation of biomarker studies. In Biomarkers of Kidney Disease; Academic Press: San Diego, CA, USA, 2011; pp. 25–37. [Google Scholar]
- Hsing, A.W.; Sakoda, L.C.; Rashid, A.; Andreotti, G.; Chen, J.; Wang, B.S.; Shen, M.C.; Chen, B.E.; Rosenberg, P.S.; Zhang, M.; et al. Variants in inflammation genes and the risk of biliary tract cancers and stones: A population-based study in China. Cancer Res. 2008, 68, 6442–6452. [Google Scholar] [CrossRef]
- Chapman, R.W. Risk factors for biliary tract carcinogenesis. Ann. Oncol. 1999, 10, S308–S312. [Google Scholar] [CrossRef]
- Shonsey, E.M.; Eliuk, S.M.; Johnson, M.S.; Barnes, S.; Falany, C.N.; Darley-Usmar, V.M.; Renfrow, M.B. Inactivation of human liver bile acid CoA:amino acid N-acyltransferase by the electrophilic lipid, 4-hydroxynonenal. J. Lipid Res. 2008, 49, 282–294. [Google Scholar] [CrossRef] [PubMed]
- Breitzig, M.; Bhimineni, C.; Lockey, R.; Kolliputi, N. 4-Hydroxy-2-nonenal: A critical target in oxidative stress? Am. J. Physiol. Physiol. 2016, 311, C537–C543. [Google Scholar] [CrossRef] [PubMed]
- Łozińska, N.; Głowacz-Różyńska, A.; Artichowicz, W.; Lu, Y.; Jungnickel, C. Microencapsulation of fish oil–determination of optimal wall material and encapsulation methodology. J. Food Eng. 2020, 268, 109730. [Google Scholar] [CrossRef]
- Reich, M.; Liefeld, T.; Gould, J.; Lerner, J.; Tamayo, P.; Mesirov, J.P. GenePattern 2.0 [2]. Nat. Genet. 2006, 38, 500–501. [Google Scholar] [CrossRef]
- Goksuluk, D.; Korkmaz, S.; Zararsiz, G.; Karaagaoglu, A.E. EasyROC: An interactive web-tool for roc curve analysis using r language environment. R J. 2016, 8, 213–230. [Google Scholar] [CrossRef]








| Cholangiocarcinoma | Choledocholithiasis | Pancreatic Neoplasm | Stricture | |
|---|---|---|---|---|
| Number of patients | 5 | 43 | 15 | 11 |
| Age (years) | 72.6 ± 13.74 | 67.14 ± 17.96 | 71.00 ± 14.40 | 70.36 ±14.94 |
| BS concentrations: | ||||
| Chenodeoxycholic acid (mmol/L) | 0.16 ± 0.18 | 0.31 ± 0.17 | 0.31 ± 0.17 | 0.14 ± 0.14 |
| Glycodeoxycholic acid (mmol/L) | 5.00 ± 7.03 | 5.36 ± 8.53 | 2.02 ± 3.78 | 7.31 ± 13.23 |
| Glycochenodeoxycholic acid (mmol/L) | 11.17 ± 16.02 | 20.70 ± 17.57 | 26.81 ± 50.63 | 25.25 ± 24.28 |
| Glychocholic acid (mmol/L) | 6.41 ± 9.98 | 9.54 ± 6.71 | 10.46 ± 13.09 | 15.49 ± 10.91 |
| Taurodeoxycholic acid (mmol/L) | 4.11 ± 5.63 | 2.61 ± 3.72 | 1.12 ± 1.66 | 2.18 ± 3.11 |
| Taurochenodeoxycholic acid (mmol/L) | 4.80 ± 6.56 | 7.30 ± 6.77 | 6.50 ± 5.63 | 6.20 ± 4.10 |
| Taurocholic acid (mmol/L) | 6.25 ± 9.17 | 9.73 ± 9.36 | 9.46 ± 8.87 | 9.27 ± 5.97 |
| Calculated ratios from literature: | ||||
| ALT/AST | ||||
| Conjugated/Unconjugated BS | 112.56–158.14 [61,62] | 2.14–156.85 [62,63,64,65] | 19.2–43.57 [55,62] | |
| Primary/Secondary BS | 14.27–62.69 [61,62,66] | 2.91–17.71 [59,62,63,64,66,67,68,69,70,71] | 2.79–13.17 [55,62] | |
| Taurine/Glycine conjugated BS | 0.66–1.13 [49,61,62] | 0.23–0.9 [62,63,64,69,70] | 0.41–1.45 [55,62] | |
| Healthy patients (literature): | Measured from serum | Measured from bile | ||
| ALT/AST U/L | 1.42 ± 0.02 [72] | N/A | ||
| Bilirubin (µmol/L) | 12.6 [73] | N/A | ||
| Conjugated/Unconjugated BS | 1.28–1.60 [49,74] | 2.54 [64] | ||
| Primary/Secondary BS | 0.72–2.95 [49,59,66,74,75] | 2.47–3.60 [64,69,70] | ||
| Taurine/Glycine conjugated BS | 0.27–2.40 [49,52,74,75] | 0.26–0.30 [64,69] | ||
Publisher’s Note: MDPI stays neutral with regard to jurisdictional claims in published maps and institutional affiliations. |
© 2021 by the authors. Licensee MDPI, Basel, Switzerland. This article is an open access article distributed under the terms and conditions of the Creative Commons Attribution (CC BY) license (https://creativecommons.org/licenses/by/4.0/).
Share and Cite
Krupa, Ł.; Staroń, R.; Dulko, D.; Łozińska, N.; Mackie, A.R.; Rigby, N.M.; Macierzanka, A.; Markiewicz, A.; Jungnickel, C. Importance of Bile Composition for Diagnosis of Biliary Obstructions. Molecules 2021, 26, 7279. https://doi.org/10.3390/molecules26237279
Krupa Ł, Staroń R, Dulko D, Łozińska N, Mackie AR, Rigby NM, Macierzanka A, Markiewicz A, Jungnickel C. Importance of Bile Composition for Diagnosis of Biliary Obstructions. Molecules. 2021; 26(23):7279. https://doi.org/10.3390/molecules26237279
Chicago/Turabian StyleKrupa, Łukasz, Robert Staroń, Dorota Dulko, Natalia Łozińska, Alan R. Mackie, Neil M. Rigby, Adam Macierzanka, Aleksandra Markiewicz, and Christian Jungnickel. 2021. "Importance of Bile Composition for Diagnosis of Biliary Obstructions" Molecules 26, no. 23: 7279. https://doi.org/10.3390/molecules26237279
APA StyleKrupa, Ł., Staroń, R., Dulko, D., Łozińska, N., Mackie, A. R., Rigby, N. M., Macierzanka, A., Markiewicz, A., & Jungnickel, C. (2021). Importance of Bile Composition for Diagnosis of Biliary Obstructions. Molecules, 26(23), 7279. https://doi.org/10.3390/molecules26237279

