Five New Terpenes with Cytotoxic Activity from Pestalotiopsis sp.
Abstract
:1. Introduction
2. Results
3. Materials and Methods
3.1. General Experimental Procedures
3.2. Fungal Material
3.3. Extraction and Isolation
3.4. Experimental Procedures for Bioassay
3.4.1. Cell Culture
3.4.2. Cell Viability Assay
3.4.3. Statistical Analysis
3.4.4. Cell Cycle Assays
4. Conclusions
Supplementary Materials
Author Contributions
Funding
Institutional Review Board Statement
Informed Consent Statement
Data Availability Statement
Conflicts of Interest
Sample Availability
References
- Mishra, B.B.; Tiwari, V.K. Natural products: An evolving role in future drug discovery. Eur. J. Med. Chem. 2011, 46, 4769–4807. [Google Scholar] [CrossRef] [PubMed]
- Newman, D.J.; Cragg, G.M. Natural products as sources of new drugs from 1981 to 2014. J. Nat. Prod. 2016, 79, 629–661. [Google Scholar] [CrossRef] [PubMed] [Green Version]
- Cragg, G.M.; Newman, D.J. Natural products: A continuing source of novel drug leads. Biochim. Biophys. Acta. Gen. Subj. 2013, 1830, 3670–3695. [Google Scholar] [CrossRef] [PubMed] [Green Version]
- Tan, R.X.; Zou, W.X. Endophytes: A rich source of functional metabolites. Nat. Prod. Rep. 2001, 18, 448–459. [Google Scholar] [CrossRef] [PubMed]
- Strobel, G.; Daisy, B.; Castillo, U.; Harper, J. Natural products from endophytic microorganisms. J. Nat. Prod. 2004, 67, 257–268. [Google Scholar] [CrossRef] [PubMed]
- Gunatilaka, A.L. Natural products from plant-associated microorganisms: Distribution, structural diversity, bioactivity, and implications of their occurrence. J. Nat. Prod. 2006, 69, 509–526. [Google Scholar] [CrossRef] [PubMed] [Green Version]
- Rodrigues, T.; Reker, D.; Schneider, P.; Schneider, G. Counting on natural products for drug design. Nat. Chem. 2016, 8, 531–541. [Google Scholar] [CrossRef] [PubMed]
- Du, L.; Robles, A.; King, J.; Powell, D.; Miller, A.; Mooberry, S.; Cichewicz, R. Crowdsourcing Natural Products Discovery to Access Uncharted Dimensions of Fungal Metabolite Diversity. Angew. Chem. 2014, 53, 804–809. [Google Scholar] [CrossRef] [PubMed] [Green Version]
- Yang, X.L.; Zhang, J.Z.; Luo, D.Q. The taxonomy, biology and chemistry of the fungal Pestalotiopsis genus. Nat. Prod. Rep. 2012, 29, 622–641. [Google Scholar] [CrossRef] [PubMed]
- Klaiklay, S.; Rukachaisirikul, V.; Tadpetch, K.; Sukpondma, Y.; Phongpaichit, S.; Buatong, J.; Sakayaroj, J. Chlorinated chromone and diphenyl ether derivatives from the mangrove-derived fungus Pestalotiopsis sp. PSU-MA69. Tetrahedron 2012, 68, 2299–2305. [Google Scholar] [CrossRef]
- Arunpanichlert, J.; Rukachaisirikul, V.; Phongpaichit, S.; Supaphon, O.; Sakayaroj, J. Meroterpenoid, isocoumarin, and phenol derivatives from the seagrass-derived fungus Pestalotiopsis sp. PSU-ES194. Tetrahedron 2015, 71, 882–888. [Google Scholar] [CrossRef]
- Hwang, I.H.; Swenson, D.C.; Gloer, J.B.; Wicklow, D.T. Pestaloporonins: Caryophyllene-derived sesquiterpenoids from a fungicolous isolate of Pestalotiopsis sp. Org. Lett. 2015, 17, 4284–4287. [Google Scholar] [CrossRef] [PubMed]
- Jia, Y.L.; Wei, M.Y.; Chen, H.Y.; Guan, F.F.; Wang, C.Y.; Shao, C.L. (+)-and (-)-Pestaloxazine A, a pair of antiviral enantiomeric alkaloid dimers with a symmetric spiro [oxazinane-piperazinedione] skeleton from Pestalotiopsis sp. Org. Lett. 2015, 17, 4216–4219. [Google Scholar] [CrossRef] [PubMed]
- Ding, G.; Zhang, F.; Chen, H.; Guo, L.; Zou, Z.; Che, Y. Pestaloquinols A and B, isoprenylated epoxyquinols from Pestalotiopsis sp. J. Nat. Prod. 2011, 74, 286–291. [Google Scholar] [CrossRef] [PubMed]
- Yuan, C.; Ding, G.; Wang, H.Y.; Guo, Y.H.; Zou, Z.M. Polyketide-Terpene Hybrid Metabolites from an Endolichenic Fungus Pestalotiopsis sp. Biomed Res Int. 2017, 6961928. [Google Scholar] [CrossRef] [PubMed]
- Zhou, W.Y.; Lv, T.M.; Hou, Z.L.; Bai, M.; Lin, B.; Huang, X.X.; Song, S.J. A new monoterpene-lactone with neuroprotective activity from corn silk. Nat. Prod. Res. 2019, 1–4. [Google Scholar] [CrossRef] [PubMed]
- Isaka, M.; Sappan, M.; Rachtawee, P.; Boonpratuang, T. A tetrahydrobenzofuran derivative from the fermentation broth of Lentinussquarrosulus BCC 22366. Phytochem. Lett. 2011, 4, 106–108. [Google Scholar] [CrossRef]
- Chalchat, J.; Garry, R.P.; Michet, A. Sesquiterpenes of the essential oil of Pinus sylvestris. Planta. Med. 1985, 51, 285. [Google Scholar] [CrossRef]

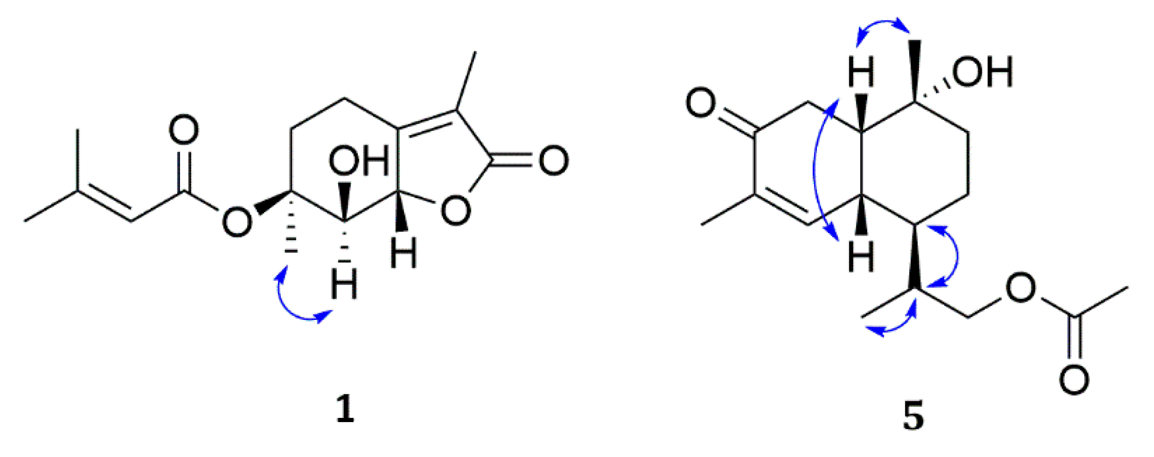
) and HMBC (
) correlations of compounds 1, 4 and 5.


| No. | 1 | 2 | 3 | |||
|---|---|---|---|---|---|---|
| δC | δH (J in Hz) | δC | δH (J in Hz) | δC | δH (J in Hz) | |
| 2 | 174.0 | 174.0 | 177.3 | |||
| 3 | 120.1 | 120.1 | 40.9 | 2.11, m | ||
| 4 | 20.9 | 2.63, m | 20.9 | 2.63, m | 23.7 | 1.38, m |
| 2.45, m | ||||||
| 5 | 36.9 | 1.87, m | 36.8 | 2.26, m | 33.9 | 1.60, m |
| 1.54, m | 1.33, m | |||||
| 6 | 71.0 | 71.8 | 69.5 | |||
| 7 | 78.8 | 4.51, d, 9.6 | 79.5 | 4.50, d, 9.6 | 71.6 | 3.26, d, 3.6 |
| 8 | 80.7 | 4.97, d, 9.6 | 80.7 | 4.96, d, 9.6 | 71.9 | 4.96, d, 3.6 |
| 9 | 160.0 | 160.0 | 36.9 | 1.90, m | ||
| 10 | 8.3 | 1.74, s | 8.3 | 1.73, s | 15.3 | 0.97, d, 6.6 |
| 11 | 25.2 | 1.03, s | 24.3 | 1.05, s | 25.1 | 1.10, s |
| 1′ | 165.0 | 171.7 | 171.5 | |||
| 2′ | 115.1 | 5.81, s | 42.7 | 2.33, m | 42.9 | 2.25, m |
| 3′ | 158.5 | 25.3 | 2.08, m | 24.8 | 1.27, m | |
| 4′ | 20.1 | 2.14, s | 22.2 | 0.95, d, 6.6 | 22.1 | 0.91, m |
| 5′ | 27.0 | 1.93, s | 22.1 | 0.94, d, 6.6 | 22.1 | 0.91, m |
| No. | 4 | 5 | ||
|---|---|---|---|---|
| δC | δH (J in Hz) | δC | δH (J in Hz) | |
| 1 | 71.8 | |||
| 2 | 147.6 | 34.7 | 1.69, m | |
| 1.45, m | ||||
| 3 | 126.4 | 23.1 | 1.54, m | |
| 1.34, m | ||||
| 4 | 17.6 | 2.51, m | 40.1 | 1.84, m |
| 2.30, m | ||||
| 5 | 32.8 | 1.84, m | 151.2 | 7.01, d, 6.0 |
| 1.59, m | ||||
| 6 | 70.4 | 136.7 | ||
| 7 | 68.6 | 4.22, s | 202.6 | |
| 8 | 154.8 | 36.4 | 2.63, m | |
| 9 | 121.6 | 47.1 | 2.22, m | |
| 10 | 190.4 | 38.6 | 2.49, m | |
| 11 | 47.1 | 2.70, dd, 1.8, 7.2 | 33.7 | 2.12, m |
| 12 | 24.1 | 2.03, m | 69.4 | 2.41, m |
| 13 | 22.5 | 0.92, d, 2.4 | 11.1 | 0.99, d, 7.2 |
| 14 | 22.4 | 0.91, d, 2.4 | 16.2 | 1.77, s |
| 15 | 56.9 | 5.28, d, 13.2 | 27.6 | 1.30, s |
| 5.22, d, 13.2 | ||||
| 16 | 170.1 | 173.1 | ||
| 17 | 20.4 | 2.03, s | 21.0 | 2.01, s |
| 18 | 24.9 | 1.13, s | ||
| Compounds | IC50 (μM) | |||
|---|---|---|---|---|
| SW480 | LoVo | HuH-7 | McF-7 | |
| 1 | 14.3 ± 2.1 a | 13.8 ± 1.3 | 19.1 ± 4.8 | 31.5 ± 3.4 |
| 2 | 23.4 ± 2.0 | 37.0 ± 3.2 | 43.6 ± 1.2 | 37.2 ± 1.5 |
| 3 | 25.6 ± 2.1 | 37.2 ± 1.6 | 33.3 ± 1.8 | >100 |
| 4 | 15.0 ± 1.7 | 17.2 ± 1.8 | 9.3 ± 2.0 | 15.5 ± 1.4 |
| 5 | 32.3 ± 2.8 | 28.3 ± 2.0 | 20.1 ± 1.6 | >100 |
| 5-FU b | 1.2 ± 0.1 | 1.1 ± 0.1 | 1.3 ± 0.1 | 0.8 ± 0.1 |
Publisher’s Note: MDPI stays neutral with regard to jurisdictional claims in published maps and institutional affiliations. |
© 2021 by the authors. Licensee MDPI, Basel, Switzerland. This article is an open access article distributed under the terms and conditions of the Creative Commons Attribution (CC BY) license (https://creativecommons.org/licenses/by/4.0/).
Share and Cite
Zhao, D.; Hu, M.; Ma, G.; Xu, X. Five New Terpenes with Cytotoxic Activity from Pestalotiopsis sp. Molecules 2021, 26, 7229. https://doi.org/10.3390/molecules26237229
Zhao D, Hu M, Ma G, Xu X. Five New Terpenes with Cytotoxic Activity from Pestalotiopsis sp. Molecules. 2021; 26(23):7229. https://doi.org/10.3390/molecules26237229
Chicago/Turabian StyleZhao, Dan, Meigeng Hu, Guoxu Ma, and Xudong Xu. 2021. "Five New Terpenes with Cytotoxic Activity from Pestalotiopsis sp." Molecules 26, no. 23: 7229. https://doi.org/10.3390/molecules26237229
APA StyleZhao, D., Hu, M., Ma, G., & Xu, X. (2021). Five New Terpenes with Cytotoxic Activity from Pestalotiopsis sp. Molecules, 26(23), 7229. https://doi.org/10.3390/molecules26237229

