Two New Isoprenoid Flavonoids from Sophora flavescens with Antioxidant and Cytotoxic Activities
Abstract
1. Introduction
2. Results and Discussion
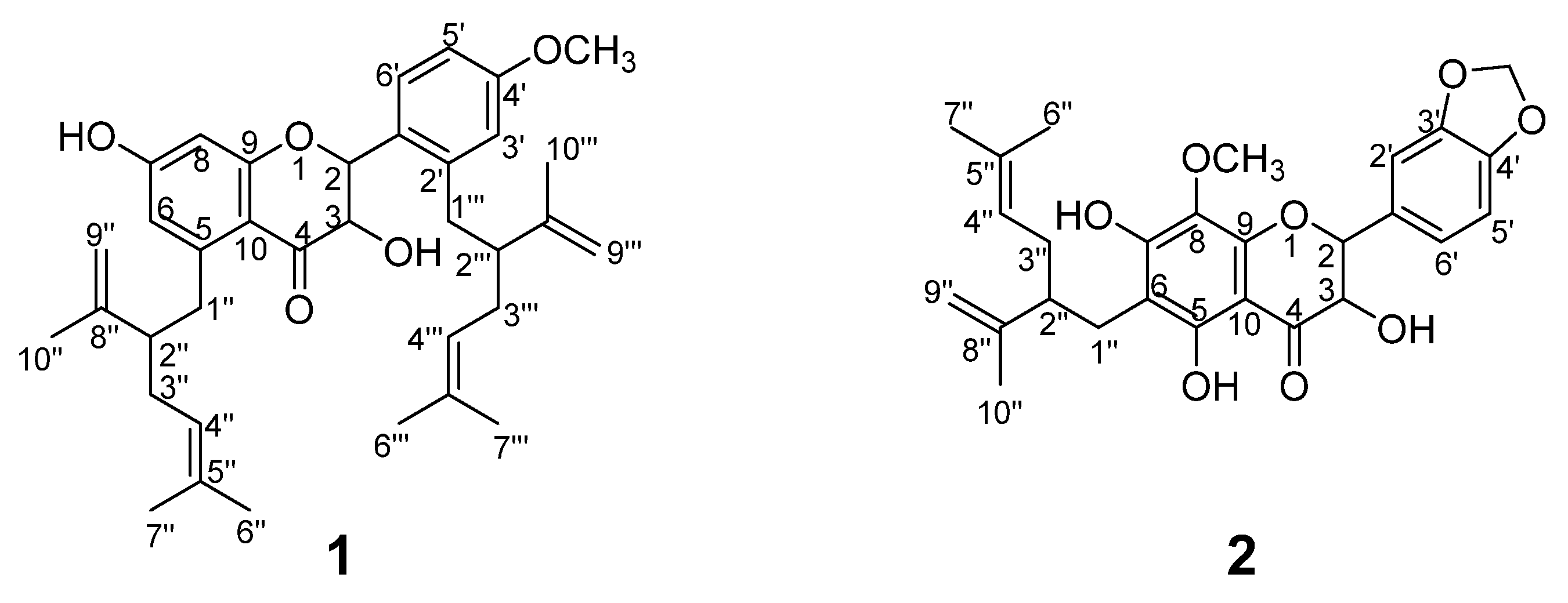
2.1. Compounds Structure Elucidation
2.2. Antioxidant Activities Research In Vitro
2.3. Cytotoxic Activities (HepG2, A549 and MCF7 Cancer Cells, LO2 Human Normal Cells)
3. Materials and Methods
3.1. Reagents and Materials
3.2. General Experimental Procedures
3.3. Plant Material
3.4. Extraction and Isolation
3.5. DPPH Antioxidant Activity Assay
3.6. PTIO Antioxidant Activity Assay
3.7. ABTS Antioxidant Activity Assay
3.8. Cytotoxic Activity Assay
4. Conclusions
Supplementary Materials
Author Contributions
Funding
Institutional Review Board Statement
Informed Consent Statement
Conflicts of Interest
Sample Availability
References
- Chinese Pharmacopoeia Commission. Pharmacopoeia of the People’s Republic of China, Part I; Chinese Medical Science and Technology Press: Beijing, China, 2015. [Google Scholar]
- Cao, X.; He, Q. Anti-tumor activities of bioactive phytochemicals in Sophora flavescens for breast cancer. Cancer Manag. Res. 2020, 12, 1457–1467. [Google Scholar] [CrossRef] [PubMed]
- Chiang Su New Medical College. Dictionary of Chinese Crude Drugs; Shanghai Scientifific Technologic Publisher: Shanghai, China, 1977; p. 1283. [Google Scholar]
- Jeong, G.S.; Li, B.; Lee, D.S.; Byun, E.; An, R.B.; Pae, H.O.; Chung, H.T.; Youn, K.H.; Kim, Y.C. Lavandulyl flavanones from sophora flavescens protect mouse hippocampal cells against glutamate-induced neurotoxicity via the induction of heme oxygenase-1. Biol. Pharm. Bull. 2008, 31, 1964–1967. [Google Scholar] [CrossRef]
- Park, J.S.; Seong, Z.K.; Kim, M.S.; Ha, J.H.; Moon, K.B.; Lee, H.J.; Lee, H.K.; Jeon, J.H.; Park, S.U.; Kim, H.S. Production of flavonoids in callus cultures of sophora flavescens aiton. Plants 2020, 9, 688. [Google Scholar] [CrossRef] [PubMed]
- Wu, L.J.; Miyase, T.; Ueno, A.; Kuroyanagi, T.N.; Fukushima, S. Studies on the constituents of Sophora flavescens Aiton. II. Chem. Pharm. Bull. 1985, 33, 3231–3236. [Google Scholar] [CrossRef]
- Li, F.; Yang, G.Y.; Gu, L.H.; Yang, L.; Wang, Z.T. Studies on chemical constituents and biological activities of Sophora flavescens. Shanghai J. Tradit. Chin. Med. 2020, 55, 84–99. [Google Scholar]
- Li, Y.J.; Liang, H.Z. Research progress on extraction of flavonoids. Cereals Oils. 2021, 34, 14–17. [Google Scholar]
- Li, J.J.; Zhang, X.; Shen, X.C.; Long, Q.D.; Xu, C.Y.; Tan, C.J.; Lin, Y. Phytochemistry and biological properties of isoprenoid flavonoids from Sophora flavescens Ait. Fitoterapia 2020, 143, 104556–104562. [Google Scholar] [CrossRef]
- Sohn, H.Y.; Son, K.H.; Kwon, C.S.; Kwon, G.S.; Kang, S.S. Antimicrobial and cytotoxic activity of 18 prenylated flavonoids isolated from medicinal plants: Morus alba L. Morus mongolica Schneider, Broussnetia papyrifera (L.) Vent, Sophora flavescens Ait and Echinosophora koreensis Nakai. Phytomedicine 2004, 11, 666–672. [Google Scholar] [CrossRef]
- Han, J.M.; Jin, Y.Y.; Kim, H.Y.; Park, K.H.; Lee, W.S.; Jeong, T.S. Lavandulyl flavonoids from Sophora flavescens suppress lipopolysaccharide-induced activation of nuclear factor-κB and mitogen-activated protein kinases in RAW264.7 cells. Biol. Pharm. Bull. 2010, 33, 1019–1023. [Google Scholar] [CrossRef]
- Pacher, P.; Casba, S. Role of peroxynitrite in the pathogenesis of cardiovascular complications of diabetes. Curr. Opin. Pharmacol. 2006, 6, 136–141. [Google Scholar] [CrossRef]
- Yuan, T.; Yang, T.; Chen, H.; Fu, D.L.; Hu, Y.Y.; Wang, J.; Yuan, Q.; Yu, H.; Xu, W.F.; Xie, X. New insights into oxidative stress and inflammation during diabetes mellitus-accelerated atherosclerosis. Redox. Biol. 2019, 20, 247–260. [Google Scholar] [CrossRef]
- Kuroyanagi, M.; Arakawa, T.; Hirayama, Y.; Tatsuo, H. Antibacterial and antiandrogen flavonoids from Sophora flavescens. J. Nat. Prod. 1999, 62, 1595–1599. [Google Scholar] [CrossRef]
- Ryu, S.Y.; Lee, H.S.; Kim, Y.K.; Kim, S.H. Determination of isoprenyl and lavandulyl positions of flavonoids from Sophora flavescens by NMR experiment. Arch. Pharm. Res. 1997, 20, 491–495. [Google Scholar] [CrossRef]
- Jung, H.A.; Na, Y.Y.; Kang, S.S.; Kim, Y.S.; Choi, J.S. Inhibitory activities of prenylated flavonoids from Sophora flavescens against aldose reductase and generation of advanced glycation endproducts. J. Pharm. Pharmacol. 2008, 60, 1227–1236. [Google Scholar] [CrossRef]
- Woo, E.R.; Kwak, J.H.; Kim, H.J.; Park, H. A new prenylated flavonol from the roots of Sophora flavescens. J. Nat. Prod. 1998, 61, 1552–1554. [Google Scholar] [CrossRef] [PubMed]
- Tamotsu, S.; Hiroshi, N.; Shoji, S. A New: Isoflavone and Corresponding Isoflavanone of Licorice Root. Chem. Pharm. Bull. 1978, 26, 144–147. [Google Scholar]
- Lu, Y.; Irani, N.G.; Grotewold, E. Covalent attachment of the plant natural product naringenin to small glass and ceramic beads. BMC Chem. Biol. 2005, 5, 1–9. [Google Scholar] [CrossRef] [PubMed]
- Babiaka, S.B.; Ntie-Kang, F.; Ndingkokhar, B.; Ndingkokhar, B.; Mbah, J.A.; Sippl, W.; Yong, J.N. The chemistry and bioactivity of southern african flora II: Flavonoids, quinones and minor compound classes. ChemInform 2015, 46, 55704–55720. [Google Scholar] [CrossRef]
- Herz, W.; Pethtel, K.D.; Raulais, D. Isoflavones, a sesquiterpene lactone-monoterpene adduct and other constituents of Gaillardia species. Phytochemistry 1991, 30, 1273–1279. [Google Scholar] [CrossRef]
- Choi, Y.H.; Hong, S.S.; Shin, Y.S.; Hwang, B.Y.; Park, S.Y.; Lee, D. Phenolic compounds from Pueraria lobata protect PC12 cells against Aβ-induced toxicity. Arch. Pharm. Res. 2010, 33, 1651–1654. [Google Scholar] [CrossRef] [PubMed]
- Pogodaeva, N.N.; Medvedeva, S.A.; Sukhov, B.G.; Shishmareva, T.M. Hydrophobicity constants for several xanthones and flavones. Chem. Nat. Comp. 2011, 47, 38–42. [Google Scholar] [CrossRef]
- Wu, S.H.; Nie, F.H.; Chen, Q.Z.; Sun, J.J. Electrocatalytic oxidation and nanomolar detection of hydrazine by luteolin electrodeposited at a multi-walled carbon nanotube and ionic liquid composite modified screen printed carbon electrode. Anal. Methods 2010, 2, 1729–1736. [Google Scholar] [CrossRef]
- Kang, K.S.; Ahn, B.Z. Antineoplastic natural products and the analogues VIII synthesis of some coumarins and their cytotoxic activities on LI210 cell. Arch. Pharm. Res. 1986, 9, 115–117. [Google Scholar] [CrossRef]
- Gootjes, J.; Voorspuij, A.Z.; Nauta, W.T. Investigation into the tuberculostatic activity of some aromatic hydroxy compounds. Antonie Van Leeuwenhoek 1953, 19, 237–245. [Google Scholar] [CrossRef]
- Chen, H.; Yang, J.; Hao, J.; Lv, Y.B.; Chen, L.; Lin, Q.X.; Yuan, J.Q.; Yang, X.Z. A novel flavonoid kushenol Z from Sophora flavescens mediates mTOR pathway by inhibiting phosphodiesterase and Akt activity to induce apoptosis in Non-Small-Cell lung cancer cells. Molecules 2019, 24, 4425. [Google Scholar] [CrossRef]
- Li, X.C.; Chen, B.; Zhao, X.J.; Chen, D.F. 2-Phenyl-4,4,5,5-tetramethylimidazoline-1-oxyl 3-oxide radical (PTIO•) trapping activity and mechanisms of 16 phenolic xanthones. Molecules 2018, 23, 1692. [Google Scholar] [CrossRef] [PubMed]
- Song, W.; Yuan, Y.; Yu, N.X.; Gu, H.K.; Zhou, Y.F.; Chen, X.G.; Wang, S.Y.; Fan, K.; Ge, Z.Y.; Jin, L.; et al. Antioxidant capacity of extract from Jiangtang Xiaozhi recipe In Vitro. J. Tradit. Chin. Med. 2020, 40, 393–400. [Google Scholar] [PubMed]
- Jung, H.A.; Jeong, D.M.; Chung, H.Y.; Lim, H.A.; Kim, J.Y. Re-evaluation of the antioxidant prenylated flavonoids from the roots of Sophora flavescens. Biol. Pharm. Bull. 2008, 31, 908–915. [Google Scholar] [CrossRef] [PubMed][Green Version]
- Sun, M.Y.; Cao, H.Y.; Sun, L.; Dong, S.; Bian, Y.Q.; Han, J.; Zhang, L.J.; Ren, S.; Hu, Y.Y.; Liu, C.H.; et al. Antitumor activities of Kushen: Literature eview. Evid.-Based Complement. Altern. Med. 2012, 45, 3219–3240. [Google Scholar]
- Li, X.C. 2-Phenyl-4,4,5,5-tetramethylimidazoline-1-oxyl 3-Oxide (PTIO) radical scavenging: A new and simple antioxidant assay in vitro. J. Agric. Food. Chem. 2017, 45, 2247–2257. [Google Scholar] [CrossRef] [PubMed]
- Koleckar, V.; Opletal, L.; Macakova, K.; Jahodar, L.; Jun, D.; Kunes, J.; Kuca, K. New antioxidant flavonoid isolated from Leuzea carthamoides. J. Enzym. Inhib. Med. Chem. 2010, 25, 143–147. [Google Scholar] [CrossRef] [PubMed]
- Ma, N.H.; Guo, J.; Chen, S.H.; Yuan, X.R.; Zhang, T.; Ding, Y. Antioxidant and compositional HPLC analysis of three common bamboo leaves. Molecules 2020, 25, 409. [Google Scholar] [CrossRef] [PubMed]
- Lin, Z.; Huang, C.F.; Liu, X.S.; Jiang, J.K. In Vitro anti-tumour activities of quinolizidine alkaloids derived from Sophora flavescens Ait. Basic Clin. Pharmacol. Toxicol. 2011, 108, 304–309. [Google Scholar] [CrossRef] [PubMed]
- Lin, Y.; Kuang, Y.; Li, K.; Wang, S.; Song, W.; Qiao, X.; Sabir, G.; Ye, M. Screening for bioactive natural products from a 67-compound library of Glycyrrhiza inflata. Bioorgan. Med. Chem. 2017, 25, 3706–3713. [Google Scholar] [CrossRef] [PubMed]
- Kuang, Y.; Lin, Y.; Li, K.; Song, W.; Ji, S.; Qiao, X.; Zhang, Q.Y.; Ye, M. Screening of hepatoprotective compounds from licorice against carbon tetrachloride and acetaminophen induced HepG2 cells injury. Phytomedicine 2017, 34, 59–66. [Google Scholar] [CrossRef]






| Position | 1 | 2 | ||||||
|---|---|---|---|---|---|---|---|---|
| δc, Type | δH (J in Hz) | δC, Type | δH (J in Hz) | |||||
| 1 | ||||||||
| 2 | 74.0 | CH | 5.44, dd (2.4, 13.2) | 77.7 | CH | 5.31, d (10.8) | ||
| 3 | 69.8 | CH | 5.41, dd (2.4, 13.2) | 70.4 | CH | 4.65, d (10.8) | ||
| 4 | 189.4 | C | 198.6 | C | ||||
| 5 | 107.5 | C | ||||||
| 6 | 92.6 | CH | 6.13, d (2.4) | 95.3 | C | |||
| 7 | 162.9 | C | 160.9 | C | ||||
| 8 | 106.8 | CH | 6.26, t | 157.2 | C | |||
| 9 | 155.6 | C | 158.5 | C | ||||
| 10 | 104.8 | C | 100.4 | C | ||||
| 1′ | 111.2 | C | 113.9 | C | ||||
| 2′ | 116.8 | C | 102.3 | CH | 6.33,d (1.8) | |||
| 3′ | 102.8 | CH | 6.34, d (1.2) | 160.4 | C | |||
| 4′ | 158.5 | C | 164.9 | C | ||||
| 5′ | 106.8 | CH | 6.27, dd (4.4, 8.4) | 106.4 | CH | 6.25, dd (1.8, 8.4) | ||
| 6′ | 127.1 | CH | 7.21, d(8.4) | 129.4 | CH | 7.15, d (8.4) | ||
| 1″ | 2.51, m | 26.4 | CH2 | 2.38, m | ||||
| 2″ | 46.8 | CH | 2.41, m | 46.3 | CH | 2.38, m | ||
| 3″ | 31.2 | CH2 | 1.96, m | 30.9 | CH2 | |||
| 4″ | 123.9 | CH | 4.91, t | 123.4 | CH | 4.88, t | ||
| 5″ | 131.1 | C | 130.6 | C | ||||
| 6″ | 18.7 | CH3 | 1.43, S | 25.5 | CH3 | 1.52, S | ||
| 7″ | 26.0 | CH3 | 1.55, S | 17.6 | CH3 | 1.45, S | ||
| 8″ | 148.1 | C | 147.7 | C | ||||
| 9″ | 117.0 | CH2 | 4.51, 4.56, br s | 110.8 | CH2 | 4.44, 4.52, br s | ||
| 10″ | 18.0 | CH3 | 1.52, S | 18.4 | CH3 | 1.52, S | ||
| 1‴ | 2.81, m | |||||||
| 2‴ | 47.2 | CH | 2.41, m | |||||
| 3‴ | 31.5 | CH2 | 1.96, m | |||||
| 4‴ | 4.95, t | |||||||
| 5‴ | ||||||||
| 6‴ | 18.0 | CH3 | 1.49, S | |||||
| 7‴ | 27.4 | CH3 | 1.58, S | |||||
| 8‴ | 148.4 | C | ||||||
| 9‴ | 4.48, 4.38, br s | |||||||
| 10‴ | 25.9 | CH3 | 1.51, S | |||||
| OCH3 | 55.7 | CH3 | 3.70, S | 55.3 | CH3 | 3.36, S | ||
| OH | 11.8, S | |||||||
| OH | 9.47, S | |||||||
| OH | 9.35, S | |||||||
| OCH2O | 5.95, 5.65, S | |||||||
Publisher’s Note: MDPI stays neutral with regard to jurisdictional claims in published maps and institutional affiliations. |
© 2021 by the authors. Licensee MDPI, Basel, Switzerland. This article is an open access article distributed under the terms and conditions of the Creative Commons Attribution (CC BY) license (https://creativecommons.org/licenses/by/4.0/).
Share and Cite
Li, J.; Lin, Y.; He, L.; Ou, R.; Chen, T.; Zhang, X.; Li, Q.; Zeng, Z.; Long, Q. Two New Isoprenoid Flavonoids from Sophora flavescens with Antioxidant and Cytotoxic Activities. Molecules 2021, 26, 7228. https://doi.org/10.3390/molecules26237228
Li J, Lin Y, He L, Ou R, Chen T, Zhang X, Li Q, Zeng Z, Long Q. Two New Isoprenoid Flavonoids from Sophora flavescens with Antioxidant and Cytotoxic Activities. Molecules. 2021; 26(23):7228. https://doi.org/10.3390/molecules26237228
Chicago/Turabian StyleLi, Jingjing, Yan Lin, Lei He, Rongxiu Ou, Tao Chen, Xu Zhang, Qirui Li, Zhu Zeng, and Qingde Long. 2021. "Two New Isoprenoid Flavonoids from Sophora flavescens with Antioxidant and Cytotoxic Activities" Molecules 26, no. 23: 7228. https://doi.org/10.3390/molecules26237228
APA StyleLi, J., Lin, Y., He, L., Ou, R., Chen, T., Zhang, X., Li, Q., Zeng, Z., & Long, Q. (2021). Two New Isoprenoid Flavonoids from Sophora flavescens with Antioxidant and Cytotoxic Activities. Molecules, 26(23), 7228. https://doi.org/10.3390/molecules26237228
