Microstructural Evolution and High-Performance Giant Dielectric Properties of Lu3+/Nb5+ Co-Doped TiO2 Ceramics
Abstract
:1. Introduction
2. Results and Discussion
2.1. Crystal Structure and Phase Compositions
2.2. Microstructure Analysis
2.3. Raman and XPS Spectroscopies
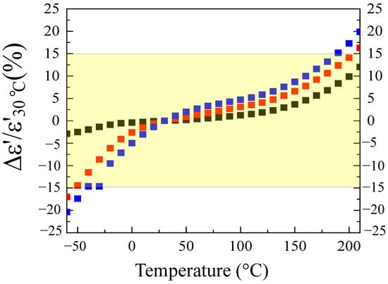
2.4. Giant Dielectric Properties
2.5. Origin of High-Performance GD Properties
3. Experimental Details
4. Conclusions
Author Contributions
Funding
Data Availability Statement
Acknowledgments
Conflicts of Interest
Sample Availability
References
- Wang, Y.; Jie, W.; Yang, C.; Wei, X.; Hao, J. Colossal Permittivity Materials as Superior Dielectrics for Diverse Applications. Adv. Funct. Mater. 2019, 29, 1808118. [Google Scholar] [CrossRef]
- Jumpatam, J.; Putasaeng, B.; Chanlek, N.; Manyam, J.; Srepusharawoot, P.; Krongsuk, S.; Thongbai, P. Influence of Sn and F dopants on giant dielectric response and Schottky potential barrier at grain boundaries of CCTO ceramics. Ceram. Int. 2021, 47, 27908–27915. [Google Scholar] [CrossRef]
- Boonlakhorn, J.; Chanlek, N.; Manyam, J.; Srepusharawoot, P.; Thongbai, P. Simultaneous two-step enhanced permittivity and reduced loss tangent in Mg/Ge-Doped CaCu3Ti4O12 ceramics. J. Alloys Compd. 2021, 877, 160322. [Google Scholar] [CrossRef]
- Boonlakhorn, J.; Chanlek, N.; Manyam, J.; Srepusharawoot, P.; Krongsuk, S.; Thongbai, P. Enhanced giant dielectric properties and improved nonlinear electrical response in acceptor-donor (Al3+, Ta5+)-substituted CaCu3Ti4O12 ceramics. J. Adv. Ceram. 2021, 10, 1243–1255. [Google Scholar] [CrossRef]
- Peng, Z.; Wang, J.; Lei, X.; Zhu, J.; Xu, S.; Liang, P.; Wei, L.; Wu, D.; Wang, J.; Chao, X.; et al. Colossal dielectric response in CdAlxCu3-xTi4O12 perovskite ceramics. Mater. Chem. Phys. 2021, 258, 123940. [Google Scholar] [CrossRef]
- Sarkar, S.; Jana, P.K.; Chaudhuri, B.K. Colossal internal barrier layer capacitance effect in polycrystalline copper (II) oxide. Appl. Phys. Lett. 2008, 92, 022905. [Google Scholar] [CrossRef]
- Meeporn, K.; Chanlek, N.; Thongbai, P. Effects of DC bias on non-ohmic sample-electrode contact and grain boundary responses in giant-permittivity La1.7Sr0.3Ni1-xMgxO4 ceramics. RSC Adv. 2016, 6, 91377–91385. [Google Scholar] [CrossRef]
- Wu, J.; Nan, C.-W.; Lin, Y.; Deng, Y. Giant Dielectric Permittivity Observed in Li and Ti Doped NiO. Phys. Rev. Lett. 2002, 89, 217601. [Google Scholar] [CrossRef]
- Hu, W.; Liu, Y.; Withers, R.L.; Frankcombe, T.J.; Norén, L.; Snashall, A.; Kitchin, M.; Smith, P.; Gong, B.; Chen, H.; et al. Electron-pinned defect-dipoles for high-performance colossal permittivity materials. Nat. Mater. 2013, 12, 821–826. [Google Scholar] [CrossRef] [PubMed]
- Tuichai, W.; Danwittayakul, S.; Chanlek, N.; Thongbai, P. Effects of sintering temperature on microstructure and giant dielectric properties of (V + Ta) co–doped TiO2 ceramics. J. Alloys Compd. 2017, 725, 310–317. [Google Scholar] [CrossRef]
- Tuichai, W.; Thongyong, N.; Danwittayakul, S.; Chanlek, N.; Srepusharawoot, P.; Thongbai, P.; Maensiri, S. Very low dielectric loss and giant dielectric response with excellent temperature stability of Ga3+ and Ta5+ co-doped rutile-TiO2 ceramics. Mater. Des. 2017, 123, 15–23. [Google Scholar] [CrossRef]
- Zhou, X.; Liang, P.; Zhu, J.; Peng, Z.; Chao, X.; Yang, Z. Enhanced dielectric performance of (Ag1/4Nb3/4)0.01Ti0.99O2 ceramic prepared by a wet-chemistry method. Ceram. Int. 2020, 46, 11921–11925. [Google Scholar] [CrossRef]
- Thongyong, N.; Tuichai, W.; Chanlek, N.; Thongbai, P. Effect of Zn2+ and Nb5+ co-doping ions on giant dielectric properties of rutile-TiO2 ceramics. Ceram. Int. 2017, 43, 15466–15471. [Google Scholar] [CrossRef]
- Nachaithong, T.; Thongbai, P.; Maensiri, S. Colossal permittivity in (In1/2Nb1/2)xTi1−xO2 ceramics prepared by a glycine nitrate process. J. Eur. Ceram. Soc. 2017, 37, 655–660. [Google Scholar] [CrossRef]
- Tuichai, W.; Danwittayakul, S.; Chanlek, N.; Thongbai, P.; Maensiri, S. High-performance giant-dielectric properties of rutile TiO2 co-doped with acceptor-Sc3+ and donor-Nb5+ ions. J. Alloys Compd. 2017, 703, 139–147. [Google Scholar] [CrossRef]
- Nachaithong, T.; Kidkhunthod, P.; Thongbai, P.; Maensiri, S. Surface barrier layer effect in (In + Nb) co-doped TiO2 ceramics: An alternative route to design low dielectric loss. J. Am. Ceram. Soc. 2017, 100, 1452–1459. [Google Scholar] [CrossRef]
- Liu, G.; Fan, H.; Xu, J.; Liu, Z.; Zhao, Y. Colossal permittivity and impedance analysis of niobium and aluminum co-doped TiO2 ceramics. RSC Adv. 2016, 6, 48708–48714. [Google Scholar] [CrossRef]
- Song, Y.; Wang, X.; Zhang, X.; Sui, Y.; Zhang, Y.; Liu, Z.; Lv, Z.; Wang, Y.; Xu, P.; Song, B. The contribution of doped-Al to the colossal permittivity properties of AlxNb0.03Ti0.97-xO2 rutile ceramics. J. Mater. Chem. C 2016, 4, 6798–6805. [Google Scholar] [CrossRef]
- Song, Y.; Liu, P.; Guo, B.; Cui, X.; Yang, W. Giant permittivity up to 100 MHz in La and Nb co-doped rutile TiO2 ceramics. J. Am. Ceram. Soc. 2020, 103, 4313–4320. [Google Scholar] [CrossRef]
- Zhao, C.; Li, Z.; Wu, J. Role of trivalent acceptors and pentavalent donors in colossal permittivity of titanium dioxide ceramics. J. Mater. Chem. C 2019, 7, 4235–4243. [Google Scholar] [CrossRef]
- Zhao, C.; Wu, J. Effects of Secondary Phases on the High-Performance Colossal Permittivity in Titanium Dioxide Ceramics. ACS Appl. Mater. Interfaces 2018, 10, 3680–3688. [Google Scholar] [CrossRef]
- Li, J.; Zeng, Y.; Fang, Y.; Chen, N.; Du, G.; Zhang, A. Synthesis of (La + Nb) co-doped TiO2 rutile nanoparticles and dielectric properties of their derived ceramics composed of submicron-sized grains. Ceram. Int. 2021, 47, 8859–8867. [Google Scholar] [CrossRef]
- Guo, X.; Pu, Y.; Wang, W.; Chen, H.; Shi, R.; Shi, Y.; Yang, M.; Li, J.; Peng, X. Colossal permittivity and low dielectric loss in niobium and europium co-doped TiO2 ceramics by adding B2O3. J. Alloys Compd. 2019, 797, 58–64. [Google Scholar] [CrossRef]
- Wang, Z.; Li, Y.; Chen, H.; Fan, J.; Wang, X.; Ma, X. Correlation between the radius of acceptor ion and the dielectric properties of co-doped TiO2 ceramics. Ceram. Int. 2019, 45, 14625–14633. [Google Scholar] [CrossRef]
- Xu, Z.; Li, L.; Wang, W.; Lu, T. Colossal permittivity and ultralow dielectric loss in (Nd0.5Ta0.5)xTi1−xO2 ceramics. Ceram. Int. 2019, 45, 17318–17324. [Google Scholar] [CrossRef]
- Guo, B.; Liu, P.; Cui, X.; Song, Y. Colossal permittivity and dielectric relaxations in (La0.5Nb0.5)xTi1−xO2 ceramics. J. Alloys Compd. 2018, 768, 368–376. [Google Scholar] [CrossRef]
- Yu, Y.; Li, W.-L.; Zhao, Y.; Zhang, T.-D.; Song, R.-X.; Zhang, Y.-L.; Wang, Z.-Y.; Fei, W.-D. Large-size-mismatch co-dopants for colossal permittivity rutile TiO2 ceramics with temperature stability. J. Eur. Ceram. Soc. 2018, 38, 1576–1582. [Google Scholar] [CrossRef]
- Nachaithong, T.; Tuichai, W.; Kidkhunthod, P.; Chanlek, N.; Thongbai, P.; Maensiri, S. Preparation, characterization, and giant dielectric permittivity of (Y3+ and Nb5+) co–doped TiO2 ceramics. J. Eur. Ceram. Soc. 2017, 37, 3521–3526. [Google Scholar] [CrossRef]
- Jiao, L.; Guo, P.; Kong, D.; Huang, X.; Li, H. Dielectric properties of (Yb0.5Ta0.5)xTi1−xO2 ceramics with colossal permittivity and low dielectric loss. J. Mater. Sci. Mater. Electron. 2020, 31, 3654–3661. [Google Scholar] [CrossRef]
- Wang, X.W.; Liang, B.K.; Zheng, Y.P.; Li, S.N.; Liang, Y.F.; Sun, Y.Q.; Li, Y.Y.; Shi, Y.C.; Zhang, B.H.; Shang, S.Y.; et al. Colossal dielectric properties in (TaxSm1−x)0.04Ti0.96O2. Phys. B Condens. Matter 2020, 598, 412426. [Google Scholar] [CrossRef]
- Li, Z.; Wu, J.; Wu, W. Composition dependence of colossal permittivity in (Sm0.5Ta0.5)xTi1−xO2 ceramics. J. Mater. Chem. C 2015, 3, 9206–9216. [Google Scholar] [CrossRef]
- Hu, B.; Sun, K.; Wang, J.; Xu, J.; Liu, B.; Zhang, J.; Yang, Y.; Du, B. High dielectric performance of (Nb5+, Lu3+) co-doped TiO2 ceramics in a broad temperature range. Mater. Lett. 2020, 271, 127838. [Google Scholar] [CrossRef]
- Tuichai, W.; Danwittayakul, S.; Srepusharawoot, P.; Thongbai, P.; Maensiri, S. Giant dielectric permittivity and electronic structure in (A3+, Nb5+) co-doped TiO2 (A. = Al, Ga and In). Ceram. Int. 2017, 43, S265–S269. [Google Scholar] [CrossRef]
- Sebastian, M.T.; Solomon, S.; Ratheesh, R.; George, J.; Mohanan, P. Preparation, Characterization, and Microwave Properties of RETiNbO6 (RE = Ce, Pr, Nd, Sm, Eu, Gd, Tb, Dy, Y, and Yb) Dielectric Ceramics. J. Am. Ceram. Soc. 2001, 84, 1487–1489. [Google Scholar] [CrossRef]
- Kim, D.-W.; Kwon, D.-K.; Yoon, S.H.; Hong, K.S. Microwave Dielectric Properties of Rare-Earth Ortho-Niobates with Ferroelasticity. J. Am. Ceram. Soc. 2006, 89, 3861–3864. [Google Scholar] [CrossRef]
- An, L.; Wang, L.; Wang, L.; Fan, R.; Ito, A.; Goto, T. Fabrication of Lu2Ti2O7-Lu3NbO7 solid solution transparent ceramics by spark plasma sintering and their electrical conductivities. J. Eur. Ceram. Soc. 2020, 40, 4589–4594. [Google Scholar] [CrossRef]
- Moreira, R.L.; Viegas, J.I.; Dias, A. Raman and infrared spectroscopic studies of LaTaTiO6 polymorphs. J. Alloys Compd. 2017, 710, 608–615. [Google Scholar] [CrossRef]
- Solomon, S.; Kumar, M.; Surendran, K.P.; Sebastian, M.T.; Mohanan, P. Synthesis, characterization and properties of [RE1−xREx′]TiNbO6 dielectric ceramics. Mater. Chem. Phys. 2001, 67, 291–293. [Google Scholar] [CrossRef] [Green Version]
- Cao, Z.; Zhao, J.; Fan, J.; Li, G.; Zhang, H. Colossal permittivity of (Gd + Nb) co-doped TiO2 ceramics induced by interface effects and defect cluster. Ceram. Int. 2021, 47, 6711–6719. [Google Scholar] [CrossRef]
- Liu, Z.; Zhao, C.; Wu, B.; Wu, J. Reduced dielectric loss in new colossal permittivity (Pr, Nb)TiO2 ceramics by suppressing adverse effects of secondary phases. Phys. Chem. Chem. Phys. 2018, 20, 21814–21821. [Google Scholar] [CrossRef]
- Rahaman, M.N. Ceramic Processing and Sintering, 2nd ed.; CRC Press: Boca Raton, FL, USA, 2003. [Google Scholar] [CrossRef]
- Hu, W.; Lau, K.; Liu, Y.; Withers, R.L.; Chen, H.; Fu, L.; Gong, B.; Hutchison, W. Colossal Dielectric Permittivity in (Nb+Al) Codoped Rutile TiO2 Ceramics: Compositional Gradient and Local Structure. Chem. Mater. 2015, 27, 4934–4942. [Google Scholar] [CrossRef]
- Zheng, C.; Liu, Q. Luminescent properties of a new cyan long afterglow phosphor CaSnO3:Lu3+. RSC Adv. 2019, 9, 33596–33601. [Google Scholar] [CrossRef] [Green Version]
- Tuichai, W.; Danwittayakul, S.; Manyam, J.; Chanlek, N.; Takesada, M.; Thongbai, P. Giant dielectric properties of Ga3+–Nb5+Co-doped TiO2 ceramics driven by the internal barrier layer capacitor effect. Materials 2021, 18, 101175. [Google Scholar] [CrossRef]
- Tuichai, W.; Danwittayakul, S.; Maensiri, S.; Thongbai, P. Investigation on temperature stability performance of giant permittivity (In + Nb) in co-doped TiO2 ceramic: A crucial aspect for practical electronic applications. RSC Adv. 2016, 6, 5582–5589. [Google Scholar] [CrossRef]
- Dong, W.; Hu, W.; Frankcombe, T.J.; Chen, D.; Zhou, C.; Fu, Z.; Candido, L.; Hai, G.; Chen, H.; Li, Y.; et al. Colossal permittivity with ultralow dielectric loss in In + Ta co-doped rutile TiO2. J. Mater. Chem. A 2017, 5, 5436–5441. [Google Scholar] [CrossRef]
- Kum-Onsa, P.; Chanlek, N.; Thongbai, P. Largely enhanced dielectric properties of TiO2-nanorods/poly(vinylidene fluoride) nanocomposites driven by enhanced interfacial areas. Nanocomposites 2021, 7, 123–131. [Google Scholar] [CrossRef]
- Jumpatam, J.; Putasaeng, B.; Chanlek, N.; Boonlakhorn, J.; Thongbai, P.; Phromviyo, N.; Chindaprasirt, P. Significantly improving the giant dielectric properties of CaCu3Ti4O12 ceramics by co-doping with Sr2+ and F− ions. Mater. Res. Bull. 2021, 133, 111043. [Google Scholar] [CrossRef]
- Jumpatam, J.; Putasaeng, B.; Chanlek, N.; Thongbai, P. Influences of Sr2+ Doping on Microstructure, Giant Dielectric Behavior, and Non-Ohmic Properties of CaCu3Ti4O12/CaTiO3 Ceramic Composites. Molecules 2021, 26, 1994. [Google Scholar] [CrossRef]
- Thongbai, P.; Yamwong, T.; Maensiri, S. The sintering temperature effects on the electrical and dielectric properties of Li0.05Ti0.0Ni0.93O ceramics prepared by a direct thermal decomposition method. J. Appl. Phys. 2008, 104, 074109. [Google Scholar] [CrossRef]
- Tuichai, W.; Danwittayakul, S.; Chanlek, N.; Takesada, M.; Pengpad, A.; Srepusharawoot, P.; Thongbai, P. High-Performance Giant Dielectric Properties of Cr3+/Ta5+ Co-Doped TiO2 Ceramics. ACS Omega 2021, 6, 1901–1910. [Google Scholar] [CrossRef]
- Tuichai, W.; Danwittayakul, S.; Chanlek, N.; Thongbai, P. Nonlinear current-voltage and giant dielectric properties of Al3+ and Ta5+ co-doped TiO2 ceramics. Mater. Res. Bull. 2019, 116, 137–142. [Google Scholar] [CrossRef]










| Sample | Dielectric Properties | Lattice Constant (Å) | Mean Grain Size (μm) | |||
|---|---|---|---|---|---|---|
| ε’ (25 °C) | tanδ (25 °C) | tanδ (200 °C) | a | c | ||
| LuNTO-1 | 75,524 | 0.007 | 0.050 | 4.595(8) | 2.959(5) | 18.2 ± 6.9 |
| LuNTO-2 | 57,137 | 0.028 | 0.057 | 4.599(1) | 2.962(9) | 15.6 ± 6.3 |
| LuNTO-3 | 60,134 | 0.048 | 0.062 | 4.607(0) | 2.974(2) | 8.6 ± 2.9 |
Publisher’s Note: MDPI stays neutral with regard to jurisdictional claims in published maps and institutional affiliations. |
© 2021 by the authors. Licensee MDPI, Basel, Switzerland. This article is an open access article distributed under the terms and conditions of the Creative Commons Attribution (CC BY) license (https://creativecommons.org/licenses/by/4.0/).
Share and Cite
Thanamoon, N.; Chanlek, N.; Srepusharawoot, P.; Swatsitang, E.; Thongbai, P. Microstructural Evolution and High-Performance Giant Dielectric Properties of Lu3+/Nb5+ Co-Doped TiO2 Ceramics. Molecules 2021, 26, 7041. https://doi.org/10.3390/molecules26227041
Thanamoon N, Chanlek N, Srepusharawoot P, Swatsitang E, Thongbai P. Microstructural Evolution and High-Performance Giant Dielectric Properties of Lu3+/Nb5+ Co-Doped TiO2 Ceramics. Molecules. 2021; 26(22):7041. https://doi.org/10.3390/molecules26227041
Chicago/Turabian StyleThanamoon, Noppakorn, Narong Chanlek, Pornjuk Srepusharawoot, Ekaphan Swatsitang, and Prasit Thongbai. 2021. "Microstructural Evolution and High-Performance Giant Dielectric Properties of Lu3+/Nb5+ Co-Doped TiO2 Ceramics" Molecules 26, no. 22: 7041. https://doi.org/10.3390/molecules26227041
APA StyleThanamoon, N., Chanlek, N., Srepusharawoot, P., Swatsitang, E., & Thongbai, P. (2021). Microstructural Evolution and High-Performance Giant Dielectric Properties of Lu3+/Nb5+ Co-Doped TiO2 Ceramics. Molecules, 26(22), 7041. https://doi.org/10.3390/molecules26227041

