Application of Inductively Coupled Plasma Spectrometric Techniques and Multivariate Statistical Analysis in the Hydrogeochemical Profiling of Caves—Case Study Cloșani, Romania
Abstract
1. Introduction
2. Results
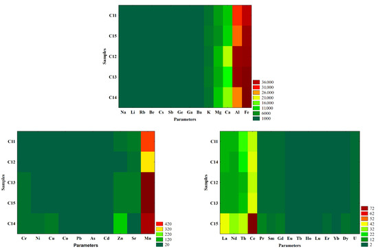
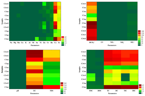
2.1. Hydrogeochemical Characteristics and Summary Statistics
2.2. Water Facies
2.3. ANOVA-Principal Component Analysis
2.3.1. ANOVA-Principal Component Analysis for Water Collected from Cloșani Cave
2.3.2. ANOVA-Principal Component Analysis for Silty Soil Samples
3. Discussions
3.1. Hydrogeochemical Modeling Based on Water Facies, Summary Statistics and Correlation Analysis
3.2. Modeling by ANOVA-Principal Component Analysis
3.2.1. ANOVA-Principal Component Analysis Applied for Water Collected from Cloșani Cave
3.2.2. ANOVA-Principal Component Analysis Applied for Silty Soil Samples Collected from Cloșani Cave
4. Materials and Methods
4.1. Site Description, Sample Collection and Preservation
4.2. Reagents and Certified Reference Materials
4.3. Sample Preparation and Chemical Analysis
4.3.1. Water Samples
4.3.2. Soil Samples
4.4. Method Validation
4.5. Multivariate Statistical Methods
5. Conclusions
Supplementary Materials
Author Contributions
Funding
Institutional Review Board Statement
Informed Consent Statement
Data Availability Statement
Acknowledgments
Conflicts of Interest
Sample Availability
References
- Self, C.A.; Hill, C.A. How speleothems grow: An introduction to the ontogeny of cave minerals. J. Caves. Karst. Stud. 2003, 65, 130–151. [Google Scholar]
- Vesper, D.J. Contamination of cave waters by heavy metals. In Encyclopedia of Caves, 2nd ed.; White, W.B., Culver, D.C., Eds.; Academic Press: Cambridge, MA, USA, 2012; pp. 161–166. [Google Scholar]
- Vesper, D.J. Contamination of cave waters by heavy metals. In Encyclopedia of Caves, 3rd ed.; White, W.B., Culver, D.C., Pipan, T., Eds.; Academic Press: Cambridge, MA, USA, 2019; pp. 320–325. [Google Scholar]
- Angyus, S.B.; Levei, E.; Petreus, D.; Etz, R.; Covaci, E.; Moldovan, O.T.; Ponta, M.; Darvasi, E.; Frentiu, T. Simultaneous determination of As, Bi, Sb, Se, Te, Hg, Pb and Sn by Small-Sized Electrothermal Vaporization Capacitively Coupled Plasma Microtorch Optical Emission Spectrometry Using Direct Liquid Microsampling. Molecules 2021, 26, 2642. [Google Scholar] [CrossRef] [PubMed]
- Tadros, C.V.; Treble, P.C.; Baker, A.; Hankin, S.; Roach, R. Cave drip water solutes in south-eastern Australia: Constraining sources, sinks and processes. Sci. Total Environ. 2019, 651, 2175–2186. [Google Scholar] [CrossRef]
- Butaciu, S.; Senila, M.; Sarbu, C.; Ponta, M.; Tanaselia, C.; Cadar, O.; Roman, M.; Radu, E.; Sima, M.; Frentiu, T. Chemical modeling of groundwater in the Banat Plain, southwestern Romania, with elevated As content and co-occurring species by combining diagrams and unsupervised multivariate statistical approaches. Chemosphere 2017, 172, 127–137. [Google Scholar] [CrossRef]
- El Alfy, M.; Lashin, A.; Abdalla, F.; Al–Bassam, A. Assessing the hydrogeochemical processes affecting groundwater pollution in arid areas using an integration of geochemical equilibrium and multivariate statistical techniques. Environ. Pollut. 2017, 229, 760–770. [Google Scholar] [CrossRef] [PubMed]
- Ebrahimi, O.; Ahmadi, M.; Shahabi, H.; Asgari, S. Evaluation of karst features using principal component analysis (PCA): A case from Zarneh and Kergan, Western Iran. Carbonates Evaporites 2017, 33, 625–635. [Google Scholar] [CrossRef]
- Kazakis, N.; Mattas, C.; Pavlou, A.; Patrikaki, O.; Voudouris, K. Multivariate statistical analysis for the assessment of groundwater quality under different hydrogeological regimes. Environ. Earth Sci. 2017, 76, 349. [Google Scholar] [CrossRef]
- Chenini, I.; Farhat, B.; Ben Mammou, A. Identification of major sources controlling groundwater chemistry from a multilayered aquifer system. Chem. Speciat. Bioavailab. 2015, 22, 183–189. [Google Scholar] [CrossRef]
- Mora, A.; Mahlknecht, J.; Rosales-Lagarde, L.; Hernández-Antonio, A. Assessment of major ions and trace elements in groundwater supplied to the Monterrey metropolitan area, Nuevo León, Mexico. Environ. Monit. Assess. 2017, 189, 394. [Google Scholar] [CrossRef]
- Hoaghia, M.A.; Moldovan, A.; Kovacs, E.; Mirea, I.C.; Kenesz, M.; Brad, T.; Cadar, O.; Micle, V.; Levei, E.A.; Moldovan, O.T. Water Quality and Hydrogeochemical Characteristics of Some Karst Water Sources in Apuseni Mountains, Romania. Water 2021, 13, 857. [Google Scholar] [CrossRef]
- Onac, B.P. Minerals in caves. In Encyclopedia of Caves, 3rd ed.; White, W.B., Culver, D.C., Pipan, T., Eds.; Academic Press: Cambridge, MA, USA, 2019; pp. 699–709. [Google Scholar]
- Marandi, A.; Shand, P. Groundwater chemistry and the Gibbs Diagram. J. Appl. Geochem. 2018, 97, 209–212. [Google Scholar] [CrossRef]
- Piper, A.M. A graphic procedure in the geochemical interpretation of water-analyses. Trans. Am. Geophys. Union 1944, 25, 914–928. [Google Scholar] [CrossRef]
- Gibbs, R.J. Mechanisms controlling world water chemistry. Science 1970, 170, 1088–1090. [Google Scholar] [CrossRef]
- Zhou, F.; Guo, H.; Liu, Z.; Jiang, Y. Chemometrics data analysis of marine water quality and source identification in Southern Hong Kong. Mar. Pollut. Bull. 2007, 54, 745–756. [Google Scholar] [CrossRef] [PubMed]
- Cuoco, E.; Darrah, T.H.; Buono, G.; Verrengia, G.; De Francesco, S.; Eymold, W.K.; Tedesco, D. Inorganic contaminants from diffuse pollution in shallow groundwater of the Campanian Plain (Southern Italy). Implications for geochemical survey. Environ. Monit. Assess. 2015, 187, 46. [Google Scholar] [CrossRef]
- Torres-Martinez, J.A.; Mora, A.; Knappett, P.S.K.; Ornelas-Soto, N.; Mahlknecht, J. Tracking nitrate and sulfate sources in groundwater of an urbanized valley using a multi-tracer approach combined with a Bayesian isotope mixing model. Water. Res. 2020, 182, 115962. [Google Scholar] [CrossRef] [PubMed]
- Order No. 621/2014 on the Approval of Threshold Values for Groundwater in Romania. Available online: http://legislatie.just.ro/Public/DetaliiDocumentAfis/159990 (accessed on 1 February 2021). (In Romanian).
- Howland, R.J.; Tappin, A.D.; Uncles, R.J.; Plummer, D.H.; Bloomer, N.J. Distributions and seasonal variability of pH and alkalinity in the Tweed Estuary, UK. Sci. Total. Environ. 2000, 251, 125–138. [Google Scholar] [CrossRef]
- Lyu, M.; Pang, Z.; Yin, L.; Zhang, J.; Huang, T.; Yang, S.; Li, Z.; Wang, X.; Gulbostan, T. The Control of Groundwater Flow Systems and Geochemical Processes on Groundwater Chemistry: A Case Study in Wushenzhao Basin, NW China. Water 2019, 11, 790. [Google Scholar] [CrossRef]
- Zhang, B.; Zhao, D.; Zhou, P.; Qu, S.; Liao, F.; Wang, G. Hydrochemical Characteristics of Groundwater and Dominant Water-Rock Interactions in the Delingha Area, Qaidam Basin, Northwest China. Water 2020, 12, 836. [Google Scholar] [CrossRef]
- Stuyfzand, P.T. A new hydrochemical classification of water types with examples of application. AHS 1989, 184, 89–98. [Google Scholar]
- Moral, F.; Cruz-Sanjulián, J.J.; Olías, M. Geochemical evolution of groundwater in the carbonate aquifers of Sierra de Segura (Betic Cordillera, southern Spain). J. Hydrol. 2008, 360, 281–296. [Google Scholar] [CrossRef]
- Galdenzi, S. Barite replacement boxwork in the Frasassi caves (Italy). Int. J. Speleol. 2019, 48, 305–310. [Google Scholar] [CrossRef]
- Dove, P.M.; Nix, C.J. The influence of the alkaline earth cations, magnesium, calcium, and barium on the dissolution kinetics of quartz. Geochim. Cosmochim. Acta 1997, 61, 3329–3340. [Google Scholar] [CrossRef]
- Gonzalez-Munoz, M.T.; Fernandez-Luque, B.; Martinez-Ruiz, F.; Ben Chekroun, K.; Arias, J.M.; Rodriguez-Gallego, M.; Martinez-Canamero, M.; de Linares, C.; Paytan, A. Precipitation of barite by Myxococcus xanthus: Possible implications for the biogeochemical cycle of barium. Appl. Environ. Microbiol. 2003, 69, 5722–5725. [Google Scholar] [CrossRef] [PubMed]
- Sauro, F.; Cappelletti, M.; Ghezzi, D.; Columbu, A.; Hong, P.Y.; Zowawi, H.M.; Carbone, C.; Piccini, L.; Vergara, F.; Zannoni, D.; et al. Microbial diversity and biosignatures of amorphous silica deposits in orthoquartzite caves. Sci. Rep. 2018, 8, 17569. [Google Scholar] [CrossRef]
- Jeong, J.; Jeen, S.-W.; Hwang, H.-T.; Lee, K.K. Changes in Geochemical Composition of Groundwater Due to CO2 Leakage in Various Geological Media. Water 2020, 12, 2597. [Google Scholar] [CrossRef]
- Galdenzi, S. La struttura giurassica di Monte Acuto (Appennino Umbro-Marchigiano). Boll. Soc. Geol. Ital. 1990, 109, 707–722. [Google Scholar]
- Chen, Y.; Cui, J.; Tian, X.; Zhao, A.; Li, M.; Wang, S.; Li, X.; Jia, Z.; Liu, K. Effect of Straw Amendment on Soil Zn Availability and Ageing of Exogenous Water-Soluble Zn Applied to Calcareous Soil. PLoS ONE 2017, 12, 169776. [Google Scholar] [CrossRef]
- Chaudhary, M.; Singh, B.R.; Krogstad, T.; Heim, M. Release of Copper, Zinc, and Manganese from Rock Powder with Organic Materials Applied to Soils. Commun. Soil Sci. Plant Anal. 2011, 42, 2682–2697. [Google Scholar] [CrossRef]
- Cunningham, K.I.; Northup, D.E.; Pollastro, R.M.; Wright, W.G.; Larock, E.J. Bacteria, fungi and biokarst in Lechuguilla Cave, Carlsbad Caverns National Park, New-Mexico. Econ. Environ. Geol. 1995, 25, 2–8. [Google Scholar] [CrossRef]
- Spilde, M.N.; Northup, D.E.; Boston, P.J.; Schelble, R.T.; Dano, K.E.; Crossey, L.J.; Dahm, C.N. Geomicrobiology of Cave Ferromanganese Deposits: A Field and Laboratory Investigation. Geomicrobiol. J. 2005, 22, 99–116. [Google Scholar] [CrossRef]
- Parker, C.W.; Wolf, J.A.; Auler, A.S.; Barton, H.A.; Senko, J.M. Microbial Reducibility of Fe(III) Phases Associated with the Genesis of Iron Ore Caves in the Iron Quadrangle, Minas Gerais, Brazil. Minerals 2013, 3, 395–411. [Google Scholar] [CrossRef]
- Katz, B.G. Nitrate contamination in karst groundwater. In Encyclopedia of Caves, 3rd ed.; White, W.B., Culver, D.C., Pipan, T., Eds.; Academic Press: Cambridge, MA, USA, 2019; pp. 756–760. [Google Scholar]
- Onac, B.P.; Pedersen, R.B.; Tysseland, M. Presence of Rare–Earth Elements in Black Ferromanganese Coatings from Vantului Cave. J. Caves Karst Stud. 1997, 59, 128–131. [Google Scholar]
- Elzinga, E.J.; Reeder, R.J.; Withers, S.H.; Peale, R.E.; Mason, R.A.; Beck, K.M.; Hess, W.P. EXAFS study of rare–earth element coordination in calcite. Geochim. Cosmochim. Acta 2002, 66, 2875–2885. [Google Scholar] [CrossRef]
- Wassenburg, J.A.; Immenhauser, A.; Richter, D.K.; Jochum, K.P.; Fietzke, J.; Deininger, M.; Goos, M.; Scholz, D.; Sabaoui, A. Climate and cave control on Pleistocene/Holocene calcite–to–aragonite transitions in speleothems from Morocco: Elemental and isotopic evidence. Geochim. Cosmochim. Acta 2012, 92, 23–47. [Google Scholar] [CrossRef]
- Zhou, B.; Li, Z.; Chen, C. Global Potential of Rare Earth Resources and Rare Earth Demand from Clean Technologies. Minerals 2017, 7, 203. [Google Scholar] [CrossRef]
- Frentiu, T.; Ponta, M.; Levei, E.; Gheroghiu, E.; Benea, M.; Cordos, E.A. Preliminary Study on Heavy Metals Contamination of Soil Using Solid Phase Speciation and the Influence on grounwater in Bazanta–Baia Mare Area, Romania. Chem. Spec. Bioavailab. 2008, 20, 111–121. [Google Scholar]
- Cordos, E.A.; Frentiu, T.; Rusu, A.M.; Vatca, G. Elemental Speciation of Pb, Zn and Cu in sedimented Dust and Soil Using a Capacitively Coupled Plasma Atomic Emission Spectrometer as Detector. Analyst 1995, 120, 725–731. [Google Scholar] [CrossRef]
- Constantin, S.; Lauritzen, S.E. Speleothem datings in SW Romania. Part 1: Evidence for a continuous speleothem growth in Pestera Closani during Oxygen Isotope stages 5-3 and its paleoclimatic significance. Theor. Appl. Karstol. 1999, 11, 35–46. [Google Scholar]
- Povara, I.; Dragusin, V.; Mirea, I.C. Mehedinti Mountains: Cioaca cu Brebenei and Closani Caves. In Cave and Karst Systems of Romania; Onac, B.P., Goran, C., Eds.; Springer International Publishing: New York, NY, USA, 2019; pp. 149–156. [Google Scholar]
- Warken, S.F.; Fohlmeister, J.; Schroder-Ritzrau, A.; Constantin, S.; Spotl, C.; Gerdes, A.; Esper, J.; Frank, N.; Arps, J.; Terente, M.; et al. Reconstruction of late Holocene autumn/winter precipitation variability in SW Romania from a high-resolution speleothem trace element record. Earth. Planet Sci. Lett. 2018, 499, 122–133. [Google Scholar] [CrossRef]
- Moldovan, O.T.; Iepure, S.; Brad, T.; Kenesz, M.; Mirea, I.C.; Nastase-Bucur, R. Database of Romanian cave invertebrates with a Red List of cave species and a list of hotspot/coldspot caves. Biodivers. Data J. 2020, 8, 53571. [Google Scholar] [CrossRef]
- Eaton, A.D.; Franson, M.A.H. Standard Methods for the Examination of Water and Wastewater, 21st ed.; American Public Health Association: Washington, DC, USA, 2005. [Google Scholar]
- Miller, J.N.; Miller, J.C. Statistics and Chemometrics for Analytical Chemistry, 4th ed.; Pearson Education Ltd.: Edinburgh Gate, UK, 2000. [Google Scholar]
- SR ISO 8466–1:1999. Water quality. Calibration and Evaluation of Analytical Methods and Estimation of Performance Characteristics. Part I. Statistical Evaluation of the Linear Calibration Function. (Purchased by INCDO-INOE 2000, ICIA Cluj-Napoca subsidiary from Chamber of Commerce and Industry, Cluj, Cluj-Napoca, Romania on 13 April 2016).
- Covaci, E.; Senila, M.; Ponta, M.; Frentiu, T. Analytical performance and validation of optical emission and atomic absorption spectrometry methods for multielemental determination in vegetables and fruits. Rev. Roum. Chim. 2020, 65, 735–745. [Google Scholar] [CrossRef]
- ISO 5725–(2):1994. Accuracy (Trueness and Precision) of Measurement Methods and Results. (Purchased by INCDO-INOE 2000, ICIA Cluj-Napoca Subsidiary from Chamber of Commerce and Industry, Cluj, Cluj-Napoca, Romania on 5 May 2010.
- Esmaeili-Vardanjani, M.; Rasa, I.; Amiri, V.; Yazdi, M.; Pazand, K. Evaluation of groundwater quality and assessment of scaling potential and corrosiveness of water samples in Kadkan aquifer, Khorasan-e-Razavi Province, Iran. Environ. Monit. Assess. 2015, 187, 53. [Google Scholar] [CrossRef]
- Spanos, T.; Ene, A.; Simeonova, P. Chemometric expertise of the quality of groundwater sources for domestic use. J. Environ. Sci. Health Part A: Toxic/Hazard. Subst. Environ. Eng. 2015, 50, 1099–1107. [Google Scholar] [CrossRef] [PubMed]
- Al-Harbi, M.; Al-Ruwaih, F.M.; Alsulaili, A. Statistical and analytical evaluation of groundwater quality in Al-Rawdhatain field. Environ. Prog. Sustain. Energy. 2014, 33, 895–904. [Google Scholar] [CrossRef]
- Sappa, G.; Ergul, S.; Ferranti, F. Geochemical modeling and multivariate statistical evaluation of trace elements in arsenic contaminated groundwater systems of Viterbo Area, (Central Italy). SpringerPlus 2014, 3, 237. [Google Scholar] [CrossRef]








| Param. | Unit | C2wi1 1 | C2sp 1 | C2su1 | C2au 1 | C2wi2 1 | Min. | Max. | Mean | Median | s 3 | Skew. | Kurt. |
|---|---|---|---|---|---|---|---|---|---|---|---|---|---|
| pH | 8.1 | 8.2 | 7.6 | 6.6 | 8.1 | 6.6 | 8.2 | 7.7 | 8.1 | 0.7 | −1.65 | 2.44 | |
| EC | µS cm−1 | 287 | 144 | 237 | 305 | 168 | 144 | 305 | 228 | 237 | 71 | −0.19 | −2.56 |
| Na | mg L−1 | 0.95 | 0.69 | 0.87 | 0.59 | 0.59 | 0.59 | 0.95 | 0.74 | 0.69 | 0.17 | 0.51 | −2.36 |
| Mg | mg L−1 | 0.88 | 0.51 | 0.75 | 0.82 | 0.68 | 0.51 | 0.88 | 0.73 | 0.75 | 0.14 | −0.91 | 0.55 |
| K | mg L−1 | 0.46 | 0.47 | 0.66 | 0.36 | 0.34 | 0.34 | 0.66 | 0.46 | 0.46 | 0.13 | 1.11 | 1.33 |
| Ca | mg L−1 | 45.2 | 26.1 | 35.2 | 58.2 | 41.3 | 26.1 | 58.2 | 41.2 | 41.3 | 11.9 | 0.32 | 0.46 |
| Al | μg L−1 | 11.1 | 5.1 | 7.2 | 0.5 | 29.2 | 0.5 | 29.2 | 10.6 | 7.2 | 11.1 | 1.59 | 2.89 |
| Fe | μg L−1 | 13.6 | 8.1 | <LOD | 13.3 | 22.9 | 8.1 | 22.9 | 14.5 | 13.4 | 6.2 | 0.95 | 2.00 |
| Cr | μg L−1 | 1.2 | <LOD 2 | 1.1 | 4.6 | 1.1 | 1.1 | 4.6 | 2.0 | 1.2 | 1.7 | 1.99 | 3.96 |
| Mn | μg L−1 | 1.24 | <LOD | 2.76 | <LOD | <LOD | 1.24 | 2.76 | 2.00 | 2.00 | 1.08 | - | - |
| Ni | μg L−1 | 5.2 | 0.4 | 3.0 | 5.4 | <LOD | 0.4 | 5.4 | 3.5 | 4.1 | 2.4 | −0.94 | −0.81 |
| Cu | μg L−1 | 2.7 | <LOD | 1.9 | <LOD | <LOD | 1.9 | 2.7 | 2.3 | 2.3 | 0.6 | - | - |
| Zn | μg L−1 | 4.0 | 2.5 | 4.9 | <LOD | 2.9 | 2.5 | 4.9 | 3.6 | 3.5 | 1.1 | 0.45 | −2.46 |
| Sr | μg L−1 | <LOD | 22.0 | 27.1 | 29.0 | 0.3 | 0.3 | 29.0 | 19.6 | 24.5 | 13.2 | −1.72 | 2.94 |
| Sn | μg L−1 | 0.20 | <LOD | 0.33 | 19.5 | <LOD | 0.20 | 19.5 | 6.7 | 0.30 | 11.1 | 1.73 | - |
| Sb | μg L−1 | 0.40 | <LOD | 0.16 | <LOD | <LOD | 0.16 | 0.40 | 0.30 | 0.30 | 0.20 | - | - |
| Ba | μg L−1 | 12.3 | 5.8 | 12.0 | 11.3 | 5.1 | 5.1 | 12.3 | 9.3 | 11.3 | 3.5 | −0.58 | −3.14 |
| TOC | mg L−1 | 3.0 | 2.1 | 2.3 | 4.8 | 15.8 | 2.1 | 15.8 | 5.6 | 3.0 | 5.8 | 2.06 | 4.29 |
| TC | mg L−1 | 33.7 | 13.2 | 33.2 | 45.2 | 17.3 | 13.2 | 45.2 | 28.5 | 33.2 | 13.1 | −0.02 | −1.68 |
| TIC | mg L−1 | 30.7 | 11.1 | 30.9 | 40.4 | 1.6 | 1.6 | 40.4 | 22.9 | 30.7 | 16.0 | −0.52 | −1.74 |
| DOC | mg L−1 | 1.4 | 2.1 | 1.7 | 4.8 | 1.6 | 1.4 | 4.8 | 2.3 | 1.7 | 1.4 | 2.06 | 4.31 |
| DC | mg L−1 | 31.7 | 12.2 | 32.7 | 44.9 | 20.5 | 12.2 | 44.9 | 28.4 | 31.7 | 12.5 | −0.03 | −0.50 |
| DIC | mg L−1 | 30.3 | 10.1 | 31.1 | 40.1 | 18.9 | 10.1 | 40.1 | 26.1 | 30.3 | 11.7 | −0.40 | −0.79 |
| HCO3− | mg L−1 | 189 | 85 | 183 | 232 | 134 | 85 | 232 | 165 | 183 | 56 | −0.48 | −0.36 |
| Cl− | mg L−1 | 0.95 | 1.35 | 0.96 | 0.90 | 0.79 | 0.79 | 1.35 | 0.99 | 0.95 | 0.21 | 1.65 | 3.37 |
| NO3− | mg L−1 | 1.59 | 1.12 | 1.55 | 2.92 | 1.91 | 1.12 | 2.92 | 1.82 | 1.59 | 0.68 | 1.30 | 2.23 |
| SO42− | mg L−1 | 10.5 | 6.3 | 5.4 | 8.9 | 7.5 | 5.4 | 10.5 | 7.7 | 7.5 | 2.0 | 0.41 | −1.06 |
| NH4+ | mg L−1 | 0.06 | 0.11 | 0.12 | 0.16 | 0.04 | 0.04 | 0.16 | 0.10 | 0.11 | 0.05 | 0.02 | −1.37 |
| TDS | mg L−1 | 165 | 70 | 75 | 220 | 110 | 70 | 220 | 128 | 110 | 64 | 0.77 | −1.04 |
| Param. | Unit | C3wi1 1 | C3sp 1 | C3su 1 | C3au 1 | C3wi2 1 | Min. | Max. | Mean | Median | s 3 | Skew. | Kurt. |
|---|---|---|---|---|---|---|---|---|---|---|---|---|---|
| pH | 8.0 | 7.8 | 7.3 | 6.6 | 7.9 | 6.6 | 8.0 | 7.5 | 7.8 | 0.6 | −1.28 | 0.79 | |
| EC | µS cm−1 | 272 | 179 | 172 | 212 | 189 | 172 | 272 | 205 | 189 | 40 | 1.55 | 2.26 |
| Na | mg L−1 | 0.82 | 0.60 | 0.63 | 0.67 | 0.52 | 0.52 | 0.82 | 0.65 | 0.63 | 0.11 | 0.80 | 1.65 |
| Mg | mg L−1 | 0.95 | 0.48 | 0.68 | 0.66 | 0.74 | 0.48 | 0.95 | 0.70 | 0.68 | 0.17 | 0.34 | 1.42 |
| K | mg L−1 | 0.38 | 0.13 | 0.49 | 0.17 | 0.23 | 0.13 | 0.49 | 0.28 | 0.23 | 0.15 | 0.69 | −1.51 |
| Ca | mg L−1 | 50.0 | 31.2 | 28.6 | 35.0 | 45.4 | 28.6 | 50.0 | 38.0 | 35.0 | 9.3 | 0.49 | −2.26 |
| Al | μg L−1 | 18.2 | 4.2 | 3.3 | 0.8 | 5.0 | 0.8 | 18.2 | 6.3 | 4.2 | 6.8 | 1.92 | 4.03 |
| Fe | μg L−1 | 31.6 | 6.3 | 76.9 | 6.7 | 47.9 | 6.3 | 76.9 | 33.9 | 31.6 | 29.8 | 0.65 | −0.73 |
| Cr | μg L−1 | 0.9 | <LOD 2 | 1 | 2.2 | 1.3 | 0.9 | 2.2 | 1.4 | 1.2 | 0.6 | 1.55 | 2.23 |
| Mn | μg L−1 | 1.48 | <LOD | 1.37 | 0.04 | <LOD | 0.04 | 1.48 | 0.96 | 1.37 | 0.80 | −1.70 | - |
| Ni | μg L−1 | 4.1 | 1.2 | 2.7 | 2.9 | <LOD | 1.2 | 4.1 | 2.7 | 2.8 | 1.2 | −0.46 | 1.50 |
| Cu | μg L−1 | 0.8 | <LOD | 1.1 | <LOD | <LOD | 0.8 | 1.1 | 1.0 | 1.0 | 0.2 | - | - |
| Zn | μg L−1 | 2.5 | 1.4 | 6.0 | 3.7 | 5.0 | 1.4 | 6.0 | 3.7 | 3.7 | 1.9 | −0.02 | −1.52 |
| Sr | μg L−1 | <LOD | 23.9 | 23.2 | 17.0 | 34.3 | 17.0 | 34.3 | 24.6 | 23.6 | 7.2 | 0.85 | 1.87 |
| Sn | μg L−1 | <LOD | 0.2 | <LOD | 1.3 | <LOD | 0.2 | 1.3 | 0.8 | 0.8 | 0.8 | - | - |
| Sb | μg L−1 | <LOD | <LOD | <LOD | <LOD | <LOD | - | - | - | - | - | - | - |
| Ba | μg L−1 | 11.3 | 6.1 | 6.3 | 5.6 | 5.0 | 5.0 | 11.3 | 6.9 | 6.1 | 2.5 | 2.02 | 4.30 |
| TOC | mg L−1 | 2.2 | 3.1 | 1.2 | 3.0 | 16.6 | 1.2 | 16.6 | 5.2 | 3.0 | 6.4 | 2.16 | 4.73 |
| TC | mg L−1 | 30.8 | 20.0 | 25.9 | 34.2 | 19.2 | 19.2 | 34.2 | 26.0 | 25.9 | 6.6 | 0.18 | −2.31 |
| TIC | mg L−1 | 28.6 | 16.9 | 24.7 | 31.2 | 2.6 | 2.6 | 31.2 | 20.8 | 24.7 | 11.5 | −1.21 | 0.93 |
| DOC | mg L−1 | 1.8 | 2.8 | 1.1 | 2.5 | 2.5 | 1.1 | 2.8 | 2.1 | 2.5 | 0.7 | −1.01 | −0.10 |
| DC | mg L−1 | 30.1 | 18.7 | 22.2 | 33.67 | 22.4 | 18.7 | 33.7 | 25.4 | 22.4 | 6.2 | 0.52 | −1.85 |
| DIC | mg L−1 | 28.3 | 15.9 | 21.11 | 31.18 | 19.9 | 15.9 | 31.2 | 23.3 | 21.1 | 6.3 | 0.28 | −1.89 |
| HCO3− | mg L−1 | 177 | 110 | 128 | 164 | 134 | 110 | 177 | 143 | 134 | 27 | 0.23 | −1.75 |
| Cl− | mg L−1 | 0.98 | 1.28 | 0.59 | 0.91 | 0.82 | 0.59 | 1.28 | 0.92 | 0.91 | 0.25 | 0.34 | 1.11 |
| NO3− | mg L−1 | 0.95 | 0.64 | 0.69 | 1.41 | 1.39 | 0.64 | 1.41 | 1.02 | 0.95 | 0.37 | 0.21 | −2.99 |
| SO42- | mg L−1 | 10.3 | 4.0 | 3.6 | 5.1 | 5.1 | 3.6 | 10.3 | 5.6 | 5.1 | 2.7 | 1.92 | 3.91 |
| NH4+ | mg L−1 | 0.04 | 0.04 | 0.04 | 0.14 | 0.06 | 0.04 | 0.14 | 0.06 | 0.04 | 0.04 | 1.79 | 3.20 |
| TDS | mg L−1 | 165 | 92 | 58 | 190 | 100 | 58 | 190 | 121 | 100 | 55 | 0.34 | −1.98 |
| Cation | Anion | |||||
|---|---|---|---|---|---|---|
| Cl− | HCO3− | SO42− | ||||
| All Samples | without Outliers 1 | All Samples | without Outliers 2 | All Samples | without Outliers 3 | |
| Ca2+ | 0.0783 | 0.0009 | 0.6250 | 0.2338 | 0.5248 | 0.5720 |
| Mg2+ | 0.2227 | 0.4234 | 0.6148 | 0.6183 | 0.5577 | 0.7205 |
| Na+ | 0.0216 | 0.6777 | 0.1359 | 0.7905 | 0.2718 | 0.2312 |
| K+ | 0.0217 | 0.2605 | 0.0421 | 0.3079 | 0.0405 | 0.0008 |
| Param. | C11 | C12 | C13 | C14 | C15 | Min. | Max. | Mean | Median | s 1 | Skew. | Kurt. |
|---|---|---|---|---|---|---|---|---|---|---|---|---|
| Na | 211 | 477 | 540 | 124 | 111 | 111 | 540 | 293 | 211 | 202 | 0.51 | −2.86 |
| Mg | 6547 | 8290 | 7810 | 9707 | 5873 | 5873 | 9707 | 7645 | 7810 | 1503 | 0.26 | −0.77 |
| K | 2073 | 2973 | 3420 | 2333 | 3433 | 2073 | 3433 | 2847 | 2973 | 623 | −0.35 | −2.56 |
| Ca | 9567 | 17,443 | 13,463 | 16,687 | 10,023 | 9567 | 17,443 | 13,437 | 13,463 | 3648 | 0.01 | −2.85 |
| Al | 29,020 | 39,700 | 40,600 | 26,100 | 27,557 | 26,100 | 40,600 | 32,595 | 29,020 | 6981 | 0.52 | −3.13 |
| Fe | 35,067 | 40,167 | 43,433 | 44,340 | 39,667 | 35,067 | 44,340 | 40,535 | 40,167 | 3663 | −0.72 | 0.16 |
| P | 2092 | 2690 | 1326 | 1178 | 9990 | 1178 | 9990 | 3455 | 2092 | 3704 | 2.09 | 4.46 |
| S | 72.0 | 73.8 | 42.6 | 35.9 | 30.9 | 30.9 | 73.8 | 51.0 | 42.6 | 20.4 | 0.43 | −3.06 |
| Li | 14.9 | 10.2 | 23.2 | 10.2 | 27.8 | 10.2 | 27.8 | 17.3 | 14.9 | 7.9 | 0.55 | −2.12 |
| Be | 0.61 | 0.36 | 0.51 | 0.47 | 1.33 | 0.36 | 1.33 | 0.66 | 0.51 | 0.39 | 1.95 | 4.00 |
| Sc | 3.57 | 2.71 | 3.63 | 2.92 | 10.17 | 2.71 | 10.17 | 4.60 | 3.57 | 3.14 | 2.15 | 4.68 |
| V | 24.4 | 26.2 | 46.5 | 36.0 | 47.1 | 24.4 | 47.1 | 36.0 | 36.0 | 10.8 | −0.01 | −2.93 |
| Cr | 13.8 | 16.9 | 28.2 | 26.4 | 25.4 | 13.8 | 28.2 | 22.1 | 25.4 | 6.4 | −0.63 | −2.41 |
| Mn | 388 | 317 | 580 | 512 | 598 | 317 | 598 | 479 | 512 | 123 | −0.51 | −2.09 |
| Co | 5.6 | 4.2 | 8.6 | 12.4 | 8.6 | 4.2 | 12.4 | 7.9 | 8.6 | 3.1 | 0.41 | −0.26 |
| Ni | 11.1 | 8.3 | 19.0 | 21.5 | 17.0 | 8.3 | 21.5 | 15.4 | 17.0 | 5.5 | −0.38 | −2.01 |
| Cu | 11.7 | 7.9 | 17.6 | 11.0 | 17.3 | 7.9 | 17.6 | 13.1 | 11.7 | 4.2 | 0.08 | −2.22 |
| Zn | 30.0 | 37.4 | 41.0 | 36.0 | 46.7 | 30.0 | 46.7 | 38.2 | 37.4 | 6.2 | 0.10 | 0.40 |
| As | 8.58 | 6.53 | 4.08 | 2.10 | 3.84 | 2.10 | 8.58 | 5.02 | 4.08 | 2.54 | 0.53 | −0.75 |
| Rb | 14.8 | 11.0 | 17.7 | 11.0 | 35.0 | 11.0 | 35.0 | 17.9 | 14.8 | 9.9 | 1.82 | 3.44 |
| Sr | 40.6 | 26.2 | 56.7 | 18.3 | 42.4 | 18.3 | 56.7 | 36.8 | 40.6 | 14.9 | 0.06 | −0.83 |
| Y | 8.90 | 5.00 | 6.23 | 7.27 | 25.57 | 5.00 | 25.57 | 10.59 | 7.27 | 8.49 | 2.08 | 4.44 |
| Zr | 2.24 | 0.68 | 1.19 | 1.10 | 2.71 | 0.68 | 2.71 | 1.58 | 1.19 | 0.85 | 0.53 | −1.98 |
| Mo | 0.18 | 0.02 | 0.15 | 0.17 | 0.37 | 0.02 | 0.37 | 0.18 | 0.17 | 0.12 | 0.60 | 2.04 |
| Cd | 0.17 | 0.04 | 0.20 | 0.13 | 0.11 | 0.04 | 0.20 | 0.13 | 0.13 | 0.06 | −0.63 | 0.22 |
| Pb | 8.12 | 8.17 | 13.36 | 11.73 | 7.27 | 7.27 | 13.36 | 9.73 | 8.17 | 2.66 | 0.73 | −2.02 |
| Sn | 0.51 | 1.87 | 0.44 | 0.28 | 0.80 | 0.28 | 1.87 | 0.78 | 0.51 | 0.64 | 1.79 | 3.30 |
| Sb | 0.12 | 0.01 | 0.03 | 0.03 | 0.11 | 0.01 | 0.12 | 0.06 | 0.03 | 0.05 | 0.53 | −3.03 |
| Ba | 161.2 | 66.4 | 78.8 | 117.2 | 165.1 | 66.4 | 165.1 | 117.7 | 117.2 | 45.5 | −0.03 | −2.80 |
| Cs | 0.9 | 0.9 | 0.8 | 0.5 | 1.5 | 0.5 | 1.5 | 0.9 | 0.9 | 0.3 | 1.08 | 2.51 |
| La | 15.2 | 13.2 | 13.8 | 15.0 | 38.6 | 13.2 | 38.6 | 19.2 | 15.0 | 10.9 | 2.21 | 4.89 |
| Ce | 33.2 | 33.7 | 36.1 | 37.4 | 82.8 | 33.2 | 82.8 | 44.6 | 36.1 | 21.4 | 2.20 | 4.87 |
| Pr | 3.9 | 3.6 | 3.6 | 4.0 | 9.3 | 3.6 | 9.3 | 4.9 | 3.9 | 2.5 | 2.21 | 4.92 |
| Nd | 14.6 | 13.7 | 13.5 | 13.5 | 31.6 | 13.5 | 31.6 | 17.4 | 13.7 | 8.0 | 2.22 | 4.93 |
| Sm | 2.9 | 3.1 | 2.5 | 2.6 | 6.0 | 2.5 | 6.0 | 3.4 | 2.9 | 1.5 | 2.09 | 4.47 |
| Eu | 0.5 | 0.6 | 0.5 | 0.5 | 1.1 | 0.5 | 1.1 | 0.7 | 0.5 | 0.3 | 2.20 | 4.87 |
| Gd | 3.4 | 2.7 | 2.5 | 2.7 | 6.6 | 2.5 | 6.6 | 3.6 | 2.7 | 1.7 | 2.01 | 4.10 |
| Tb | 0.39 | 0.35 | 0.34 | 0.35 | 0.84 | 0.34 | 0.84 | 0.45 | 0.35 | 0.22 | 2.19 | 4.81 |
| Dy | 1.87 | 1.73 | 1.61 | 1.77 | 4.30 | 1.61 | 4.30 | 2.26 | 1.77 | 1.15 | 2.20 | 4.88 |
| Ho | 0.33 | 0.30 | 0.28 | 0.32 | 0.79 | 0.28 | 0.79 | 0.40 | 0.32 | 0.22 | 2.19 | 4.84 |
| Er | 1.00 | 0.80 | 0.75 | 0.82 | 2.08 | 0.75 | 2.08 | 1.09 | 0.82 | 0.56 | 2.08 | 4.38 |
| Yb | 0.88 | 0.77 | 0.73 | 0.77 | 1.78 | 0.73 | 1.78 | 0.99 | 0.77 | 0.45 | 2.15 | 4.69 |
| Lu | 0.14 | 0.11 | 0.10 | 0.11 | 0.25 | 0.10 | 0.25 | 0.14 | 0.11 | 0.06 | 1.90 | 3.58 |
| Hf | 0.08 | 0.02 | 0.03 | 0.03 | 0.06 | 0.02 | 0.08 | 0.05 | 0.03 | 0.02 | 1.12 | 0.13 |
| W | 0.18 | 0.03 | 0.03 | 0.03 | 0.05 | 0.03 | 0.18 | 0.06 | 0.03 | 0.07 | 2.14 | 4.64 |
| Tl | 0.22 | 0.14 | 0.11 | 0.09 | 0.18 | 0.09 | 0.22 | 0.15 | 0.14 | 0.05 | 0.55 | −0.89 |
| Th | 27.33 | 14.50 | 16.40 | 22.57 | 32.67 | 14.50 | 32.67 | 22.69 | 22.57 | 7.54 | 0.28 | −1.66 |
| Ga | 4.07 | 3.79 | 4.87 | 3.37 | 9.93 | 3.37 | 9.93 | 5.21 | 4.07 | 2.70 | 2.02 | 4.17 |
| Mineral Group | Mineral Species | Chemical Formula | Abundance 1 | ||||
|---|---|---|---|---|---|---|---|
| C11 | C12 | C13 | C14 | C15 | |||
| Oxide | Quartz | SiO2 | ++ | ++ | ++ | ++ | ++ |
| Carbonates | Calcite | CaCO3 | + | + | + | + | + |
| Silicates | Albite | NaAlSi3O8 | + | + | ++ | ++ | ± |
| Muscovite calcian | (K,Ca,Na)(Al,Mg,Fe)2(Si,Al)4O10(OH)2 | + | + | + | + | + | |
| Illite | (K,H30)Al2(Si3,Al)O10(OH)2 × H2O | ± | ± | ± | ± | ± | |
| Microcline-(Potassium-feldspar) | KAlSi3O8 | ± | ± | ± | ± | ± | |
| Gismondine | CaAl2Si2O8 × 4(H2O) | ± | ± | ± | ± | ± | |
| Sulfate | Gypsum | CaSO4 × 2H2O | ± | ± | ± | ± | ± |
| Parameters | Factor 1 | Factor 2 | Factor 3 | Factor 4 | Factor 5 |
|---|---|---|---|---|---|
| pH | −0.61 | −0.40 | 0.27 | −0.46 | 0.07 |
| EC | 0.61 | 0.34 | 0.28 | 0.27 | 0.22 |
| Na | 0.22 | 0.49 | 0.23 | 0.03 | 0.46 |
| Mg | 0.80 | 0.15 | 0.33 | −0.05 | 0.28 |
| K | 0.19 | −0.23 | 0.30 | 0.07 | 0.79 |
| Ca | 0.88 | −0.25 | −0.03 | 0.30 | −0.19 |
| Al | 0.05 | −0.89 | −0.11 | −0.06 | 0.14 |
| Fe | 0.09 | −0.96 | −0.08 | −0.08 | 0.03 |
| Cr | 0.56 | 0.49 | −0.08 | 0.60 | −0.08 |
| Mn | 0.00 | 0.26 | 0.11 | −0.16 | 0.91 |
| Ni | 0.77 | −0.46 | −0.03 | 0.37 | −0.22 |
| Cu | 0.01 | 0.23 | 0.82 | −0.09 | 0.50 |
| Zn | 0.20 | −0.58 | 0.72 | −0.15 | −0.19 |
| Sr | 0.83 | −0.10 | 0.03 | 0.28 | −0.00 |
| Sn | 0.48 | 0.11 | −0.19 | 0.72 | −0.12 |
| Sb | 0.02 | 0.15 | 0.92 | −0.04 | 0.17 |
| Ba | 0.77 | −0.30 | 0.10 | 0.24 | 0.33 |
| TOC | 0.19 | −0.91 | 0.07 | −0.03 | −0.25 |
| TC | 0.71 | 0.48 | 0.11 | 0.39 | 0.26 |
| TIC | 0.45 | 0.75 | 0.05 | 0.30 | 0.31 |
| DOC | 0.27 | 0.10 | −0.26 | 0.76 | −0.40 |
| DC | 0.77 | 0.30 | 0.10 | 0.44 | 0.25 |
| DIC | 0.78 | 0.31 | 0.14 | 0.38 | 0.30 |
| HCO3− | 0.92 | −0.14 | −0.08 | 0.25 | −0.14 |
| Cl− | −0.77 | 0.24 | −0.03 | 0.34 | −0.21 |
| NO3− | 0.50 | −0.32 | 0.12 | 0.75 | 0.09 |
| SO42− | 0.29 | −0.06 | 0.29 | 0.10 | 0.08 |
| NH4+ | 0.14 | 0.20 | 0.02 | 0.89 | 0.09 |
| TDS | 0.66 | 0.18 | 0.09 | 0.40 | −0.24 |
| Eigenvalue | 12.6 | 5.8 | 4.8 | 1.9 | 1.4 |
| Total var. (%) | 43.4 | 20.1 | 16.7 | 6.7 | 4.7 |
| Cumulative (%) | 43.4 | 63.5 | 80.2 | 86.9 | 91.6 |
| Element | Factor 1 | Factor 2 | Factor 3 | Factor 4 |
|---|---|---|---|---|
| Na | −0.37 | −0.13 | −0.84 | 0.37 |
| Mg | −0.19 | 0.96 | 0.21 | 0.01 |
| K | −0.41 | 0.01 | −0.91 | −0.01 |
| Ca | −0.24 | 0.81 | −0.47 | 0.26 |
| Al | −0.28 | −0.28 | −0.91 | 0.15 |
| Fe | −0.18 | 0.91 | 0.36 | −0.04 |
| P | 1.00 | 0.02 | −0.05 | −0.00 |
| Li | 0.09 | 0.87 | −0.39 | 0.29 |
| Be | 0.96 | 0.05 | 0.26 | 0.06 |
| Sc | 0.98 | −0.04 | 0.16 | 0.10 |
| V | 0.49 | −0.66 | 0.35 | 0.44 |
| Cr | 0.12 | 0.98 | −0.13 | 0.09 |
| Mn | −0.19 | 0.88 | −0.30 | −0.31 |
| Co | 0.18 | 0.98 | 0.02 | −0.07 |
| Ni | 0.11 | 0.99 | −0.00 | 0.03 |
| Cu | 0.10 | 0.99 | −0.04 | −0.04 |
| Zn | 0.06 | 0.97 | 0.05 | −0.23 |
| As | −0.09 | 0.88 | −0.46 | 0.07 |
| Rb | 0.94 | −0.04 | 0.19 | 0.26 |
| Sr | 0.09 | 0.16 | −0.35 | 0.92 |
| Y | 0.98 | 0.02 | 0.21 | −0.02 |
| Zr | 0.74 | 0.46 | 0.49 | 0.06 |
| Mo | 0.94 | −0.01 | 0.35 | −0.03 |
| Cd | 0.01 | 0.96 | 0.26 | −0.09 |
| Pb | −0.69 | 0.44 | 0.43 | −0.39 |
| Sn | 0.08 | 0.09 | −0.99 | −0.11 |
| Sb | 0.58 | 0.71 | 0.38 | 0.15 |
| Ba | −0.33 | 0.56 | −0.72 | 0.23 |
| Cs | 0.93 | 0.21 | −0.15 | 0.27 |
| W | −0.04 | 0.96 | 0.27 | 0.08 |
| Tl | 0.38 | 0.92 | 0.06 | 0.07 |
| Th | 0.73 | 0.33 | 0.54 | −0.25 |
| Ga | 0.97 | −0.07 | 0.10 | 0.21 |
| S | −0.46 | 0.72 | −0.52 | −0.01 |
| La | 0.99 | −0.06 | 0.14 | −0.02 |
| Ce | 0.98 | −0.15 | 0.12 | −0.00 |
| Pr | 0.99 | −0.08 | 0.12 | −0.04 |
| Nd | 1.00 | −0.02 | 0.09 | 0.01 |
| Sm | 1.00 | 0.02 | −0.05 | −0.02 |
| Eu | 1.00 | −0.05 | 0.01 | 0.01 |
| Gd | 0.99 | 0.12 | 0.12 | −0.04 |
| Tb | 0.99 | 0.01 | 0.11 | −0.02 |
| Dy | 0.99 | −0.02 | 0.09 | −0.04 |
| Ho | 0.99 | −0.02 | 0.10 | −0.06 |
| Er | 0.99 | 0.08 | 0.13 | −0.04 |
| Yb | 0.99 | 0.04 | 0.11 | −0.02 |
| Lu | 0.98 | 0.18 | 0.12 | −0.02 |
| Hf | 0.34 | 0.85 | 0.30 | 0.26 |
| Eigenvalue | 25.6 | 15.6 | 6.0 | 1.8 |
| Total Variance (%) | 52.2 | 31.9 | 12.3 | 3.6 |
| Cumulative (%) | 52.2 | 84.1 | 96.4 | 100 |
Publisher’s Note: MDPI stays neutral with regard to jurisdictional claims in published maps and institutional affiliations. |
© 2021 by the authors. Licensee MDPI, Basel, Switzerland. This article is an open access article distributed under the terms and conditions of the Creative Commons Attribution (CC BY) license (https://creativecommons.org/licenses/by/4.0/).
Share and Cite
Torok, A.I.; Levei, E.A.; Constantin, S.; Moldovan, O.T.; Senila, M.; Cadar, O.; Casoni, D.; Angyus, S.B.; Tanaselia, C.; Covaci, E.; et al. Application of Inductively Coupled Plasma Spectrometric Techniques and Multivariate Statistical Analysis in the Hydrogeochemical Profiling of Caves—Case Study Cloșani, Romania. Molecules 2021, 26, 6788. https://doi.org/10.3390/molecules26226788
Torok AI, Levei EA, Constantin S, Moldovan OT, Senila M, Cadar O, Casoni D, Angyus SB, Tanaselia C, Covaci E, et al. Application of Inductively Coupled Plasma Spectrometric Techniques and Multivariate Statistical Analysis in the Hydrogeochemical Profiling of Caves—Case Study Cloșani, Romania. Molecules. 2021; 26(22):6788. https://doi.org/10.3390/molecules26226788
Chicago/Turabian StyleTorok, Anamaria Iulia, Erika Andrea Levei, Silviu Constantin, Oana Teodora Moldovan, Marin Senila, Oana Cadar, Dorina Casoni, Simion Bogdan Angyus, Claudiu Tanaselia, Eniko Covaci, and et al. 2021. "Application of Inductively Coupled Plasma Spectrometric Techniques and Multivariate Statistical Analysis in the Hydrogeochemical Profiling of Caves—Case Study Cloșani, Romania" Molecules 26, no. 22: 6788. https://doi.org/10.3390/molecules26226788
APA StyleTorok, A. I., Levei, E. A., Constantin, S., Moldovan, O. T., Senila, M., Cadar, O., Casoni, D., Angyus, S. B., Tanaselia, C., Covaci, E., & Frentiu, T. (2021). Application of Inductively Coupled Plasma Spectrometric Techniques and Multivariate Statistical Analysis in the Hydrogeochemical Profiling of Caves—Case Study Cloșani, Romania. Molecules, 26(22), 6788. https://doi.org/10.3390/molecules26226788

