Synthesis of Halogenated 1,5-Diarylimidazoles and Their Inhibitory Effects on LPS-Induced PGE2 Production in RAW 264.7 Cells
Abstract
:1. Introduction
2. Results and Discussion
2.1. Synthesis of Halogenated 5-Aryl-1-(4-methylsulfonylphenyl)imidazoles Analogs
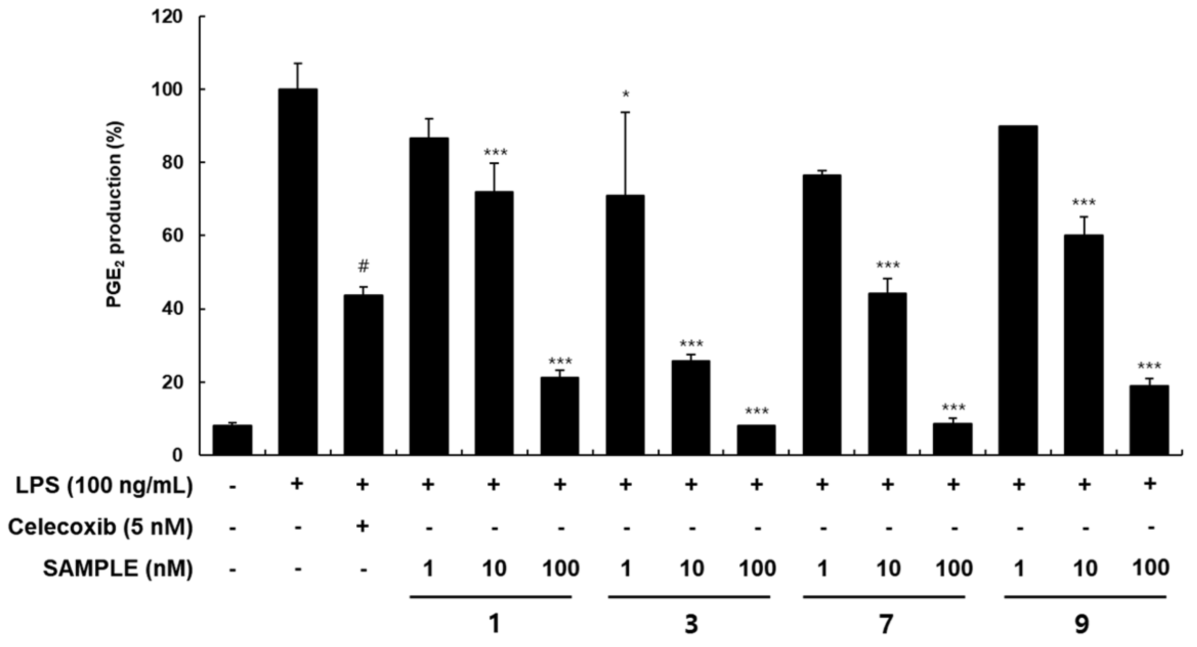
2.2. RAW 264.7 Cell Culture and Measurement of PGE2 Concentrations
3. Conclusions
4. Materials and Methods
4.1. General
4.1.1. General Procedure for Synthesis of Intermediates Ia and Ib
- 5-(4-methoxyphenyl)-1-(4-methylthiophenyl)imidazole (Ia). Yellow solid, 10%; 1H-NMR (300 MHz, CDCl3) δ 7.65 (s, 1H, 2-H), 7.24 (d, J = 8.6 Hz, 2H, Ar-H), 7.18 (s, 1H, 4-H), 7.08 (m, 4H, Ar-H), 6.81 (d, J = 8.8 Hz, 2H, Ar-H), 3.79 (s, 3H, OCH3), 2.50 (s, 3H, SCH3).
- 5-(4-chorophenyl)-1-(4-methylthiophenyl)imidazole (Ib) Yellow solid, 49%; 1H-NMR (300 MHz, CDCl3) δ 7.67 (d, J = 1.0 Hz, 1H, 2-H), 7.30–7.20 (m, 5H, Ar-H, 4-H), 7.07 (m, 4H, Ar-H), 2.51 (s, 3H, CH3).
4.1.2. General Procedure for Synthesis of Parent Compounds 1 and 11
- 1-(4-methylsulfonylphenyl)-5-(4-methoxyphenyl)imidazole (1). White solid, 84%; 1H-NMR (300 MHz, CDCl3) δ 7.95 (d, J = 8.6 Hz, 2H, Ar-H), 7.74 (s, 1H, 2-H), 7.38 (d, J = 8.6 Hz, 2H, Ar-H), 7.22 (s, 1H, 4-H), 7.05 (d, J = 8.8 Hz, 2H, Ar-H), 6.84 (d, J = 8.8 Hz, 2H, Ar-H), 3.80 (s, 3H, OCH3), 3.08 (s, 3H, SO2CH3); ESIMS: m/z [M + H]+ 329.1
- 5-(4-chorophenyl)-1-(4-methylsulfonylphenyl)imidazole (11). Yellow solid, 87%; 1H-NMR (300 MHz, CDCl3) δ 8.02 (d, J = 8.6 Hz, 2H, Ar-H), 7.78 (s, 1H, 2-H), 7.30 (m, 5H, Ar-H, 4-H), 7.05 (d, J = 8.5 Hz, 2H, Ar-H), 3.11 (s, 3H, CH3).
4.1.3. General Procedure for Synthesis of Halogenated 5-Aryl-1-(4-methysulfonylphenyl)imidazole Analogs 3, 13, and 16 (Check Supplementary Materials for Other Compounds)
- 4-chloro-1-(4-methylsulfonylphenyl)-5-(4-methoxyphenyl)imidazole (3). White solid, 41%; 1H-NMR (300 MHz, CDCl3) δ 7.95 (d, J = 8.6 Hz, 2H, Ar-H), 7.65 (s, 1H, 2-H), 7.32 (d, J = 8.6 Hz, 2H, Ar-H), 7.11 (d, J = 8.8 Hz, 2H, Ar-H), 6.88 (d, J = 8.8 Hz, 2H, Ar-H), 3.82 (s, 3H, OCH3), 3.09 (s, 3H, SO2CH3); 13C-NMR (150 MHz, CDCl3) δ 159.9, 140.6, 135.0, 129.1, 129.0, 127.1, 125.7, 118.7, 114.4, 55.3, 44.4; HRMS (EI) m/z Calcd for C17H15ClN2O3S [M] + 362.0492 Found 362.0493.
- 4-chloro-5-(4-chorophenyl)-1-(4-methylsulfonylphenyl)imidazole (13). Yellow solid, 20%; 1H-NMR (300 MHz, CDCl3) δ 8.00 (d, J = 8.6 Hz, 2H, Ar-H), 7.67 (s, 1H, 2-H), 7.32 (m, 4H, Ar-H), 7.13 (d, J = 8.5 Hz, 2H, Ar-H), 3.10 (s, 3H, CH3); 13C-NMR (150 MHz, CDCl3) δ140.8, 140.1, 135.9, 135.2, 131.0, 129.3, 129.2, 125.8, 124.9, 55.1, 49.2, 44.4; HRMS (EI) m/z Calcd for C16H12Cl2N2O2S [M] + 365.9997 Found 365.9994.
- 4-bromo-5-(4-chorophenyl)-1-(4-methylsulfonylphenyl)imidazole (16). Yellow solid, 50%; 1H-NMR (300 MHz, CDCl3) δ 7.98 (d, J = 8.7 Hz, 2H, Ar-H), 7.72 (s, 1H, 2-H), 7.33 (m, 4H, Ar-H), 7.16 (d, J = 8.6 Hz, 2H, Ar-H), 3.10 (s, 3H, CH3); 13C-NMR (150 MHz, CDCl3) δ 140.5, 140.3, 137.1, 135.0, 131.2, 129.2, 129.2, 128.6, 125.8, 125.7, 117.6, 44.4; HRMS (EI) m/z Calcd for C16H12BrClN2O2S [M] + 409.9491 Found 409.9490.
4.1.4. Alternative Procedure for Synthesis of 2-Halogenated 5-aryl-1-(4-methylsulfonylphenyl)imidazole Analogs (Check Supplementary Materials for Other Compounds)
- 2-bromo-5-(4-methoxyphenyl)-1-(4-methylsulfonylphenyl)imidazole (7). White solid, 12%; 1H-NMR (300 MHz, CDCl3) δ 7.96 (d, J = 8.7 Hz, 2H, Ar-H), 7.64 (s, 1H, 4-H), 7.32 (d, J = 8.7 Hz, 2H, Ar-H), 7.12 (d, J = 8.8 Hz, 2H, Ar-H), 6.88 (d, J = 8.8 Hz, 2H, Ar-H), 3.82 (s, 3H, OCH3), 3.09 (s, 3H, SO2CH3); 13C-NMR (150 MHz, CDCl3) δ 159.9, 140.7, 140.1, 136.4, 131.3, 129.6, 129.0, 125.7, 119.3, 116.9, 114.3, 55.3, 44.4; HRMS (EI) m/z Calcd for C17H15BrN2O3S [M] + 405.9987 Found 405.9988.
4.2. Biology
4.2.1. Cell Culture and Sample Treatment
4.2.2. MTT Assay for Cytotoxicity
4.2.3. Measurement of NO and PGE2 Production
4.2.4. Effects of Samples on the COX-1 and COX-2 Activity
4.2.5. Statistical Analysis
Supplementary Materials
Author Contributions
Funding
Institutional Review Board Statement
Informed Consent Statement
Data Availability Statement
Acknowledgments
Conflicts of Interest
Sample Availability
Abbreviations
| IC50 | 50% inhibitory concentration |
| SAR | structure activity relationship |
| LPS | lipopolysaccharide |
| SD | standard deviation |
| NMR | nuclear magnetic resonance |
| HRMS | high resolution mass |
| DMSO | dimethyl sulfoxide |
| DMEM | Dulbecco’s modified Eagle’s media |
| FES | fetal bovine serum |
| HEPES | hydroxyethyl piperazine ethane sulfonic acid |
References
- Needleman, P.; Isakson, P.C. The discovery and function of COX-2. J. Rheumatol. 1997, 49, 6–8. [Google Scholar]
- Kiani, A.; Rezaee, E.; Tabatabai, S.A. Novel Group of Imidazole Derivatives as Atypical Selective Cyclooxygenase-2 Inhibitors: Design, Synthesis and Biological Evaluation. Iran. J. Pharm. Res. 2018, 17, 78–86. [Google Scholar]
- Carullo, G.; Galligano, F.; Aiello, F. Structure–activity relationships for the synthesis of selective cyclooxygenase 2 inhibitors: An overview (2009–2016). Medchemcomm 2017, 8, 492–500. [Google Scholar] [CrossRef] [PubMed]
- Al-Turki, D.A.; Al-Omar, M.A.; Laila, A.; Abou-zeid, L.A.; Shehata, I.A.; Al-Awady, M.S. Design, synthesis, molecular modeling and biological evaluation of novel diaryl heterocyclic analogs as potential selective cyclooxygenase-2 (COX-2) inhibitors. Saudi Pharm. J. 2017, 25, 59–69. [Google Scholar] [CrossRef] [PubMed] [Green Version]
- Szczukowski, Ł.; Krzyżak, E.; Zborowska, A.; Zając, P.; Potyrak, K.; Peregrym, K.; Wiatrak, B.; Marciniak, A.; Świątek, P. Design, Synthesis and Comprehensive Investigations of Pyrrolo[3,4-d]pyridazinone-Based 1,3,4-Oxadiazole as New Class of Selective COX-2 Inhibitors. Int. J. Mol. Sci. 2020, 21, 9623. [Google Scholar] [CrossRef] [PubMed]
- Black, W.C. Selective Cyclooxygenase-2 Inhibitors. Annu. Rep. Med. Chem. 2004, 39, 125–136. [Google Scholar]
- Singh, S.K.; Vobbalareddy, S.; Shivaramakrishna, S.; Krishnamaraju, A.; Abdul Rajjak, S.; Casturi, S.R.; Akhila, V.; Rao, Y.K. Methanesulfonamide group at position-4 of the C-5-phenyl ring of 1,5-diarylpyrazole affords a potent class of cyclooxygenase-2 (COX-2) inhibitors. Bioorg. Med. Chem. Lett. 2004, 14, 1683–1688. [Google Scholar] [CrossRef] [PubMed]
- Singh, S.K.; Reddy, P.G.; Rao, K.S.; Lohray, B.B.; Misra, P.; Rajjak, S.A.; Rao, Y.K.; Venkateswarlu, A. Polar substitutions in the benzenesulfonamide ring of celecoxib afford a potent 1,5- diarylpyrazole class of COX-2 inhibitors. Bioorg. Med. Chem. Lett. 2004, 14, 499–504. [Google Scholar] [CrossRef] [PubMed]
- Zarghi, A.; Rao, P.N.P.; Knaus, E.E. Synthesis and biological evaluation of methanesulfonamide analogs of rofecoxib: Replacement of methanesulfonyl by methanesulfonamido decrease cyclooxygenase-2 selectivity. Bioorg. Med. Chem. 2007, 15, 1056–1061. [Google Scholar] [CrossRef] [PubMed]
- Navidpour, L.; Shadnia, H.; Shafaroodi, H.; Amini, M.; Dehpour, A.R.; Shafiee, A. Design, synthesis, and biological evaluation of substituted 2-alkylthio-1,5-diarylimidazoles as selective COX-2 inhibitors. Bioorg. Med. Chem. 2007, 15, 1976–1982. [Google Scholar] [CrossRef] [PubMed]
- Truong, N.T.; Sin, K.-S.; Kim, H.P.; Park, H. Synthesis and Antiinflammatory Activity of 1,5-Diarylimidazoles. Arch. Pharm. Res. 2005, 28, 1013–1018. [Google Scholar]
- Che, H.; Truong, N.T.; Kim, H.P.; Park, H. 1,5-Diarylimidazoles with strong inhibitory activity against COX-2 catalyzed PGE2 production from LPS-induced RAW 264.7 cells. Bioorg. Med. Chem. Lett. 2010, 20, 4035–4037. [Google Scholar] [CrossRef] [PubMed]
- Yang, Z.; Truong, T.N.; Pham, T.-A.N.; Lee, J.-W.; Kim, S.-S.; Park, H. Synthesis of 1,5-diarylhaloimidazole analogs and their inhibitory activity against COX-2 catalyzed PGE2 production from LPS-induced RAW 264.7 cells. Bioorg. Med. Chem. 2012, 20, 6256–6259. [Google Scholar] [CrossRef] [PubMed]
- Carrenõ, M.C.; Ruano, J.L.G.; Sanz, G.; Toledo, M.A.; Urbano, A. Mild and regiospecific nuclear iodination of methoxybenzenes and naphthalenes with N-iodosuccinimide in acetonitrile. Tetrahedron Lett. 1996, 37, 4081–4084. [Google Scholar] [CrossRef]
- Kim, K.J.; Choi, M.J.; Shin, J.S.; Kim, M.; Choi, H.E.; Kang, S.M.; Jin, J.H.; Lee, K.T.; Lee, J.Y. Synthesis, biological evaluation, and docking analysis of a novel family of 1-methyl-1H-pyrrole-2,5-diones as highly potent and selective cyclooxygenase-2 (COX-2) inhibitors. Bioorg. Med. Chem. Lett. 2014, 24, 1958–1962. [Google Scholar] [CrossRef] [PubMed]








| Entry No. (R/OCH3) | bX | Method Yield | % Inhibition b, c (IC50 nM ± S.D.) | Entry No. (R/Cl) | bX | Method Yield | % Inhibition c, d (IC50 nM ± S.D.) |
|---|---|---|---|---|---|---|---|
| 1 | - | - | 89.67 (33.9 ± 0.67) | 11 | - | - | 84.57 |
| 2 | 2, 4Cl | A, 15% | 54.82 | 12 | 2, 4Cl | A, 24% | 10.62 |
| 3 | 4Cl | A, 41% | 87.22 (3.3 ± 2.93) | 13 | 4Cl | A, 20% | 91.17 (5.3 ± 0.23) |
| 4 | 2Cl | B, 14% | 23.64 | 14 | 2Cl | B, 12% | 17.83 |
| 5 | 2, 4Br | A, 15% | 53.26 | 15 | 2, 4Br | A, 15% | 1.87 |
| 6 | 4Br | A, 68% | 82.82 | 16 | 4Br | A, 50% | 94.74 (7.1 ± 1.50) |
| 7 | 2Br | B, 12% | 86.60 (6.2 ± 0.68) | 17 | 2Br | A, 11% | 20.43 |
| 8 | 2, 4I | A, 5% | 79.04 | 18 | 2, 4I | A, 14% | 75.65 |
| 9 | 4I | A, 23% | 95.59 (15.0 ± 2.57) | 19 | 4I | A, 42% | 94.20 (22.8 ± 5.77) |
| 10 | 2I | A, 6% | 89.58 (66.5 ± 13.66) | 20 | 2I | A, 24% | 79.86 |
| Celecoxib | 92.33 (8.70 ± 1.35) | ||||||
Publisher’s Note: MDPI stays neutral with regard to jurisdictional claims in published maps and institutional affiliations. |
© 2021 by the authors. Licensee MDPI, Basel, Switzerland. This article is an open access article distributed under the terms and conditions of the Creative Commons Attribution (CC BY) license (https://creativecommons.org/licenses/by/4.0/).
Share and Cite
Yang, Z.; Fang, Y.; Kim, J.-M.; Lee, K.-T.; Park, H. Synthesis of Halogenated 1,5-Diarylimidazoles and Their Inhibitory Effects on LPS-Induced PGE2 Production in RAW 264.7 Cells. Molecules 2021, 26, 6093. https://doi.org/10.3390/molecules26206093
Yang Z, Fang Y, Kim J-M, Lee K-T, Park H. Synthesis of Halogenated 1,5-Diarylimidazoles and Their Inhibitory Effects on LPS-Induced PGE2 Production in RAW 264.7 Cells. Molecules. 2021; 26(20):6093. https://doi.org/10.3390/molecules26206093
Chicago/Turabian StyleYang, Zunhua, Yuanying Fang, Jae-Min Kim, Kyung-Tae Lee, and Haeil Park. 2021. "Synthesis of Halogenated 1,5-Diarylimidazoles and Their Inhibitory Effects on LPS-Induced PGE2 Production in RAW 264.7 Cells" Molecules 26, no. 20: 6093. https://doi.org/10.3390/molecules26206093
APA StyleYang, Z., Fang, Y., Kim, J.-M., Lee, K.-T., & Park, H. (2021). Synthesis of Halogenated 1,5-Diarylimidazoles and Their Inhibitory Effects on LPS-Induced PGE2 Production in RAW 264.7 Cells. Molecules, 26(20), 6093. https://doi.org/10.3390/molecules26206093

