11-Keto-α-Boswellic Acid, a Novel Triterpenoid from Boswellia spp. with Chemotaxonomic Potential and Antitumor Activity against Triple-Negative Breast Cancer Cells
Abstract
1. Introduction
2. Results and Discussion
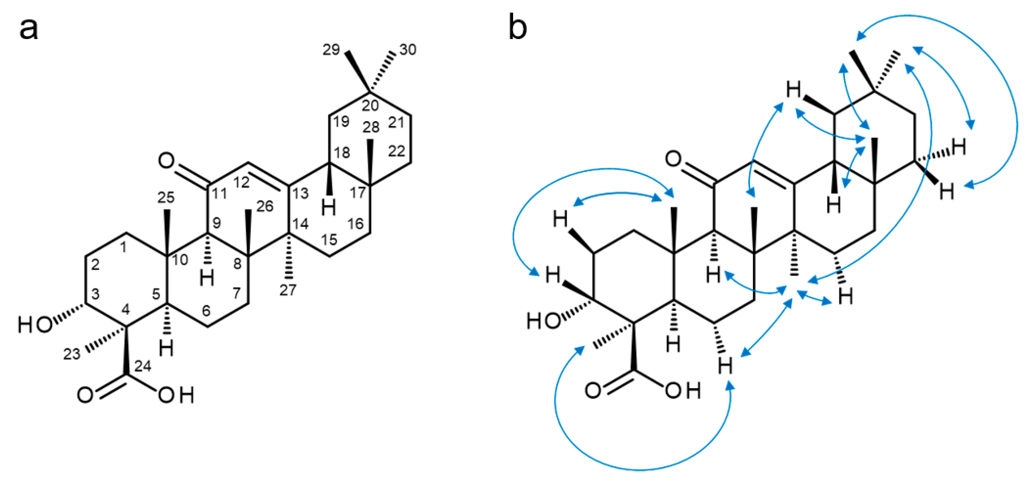
2.1. Synthesis and Characterization of 11-Keto-α-Boswellic Acid (α-KBA)
2.2. Method Development for Chromatographic Separation of Constitutional Isomers of Keto-Boswellic Acids
2.3. Selective Quantification of 11-Keto-Boswellic Acids (KBAs) and Acetyl-11-Keto-Boswellic Acids (AKBAs) in Oleogum Resins of Boswellia spp.
2.4. Investigation of Essentials Oils from the Oleogum Resins of Boswellia spp.
2.5. Chemotaxomic Classification of Boswellia spp. on the Basis of Boswellic Acid and Essential Oil Compositions
2.5.1. Boswellia sacra Flueck.
2.5.2. Boswellia serrata Roxb. ex. Colebr.
2.5.3. Boswellia papyrifera Hochst.
2.5.4. Boswellia dalzielli Hutch.
2.5.5. Boswellia carterii Birdw.
2.5.6. Boswellia frereana Birdw.
2.5.7. Boswellia occulta Thulin, DeCarlo & S. P. Johnson
2.5.8. Boswellia neglecta S. Moore and Boswellia rivae Engl.
2.6. Cytotoxic Efficacy of 11-Keto-α-Boswellic Acid (α-KBA) against Triple-Negative Human Breast Cancer Cells In Vitro and In Vivo
3. Materials and Methods
3.1. Material and Samples
3.2. Synthesis of α-KBA
3.3. Charactization and Structure Elucidation of α-KBA
3.4. Quantification of 11-Keto-Boswellic Acids and Acetyl-11-Keto-Boswellic Acids by HPLC-MS/MS
3.5. Preparation and Analysis of Essential Oils of Boswellia Oleogum Resins
3.6. Analysis of Antiproliferative and Cytotoxic Effects In Vitro
3.7. Human Tumors Xenografted onto the Chick Choriallantoic Membrane
3.8. Statistical Analysis
4. Conclusions
Supplementary Materials
Author Contributions
Funding
Institutional Review Board Statement
Informed Consent Statement
Data Availability Statement
Acknowledgments
Conflicts of Interest
Sample Availability
Appendix A
| Compound | Regression Equation 1 | LOD 2 [ng/mL] | LOQ 2 [ng/mL] | |||
|---|---|---|---|---|---|---|
| Slope (a) | Offset (b) | R2 | Lin. Test | |||
| α-KBA | 164.7 | 1130.8 | 0.9996 | linear | 6.0 | 21.1 |
| β-KBA | 170.9 | 366.8 | 0.9999 | linear | 4.8 | 17.0 |
| α-AKBA | 408.6 | 1000.1 | 0.9997 | linear | 2.3 | 8.5 |
| β-AKBA | 420.2 | 1002.5 | 0.9997 | linear | 3.7 | 13.4 |
| Compound | Intraday and Interday Precision 1 (RSD) | Recovery 2 [%] | ||||
|---|---|---|---|---|---|---|
| Low Level [%] | High Level [%] | |||||
| Intraday | Interday | Intraday | Interday | Mean | SD | |
| α-KBA | 5.1 | 1.6 | 5.1 | 6.3 | 97.2 | 4.1 |
| β-KBA | 6.0 | 2.7 | 5.4 | 3.5 | 98.9 | 4.1 |
| α-AKBA | 5.2 | 7.5 | 2.6 | 7.6 | 90.9 | 4.6 |
| β-AKBA | 4.3 | 4.8 | 3.1 | 8.7 | 98.4 | 3.2 |
References
- Martinetz, D.; Lohs, K.; Janzen, J. Weihrauch und Myrrhe: Kulturgeschichte und wirtschaftliche Bedeutung, Botanik, Chemie, Medizin; Wissenschaftliche Verlangsgesellschaft mbH: Stuttgart, Germany, 1988; Volume 43–88, pp. 101–168. [Google Scholar]
- Bongers, F.; Groenendijk, P.; Bekele, T.; Birhane, E.; Damtew, A.; Decuyper, M.; Eshete, A.; Gezahgne, A.; Girma, A.; Khamis, M.A.; et al. Frankincense in peril. Nat. Sustain. 2019, 2, 602–610. [Google Scholar] [CrossRef]
- Efferth, T.; Oesch, F. Anti-inflammatory and anti-cancer activities of frankincense: Targets, treatments and toxicities. Semin. Cancer Biol. 2020. [Google Scholar] [CrossRef] [PubMed]
- Büchele, B.; Zugmaier, W.; Simmet, T. Analysis of pentacyclic triterpenic acids from frankincense gum resins and related phytopharmaceuticals by high-performance liquid chromatography. Identification of lupeolic acid, a novel pentacyclic triterpene. J. Chromatogr. B 2003, 791, 21–30. [Google Scholar] [CrossRef]
- Schmiech, M.; Lang, S.J.; Werner, K.; Rashan, L.J.; Syrovets, T.; Simmet, T. Comparative analysis of pentacyclic triterpenic acid compositions in oleogum resins of different Boswellia species and their in vitro cytotoxicity against treatment-resistant human breast cancer cells. Molecules 2019, 24, 2153. [Google Scholar] [CrossRef]
- Al-Harrasi, A.; Rehman, N.U.; Khan, A.L.; Al-Broumi, M.; Al-Amri, I.; Hussain, J.; Hussain, H.; Csuk, R. Chemical, molecular and structural studies of Boswellia species: β-boswellic aldehyde and 3-epi-11β-dihydroxy BA as precursors in biosynthesis of boswellic acids. PLoS ONE 2018, 13, e0198666. [Google Scholar] [CrossRef] [PubMed]
- Roy, N.K.; Deka, A.; Bordoloi, D.; Mishra, S.; Kumar, A.P.; Sethi, G.; Kunnumakkara, A.B. The potential role of boswellic acids in cancer prevention and treatment. Cancer Lett. 2016, 377, 74–86. [Google Scholar] [CrossRef] [PubMed]
- Gilbert, N.C.; Gerstmeier, J.; Schexnaydre, E.E.; Borner, F.; Garscha, U.; Neau, D.B.; Werz, O.; Newcomer, M.E. Structural and mechanistic insights into 5-lipoxygenase inhibition by natural products. Nat. Chem. Biol. 2020, 16, 783–790. [Google Scholar] [CrossRef] [PubMed]
- Syrovets, T.; Büchele, B.; Gedig, E.; Slupsky, J.R.; Simmet, T. Acetyl-boswellic acids are novel catalytic inhibitors of human topoisomerases I and IIα. Mol. Pharmacol. 2000, 58, 71–81. [Google Scholar] [CrossRef] [PubMed]
- Syrovets, T.; Büchele, B.; Krauss, C.; Laumonnier, Y.; Simmet, T. Acetyl-boswellic acids inhibit lipopolysaccharide-mediated TNF-α induction in monocytes by direct interaction with IκB kinases. J. Immunol. 2005, 174, 498–506. [Google Scholar] [CrossRef]
- Syrovets, T.; Gschwend, J.E.; Büchele, B.; Laumonnier, Y.; Zugmaier, W.; Genze, F.; Simmet, T. Inhibition of IκB kinase activity by acetyl-boswellic acids promotes apoptosis in androgen-independent PC-3 prostate cancer cells in vitro and in vivo. J. Biol. Chem. 2005, 280, 6170–6180. [Google Scholar] [CrossRef]
- Wang, H.; Syrovets, T.; Kess, D.; Büchele, B.; Hainzl, H.; Lunov, O.; Weiss, J.M.; Scharffetter-Kochanek, K.; Simmet, T. Targeting NF-κB with a natural triterpenoid alleviates skin inflammation in a mouse model of psoriasis. J. Immunol. 2009, 183, 4755–4763. [Google Scholar] [CrossRef] [PubMed]
- Huber, G. Der Weihrauch Blog. Available online: https://weihrauch-blog.de/bilder/ (accessed on 9 September 2020).
- Belsner, K.; Büchele, B.; Werz, U.; Syrovets, T.; Simmet, T. Structural analysis of pentacyclic triterpenes from the gum resin of Boswellia serrata by NMR spectroscopy. Magn. Reson. Chem. 2003, 41, 115–122. [Google Scholar] [CrossRef]
- Kunnumakkara, A.B.; Banik, K.; Bordoloi, D.; Harsha, C.; Sailo, B.L.; Padmavathi, G.; Roy, N.K.; Gupta, S.C.; Aggarwal, B.B. Googling the Guggul (Commiphora and Boswellia) for prevention of chronic diseases. Front. Pharmacol. 2018, 9, 686. [Google Scholar] [CrossRef] [PubMed]
- Mannino, G.; Occhipinti, A.; Maffei, M.E. Quantitative determination of 3-O-acetyl-11-keto-β-boswellic acid (AKBA) and other boswellic acids in Boswellia sacra Flueck (syn. B. carteri Birdw) and Boswellia serrata Roxb. Molecules 2016, 21, 1329. [Google Scholar] [CrossRef]
- Büchele, B.; Zugmaier, W.; Estrada, A.; Genze, F.; Syrovets, T.; Paetz, C.; Schneider, B.; Simmet, T. Characterization of 3α-acetyl-11-keto-α-boswellic acid, a pentacyclic triterpenoid inducing apoptosis in vitro and in vivo. Planta Med. 2006, 72, 1285–1289. [Google Scholar] [CrossRef]
- Büchele, B.; Zugmaier, W.; Genze, F.; Simmet, T. High-performance liquid chromatographic determination of acetyl-11-keto-α-boswellic acid, a novel pentacyclic triterpenoid, in plasma using a fluorinated stationary phase and photodiode array detection: Application in pharmacokinetic studies. J. Chromatogr. B 2005, 829, 144–148. [Google Scholar] [CrossRef]
- Huber, G. Weihrauch; Ansata: Munich, Germany, 2018; pp. 15–77. [Google Scholar]
- Siegel, R.L.; Miller, K.D.; Jemal, A. Cancer statistics, 2019. CA Cancer J. Clin. 2019, 69, 7–34. [Google Scholar] [CrossRef]
- Tao, Z.; Shi, A.; Lu, C.; Song, T.; Zhang, Z.; Zhao, J. Breast cancer: Epidemiology and etiology. Cell Biochem. Biophys. 2015, 72, 333–338. [Google Scholar] [CrossRef]
- Carey, L.; Winer, E.; Viale, G.; Cameron, D.; Gianni, L. Triple-negative breast cancer: Disease entity or title of convenience? Nat. Rev. Clin. Oncol. 2010, 7, 683–692. [Google Scholar] [CrossRef]
- Büchele, B.; Simmet, T. Analysis of 12 different pentacyclic triterpenic acids from frankincense in human plasma by high-performance liquid chromatography and photodiode array detection. J. Chromatogr. B 2003, 795, 355–362. [Google Scholar] [CrossRef]
- Mathe, C.; Culioli, G.; Archier, P.; Vieillescazes, C. High-performance liquid chromatographic analysis of triterpenoids in commercial frankincense. Chromatographia 2004, 60, 493–499. [Google Scholar] [CrossRef]
- Miscioscia, E.; Shmalberg, J.; Scott, K.C. Measurement of 3-acetyl-11-keto-beta-boswellic acid and 11-keto-beta-boswellic acid in Boswellia serrata supplements administered to dogs. BMC Vet. Res. 2019, 15, 270. [Google Scholar] [CrossRef] [PubMed]
- Paul, M.; Brüning, G.; Weihrather, J.; Jauch, J. Qualitative and quantitative analysis of 17 different types of tetra- and pentacyclic triterpenic acids in Boswellia papyrifera by a semi-automatic homomodal 2D HPLC method. Chromatographia 2011, 74, 29. [Google Scholar] [CrossRef]
- Schmiech, M.; Lang, S.J.; Ulrich, J.; Werner, K.; Rashan, L.J.; Syrovets, T.; Simmet, T. Comparative investigation of frankincense nutraceuticals: Correlation of boswellic and lupeolic acid contents with cytokine release inhibition and toxicity against triple-negative breast cancer cells. Nutrients 2019, 11, 2341. [Google Scholar] [CrossRef] [PubMed]
- Snyder, L.R.; Kirkland, J.J.; Glajch, J.L. Practical HPLC method development; John Wiley & Sons: Hoboken, NJ, USA, 1997; Volume 2, pp. 21–58. [Google Scholar] [CrossRef]
- Kleppmann, W. Taschenbuch Versuchsplanung: Produkte und Prozesse optimieren; Carl Hanser Verlag: Munich, Germany, 2009; Volume 6, pp. 94–120. [Google Scholar]
- Euerby, M.R.; Petersson, P. Chromatographic classification and comparison of commercially available reversed-phase liquid chromatographic columns using principal component analysis. J. Chromatogr. A 2003, 994, 13–36. [Google Scholar] [CrossRef]
- Reta, M.; Carr, P.W.; Sadek, P.C.; Rutan, S.C. Comparative study of hydrocarbon, fluorocarbon, and aromatic bonded RP-HPLC stationary phases by linear solvation energy relationships. Anal. Chem. 1999, 71, 3484–3496. [Google Scholar] [CrossRef]
- Mertens, M.; Buettner, A.; Kirchhoff, E. The volatile constituents of frankincense—A review. Flavour Fragr. J. 2009, 24, 279–300. [Google Scholar] [CrossRef]
- Woolley, C.L.; Suhail, M.M.; Smith, B.L.; Boren, K.E.; Taylor, L.C.; Schreuder, M.F.; Chai, J.K.; Casabianca, H.; Haq, S.; Lin, H.-K.; et al. Chemical differentiation of Boswellia sacra and Boswellia carterii essential oils by gas chromatography and chiral gas chromatography–mass spectrometry. J. Chromatogr. A 2012, 1261, 158–163. [Google Scholar] [CrossRef]
- Gupta, M.; Rout, P.K.; Misra, L.N.; Gupta, P.; Singh, N.; Darokar, M.P.; Saikia, D.; Singh, S.C.; Bhakuni, R.S. Chemical composition and bioactivity of Boswellia serrata Roxb. essential oil in relation to geographical variation. Plant. Biosyst.-Int. J. Deal. All Asp. Plant Biol. 2017, 151, 623–629. [Google Scholar] [CrossRef]
- Basar, S. Phytochemical investigation on Boswellia Species. PhD Thesis, University of Hamburg, Hamburg, Germany, 2005. [Google Scholar]
- Grosse, Y.; Loomis, D.; Guyton, K.Z.; El Ghissassi, F.; Bouvard, V.; Benbrahim-Tallaa, L.; Mattock, H.; Straif, K.; International Agency for Research on Cancer Monograph Working Group. Some chemicals that cause tumours of the urinary tract in rodents. Lancet Oncol. 2017, 18, 1003–1004. [Google Scholar] [CrossRef]
- National Toxicology Program. NTP technical report on the toxicology and carcinogenesis studies of b-myrcene (CAS No. 123-35-3) in F344/N rats and B6C3F1 mice (Gavage studies). Natl. Toxicol. Program. Tech. Rep. Ser. 2010, 1–163.
- Felter, S.P.; Llewelyn, C.; Navarro, L.; Zhang, X. How the 62-year old Delaney Clause continues to thwart science: Case study of the flavor substance beta-myrcene. Regul. Toxicol. Pharmacol. 2020, 115, 104708. [Google Scholar] [CrossRef] [PubMed]
- Nesslany, F.; Parent-Massin, D.; Marzin, D. Risk assessment of consumption of methylchavicol and tarragon: The genotoxic potential in vivo and in vitro. Mutat. Res. Toxicol. Environ. Mutagen. 2010, 696, 1–9. [Google Scholar] [CrossRef] [PubMed]
- Zeller, A.; Horst, K.; Rychlik, M. Study of the metabolism of estragole in humans consuming fennel tea. Chem. Res. Toxicol. 2009, 22, 1929–1937. [Google Scholar] [CrossRef]
- Marchini, M.; Charvoz, C.; Dujourdy, L.; Baldovini, N.; Filippi, J.-J. Multidimensional analysis of cannabis volatile constituents: Identification of 5,5-dimethyl-1-vinylbicyclo[2.1.1]hexane as a volatile marker of hashish, the resin of Cannabis sativa L. J. Chromatogr. A 2014, 1370, 200–215. [Google Scholar] [CrossRef]
- Thulin, M.; Warfa, A.M. The Frankincense Trees (Boswellia spp., Burseraceae) of Northern Somalia and Southern Arabia. Kew Bull. 1987, 42, 487–500. [Google Scholar] [CrossRef]
- Schrott, E. Weihrauch; Mosaik Verlag: Munich, Germany, 1998; pp. 8–35. [Google Scholar]
- Al-Harrasi, A.; Csuk, R.; Khan, A.; Hussain, J. Distribution of the anti-inflammatory and anti-depressant compounds: Incensole and incensole acetate in genus Boswellia. Phytochemistry 2019, 161, 28–40. [Google Scholar] [CrossRef]
- Moussaieff, A.; Rimmerman, N.; Bregman, T.; Straiker, A.; Felder, C.C.; Shoham, S.; Kashman, Y.; Huang, S.M.; Lee, H.; Shohami, E.; et al. Incensole acetate, an incense component, elicits psychoactivity by activating TRPV3 channels in the brain. FASEB J. 2008, 22, 3024–3034. [Google Scholar] [CrossRef]
- DeCarlo, A.; Johnson, S.; Poudel, A.; Satyal, P.; Bangerter, L.; Setzer, W.N. Chemical variation in essential oils from the oleo-gum resin of Boswellia carteri: A preliminary investigation. Chem. Biodivers. 2018, 15, e1800047. [Google Scholar] [CrossRef]
- DeCarlo, A.; Johnson, S.; Okeke-Agulu, K.I.; Dosoky, N.S.; Wax, S.J.; Owolabi, M.S.; Setzer, W.N. Compositional analysis of the essential oil of Boswellia dalzielii frankincense from West Africa reveals two major chemotypes. Phytochemistry 2019, 164, 24–32. [Google Scholar] [CrossRef]
- Birdwood, G., III. On the genus Boswellia, with descriptions and figures of three new species. Trans. Linn. Soc. London 1870, 27, 111–148. [Google Scholar] [CrossRef]
- Hepper, F.N. Arabian and African frankincense trees. J. Egypt Archaeol. 1969, 55, 66–72. [Google Scholar] [CrossRef]
- Paul, M.; Brüning, G.; Bergmann, J.; Jauch, J. A thin-layer chromatography method for the identification of three different olibanum resins (Boswellia serrata, Boswellia papyrifera and Boswellia carterii, respectively, Boswellia sacra). Phytochem. Anal. 2012, 23, 184–189. [Google Scholar] [CrossRef]
- Thulin, M.; DeCarlo, A.; Johnson, S.P. Boswellia occulta (Burseraceae), a new species of frankincense tree from Somalia (Somaliland). Phytotaxa 2019, 394, 219–224. [Google Scholar] [CrossRef]
- Johnson, S.; DeCarlo, A.; Satyal, P.; Dosoky, N.S.; Sorensen, A.; Setzer, W.N. Organic certification is not enough: The case of the methoxydecane frankincense. Plants 2019, 8, 88. [Google Scholar] [CrossRef] [PubMed]
- Johnson, S.; DeCarlo, A.; Satyal, P.; Dosoky, N.S.; Sorensen, A.; Setzer, W.N. The chemical composition of Boswellia occulta oleogum resin essential oils. Nat. Prod. Commun. 2019, 14. [Google Scholar] [CrossRef]
- Asfaw, N.; Sommerlatte, H.; Demissew, S. Uncommon frankincense. Perfum. Flavorist 2019, 44, 47–53. [Google Scholar]
- Waring, M.J. Lipophilicity in drug discovery. Expert Opin. Drug Discov. 2010, 5, 235–248. [Google Scholar] [CrossRef]
- Ayla, S.; Seckin, I.; Tanriverdi, G.; Cengiz, M.; Eser, M.; Soner, B.C.; Oktem, G. Doxorubicin induced nephrotoxicity: Protective effect of nicotinamide. Int. J. Cell Biol. 2011, 2011, 390238. [Google Scholar] [CrossRef]
- Swain, S.M.; Whaley, F.S.; Ewer, M.S. Congestive heart failure in patients treated with doxorubicin. Cancer 2003, 97, 2869–2879. [Google Scholar] [CrossRef]
- Sun, M.X.; He, X.P.; Huang, P.Y.; Qi, Q.; Sun, W.H.; Liu, G.S.; Hua, J. Acetyl-11-keto-β-boswellic acid inhibits proliferation and induces apoptosis of gastric cancer cells through the phosphatase and tensin homolog /Akt/ cyclooxygenase-2 signaling pathway. World J. Gastroenterol. 2020, 26, 5822–5835. [Google Scholar] [CrossRef] [PubMed]
- Europäisches Arzneibuch (Ph. Eur.). Olibanum Indicum, 9th ed.; Deutscher Apotheker Verlag: Stuttgart, Germany, 2017. [Google Scholar]
- Hemmler, D.; Roullier-Gall, C.; Marshall, J.W.; Rychlik, M.; Taylor, A.J.; Schmitt-Kopplin, P. Evolution of complex Maillard chemical reactions, resolved in time. Sci. Rep. 2017, 7, 3227. [Google Scholar] [CrossRef]
- Mondello, L. Mass Spectra of Flavors and Fragrances of Natural and Synthetic Compounds, 3rd ed.; John Wiley & Sons: Hoboken, NJ, USA, 2015. [Google Scholar]
- Sparkman, O.D. Identification of essential oil components by gas chromatography/quadrupole mass spectroscopy Robert P. Adams. J. Am. Soc. Mass Spectrom. 2005, 16, 1902–1903. [Google Scholar] [CrossRef]
- Lang, S.J.; Schmiech, M.; Hafner, S.; Paetz, C.; Steinborn, C.; Huber, R.; El Gaafary, M.; Werner, K.; Schmidt, C.Q.; Syrovets, T.; et al. Antitumor activity of an Artemisia annua herbal preparation and identification of active ingredients. Phytomedicine 2019, 62, 152962. [Google Scholar] [CrossRef] [PubMed]








| Position, C | δC | δH |
|---|---|---|
| 1 | 33.6 | 1.28 (ddd, 14/14/4, α) |
| 2.27 (bd, 14, β) | ||
| 2 | 25.9 | 1.33 (ddd, 4/4/14, α) |
| 2.05 (dd, 14/14, β) | ||
| 3 | 68.7 | 3.77 (bs, β) |
| 4 | 46.7 | - |
| 5 | 47.6 | 1.39 (m, α) |
| 6 | 18.6 | 1.61 (m, β) |
| 1.76 (dd, 14/4, α) | ||
| 7 | 32.3 | 1.36 (m, β) |
| 1.60 (m, α) | ||
| 8 | 44.9 | - |
| 9 | 60.1 | 2.35 (s, α) |
| 10 | 37.1 | - |
| 11 | 198.9 | - |
| 12 | 127.3 | 5.47 (s) |
| 13 | 170.3 | - |
| 14 | 43.1 | - |
| 15 | 25.9 | 1.74 (dd, 14/4, α) |
| 2.06 (dd, 14/4, β) | ||
| 16 | 25.8 | 0.91 (bd, 14, β) |
| 1.15 (bd, 14, α) | ||
| 17 | 32.0 | - |
| 18 | 46.9 | 2.12 (dd, 14/4, β) |
| 19 | 44.7 | 1.00 (bd, 14, β) |
| 1.70 (dd, 14/14, α) | ||
| 20 | 30.8 | - |
| 21 | 33.9 | 1.11 (m, β) |
| 1.39 (m, α) | ||
| 22 | 36.0 | 1.25 (m, β) |
| 1.40 (m, α) | ||
| 23 | 24.4 | 1.13 (s, α) |
| 24 | 178.7 | - |
| 25 | 13.1 | 0.99 (s, β) |
| 26 | 18.2 | 1.05 (s, β) |
| 27 | 23.1 | 1.35 (s, α) |
| 28 | 28.4 | 0.83 (s, β) |
| 29 | 23.4 | 0.88 (s, β) |
| 30 | 32.8 | 0.89 (s, α) |
| Exp. | Independent Variables (Coded) | Independent Variables (Uncoded) | Dependent Variables Resolution R | |||||
|---|---|---|---|---|---|---|---|---|
| A | B | C | A [%] | B [%/min] | C [mL/min] | α-KBA/β-KBA | α-AKBA/β-AKBA | |
| 1 | –1 | –1 | –1 | 8.11 | 1.22 | 0.51 | 1.40 | 3.03 |
| 2 | 1 | –1 | –1 | 31.89 | 1.22 | 0.51 | 0.84 | 2.69 |
| 3 | –1 | 1 | –1 | 8.11 | 4.78 | 0.51 | 0.84 | 1.89 |
| 4 | 1 | 1 | –1 | 31.89 | 4.78 | 0.51 | 0.51 | 1.42 |
| 5 | –1 | –1 | 1 | 8.11 | 1.22 | 0.69 | 1.52 | 3.04 |
| 6 | 1 | –1 | 1 | 31.89 | 1.22 | 0.69 | 0.80 | 2.65 |
| 7 | –1 | 1 | 1 | 8.11 | 4.78 | 0.69 | 0.97 | 2.00 |
| 8 | 1 | 1 | 1 | 31.89 | 4.78 | 0.69 | 0.62 | 1.95 |
| 9 | –α | 0 | 0 | 0.00 | 3.00 | 0.60 | 1.18 | 2.14 |
| 10 | α | 0 | 0 | 40.00 | 3.00 | 0.60 | 0.64 | 1.89 |
| 11 | 0 | –α | 0 | 20.00 | 0.00 | 0.60 | 1.50 | N/A |
| 12 | 0 | α | 0 | 20.00 | 6.00 | 0.60 | 0.63 | 1.73 |
| 13 | 0 | 0 | –α | 20.00 | 3.00 | 0.45 | 0.92 | 1.95 |
| 14 | 0 | 0 | α | 20.00 | 3.00 | 0.75 | 1.16 | 2.12 |
| 15 | 0 | 0 | 0 | 20.00 | 3.00 | 0.60 | 0.77 | 2.05 |
| Sample | 11-Keto-Boswellic Acids (KBAs) | Acetyl-11-Keto-Boswellic Acids (AKBAs) | ||||||||
|---|---|---|---|---|---|---|---|---|---|---|
| # | Species | Origin | Ratio [%] | Content [µg/mg] | Ratio [%] | Content [µg/mg] | ||||
| β-KBA | α-KBA | β-KBA | α-KBA | β-AKBA | α-AKBA | β-AKBA | α-AKBA | |||
| 1 | B. sacra | Oman | 96.4 | 3.6 | 2.618 | 0.098 | 98.3 | 1.7 | 41.088 | 0.731 |
| 2 | B. sacra | Oman | 93.8 | 6.2 | 2.658 | 0.175 | 98.2 | 1.8 | 28.646 | 0.532 |
| 3 | B. sacra | Oman | 94.4 | 5.6 | 1.153 | 0.068 | 98.8 | 1.2 | 33.956 | 0.416 |
| 4 | B. sacra | Oman | 98.2 | 1.8 | 1.081 | 0.020 | 99.2 | 0.8 | 32.642 | 0.267 |
| 5 | B. sacra | Oman | 98.9 | 1.1 | 2.138 | 0.024 | 99.5 | 0.5 | 35.694 | 0.197 |
| B. sacra | Oman | 96.3 | 3.7 | 2.209 | 0.085 | 98.6 | 1.4 | 21.465 | 0.308 | |
| 7 | B. sacra | Oman | 97.2 | 2.8 | 1.571 | 0.046 | 99.1 | 0.9 | 37.143 | 0.326 |
| 8 | B. sacra | Oman | 97.2 | 2.8 | 2.041 | 0.059 | 99.0 | 1.0 | 32.994 | 0.350 |
| 9 | B. sacra | Oman | 93.4 | 6.6 | 0.930 | 0.066 | 98.2 | 1.8 | 25.617 | 0.466 |
| 10 | B. sacra | Oman | 94.6 | 5.4 | 1.028 | 0.059 | 98.4 | 1.6 | 21.416 | 0.359 |
| 11 | B. sacra | Oman | 94.0 | 6.0 | 1.084 | 0.069 | 98.3 | 1.7 | 29.549 | 0.509 |
| Mean | 95.8 | 4.2 | 1.683 | 0.070 | 98.7 | 1.3 | 30.928 | 0.406 | ||
| SD | 1.8 | 1.8 | 0.636 | 0.040 | 0.4 | 0.4 | 6.002 | 0.142 | ||
| 12 | B. dalzielli | Burkina Faso | 93.4 | 6.6 | 10.893 | 0.770 | 96.1 | 3.9 | 51.329 | 2.096 |
| 13 | B. dalzielli | Nigeria | 96.2 | 3.8 | 9.482 | 0.377 | 97.7 | 2.3 | 70.521 | 1.677 |
| 14 | B. dalzielli | Senegal | 92.6 | 7.4 | 12.840 | 1.019 | 96.0 | 4.0 | 65.623 | 2.709 |
| Mean | 94.1 | 5.9 | 11.072 | 0.722 | 96.6 | 3.4 | 62.491 | 2.161 | ||
| SD | 1.9 | 1.9 | 1.686 | 0.324 | 0.9 | 0.9 | 9.972 | 0.519 | ||
| 15 | B. papyrifera | Ethiopia | 97.2 | 2.8 | 4.261 | 0.123 | 93.6 | 6.4 | 41.109 | 2.833 |
| 16 | B. papyrifera | Eritrea | 92.2 | 7.8 | 3.142 | 0.264 | 96.3 | 3.7 | 26.813 | 1.031 |
| 17 | B. papyrifera | Sudan | 94.5 | 5.5 | 3.013 | 0.174 | 96.6 | 3.4 | 16.235 | 0.574 |
| Mean | 94.7 | 5.3 | 3.472 | 0.187 | 95.5 | 4.5 | 28.052 | 1.479 | ||
| SD | 2.5 | 2.5 | 0.686 | 0.071 | 1.7 | 1.7 | 12.483 | 1.194 | ||
| 18 | B. serrata | India | 98.8 | 1.2 | 5.266 | 0.064 | 95.6 | 4.4 | 10.823 | 0.501 |
| 19 | B. serrata | India | 98.9 | 1.1 | 22.045 | 0.244 | 98.1 | 1.9 | 18.338 | 0.354 |
| 20 | B. serrata | India | 98.5 | 1.5 | 3.043 | 0.047 | 97.0 | 3.0 | 13.233 | 0.411 |
| 21 | B. serrata | India | 98.5 | 1.5 | 5.705 | 0.088 | 95.1 | 4.9 | 8.141 | 0.420 |
| 22 | B. serrata | India | 95.4 | 4.6 | 9.346 | 0.451 | 96.3 | 3.7 | 12.766 | 0.491 |
| 23 | B. serrata | India | 94.1 | 5.9 | 5.885 | 0.371 | 95.3 | 4.7 | 8.816 | 0.437 |
| 24 | B. serrata | India | 96.0 | 4.0 | 3.886 | 0.161 | 95.7 | 4.3 | 7.720 | 0.348 |
| Mean | 97.2 | 2.8 | 7.882 | 0.204 | 96.1 | 3.9 | 11.405 | 0.423 | ||
| SD | 2.0 | 2.0 | 6.554 | 0.158 | 1.1 | 1.1 | 3.753 | 0.060 | ||
| 25 | B. carterii | Somalia | 79.4 | 20.6 | 0.063 | 0.016 | 85.2 | 14.8 | 0.088 | 0.015 |
| 26 | B. carterii | Somalia | 79.7 | 20.3 | 0.013 | 0.003 | 88.2 | 11.8 | 0.053 | 0.007 |
| 27 | B. carterii | Somalia | 74.9 | 25.1 | 0.107 | 0.036 | N/A | N/A | 0.001 | <LOQ |
| 28 | B. carterii | Somalia | 74.5 | 25.5 | 0.644 | 0.221 | 90.3 | 9.7 | 0.005 | 0.001 |
| 29 | B. carterii | Somalia | 94.9 | 5.1 | 6.123 | 0.331 | 98.7 | 1.3 | 48.724 | 0.619 |
| Mean | 80.7 | 19.3 | 1.390 | 0.121 | 90.6 | 9.4 | 9.774 | 0.128 | ||
| SD | 8.3 | 8.3 | 2.658 | 0.147 | 5.8 | 5.8 | 21.774 | 0.274 | ||
| 30 | B. neglecta | Somalia | 67.1 | 32.9 | 0.968 | 0.476 | 84.1 | 15.9 | 0.037 | 0.007 |
| 31 | B. neglecta | Somalia | 72.1 | 27.9 | 1.128 | 0.436 | 83.4 | 16.6 | 0.119 | 0.024 |
| 32 | B. neglecta | Somalia | 67.5 | 32.5 | 1.168 | 0.563 | 81.6 | 18.4 | 0.039 | 0.009 |
| 33 | B. neglecta | Somalia | 81.5 | 18.5 | 0.517 | 0.118 | 81.9 | 18.1 | 0.066 | 0.015 |
| 34 | B. neglecta | Somalia | 73.6 | 26.4 | 0.177 | 0.063 | 81.9 | 18.1 | 0.020 | 0.004 |
| 35 | B. neglecta | Kenya | 72.8 | 27.2 | 0.045 | 0.017 | 90.3 | 9.7 | 0.016 | 0.002 |
| 36 | B. neglecta | Kenya | N/A | N/A | <LOQ | <LOQ | N/A | N/A | 0.002 | <LOQ |
| Mean | 72.4 | 27.6 | 0.572 | 0.239 | 83.9 | 16.1 | 0.043 | 0.009 | ||
| SD | 5.2 | 5.2 | 0.514 | 0.242 | 3.3 | 3.3 | 0.039 | 0.008 | ||
| 37 | B. rivae | Ethiopia | 42.3 | 57.7 | 0.016 | 0.022 | 92.5 | 7.5 | 0.051 | 0.004 |
| 38 | B. frereana | Somalia | N/A | N/A | <LOQ | <LOQ | N/A | N/A | <LOQ | <LOQ |
| 39 | B. frereana | Somalia | N/A | N/A | <LOQ | <LOQ | N/A | N/A | <LOQ | <LOQ |
| 40 | B. frereana | Somalia | N/A | N/A | <LOQ | <LOQ | N/A | N/A | <LOQ | <LOQ |
| Mean | N/A | N/A | <LOQ | <LOQ | N/A | N/A | <LOQ | <LOQ | ||
| SD | - | - | - | - | - | - | - | - | ||
| 41 | B. occulta | Somalia | 94.4 | 5.6 | 2.527 | 0.150 | 98.4 | 1.6 | 33.104 | 0.540 |
| Compound | B. sacra | B. serrata | B. carterii | B. frereana | B. dalzielli | B. papyrifera | B. neglecta | B. rivae |
|---|---|---|---|---|---|---|---|---|
| Hashishene | 0.32 | 5.24 | 0.12 | 2.89 | 1.01 | 0.03 | 0.01 | 0.12 |
| α-Thujene | 0.40 | 14.46 | 3.69 | 37.07 | 5.36 | 0.41 | 7.86 | 1.55 |
| α-Pinene | 71.44 | 14.71 | 52.16 | 24.41 | 70.29 | 1.58 | 46.95 | 42.33 |
| Camphene | 1.76 | 0.19 | 0.80 | 0.56 | 1.10 | 0.10 | 0.98 | 1.03 |
| Thuja-2,4(10)-diene | 0.75 | 0.06 | 0.26 | 0.36 | 1.08 | 0.03 | 0.47 | 0.58 |
| Sabinene | 2.39 | 2.34 | 2.77 | 4.87 | 0.68 | 0.26 | 0.22 | 0.99 |
| β-Pinene | 1.47 | 1.57 | 1.86 | 1.16 | 1.74 | 0.14 | 1.42 | 7.64 |
| Myrcene | 2.10 | 41.36 | 4.93 | 0.97 | 1.91 | 0.37 | 0.81 | 0.13 |
| α-Phellandrene | 0.30 | 0.40 | 3.16 | 0.11 | 0.03 | 0.02 | 0.11 | 0.16 |
| Δ3-Carene | 1.84 | 0.47 | 0.81 | 0.02 | 0.03 | 0.03 | 1.23 | 6.51 |
| para-Cymene | 0.82 | 1.10 | 4.50 | 8.20 | 1.54 | 0.29 | 4.61 | 7.86 |
| Limonene | 3.17 | 4.63 | 15.90 | 0.85 | 2.19 | 2.03 | 2.23 | 4.39 |
| (E)-β-Ocimene | 0.16 | 0.05 | 0.06 | 0.01 | 0.02 | 1.62 | 0.02 | 0.03 |
| Linalool | 0.04 | 0.66 | 0.02 | 0.26 | 0.17 | 1.00 | 0.08 | 0.07 |
| trans-Pinocarveol | 0.94 | 0.08 | 0.21 | 0.33 | 1.45 | 0.00 | 0.39 | 1.83 |
| trans-Verbenol | 0.79 | 0.09 | 0.37 | 0.37 | 1.12 | 0.02 | 0.45 | 2.52 |
| α-Phellandren-8-ol | 1.08 | 0.04 | 0.24 | 0.48 | 1.39 | 0.01 | 0.63 | 0.61 |
| Terpinen-4-ol | 0.28 | 0.09 | 0.19 | 1.73 | 0.19 | 0.07 | 16.81 | 0.69 |
| α-Terpineol | 0.03 | 0.09 | 0.06 | 0.26 | 0.11 | 0.00 | 4.00 | 0.38 |
| Verbenone | 0.64 | 0.03 | 0.16 | 0.31 | 0.74 | 0.00 | 0.66 | 1.76 |
| Incensole | 0.00 | 0.00 | 0.00 | 0.00 | 0.01 | 0.05 | 0.00 | 0.02 |
| Methylchavicol | 0.00 | 5.96 | 0.00 | 0.00 | 0.00 | 0.00 | 0.00 | 0.00 |
| Octanol | 0.00 | 0.00 | 0.00 | 0.00 | 0.00 | 6.96 | 0.01 | 0.00 |
| Octyl acetate | 0.00 | 0.00 | 0.00 | 0.00 | 0.00 | 77.67 | 0.00 | 0.00 |
| Compound | IC50 [µM] | Lipophilicity, | |
|---|---|---|---|
| Mean | SEM | ALogP | |
| α-KBA | 41.96 | 4.63 | 5.66 |
| β-KBA | 25.45 | 0.87 | 5.70 |
| α-AKBA | 27.50 | 2.11 | 6.04 |
| β-AKBA | 6.55 | 0.21 | 6.08 |
Publisher’s Note: MDPI stays neutral with regard to jurisdictional claims in published maps and institutional affiliations. |
© 2021 by the authors. Licensee MDPI, Basel, Switzerland. This article is an open access article distributed under the terms and conditions of the Creative Commons Attribution (CC BY) license (http://creativecommons.org/licenses/by/4.0/).
Share and Cite
Schmiech, M.; Ulrich, J.; Lang, S.J.; Büchele, B.; Paetz, C.; St-Gelais, A.; Syrovets, T.; Simmet, T. 11-Keto-α-Boswellic Acid, a Novel Triterpenoid from Boswellia spp. with Chemotaxonomic Potential and Antitumor Activity against Triple-Negative Breast Cancer Cells. Molecules 2021, 26, 366. https://doi.org/10.3390/molecules26020366
Schmiech M, Ulrich J, Lang SJ, Büchele B, Paetz C, St-Gelais A, Syrovets T, Simmet T. 11-Keto-α-Boswellic Acid, a Novel Triterpenoid from Boswellia spp. with Chemotaxonomic Potential and Antitumor Activity against Triple-Negative Breast Cancer Cells. Molecules. 2021; 26(2):366. https://doi.org/10.3390/molecules26020366
Chicago/Turabian StyleSchmiech, Michael, Judith Ulrich, Sophia Johanna Lang, Berthold Büchele, Christian Paetz, Alexis St-Gelais, Tatiana Syrovets, and Thomas Simmet. 2021. "11-Keto-α-Boswellic Acid, a Novel Triterpenoid from Boswellia spp. with Chemotaxonomic Potential and Antitumor Activity against Triple-Negative Breast Cancer Cells" Molecules 26, no. 2: 366. https://doi.org/10.3390/molecules26020366
APA StyleSchmiech, M., Ulrich, J., Lang, S. J., Büchele, B., Paetz, C., St-Gelais, A., Syrovets, T., & Simmet, T. (2021). 11-Keto-α-Boswellic Acid, a Novel Triterpenoid from Boswellia spp. with Chemotaxonomic Potential and Antitumor Activity against Triple-Negative Breast Cancer Cells. Molecules, 26(2), 366. https://doi.org/10.3390/molecules26020366

