Nano-Drug Design Based on the Physiological Properties of Glutathione
Abstract
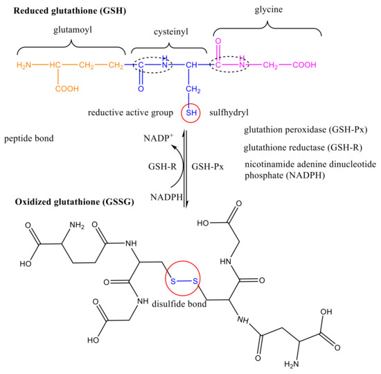
:1. Glutathione Structure
2. Physiological Function of GSH
3. Nano-Drug Delivery Systems
4. Nano-Drug Design for Diabetes Based on the Physiological Properties of GSH
4.1. Nano-Drug Design Based on the Role of GSH in Oxidative Stress
4.2. Nano-Drug Design Based on the Role of GSH in Polyol Pathway
5. Nano-Drug Design for Tumor Based on the Physiological Properties of GSH
5.1. Nanoparticles Implement Tumor Targeting Delivery Mechanisms
5.1.1. Passive Targeting
5.1.2. Active Targeting
5.1.3. Tumor Microenvironment Responsive Nano-Drug Delivery System
5.2. Nano-Drug Design Based on NADPH Depletion during GSSG Reduction in Ferroptosis

5.3. Nano-Drug Design Based on GSH Reductive Ability in Tumor Microenvironment
5.3.1. Theory of Redox-Sensitive in Nano-Drug Delivery System
5.3.2. Chemical Bonds That React with GSH
5.3.3. Nano-Drug Design Based on Different Chemical Bonds
Nano-Drug with S-S
Nano-Drug with -S-
Nano-Drug with Pt-O
Nano-Drug with Se-Se
Nano-Drug with Se-N
Nano-Drug with -Se-
5.3.4. Glutathione Responsive Photodynamic Therapy
6. Nano-Drug Design Based on the Role of GSH in Neurological Diseases
7. Fluorescent Nano-Probe Design Based on Physiological Properties of GSH
8. Nano-Imaging Design Based on Physiological Properties of GSH
9. Application of Nanoscale GSH in Food Field
10. Summary and Perspectives
Author Contributions
Funding
Conflicts of Interest
Sample Availability
References
- Liu, Y.; Hyde, A.S.; Simpson, M.A.; Barycki, J.J. Emerging Regulatory Paradigms in Glutathione Metabolism. Adv. Cancer Res. 2014, 122, 69–101. [Google Scholar]
- Harington, C.R.; Mead, T.H. Synthesis of Glutathione. Biochem. J. 1935, 29, 1602–1611. [Google Scholar] [CrossRef]
- Penninckx, M.J.; Elskens, M.T. Metabolism and Functions of Glutathione in Micro-Organisms. Adv. Microb. Physiol. 1993, 34, 239–301. [Google Scholar]
- Bachhawat, A.K.; Yadav, S. The Glutathione Cycle: Glutathione Metabolism Beyond the Gamma-Glutamyl Cycle. IUBMB Life 2018, 70, 585–592. [Google Scholar] [CrossRef] [Green Version]
- Bachhawat, A.K.; Kaur, A. Glutathione Degradation. Antioxid. Redox. Signal. 2017, 27, 1200–1216. [Google Scholar] [CrossRef] [PubMed]
- Jana, A.; Joseph, M.M.; Munan, S.; Sharma, K.; Maiti, K.K.; Samanta, A. A Single Benzene Fluorescent Probe for Efficient Formaldehyde Sensing in Living Cells Using Glutathione as an Amplifier. J. Photochem. Photobiol. B 2021, 214, 112091. [Google Scholar] [CrossRef] [PubMed]
- Shuhua, X.; Ziyou, L.; Ling, Y.; Fei, W.; Sun, G. A Role of Fluoride on Free Radical Generation and Oxidative Stress in BV-2 Microglia Cells. Mediat. Inflamm. 2012, 2012, 102954. [Google Scholar] [CrossRef] [PubMed] [Green Version]
- Meister, A. Glutathione, Ascorbate, and Cellular Protection. Cancer Res. 1994, 54, 1969–1975. [Google Scholar]
- Rodrigues, C.; Percival, S.S. Immunomodulatory Effects of Glutathione, Garlic Derivatives, and Hydrogen Sulfide. Nutrients 2019, 11, 295. [Google Scholar] [CrossRef] [Green Version]
- Song, D.; Lin, Z.; Yuan, Y.; Qian, G.; Li, C.; Bao, Y. DPEP1 Balance GSH Involve in Cadmium Stress Response in Blood Clam Tegillarca granosa. Front. Physiol. 2018, 9, 964. [Google Scholar] [CrossRef] [PubMed] [Green Version]
- Agarwal, P. Assessment of Anti-Aging Efficacy of the Master Antioxidant Glutathione. Int. J. Sci. Basic Appl. Res. 2017, 33, 257–265. [Google Scholar]
- Anaisa, V.; Ferreira, A.V.; Valerie, A.C.M.; Koeken, V.C.; Matzaraki, V.; Kostidis, S.; Alarcon-Barrera, J.C.; de Bree, L.C.; Moorlag, S.J.; Mourits, V.P.; et al. Glutathione Metabolism Contributes to the Induction of Trained Immunity. Cells 2021, 10, 971. [Google Scholar]
- Vanin, A.F.; Ostrovskaya, L.A.; Korman, D.B.; Kubrina, L.N.; Borodulin, R.R.; Fomina, M.M.; Bluchterova, N.V.; Rykova, V.A.; Timoshin, A.A. Anti-Tumour Activity of Dinitrosyl Iron Complex with Glutathione and S-Nitrosoglutathione Preparations: Comparative Studies. Biofizika 2015, 60, 1157. [Google Scholar]
- Scire, A.; Cianfruglia, L.; Minnelli, C.; Bartolini, D.; Torquato, P.; Principato, G.; Galli, F.; Armeni, T. Glutathione Compartmentalization and Its Role in Glutathionylation and Other Regulatory Processes of Cellular Pathways. Biofactors 2019, 45, 152–168. [Google Scholar] [CrossRef]
- Escartin, C.; Joon Won, S.J.; Malgorn, C.; Auregan, G.; Berman, A.E.; Chen, P.C.; Deglon, N.; Johnson, J.A.; Suh, S.W.; Raymond, A.; et al. Nuclear Factor Erythroid 2-Related Factor 2 Facilitates Neuronal Glutathione Synthesis by Upregulating Neuronal Excitatory Amino Acid Transporter 3 Expression. J. Neurosci. 2011, 31, 7392–7401. [Google Scholar] [CrossRef] [Green Version]
- Zhang, L.W.; Li, X.L.; Zhao, H.B.; Lie, M.J.; Li, Z.H. Influence of Glutathione Responsive Tumor-Targeted Camptothecin Nanoparticles on Glioma Based on Oxidative Stress. Colloid Interface Sci. Commun. 2021, 42, 100423. [Google Scholar] [CrossRef]
- Heath, J.R. Nanotechnologies for Biomedical Science and Translational Medicine. Proc. Natl. Acad. Sci. USA 2015, 112, 14436–14443. [Google Scholar] [CrossRef] [Green Version]
- Bae, Y.H.; Park, K. Targeted Drug Delivery to Tumors: Myths, Reality and Possibility. J. Control. Release 2011, 153, 198–205. [Google Scholar] [CrossRef] [Green Version]
- Shi, J.; Kantoff, P.W.; Wooster, R.; Farokhzad, O.C. Cancer Nanomedicine: Progress, Challenges and Opportunities. Nat. Rev. Cancer 2017, 17, 20–37. [Google Scholar] [CrossRef] [PubMed]
- Rossi, F.; Ferrari, R.; Castiglione, F.; Mele, A.; Perale, G.; Moscatelli, D. Polymer Hydrogel Functionalized with Biodegradable Nanoparticles as Composite System for Controlled Drug Delivery. Nanotechnology 2014, 26, 015602. [Google Scholar] [CrossRef] [PubMed]
- Stumpel, J.E.; Gil, E.R.; Spoelstra, A.B.; Bastiaansen, C.W.; Broer, D.J.; Schenning, A.P. Stimuli-Responsive Materials Based on Interpenetrating Polymer Liquid Crystal Hydrogels. Adv. Funct. Mater. 2015, 25, 3314–3320. [Google Scholar] [CrossRef]
- Mura, S.; Nicolas, J.; Couvreur, P. Stimuli-Responsive Nanocarriers for Drug Delivery. Nat. Mater. 2013, 12, 991–1003. [Google Scholar] [CrossRef] [PubMed]
- Huo, M.; Yuan, J.; Tao, L.; Wei, Y. Redox-Responsive Polymers for Drug Delivery: From Molecular Design to Applications. Polym. Chem. 2014, 5, 1519–1528. [Google Scholar] [CrossRef]
- Wang, J.; Sun, X.; Mao, W.; Sun, W.; Tang, J.; Sui, M. Tumor Redox Heterogeneity-Responsive Prodrug Nanocapsules for Cancer Chemotherapy. Adv. Mater. 2013, 25, 3670–3676. [Google Scholar] [CrossRef] [PubMed]
- Huang, S.; Tan, M.; Guo, F.; Dong, L.; Liu, Z.; Yuan, R.; Dongzhi, Z.; Lee, D.S.; Wang, Y.; Li, B. Nepeta angustifolia C. Y. Wu Improves Renal Injury in HFD/STZ-Induced Diabetic Nephropathy and Inhibits Oxidative Stress-Induced Apoptosis of Mesangial Cells. J. Ethnopharmacol. 2020, 255, 112771. [Google Scholar] [CrossRef] [PubMed]
- Bai, J.; Liu, C.; Zhu, P.; Li, Y. Novel Insights into Molecular Mechanism of Mitochondria in Diabetic Cardiomyopathy. Front. Physiol. 2020, 11, 609157. [Google Scholar] [CrossRef] [PubMed]
- Raj Rai, S.R.; Bhattacharyya, C.; Sarkar, A.; Chakraborty, S.; Sircar, E.; Dutta, S. Glutathione: Role in Oxidative/Nitrosative Stress, Antioxidant Defense, and Treatments. ChemistrySelect 2021, 6, 4566–4590. [Google Scholar] [CrossRef]
- Wiedenmann, T.; Dietrich, N.; Fleming, T.; Altamura, S.; Deelman, L.E.; Henning, R.H.; Muckenthaler, M.U.; Nawroth, P.P.; Hammes, H.P.; Wagner, A.H.; et al. Modulation of Glutathione Peroxidase Activity by Age-Dependent Carbonylation in Glomeruli of Diabetic Mice. J. Diabetes Complicat. 2018, 32, 130–138. [Google Scholar] [CrossRef] [PubMed]
- Shen, H.; Wang, W. Effect of Glutathione Liposomes on Diabetic Nephropathy Based on Oxidative Stress and Polyol Pathway Mechanism. J. Liposome Res. 2020, 6, 1–9. [Google Scholar] [CrossRef] [PubMed]
- Zhang, Y.; Lin, X.; Du, X.; Geng, S.; Li, H.; Sun, H.; Tang, X.; Xiao, W. pH-Sensitive Thiolated Nanoparticles Facilitate the Oral Delivery of Insulin In Vitro and In Vivo. J. Nanopart. Res. 2015, 17, 103. [Google Scholar] [CrossRef]
- Kuan, W.C.; Lai, J.W.; Lee, W.C. Covalent Binding of Glutathione on Magnetic Nanoparticles: Application for Immobilizing Small Fragment Ubiquitin-Like-Specific Protease 1. Enzym. Microb. Technol. 2021, 143, 109697. [Google Scholar] [CrossRef]
- Mohammadifard, M.; Mottaghipisheh, J. The Effects of Ethanolic Herbal Extracts and CuO Nanoparticles on Catalase, Glutathione Peroxidase and Malondialdehyde in Male Diabetic Rats. Biologia 2017, 72, 357–363. [Google Scholar] [CrossRef]
- Barathmanikanth, S.; Kalishwaralal, K.; Sriram, M.; Pandian, S.R.; Youn, H.S.; Eom, S.; Gurunathan, S. Anti-oxidant Effect of Gold Nanoparticles Restrains Hyperglycemic Conditions in Diabetic Mice. J. Nanobiotechnology 2010, 8, 16. [Google Scholar] [CrossRef] [PubMed] [Green Version]
- Sedeek, M.; Hebert, R.L.; Kennedy, C.R.; Burns, K.D.; Touyz, R.M. Molecular Mechanisms of Hypertension: Role of Nox Family NADPH Oxidases. Curr. Opin. Nephrol. Hypertens. 2009, 18, 122–127. [Google Scholar] [CrossRef] [PubMed]
- Griendling, K.K.; Camargo, L.L.; Rios, F.J.; Alves-Lopes, R.; Montezano, A.C.; Touyz, R.M.; Griendling, K.K. Oxidative Stress and Hypertension. Circ. Res. 2021, 128, 993–1020. [Google Scholar] [CrossRef]
- Zhang, Y.; Murugesan, P.; Huang, K.; Cai, H.; Zhang, Y. NADPH Oxidases and Oxidase Crosstalk in Cardiovascular Diseases: Novel Therapeutic Targets. Nat. Rev. Cardiol. 2020, 17, 170–194. [Google Scholar] [CrossRef] [PubMed]
- Paravicini, T.M.; Touyz, R.M. NADPH Oxidases, Reactive Oxygen Species, and Hypertension: Clinical Implications and Therapeutic Possibilities. Diabetes Care 2008, 31, 170–180. [Google Scholar] [CrossRef] [PubMed] [Green Version]
- Bertrand, N.; Wu, J.; Xu, X. Cancer Nanotechnology: The Impact of Passive and Active Targeting in the Era of Modern Cancer Biology. Adv. Drug Deliv. Rev. 2014, 66, 2–25. [Google Scholar] [CrossRef] [PubMed] [Green Version]
- Torchilin, V. Tumor Delivery of Macromolecular Drugs Based on the EPR Effect. Adv. Drug Deliv. Rev. 2011, 63, 131–135. [Google Scholar] [CrossRef]
- Maeda, H. Toward a Full Understanding of the EPR Effect in Primary and Metastatic Tumors as Well as Issues Related to Its Heterogeneity. Adv. Drug Deliv. Rev. 2015, 91, 3–6. [Google Scholar] [CrossRef]
- Danhier, F.; Feron, O.; Preat, V. To Exploit the Tumor Microenvironment: Passive and Active Tumor Targeting of Nanocarriers for Anti-Cancer Drug Delivery. J. Control. Release 2010, 148, 135–146. [Google Scholar] [CrossRef] [PubMed]
- Allen, T.M. Ligand-Targeted Therapeutics in Anticancer Therapy. Nat. Rev. Cancer 2002, 2, 750–763. [Google Scholar] [CrossRef]
- Cheng, R.; Meng, F.; Deng, C. Bioresponsive Polymeric Nanotherapeutics for Targeted Cancer Chemotherapy. Nano Today 2015, 10, 656–670. [Google Scholar] [CrossRef]
- Kanamala, M.; Wilson, W.R.; Yang, M. Mechanisms and Biomaterials in pH-Responsive Tumour Targeted Drug Delivery: A Review. Biomaterials 2016, 85, 152–167. [Google Scholar] [CrossRef]
- Cheng, R.; Feng, F.; Meng, F. Glutathione-Responsive Nano-Vehicles as a Promising Platform for Targeted Intracellular Drug and Gene Delivery. J. Control. Release 2011, 152, 2–12. [Google Scholar] [CrossRef] [PubMed]
- Shim, M.S.; Xia, Y.A. Reactive Oxygen Species (ROS)-Responsive Polymer for Safe, Efficient, and Targeted Gene Delivery in Cancer Cells. Angew. Chem. 2013, 125, 7064–7067. [Google Scholar] [CrossRef] [Green Version]
- Manchun, S.; Dass, C.R.; Sriamornsak, P. Targeted Therapy for Cancer Using pH-Responsive Nanocarrier Systems. Life Sci. 2012, 90, 381–387. [Google Scholar] [CrossRef]
- Deng, B.; Ma, P.; Xie, Y. Reduction-Sensitive Polymeric Nanocarriers in Cancer Therapy: A Comprehensive Review. Nanoscale 2015, 7, 12773–12795. [Google Scholar] [CrossRef]
- Yuan, H.; Pratte, J.; Giardina, C. Ferroptosis and Its Potential as a Therapeutic Target. Biochem. Pharm. 2021, 186, 114486. [Google Scholar] [CrossRef]
- Zhang, Z.Z.; Lee, E.E.; Sudderth, J.; Yue, Y.; Zia, A.; Glass, D.; Deberardinis, R.J.; Wang, R.C. Glutathione Depletion, Pentose Phosphate Pathway Activation, and Hemolysis in Erythrocytes Protecting Cancer Cells from Vitamin C-induced Oxidative Stress. J. Biol. Chem. 2016, 291, 22861–22867. [Google Scholar] [CrossRef] [Green Version]
- Shimada, K.; Hayano, M.; Pagano, N.C.; Stockwell, B.R. Cell-Line Selectivity Improves the Predictive Power of Pharmacogenomic Analyses and Helps Identify NADPH as Biomarker for Ferroptosis Sensitivity. Cell Chem. Biol. 2016, 23, 225–235. [Google Scholar] [CrossRef] [PubMed] [Green Version]
- Friedmann, A.J.P.; Conrad, M. Selenium and GPX4, a Vital Symbiosis. Free Radic. Biol. Med. 2018, 127, 153–159. [Google Scholar] [CrossRef] [PubMed] [Green Version]
- Liu, H.; Schreiber, S.L.; Stockwell, B.R. Targeting Dependency on the GPX4 Lipid Peroxide Repair Pathway for Cancer Therapy. Biochemistry 2018, 57, 2059–2060. [Google Scholar] [CrossRef] [Green Version]
- Hirschhorn, T.; Stockwell, B.R. The Development of the Concept of Ferroptosis. Free Radic. Biol. Med. 2019, 133, 130–143. [Google Scholar] [CrossRef]
- Turchi, R.; Faraonio, R.; Lettieri-Barbato, D.; Aquilano, K. An Overview of the Ferroptosis Hallmarks in Friedreich’s Ataxia. Biomolecules 2020, 10, 1489. [Google Scholar] [CrossRef]
- Stockwell, B.R.; Friedmann, A.J.P.; Bayir, H.; Bush, A.I.; Conrad, M.; Dixon, S.J.; Fulda, S.; Gascon, S.; Hatzios, S.K.; Kagan, V.E.; et al. Ferroptosis: A Regulated Cell Death Nexus Linking Metabolism, Redox Biology, and Disease. Cell 2017, 171, 273–285. [Google Scholar] [CrossRef] [Green Version]
- Meng, X.; Deng, J.; Liu, F.; Guo, T.; Liu, M.; Dai, P.; Fan, A.; Wang, Z.; Zhao, Y. Triggered All-Active Metal Organic Framework: Ferroptosis Machinery Contributes to the Apoptotic Photodynamic Antitumor Therapy. Nano Lett. 2019, 19, 7866–7876. [Google Scholar] [CrossRef] [PubMed]
- Guo, X.; Liu, F.; Deng, J.; Dai, P.; Qin, Y.; Li, Z.; Wang, B.; Fan, A.; Wang, Z.; Zhao, Y. Electron-Accepting Micelles Deplete Reduced Nicotinamide Adenine Dinucleotide Phosphate and Impair Two Antioxidant Cascades for Ferroptosis-Induced Tumor Eradication. ACS Nano 2020, 14, 14715–14730. [Google Scholar] [CrossRef]
- Gao, M.; Deng, J.; Liu, F.; Fan, A.; Wang, Y.; Wu, H.; Ding, D.; Kong, D.; Wang, Z.; Peer, D.; et al. Triggered Ferroptotic Polymer Micelles for Reversing Multidrug Resistance to Chemotherapy. Biomaterials 2019, 223, 119486. [Google Scholar] [CrossRef]
- Xu, Z.; Qin, T.; Zhou, X.; Wang, L.; Liu, B. Fluorescent Probes with Multiple Channels for Simultaneous Detection of Cys, Hcy, GSH, and H2S. TrAC Trends Anal. Chem. 2019, 121, 115672. [Google Scholar] [CrossRef]
- Raza, A.; Hayat, U.; Rasheed, T.; Bilal, M.; Iqbal, H.M.N. Redox-Responsive Nano-Carriers as Tumor-Targeted Drug Delivery Systems. Eur. J. Med. Chem. 2018, 157, 705–715. [Google Scholar] [CrossRef]
- Sufi, S.A.; Pajaniradje, S.; Mukherjee, V.; Rajagopalan, R. Redox Nano-Architectures: Perspectives and Implications in Diagnosis and Treatment of Human Diseases. Antioxid. Redox. Signal. 2019, 30, 762–785. [Google Scholar] [CrossRef] [PubMed]
- Li, R.; Peng, F.; Cai, J.; Yang, D.; Zhang, P. Redox Dual-Stimuli Responsive Drug Delivery Systems for Improving Tumor-Targeting Ability and Reducing Adverse Side Effects. Asian J. Pharm. Sci. 2020, 15, 311–325. [Google Scholar] [CrossRef]
- Lee, Y.; Thompson, D.H. Stimuli-Responsive Liposomes for Drug Delivery. Wiley Interdiscip. Rev. Nanomed. Nanobiotechnol. 2017, 9, 10. [Google Scholar] [CrossRef] [PubMed]
- Meng, F.; Hennink, W.E.; Zhong, Z. Reduction-Sensitive Polymers and Bioconjugates for Biomedical Applications. Biomaterials 2009, 30, 2180–2198. [Google Scholar] [CrossRef] [PubMed]
- Jiang, Z.; Thayumanavan, S. Disulfide-containing Macromolecules for Therapeutic Delivery. Isr. J. Chem. 2020, 60, 132–139. [Google Scholar] [CrossRef] [PubMed]
- Shao, W.; Liu, X.; Sun, G.; Hu, X.Y.; Zhu, J.J.; Wang, L. Construction of Drug-Drug Conjugate Supramolecular Nanocarriers Based on Water-Soluble Pillar [6] Arene for Combination Chemotherapy. Chem. Commun. 2018, 54, 9462–9465. [Google Scholar] [CrossRef] [PubMed] [Green Version]
- Khorsand, B.; Lapointe, G.; Brett, C.; Oh, J.K. Intracellular Drug Delivery Nanocarriers of Glutathione-Responsive Degradable Block Copolymers Having Pendant Disulfide Linkages. Biomacromolecules 2013, 14, 2103–2111. [Google Scholar] [CrossRef]
- Sun, B.; Luo, C.; Yu, H.; Zhang, X.; Chen, Q.; Yang, W.; Wang, M.; Kan, Q.; Zhang, H.; Wang, Y.; et al. Disulfide Bond-Driven Oxidation- and Reduction-Responsive Prodrug Nanoassemblies for Cancer Therapy. Nano Lett. 2018, 18, 3643–3650. [Google Scholar] [CrossRef]
- Luo, C.; Sun, J.; Sun, B.; Liu, D.; Miao, L.; Goodwin, T.J.; Huang, L.; He, Z. Facile Fabrication of Tumor Redox-Sensitive Nanoassemblies of Small-Molecule Oleate Prodrug as Potent Chemotherapeutic Nanomedicine. Small 2016, 12, 6353–6362. [Google Scholar] [CrossRef]
- Wang, Y.; Liu, D.; Zheng, Q.; Zhao, Q.; Zhang, H.; Ma, Y.; Fallon, J.K.; Fu, Q.; Haynes, M.T.; Lin, G.; et al. Disulfide Bond Bridge Insertion Turns Hydrophobic Anticancer Prodrugs into Self-Assembled Nanomedicines. Nano Lett. 2014, 14, 5577–5583. [Google Scholar] [CrossRef] [Green Version]
- Xue, P.; Liu, D.; Wang, J.; Zhang, N.; Zhou, J.; Li, L.; Guo, W.; Sun, M.; Han, X.; Wang, Y. Redox-Sensitive Citronellol-Cabazitaxel Conjugate: Maintained In Vitro Cytotoxicity and Self-Assembled as Multifunctional Nanomedicine. Bioconjug. Chem. 2016, 27, 1360–1372. [Google Scholar] [CrossRef]
- Luo, C.; Sun, J.; Liu, D.; Sun, B.; Miao, L.; Musetti, S.; Li, J.; Han, X.; Du, Y.; Li, L.; et al. Self-Assembled Redox Dual-Responsive Prodrug-Nanosystem Formed by Single Thioether-Bridged Paclitaxel-Fatty Acid Conjugate for Cancer Chemotherapy. Nano Lett. 2016, 16, 5401–5408. [Google Scholar] [CrossRef] [Green Version]
- Li, M.; Zhao, L.; Zhang, T.; Shu, Y.; He, Z.; Ma, Y.; Liu, D.; Wang, Y. Redox-Sensitive Prodrug Nanoassemblies Based on Linoleic Acid-Modified Docetaxel to Resist Breast Cancers. Acta Pharm. Sin. B 2019, 9, 421–432. [Google Scholar] [CrossRef] [PubMed]
- Zhang, H.; Zhang, Y.; Chen, Y.; Zhang, Y.; Wang, Y.; Zhang, Y.; Song, L.; Jiang, B.; Su, G.; Li, Y.; et al. Glutathione-Responsive Self-Delivery Nanoparticles Assembled by Curcumin Dimer for Enhanced Intracellular Drug Delivery. Int. J. Pharm. 2018, 549, 230–238. [Google Scholar] [CrossRef]
- Ling, X.; Tu, J.; Wang, J.; Shajii, A.; Kong, N.; Feng, C.; Zhang, Y.; Yu, M.; Xie, T.; Bharwani, Z.; et al. Glutathione-Responsive Prodrug Nanoparticles for Effective Drug Delivery and Cancer Therapy. ACS Nano 2019, 13, 357–370. [Google Scholar] [CrossRef] [PubMed]
- Huang, H.; Dong, Y.; Zhang, Y.; Ru, D.; Wu, Z.; Zhang, J.; Shen, M.; Duan, Y.; Sun, Y. GSH-Sensitive Pt (IV) Prodrug-Loaded Phase-Transitional Nanoparticles with a Hybrid Lipid-Polymer Shell for Precise Theranostics Against Ovarian Cancer. Theranostics 2019, 9, 1047–1065. [Google Scholar] [CrossRef]
- Manjare, S.T.; Kim, S.; Heo, W.D.; Churchill, D.G. Selective and Sensitive Superoxide Detection with a New Diselenide-Based Molecular Probe in Living Breast Cancer Cells. Org Lett. 2014, 16, 410–412. [Google Scholar] [CrossRef] [PubMed]
- Han, W.; Zhang, S.; Qian, J.; Zhang, J.; Wang, X.; Xie, Z.; Xu, B.; Han, Y.; Tian, W. Redox-responsive Fluorescent Nanoparticles Based on Diselenide-containing AIEgens for Cell Imaging and Selective Cancer Therapy. Chem. Asian J. 2019, 14, 1745–1753. [Google Scholar] [CrossRef]
- Zhao, J.; Pan, X.; Zhu, J.; Zhu, X. Novel AIEgen-Functionalized Diselenide-Crosslinked Polymer Gels as Fluorescent Probes and Drug Release Carriers. Polymers 2020, 12, 551. [Google Scholar] [CrossRef] [Green Version]
- Xu, K.; Qiang, M.; Gao, W.; Su, R.; Li, N.; Gao, Y.; Xie, Y.; Kong, F.; Tang, B. A Near-Infrared Reversible Fluorescent Probe for Real-Time Imaging of Redox Status Changes In Vivo. Chem. Sci. 2013, 4, 1079–1086. [Google Scholar] [CrossRef]
- Wang, Y.; Deng, Y.; Luo, H.; Zhu, A.; Ke, H.; Yang, H.; Chen, H. Light-Responsive Nanoparticles for Highly Efficient Cytoplasmic Delivery of Anticancer Agents. ACS Nano 2017, 11, 12134–12144. [Google Scholar] [CrossRef] [PubMed]
- Jiang, J.; Zhang, D.; Yin, J.; Cui, Z. Responsive, Switchable Wormlike Micelles for CO2/N2 and Redox Dual Stimuli Based on Selenium-Containing Surfactants. Soft Matter 2017, 13, 6458–6464. [Google Scholar] [CrossRef] [PubMed]
- Zhang, Y.; Liu, L.; Liu, X.; Fang, Y. Reversibly Switching Wormlike Micelles Formed by a Selenium-Containing Surfactant and Benzyl Tertiary Amine Using CO2/N2 and Redox Reaction. Langmuir 2018, 34, 2302–2311. [Google Scholar] [CrossRef]
- Wang, D.; Dong, H.; Li, M.; Cao, Y.; Yang, F.; Zhang, K.; Dai, W.; Wang, C.; Zhang, X. Erythrocyte-Cancer Hybrid Membrane Camouflaged Hollow Copper Sulfide Nanoparticles for Prolonged Circulation Life and Homotypic-Targeting Photothermal/Chemotherapy of Melanoma. ACS Nano 2018, 12, 5241–5252. [Google Scholar] [CrossRef]
- Rao, L.; Cai, B.; Bu, L.L.; Liao, Q.Q.; Guo, S.S.; Zhao, X.Z.; Dong, W.F.; Liu, W. Microfluidic Electroporation-Facilitated Synthesis of Erythrocyte Membrane-Coated Magnetic Nanoparticles for Enhanced Imaging-Guided Cancer Therapy. ACS Nano 2017, 11, 3496–3505. [Google Scholar] [CrossRef]
- Zhen, X.; Xie, C.; Pu, K. Temperature-Correlated Afterglow of a Semiconducting Polymer Nanococktail for Imaging-Guided Photothermal Therapy. Angew. Chem. 2018, 130, 4002–4006. [Google Scholar] [CrossRef]
- Ruan, Y.; Jia, X.; Wang, C.; Zhen, W.; Jiang, X. Methylene Blue Loaded Cu-Tryptone Complex Nanoparticles: A New Glutathione-Reduced Enhanced Photodynamic Therapy Nanoplatform. ACS Biomater. Sci. Eng. 2019, 5, 1016–1022. [Google Scholar] [CrossRef]
- Chen, H.; Liu, Z.; Wei, B.; Huang, J.; You, X.; Zhang, J.; Yuan, Z.; Tang, Z.; Guo, Z.; Wu, J. Redox Responsive Nanoparticle Encapsulating Black Phosphorus Quantum Dots for Cancer Theranostics. Bioact. Mater. 2021, 6, 655–665. [Google Scholar] [CrossRef]
- Yang, Z.; Li, P.; Chen, Y.; Gan, Q.; Feng, Z.; Jin, Y.; Zhou, C.; He, Z.; Wang, C.; Liu, Y.; et al. Construction of pH/Glutathione Responsive Chitosan Nanoparticles by a Self-Assembly/Self-Crosslinking Method for Photody-Namic Therapy. Int. J. Biol. Macromol. 2021, 167, 46–58. [Google Scholar] [CrossRef] [PubMed]
- Ma, S.; Yang, Q.; Zhang, W.; Xiao, G.; Wang, M.; Cheng, L.; Zhou, X.; Zhao, M.; Ji, J.; Zhang, J.; et al. Silver Nanoclusters and Carbon Dots Based Light-Addressable Sensors for Multichannel Detections of Dopamine and Glutathione and Its Applications in Probing of Parkinson’s Diseases. Talanta 2020, 219, 121290. [Google Scholar] [CrossRef]
- Chauhan, A.; Chauhan, V.; Brown, W.T.; Cohen, I. Oxidative Stress in Autism: Increased Lipid Peroxidation and Reduced Serum Levels of Ceruloplasmin and Transferrin–The Anti-oxidant Proteins. Life Sci. 2004, 75, 2539–2549. [Google Scholar] [CrossRef]
- Jayaprakash, P.; Isaev, D.; Shabbir, W.; Lorke, D.E.; Sadek, B.; Oz, M. Curcumin Potentiates α7 Nicotinic Acetylcholine Receptors and Alleviates Autistic-Like Social Deficits and Brain Oxidative Stress Status in Mice. Int. J. Mol. Sci. 2021, 22, 7251. [Google Scholar] [CrossRef]
- Stanton, J.E.; Malijauskaite, S.; McGourty, K.; Grabrucker, A.M. The Metallome as a Link Between the “Omes” in Autism Spectrum Disorders. Front. Mol. Neurosci. 2021, 14, 695873. [Google Scholar] [CrossRef]
- Pangrazzi, L.; Balasco, L.; Bozzi, Y. Natural Antioxidants: A Novel Therapeutic Approach to Autism Spectrum Disorders? Antioxidants 2020, 9, 1186. [Google Scholar] [CrossRef]
- Melnyk, S.; Fuchs, G.J.; Schulz, E.; Lopez, M.; Kahler, S.G.; Fussell, J.J.; Bellando, J.; Pavliv, O.; Rose, S.; Seidel, L.; et al. Metabolic Imbalance Associated with Methylation Dysregulation and Oxidative Damage in Children with Autism. J. Autism Dev. Disord. 2012, 42, 367–377. [Google Scholar] [CrossRef] [PubMed] [Green Version]
- Diao, X.; Zhou, Z.; Xiang, W.; Jiang, Y.; Tian, N.; Tang, X.; Chen, S.; Wen, J.; Chen, M.; Liu, K.; et al. Glutathione Alleviates Acute Intracerebral Hemorrhage Injury via Reversing Mitochondrial Dysfunction. Brain Res. 2020, 1727, 146514. [Google Scholar] [CrossRef] [PubMed]
- Jung, H.S.; Chen, X.; Kim, J.S.; Yoon, J. Recent Progress in Luminescent and Colorimetric Chemosensors for Detection of Thiols. Chem. Soc. Rev. 2013, 42, 6019–6031. [Google Scholar] [CrossRef] [PubMed]
- Yue, Y.; Huo, F.; Yin, C. Yue Y. The Chronological Evolution of Small Organic Molecular Fluorescent Probes for Thiols. Chem. Sci. 2020, 12, 1220–1226. [Google Scholar] [CrossRef] [PubMed]
- Zheng, Y.; Hou, P.; Li, Y.; Sun, J.; Cui, H.; Zhang, H.; Chen, S. A Phenothiazine-HPQ Based Fluorescent Probe with a Large Stokes Shift for Sensing Biothiols in Living Systems. Molecules 2021, 26, 2337. [Google Scholar] [CrossRef]
- Liu, Z.; Wang, Q.; Wang, H.; Su, W.; Dong, S. A FRET Based Two-Photon Fluorescent Probe for Visualizing Mitochondrial Thiols of Living Cells and Tissues. Sensors 2020, 20, 1746. [Google Scholar] [CrossRef] [PubMed] [Green Version]
- Ren, X.; Wang, F.; Lv, J.; Wei, T.; Zhang, W.; Wang, Y.; Chen, X. An ESIPT-Based Fluorescent Probe for Highly Selective Detection of Glutathione in Aqueous Solution and Living Cells. Dye. Pigment. 2016, 129, 156–162. [Google Scholar] [CrossRef]
- Mao, Y.; Xu, Y.; Li, Z.; Wang, Y.; Du, H.; Liu, L.; Ding, R.; Liu, G. A GSH Fluorescent Probe with a Large Stokes Shift and Its Application in Living Cells. Sensors 2019, 19, 5348. [Google Scholar] [CrossRef] [PubMed] [Green Version]
- Xu, S.; Zhou, J.; Dong, X.; Zhao, W.; Zhu, Q. Fluorescent Probe for Sensitive Discrimination of Hcy and Cys/GSH in Living Cells via Dual-Emission. Anal. Chim. Acta. 2019, 1074, 123–130. [Google Scholar] [CrossRef]
- Huang, J.; Chen, Y.; Qi, J.; Zhou, X.; Niu, L.; Yan, Z.; Wang, J.; Zhao, G. A Dual-Selective Fluorescent Probe for Discriminating Glutathione and Homocysteine Simultaneously. Spectrochim. Acta A Mol. Biomol. Spectrosc. 2018, 201, 105–111. [Google Scholar] [CrossRef]
- Xia, X.; Qian, Y. NIR Two-Photon Fluorescent Probe for Biothiol Detection and Imaging of Living Cells In Vivo. Analyst 2018, 143, 5218–5224. [Google Scholar] [CrossRef]
- Tian, M.; Liu, Y.; Jiang, F.L. On the Route to Quantitative Detection and Real-Time Monitoring of Glutathione in Living Cells by Reversible Fluorescent Probes. Anal. Chem. 2020, 92, 14285–14291. [Google Scholar] [CrossRef]
- Li, R.; Kassaye, H.; Pan, Y.; Shen, Y.; Li, W.; Cheng, Y.; Guo, J.; Xu, Y.; Yin, H.; Yuan, Z. A Visible and Near-Infrared Dual-Fluorescent Probe for Discrimination Between Cys/Hcy and GSH and Its Application in Bioimaging. Biomater. Sci. 2020, 8, 5994–6003. [Google Scholar] [CrossRef]
- Yoshida, M.; Kamiya, M.; Yamasoba, T.; Urano, Y. A Highly Sensitive, Cell-Membrane-Permeable Fluorescent Probe for Glutathione. Bioorg. Med. Chem. Lett. 2014, 24, 4363–4366. [Google Scholar] [CrossRef]
- Niko, Y.; Arntz, Y.; Mely, Y.; Konishi, G.; Klymchenko, A.S. Disassembly-Driven Fluorescence Turn-On of Polymerized Micelles by Reductive Stimuli in Living Cells. Chemistry 2014, 20, 16473–16477. [Google Scholar] [CrossRef] [PubMed]
- Li, Q.; Cao, J.; Wang, Q.; Zhang, J.; Zhu, S.; Guo, Z.; Zhu, W.H. Nanomized Tumor-Microenvironment-Active NIR Fluorescent Prodrug for Ensuring Synchronous Occurrences of Drug Release and Fluorescence Tracing. J. Mater. Chem. B 2019, 7, 1503–1509. [Google Scholar] [CrossRef] [PubMed]
- Zhang, Y.H.; Zhang, Y.M.; Sheng, X.; Wang, J.; Liu, Y. Enzyme-Responsive Fluorescent Camptothecin Prodrug/Polysaccharide Supramolecular Assembly for Targeted Cellular Imaging and In Situ Controlled Drug Release. Chem. Commun. 2020, 56, 1042–1045. [Google Scholar] [CrossRef] [PubMed]
- Lu, H.; Zhao, Q.; Wang, X.; Mao, Y.; Chen, C.; Gao, Y.; Sun, C.; Wang, S. Multi-Stimuli Responsive Mesoporous Silica-Coated Carbon Nanoparticles for Chemo-Photothermal Therapy of Tumor. Colloids Surf. B Biointerfaces 2020, 190, 110941. [Google Scholar] [CrossRef]
- Choi, C.A.; Ryplida, B.; In, I.; Park, S.Y. Selective Redox-Responsive Theragnosis Nanocarrier for Breast Tumor Cells Mediated by MnO2/Fluorescent Carbon Nanogel. Eur. J. Pharm. Sci. 2019, 134, 256–265. [Google Scholar] [CrossRef]
- Li, Y.; Wu, Y.; Chen, J.; Wan, J.; Xiao, C.; Guan, J.; Song, X.; Li, S.; Zhang, M.; Cui, H.; et al. A Simple Glutathione-Responsive Turn-On Theranostic Nanoparticle for Dual-Modal Imaging and Chemo-Photothermal Combination Therapy. Nano Lett. 2019, 19, 5806–5817. [Google Scholar] [CrossRef] [PubMed]
- Yang, H.; Wang, N.; Mo, L.; Wu, M.; Yang, R.; Xu, X.; Huang, Y.; Lin, J.; Zhang, L.M.; Jiang, X. Reduction Sensitive Hyaluronan-SS-Poly (epsilon-Caprolactone) Block Copolymers as Theranostic Nanocarriers for Tumor Diag-Nosis and Treatment. Mater. Sci. Eng. C Mater. Biol. Appl. 2019, 98, 9–18. [Google Scholar] [CrossRef] [PubMed]
- Yang, H.-K.; Qi, M.; Mo, L.; Yang, R.-M.; Xu, X.-D.; Bao, J.-F.; Tang, W.-J.; Lin, J.-T.; Zhang, L.-M.; Jiang, X.-Q. Reduction-Sensitive Amphiphilic Dextran Derivatives as Theranostic Nanocarriers for Chemotherapy and MR Imaging. RSC Adv. 2016, 6, 114519–114531. [Google Scholar] [CrossRef]
- Wei, Z.-J.; Yu, S.-X. Modification and Stability Evaluation of Reduced Glutathione Nano-Liposomes. Sci. Technol. Food Ind. 2020, 11, 28–36. [Google Scholar]






| Kinds | Response Sensitivity | Stability in Normal Environment | Complexity in Construction | Reference |
|---|---|---|---|---|
| S-S | strong reduction sensitivity | stable | easy | [67,68,69,70,71,72] |
| -S- | strong dual redox sensitivity | relatively stable | relatively easy | [73,74,75] |
| Pt-O | strong reduction sensitivity | relatively stable | easy | [76,77] |
| Se-Se | strong dual redox sensitivity | relatively stable | easy | [78,79,80] |
| Se-N | strong dual redox sensitivity | relatively stable | easy | [81] |
| -Se- | weak dual redox sensitivity | unstable | relatively easy | [82,83,84] |
Publisher’s Note: MDPI stays neutral with regard to jurisdictional claims in published maps and institutional affiliations. |
© 2021 by the authors. Licensee MDPI, Basel, Switzerland. This article is an open access article distributed under the terms and conditions of the Creative Commons Attribution (CC BY) license (https://creativecommons.org/licenses/by/4.0/).
Share and Cite
Li, W.; Li, M.; Qi, J. Nano-Drug Design Based on the Physiological Properties of Glutathione. Molecules 2021, 26, 5567. https://doi.org/10.3390/molecules26185567
Li W, Li M, Qi J. Nano-Drug Design Based on the Physiological Properties of Glutathione. Molecules. 2021; 26(18):5567. https://doi.org/10.3390/molecules26185567
Chicago/Turabian StyleLi, Wenhua, Minghui Li, and Jing Qi. 2021. "Nano-Drug Design Based on the Physiological Properties of Glutathione" Molecules 26, no. 18: 5567. https://doi.org/10.3390/molecules26185567
APA StyleLi, W., Li, M., & Qi, J. (2021). Nano-Drug Design Based on the Physiological Properties of Glutathione. Molecules, 26(18), 5567. https://doi.org/10.3390/molecules26185567
