Abstract
Heavy metal and metalloid-contaminated soil is a serious barrier to colonization for many plant species. The problem of the elimination of toxic waste accumulated in technogenous soils in many highly transformed regions is extremely important. Hence, another attempt was made to analyze the effect of the addition of sorbents (BCH—biochar, B—bentonite, ChM—chicken manure, OS—organo-zeolitic substrate) to contaminated copper soil on the germination and early growth of Eurasian common grass species (Agrostis capillaris, A. stolonifera, Festuca rubra and Poa pratensis), which could potentially be used in recultivation. This experiment was based on the laboratory sandwich method. Standard germination indexes, morphometry and biomass analysis were used. The percentage of germinating seeds was lower in each of the soil variants and sorbents used compared to the control. Dry mass was positively stimulated by all sorbents. The response to the addition of sorbents, expressed as the electrolyte leakage of seedlings, was different depending on the species and type of sorbent. Among all sorbents, the most positive effects on germination and growth were observed in the case of OS. Overall, the response to the addition of sorbents was different in the studied species, depending on their stage of development.
1. Introduction
Potentially toxic elements (PTEs) occur naturally in the environment. However, weathering and volcanic eruptions and other natural activities produce only insignificant concentrations of them. The most important sources of high contents of PTEs, above all in soil, are anthropogenic activities such as mining and smelting operations, industrial production and urbanization [1,2,3,4].
Soils contaminated with PTEs have sporadic to absent vegetation cover and are exposed to wind, water erosion, solar radiation and solifluction; therefore, PTEs can spread to the surrounding uncontaminated soil [5,6,7]. Increased concentrations of PTEs in the soil currently represent one of the most serious environmental problems, as they adversely affect the quality of the environment and are toxic to living organisms [3,8,9]. To eliminate their harmful effects, it is necessary to reduce their content in the soil by remediation methods. In the past, conventional methods have been used such as soil washing, soil replacement, landfilling, etc. The disadvantages of these techniques are impracticality, their time-consuming nature, money and material requirements [10,11,12].
Currently, there is a trend to use acceptable forms of remediation, not only from an ecological and economic point of view [11], but also from a social point of view. The use of sorbents, especially natural ones, appears to be one of these trends. Sorbents are solid substances that are able to adsorb or absorb another substance [13]. Frequently used sorbents include, for example, bentonite, perlite, biochar, CaCO3 and manure [14].
Bentonite is one of the most abundant minerals in soil [15]. It is a kind of clay rock composed primarily of montmorillonite; it mainly includes minerals from the group of smectite clays, quartz impurities and minerals containing kaolinite and illite [16]. It has been shown to be an effective sorbent for Pb, Cd, Cu, Zn [17,18,19], Cr, Hg [20], Ni and Mn from aqua media [21], improve water use efficiency, increase soil moisture, and increase the availability of water, organic carbon and potassium in the soil, which has a positive effect on the emergence and yield of plants [22,23].
Biochar is a solid carbonized product of the thermal decomposition of organic matter with high aromaticity and high carbon content at a temperature below 900 °C under conditions of oxygen deficit [24,25]. Plant-based biochar is usually poor in nutrients, while manure is rich in nutrients and is treated as a fertilizer [26,27]. This sorbent increases water retention [28], specific surface area, cation exchange capacity, total N, organic C and soil nutrient availability [29,30] and supports carbon sequestration and greenhouse gas mitigation [31]. It can immobilize heavy metals by absorbing them on its surface, increase soil pH and induce a liming effect, effectively reducing the mobility of As, Cd, Cu, Ni, Pb and Zn [32,33]. It has a positive effect on plant growth and microbial activity in soils contaminated with metals [27,34]. Biochar can significantly reduce the content of Pb, Zn, Cd and Cu [35,36,37].
Organo-zeolitic substrates consist of a mixture of sorbents of biological origin (e.g., manure, biochar, peat, etc.) and an alkaline zeolite, and optionally also another sorbent of abiotic origin (e.g., CaCO3). Each of these components has shown a positive effect on reducing the content of some PTEs, e.g., perlite: Pb, Cu, Ni, Cd, [38]; chicken manure: Cd, Ni [39,40]; CaCO3: Pb, Cu, Cd [41,42]. Zeolites have a positive effect on the fertility and sorption properties of the soil and the formation of phytomass [43,44]. Acting as a free soluble fertilizer, they improve the water balance and sorption properties, especially in light, sandy soils, which translates into higher yield and better quality. Soil fertilized or enriched with mixtures of organic zeolites regulates the release of N and minimizes the formation of reactive N(NO3–) [45].
The availability of Cu and other metals in soils is influenced by the content of organic matter, clay and soil pH [46]. In general, a high proportion of organic matter may reduce the bioavailability of heavy metals [47]. A large specific surface of clay minerals and an increase in soil pH contribute to a greater immobilization of heavy metals, especially those in the form of cations [48,49,50,51]. The aim of this experiment was to investigate the effect of the additives of five selected sorbents on the germination and growth of Eurasian common grasses, on a substrate containing soil contaminated with copper and other potentially toxic ingredients. These studies are a continuation of the experiment described in the study by Turisová et al. [52].
2. Results
2.1. Germination Capacity
Regardless of the type of grass, the highest germination capacity was demonstrated for seeds grown in the control group on distilled water (Table 1 and Table 2). The germination rate calculated after 3 days of germination (GR3) for Agrostis capillaris and A. stolonifera was similar between the control and the copper-contaminated soil without sorbents (Cu). In A. capillaris, the sorbents used caused a decrease in GR3 values compared to the control and the Cu-contaminated soil (Cu). No significant differences in the amount of germinated seeds were also observed between seeds germinating on Petri dishes with Cu alone and with the addition of organic substrates (OS). The seeds of A. stolonifera after 3 days of treatment with sorbents germinated in a lower amount than the seeds germinated in the control sample. At that time, on the Petri dishes with the addition of biochar (BCH), no germinated seeds were observed. The GR3 index of Festuca rubra seeds was significantly the highest in the sample with distilled water, and the lowest in the chicken manure sample (ChM). Poa pratensis showed the highest percentage of germinated seeds on a substrate with Cu alone compared to all other samples.
Table 1.
Values of selected germination indexes of grass seeds recorded on various modifications of soil contaminated with copper; mean values (n = 5; ± SD) marked with different letters (within each species, in columns) differ significantly according to Duncan’s test with p ≤ 0.05.
Table 2.
Comparison of the impact of soil with an increased content of Cu and with the addition of sorbents (BCH—biochar, B—bentonite, ChM—chicken manure, OS—organo-zeolitic substrate) on selected parameters of germination and growth of the studied species of grasses (AC—Agrostis capillaris, AS—A. stolonifera, FR—Festuca rubra, PP—Poa pratensis); germination indexes: RG—rate of germination, SVI—seed vigor index, RI—contamination soil effect response index; elongation growth parameters: FM—fresh mass, DM—dry mass, EL—electrolyte leakage.
Germination rates after 7 days of germination (GR7) for A. capillaris, A. stolonifera and F. rubra were similar in all soil types and in the control. In the case of P. pratensis, similar GR7 values between the control and Cu and with the addition of OS were observed. In the remaining cases, the number of germinated seeds was significantly lower than in distilled water (control).
The values of grass germination expressed by the speed of emergence (SE) were the highest in the control. In A. capillaris, the significantly lowest SE values for seeds grown with the addition of ChM, bentonite (B) and BCH were found. A. stolonifera seeds achieved the lowest values of the SE index on BCH, ChM and OS. In F. rubra, each of the sorbents decreased the SE values compared to the control. The lowest values of this index were observed for seeds germinated on ChM. The SE index in P. pratensis was similar between the control and Cu. The other sorbents significantly decreased the SE values in relation to the seeds from the control sample.
The germination index (GI) in A. capillaris was similar between the control and Cu, and significantly lower in the presence of sorbents. For A. stolonifera seeds, no statistical differences were found in the value of this index. The GI of F. rubra was significantly lower in the presence of each of the sorbents and Cu. In the case of P. pratensis, the highest GI values were observed for Cu in relation to the control and sorbents.
The mean germination rate (MGT) for germinating seeds of A. capillaris, A. stolonifera and Festuca rubra was similar and did not differ between the control and the sorbents. In the case of P. pratensis, a decrease in its value was observed on BCH, B and ChM media compared to the control (Figure 1A).
Figure 1.
Selected germination indexes of grass seeds ((A)—MGT—mean germination time, (B)—SVI—seed vigor index, (C)—RG—rate of germination, (D)—RI—contamination soil effect response index) on various modifications of soil contaminated with copper; Cu—copper soil, copper soil with sorbents: BCH—biochar, B—bentonite, ChM—chicken manure, OS—organo-zeolitic substrate; mean values (n = 5; ± SD) marked with different letters (within each species) differ significantly according to Duncan’s test with p ≤ 0.05.
The seed vigor index (SVI) for A. capillaris was similar between the control and ChM and OS. A significant reduction in the SVI value was demonstrated for the remaining sorbents in relation to the control sample. The germinating seeds of A. stolonifera achieved the lowest values of the SVI index on the substrate with Cu, both in relation to the control and other tested sorbents. Significantly lower SVI values were observed on the BCH and B media. In the case of F. rubra, SVI was the lowest for seeds germinated on Cu. In P. pratensis, significant differences were found between the seeds germinated on the B sample compared to other sorbents and the control (Figure 1B).
The values of the CRG index in A. capillaris were significantly the highest for seeds germinated on ChM compared to the control and other sorbents. In A. stolonifera, the CRG achieved the lowest values on BCH, B and ChM. For seeds of F. rubra, no changes in the values of this parameter were found. In the case of P. pratensis, significant differences between OS and the control and Cu were observed (Figure 1C).
The contamination soil effect response index (RI) expressed in % of control showed that the germination of A. capillaris seeds was inhibited on Petri dishes with Cu, BCH and OS. In A. stolonifera, a negative effect on the germination capacity of Cu, BCH and B was found. In the case of F. rubra seeds, BCH and B limited seed germination. In P. pratensis, it was shown that all sorbents inhibited germination. Only soils with Cu alone, devoid of sorbents, had a positive effect (Figure 1D and Table 2).
2.2. Biometric Analysis
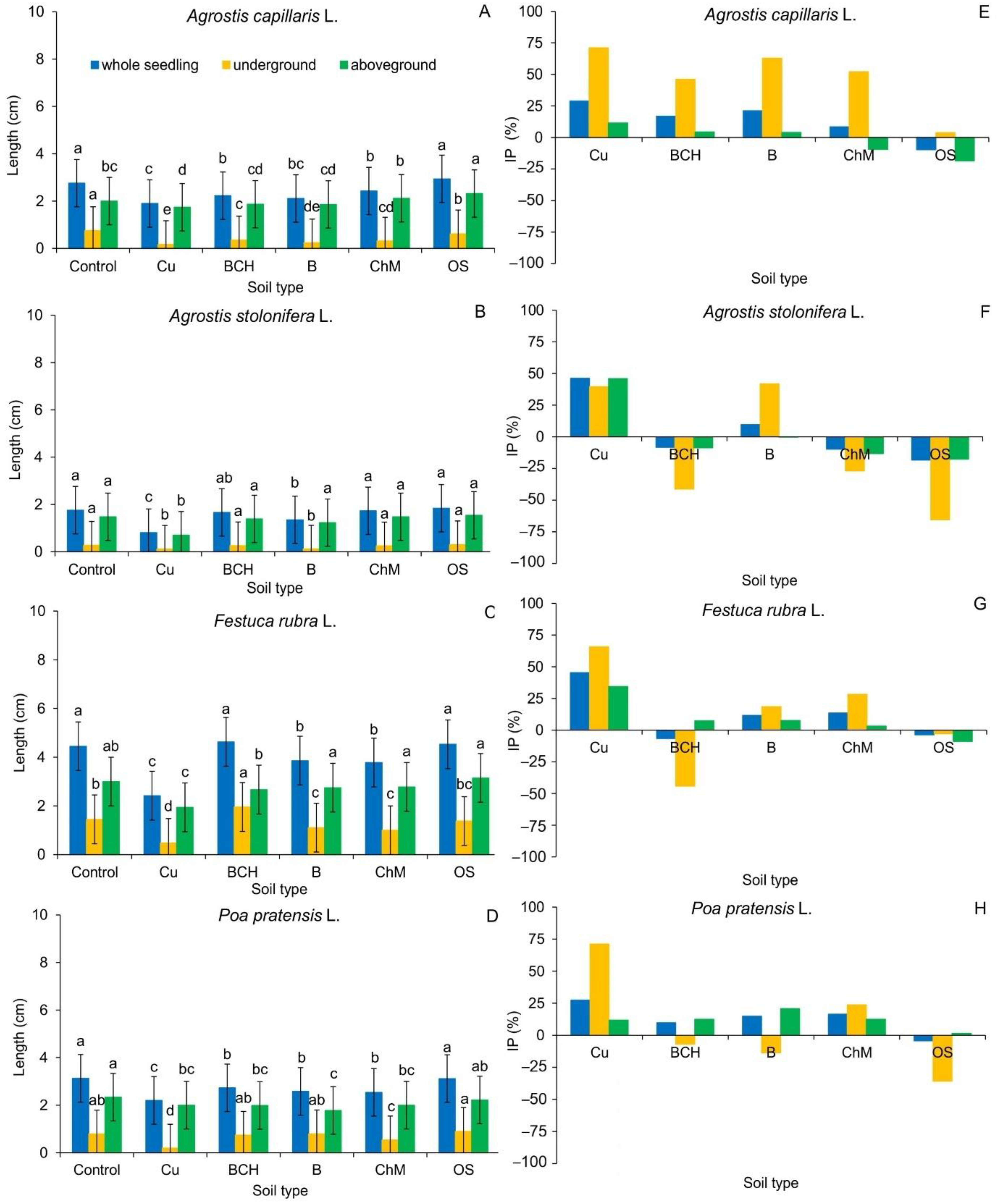
Biometric analysis of whole seedlings and roots of Agrostis capillaris showed similar values between the control and OS (Figure 2A, Figure 3A and Table 2). For seeds treated with Cu and B, the significantly lowest elongation growth was observed. The aboveground part of A. capillaris seedlings was the longest on the OS compared to the control and other sorbents. These results were confirmed by calculating the growth inhibition index (IP) of the seedlings expressed in % of control. The IP values for all examined organs of A. capillaris seedlings were generally positive, which indicated a negative impact of soil modification on their elongation growth. The exception was the addition of OS sorbent, which slightly stimulated the growth of whole seedlings (negative values in the figure) (Figure 2E and Table 2).
Figure 2.
Length of grass seedlings germinated on various modifications of soil contaminated with copper; Cu—copper soil, copper soil with sorbents: BCH—biochar, B—bentonite, ChM—chicken manure, OS—organo-zeolitic substrate; mean values (n = 5; ± SD) expressed in (cm): (A)–(D) and in % of control: (E)–(H), marked with different letters (within each of the grass species) differ significantly according to Duncan’s test with p ≤ 0.05.

Figure 3.
Petri dish tests after (sandwich method) 7 days of the experiment; (A)—Agrostis capillaris L., (B)—A. stolonifera L., (C)—Festuca rubra L., (D)—Poa pratensis L.; Control—distilled water, Cu—copper soil; copper soil with sorbents: BCH—biochar, B—bentonite, ChM—chicken manure, OS—organo-zeolitic substrate.
The length of the whole seedlings of A. stolonifera was significantly the shortest in the seedlings grown on Cu in relation to the control and all sorbents (Figure 2B and Figure 3B). The root was most inhibited by Cu soil and Cu soil with bentonite (B) compared to the control (distilled water) and other sorbents. The aboveground part was significantly inhibited only by Cu soil. The obtained results were confirmed by measuring the IP of A. stolonifera underground and aboveground organs (Figure 2F). The soil contaminated with Cu inhibited the elongation growth of all seedling organs. Similarly, Cu soils with B addition negatively influenced the growth of roots and whole seedlings of A. stolonifera (positive values in the figure). The remaining sorbents showed a positive effect on seedling elongation (negative values in the figure).
The morphology of the seedlings of F. rubra showed that soils contaminated with Cu alone and those with sorbents—B and ChM—inhibited the growth of whole seedlings (Figure 2C and Figure 3C). In the case of underground parts, the significantly highest increase was observed for the roots of seedlings germinated on BCH, and the lowest on Cu, compared to the control. The aboveground part was significantly shortest in seedlings grown on Cu compared to the remaining samples. Positive values of IP confirmed the negative effect of Cu, B and ChM on the growth of F. rubra seedlings, and the negative values of the positive effect of BCH and OS (Figure 2G).
The length of whole P. pratensis seedlings did not differ between the control and OS (Figure 2D and Figure 3D). In the remaining cases, growth inhibition was observed, as compared to the control. The shortest roots were found for P. pratensis seedlings grown on substrates with only Cu and ChM in relation to the remaining studied groups. The aboveground part of P. pratensis was the longest in the control and OS. In the remaining cases, the growth of this organ was inhibited.
The values of the IP index in most of the samples were positive for all studied organs of P. pratensis seedlings (Figure 2H). The exceptions were the aboveground parts of seedlings germinated on BCH, B and OS and the length of the whole seedlings germinated on OS, which reached negative values, which indicated a positive effect of sorbents on their elongation.
2.3. Fresh and Dry Masses and Total Water Content
The fresh mass of single seedlings of Agrostis capillaris was smaller for seedlings grown on B and ChM compared to the control and other sorbents. A. stolonifera seedlings achieved similar mass values only on the Petri dishes with distilled water and OS. In other cases, the fresh mass decreased. The values of this parameter for Festuca rubra significantly decreased in seedlings germinated on Cu and B compared to the control and other sorbents. The fresh mass of Poa pratensis seedlings was smaller in each treatment, relative to the control (Figure 4A).
Figure 4.
Values of fresh (A) and dry (B) mass, percentage of dry mass (C) and water content (D) in grass seedlings germinated on Petri dishes with various modifications of soil contaminated with copper; Cu—copper soil, copper soil with sorbents: BCH—biochar, B—bentonite, ChM—chicken manure, OS—organo-zeolitic substrate; mean values (n = 5; ± SD) marked with different letters (within each species) differ significantly according to Duncan’s test with p ≤ 0.05.
The dry mass of A. capillaris seedlings was the largest for seedlings grown on Petri dishes with Cu compared to the control and sorbents. In A. stolonifera and P. pratensis, no statistically significant differences were found in the dry mass values. Compared to the control, each of the sorbents caused an increase in dry mass of F. rubra seedlings. The largest increase in the value of this parameter was observed for seedlings on BCH (Figure 4B and Table 2).
The percentage of dry mass of A. capillaris seedlings did not differ significantly between the control and the Cu and sorbents. The highest percentages of dry mass of A. stolonifera seedlings were found on Petri dishes with B compared to the control and other sorbents. For F. rubra and P. pratensis, the values of this parameter were the lowest in the control (Figure 4C).
Total water content (TWC) in A. capillaris achieved significantly the highest values in the control in relation to Cu, B and OS. A. stolonifera seedlings showed no significant differences in the percentage of water content. Compared to the control, each of the sorbents caused a significant reduction in TWC in F. rubra and P. pratensis seedlings (Figure 4D).
2.4. Electrolyte Leakage
For Agrostis capillaris seedlings, significant differences were found only between the control and OS. The remaining sorbents increased the percentage of electrolyte leakage, but these differences were not statistically significant. In A. stolonifera, a significant increase in electrolyte leakage was noted for B, ChM and OS compared to the control. In Festuca rubra, BCH significantly reduced the destabilization of cell membranes compared to the distilled water, other sorbents and the soil itself contaminated with Cu. In Poa pratensis, each of the sorbents increased the flow of electrolytes through the membranes. For seedlings grown on Cu and B, statistically significant differences were observed (Figure 5 and Table 2).
Figure 5.
Percentage of electrolyte leakage through cell membranes of grass seedlings germinated on various modifications of soil contaminated with copper; Cu—copper soil, copper soil with sorbents: BCH—biochar, B—bentonite, ChM—chicken manure, OS—organo-zeolitic substrate; mean values (n = 5; ± SD) marked with different letters (within each species) differ significantly according to Duncan’s test with p ≤ 0.05.
3. Discussion
One of the toxic anthropogenic factors is heavy metals and metalloids present in water and soil. The potential toxicity of PTEs in soil depends on their specific form, reactivity, mobility, concentration and availability to living organisms. The bioavailability of metals in the soil is constantly changing and depends on various physicochemical, biological and environmental parameters [53]. At low concentrations, heavy metals are essential and useful micronutrients, while at high concentrations they are highly harmful to microorganisms, plants and animals [54].
Seed germination is one of the most important stages in plant life. This process is sensitive to the chemical and physical conditions in the rhizosphere [55]. Generally, heavy metals inhibit seed germination and seedling development by the inhibition of storage food mobilization, a reduction in radical formation, the disruption of cellular osmoregulation and the degradation of proteolytic activities [56]. For example, an excess of Cu, according to many researchers, leads to a reduction in seed germination [57,58,59,60]. In germinating seeds, Cu interferes with the release of nitrogen from the storage tissue, affecting not only the development of the seed embryo, but also the overall activity of proteases [61]. It induces the mobilization of biomass by the release of glucose and fructose, thus inhibiting the breakdown of starch and sucrose. The toxicity of Cu affects the overall metabolism of the plant, water uptake, the lack of mobilization of material reserves, etc. [62]. This element moves slowly in the soil, usually as an organic complex, and accumulates in the soil, mainly on its surface [63].
The influence of metals on seed germination also depends on the interspecific differences in the structure of their seed coat and the content of enzymes produced in the aleurone layer [64]. These mechanisms probably contributed to the differences in the response to Cu observed in the experiment performed here. Among the studied species of grasses, the seeds of Poa pratensis were the most resistant to the toxic effect of copper and germinated under the conditions of an increased concentration of this element in the soil (Table 2).
In the other grass species, the germination process was clearly inhibited. Although the seed coat acts as a major barrier to the harmful effects of heavy metals, most seeds and seedlings show a reduction in germination and vigor in response to heavy metal stress [65]. The seed coat has a wide range of anatomic forms that exist in no other plant organ or tissue; it is also the main barrier to metals and prevents the contamination of embryos until it is burst by the germinating embryonic root [66].
In the experiment carried out here, it was noted that the addition of sorbents did not have a positive effect on the germination capacity of seeds in most cases (Figure 1 and Table 1). It was found that the addition of organo-zeolites (OS), and to a lesser extent chicken manure (ChM), had the most beneficial effect on the germination parameters. First of all, it was the organo-zeolitic substrate, regardless of the type of grass, in most of the calculated indexes that showed a stimulating effect on the discussed parameters (Table 2). Its positive effect can probably be partly explained by the fact that it improves the efficiency of water and plant nutrient use and increases the water absorption of the substrate [45]. It should be emphasized that the response to sorbents was specific and depended on the species of grass and type of sorbent (Figure 1).
Compared to the control, the sorbents also did not show a clear effect on the growth of seedlings (Figure 2 and Figure 3). In the summary of elongation growth parameters, it can be concluded that only OS in all tested grass species positively influenced the development of seedlings. On the other hand, the mass analysis showed a positive effect of sorbents on the accumulation of dry mass of seedlings (Figure 4). The increase in biomass can be attributed to the presence of sorbents, which most likely influenced the immobilization of Cu and the increased accumulation of nutrients through their slow release [45,67,68]. The percentage of electrolyte leakage, regardless of the seedling species, was higher than in the control and similar to the EL value of seedlings grown on the soil contaminated with Cu, without the addition of sorbents (Figure 5). It can be assumed that the applied experiment model using the sandwich method had a significant impact on the obtaining of such results. Such reactions of seedlings most likely resulted from the too short contact time between the seeds and the soils, which made it difficult to record a clear response to the applied remediation substances, contrary to the reaction of the same seeds treated with aqueous extracts from soil contaminated with copper and its modification with sorbents. Perhaps direct contact with chemical compounds extracted from the soil allowed us to verify to a greater extent which of the sorbents positively influences the germination and early growth of grass seeds [52].
In many cases, at the stage of seed germination and early grass growth, the tested sorbents did not show effective activity in copper immobilization. The addition of organic sorbents often even limited seed germination as compared to the control (distilled water). It should be noted, however, that the organo-zeolitic substrate (OS) turned out to be the most effective substance in soil reclamation with Cu, both in the germination and growth stages. However, it cannot be considered a universal sorbent as its effect was not positive in all cases. According to Finch-Savage and Bassel [69], there is no clear description of the soil conditions that lead to good or poor plant emergence. This is because the seedlings are not at all sensitive to the type or condition of the soil, but are extremely sensitive to the physical stresses that the soil exerts during seed germination and seedling growth. Therefore, it is important to understand the physical nature of the soil, especially anthropogenically transformed soil [70]. With the right selection of species for sowing, sorbent selection procedure and the right time of their use, sorbents can be utilized in the reclamation of copper-contaminated sites, where they will positively affect the development of the vegetation cover [65,70].
4. Materials and Methods
4.1. Study Area
The study material was the copper-polluted soil obtained from the Maximilián heap (48°48′29″N 19°07′59″E), located in the village of Špania Dolina (near Banská Bystrica city, Slovakia) (Figure 6). The average copper content in the soil samples was 1099 mg·kg−1, which is several times higher than the EU limit value according to Council Directive 86/278/EEC (50 to 140 mg·kg−1) [71]. The characteristics of this area have been described in detail in the paper of Turisová et al. [52]. In these areas, copper and silver ore mining was carried out over several centuries. The area of Špania Dolina ore field represents one of the historically most distinguished copper mining deposits in Europe. Here, the mineralization forms a 4 km long and 1.5 km wide vein stretching between the hill Panský diel (48°47′53.66″N 19°08′57.95″E) on the south and the village Staré Hory on the north to the east of Starohorský potok [72]. The first written reports of ore mining in the area of Špania Dolina are from the 11th century (from the year 1006). At first, copper and silver ore was mined in Staré Hory (on historical deposit Haliar). Later, the mining expanded further south from already the extinct village Richtárová and Špania Dolina locality [73]. After depleting the surface portions, the mining was gradually transferred to underground mining from the mid-14th century. The maximum development of copper ore mining with an extremely valuable silver content was in the years 1496–1546. Since the 17th century, mining gradually declined until it completely disappeared in the early 20th century [74]. Du-ring the years 1963–1964, old mine heaps (originating from the 16th–19th century) in the area of village Richtárová were re-mined by surface mining, which significantly changed the original configuration [75].
Figure 6.
Soil types used in the experiment: Cu heap soil—copper soil; copper soil with sorbents: BCH—biochar, B—bentonite, ChM—chicken manure, OS—organo-zeolitic substrate.
4.2. Soil Modification
The soil was analyzed by inductively coupled plasma mass spectrometry (ICP-MS) in Bureau Veritas Commodities Canada Ltd. in Vancouver (BC, Canada). A total of 0.25 g of samples were digested in aqua regia for ICP-MS analysis for plant and acid digestion (uses HNO3, HClO4 and HF acids heated until dryness to decompose most minerals, including silicates to metal salts, that are then back leached into concentrated HCl). Soil modifications used in the experiment are listed in Table 3 and Figure 6.
Table 3.
Soil modifications used in the experiment.
4.3. Short Characteristics of Sorbents
The experiment was realized with four natural sorbents: biochar, bentonite, chicken manure and organo-zeolitic substrate.
In the bibliography, there is no unambiguous legal status of biochar (BCH) that would specify whether biochar is a proper by-product or waste product [76,77]. According to the International Biochar Initiative (IBI), it is a fine-grained char with a high content of organic carbon and low susceptibility to degradation, obtained in the process of the pyrolysis of biomass and biodegradable waste. In environmental protection, biochar is used as a so-called green sorbent or a barrier component for removing pollutants [78,79]. In this study, it was bought as charcoal commercially used as charcoal for grilling. This sorbent was dried at room temperature, crushed and sieved through a 2 mm sieve [80].
Bentonite (BE) is formed from clay rocks as a result of the montmorillonitization of volcanic glass found in pyroclastic sediments such as tuffs or tuffites [81]. It is composed mainly of minerals from the smectite group (mainly montmorillonite), accompanied by the remains of pyroclastic material. Smectite group minerals are layered silicates with a packet structure. There are exchangeable cations between the packages, most often Ca2+, Mg2+ and Na+. Bentonite has the properties of sorbing cations and organic substances, swelling and forming thixotropic suspensions that do not sediment for a long time [82]. In this experiment, the average chemical compositions of the following substances in bentonite were: SiO2 57–61%, Al2O3 18–21%, Fe2O3 2–3%, FeO 0.1–0.5%, TiO2 0.2–0.3%, CaO 1.9–2.6%, MgO 3.0–5.0%, K2O 0.4–1.0%, Na2O 0.2–0.7% [80]. Chicken manure (ChM) is a natural fertilizer that contains large amounts of nitrogen and calcium. It is characterized by a high pH of approx. 7.5. It is a source of trace elements that can potentially accumulate in the soil with repeated use. It improves the quality and fertility of the soil. It affects the physical, biological and chemical properties of the soil [83,84]. We obtained chicken manure from domestic breeding of domestic fowl Gallus gallus domesticus L. [80]. Zeolites (organo-zeolitic substrate OZS) are microporous aluminosilicate minerals with a tubular structure of SiO4 and AlO4 interconnected tetrahedrons. In this study, a perlite in the form of a fine powder had an average chemical composition as follows: SiO2 68.0–73.0%, Al2O3 7.5–15.0%, Fe2O3 1.0–2.0%, Na2O 1.0–2.0%, K2O 2.5–5.0%, CaO 0.5–2.0%, MnO max. 0.3%, TiO2 max. 1.0%, P2O5 max. 0.2%, MgO max. 1.0%. It is added to the soil to prevent its compaction (thus providing aeration and optimal soil moisture retention). It also supports the rooting of plants. Calcium carbonate (CaCO3) was pure and also in the form of a fine powder [80]. CaCO3 increases the pH and reduces the content of some potentially toxic elements (Pb, Zn, Cd, As), but does not affect the growth of aboveground plant biomass [85,86].
4.4. Seed Material with Short Botanical Description of Species
As in the previous experiment [52], in this study, four common grass species typical for Eurasian areas were selected: Agrostis capillaris L., A. stolonifera L., Festuca rubra L., Poa pratensis L. The grass seeds were bought from DLF SeeDs (Hladké Životice, Czech Republic). A. capillaris (common bent, browntop) is a perennial grass with very thin blades (stalks); its blades rise obliquely and are rough under the panicle. The ligule of the uppermost leaf blade is short and clipped. After flowering, the panicle disperses. This grass is common in meadows and pastures. A. stolonifera (creeping bentgrass, creeping bent) is a gray–green perennial grass with lying blades, rising on the tops and rooting in nodes. It has a long, jagged ligule and a panicle with a purple tinge, which is dispersed during flowering and tightly concentrated after flowering. This grass is frequently found in flooded places. F. rubra (red fescue, creeping red fescue) is a dense-tufted perennial grass with thin blades. It has frequently dark red and jagged leaf sheaths, and its near-ground leaves are rolled up and hair-like, and unequal in length. It has a panicle with twigs placed horizontally during flowering—the lower twig of the panicle is adjacent to the stem. This grass is common in dry meadows and pastures. P. pratensis (Kentucky bluegrass, blue grass) is a loose-tufted perennial grass, grey–green or yellowish in color, creating large underground stolons. The upper part of the blade is leafless. Near-ground leaves are shortened and the leaf blade of the upper leaf is shorter than its sheath. It has a pyramidal panicle with rough twigs. This grass is common in meadows and in thickets [87,88].
4.5. Sandwich Methods
The sandwich method was used to analyze the effect of copper-contaminated soil and sorbents added according to Fujii et al. [89]. An 0.75% agar aqueous solution was prepared from powdered agar (Chempur, Poland) and autoclaved at 121 °C for 15 min. Sterile agar was poured 5 mL into sterile Petri dishes (the first layer of "sandwiches") and allowed to solidify at room temperature. A total of 0.5 g of Cu soil or Cu soil mixed with sorbents was poured onto the solidified first surface of the agar, in the proportion given in Table 1. After the soil was evenly spread on the Petri dishes, they were poured with 5 mL of agar, which was the second layer of the "sandwich", and allowed to solidify. The control group were Petri dishes with 10 mL of agar. The experiment for each type of soil and control was carried out in 5 repetitions.
4.6. Seeds Preparation and Germination Conditions
Grass seeds (each separately) were sterilized in 1% acetone for 5 min, then rinsed 3 times with distilled water. Twenty-five seeds of each species were placed (with sterile tweezers) on separate sterilized, glass Petri dishes (Ø 9 cm) with agar and appropriate soil type. The control group seeds were placed on agar with distilled water. The Petri dishes with seeds were incubated in a germinator at a temperature of about 20 °C ± 2 °C, a relative humidity of about 60–70%, in the dark. After 3 and 7 days, the germinated seeds were considered those whose germinal root was equal to half the size of the seed. The experiment was performed in 5 repetitions for each of the soil types and control samples, with a total of 125 seeds of each grass species for a given soil type and control.
4.7. Germination Parameters
The germination capacity of grass seeds was evaluated by the germination indexes. Germination percentage—GR (global method) modified because it is calculated after 3 and 7 days of seed germination, for the determination of energy and capacity of germination, speed of emergence—SE [90], germination index—(GI) [91], mean germination time—MGT [91], seedling vigor index—SVI [92], rate of germination—RG [93], contamination soil response—RI [94].
GR (%) = [Number of germinated seeds at 3 (or 7) days × 4] × 100
SE (%) = (Number of germinated seeds at the starting day of germination/Number of germinated seeds at the final days of measurement) × 100
GI (a.u.) = [Number of germinated seeds/Days of first count] + [Number of germinated seeds/Days of last or final count]
MGT (day) = [(Number of germinated seeds in 3 days × 3) + (Number of germinated seeds in 7 days × 7)]/(Number of germinated seeds in 3 days + Number of germinated seeds in 7 days)
SVI (day) = (Seedling length (cm) × Germination percent)/100
RG (day) = [(n3 + n7)/((n3 × T3) + (n7 × T7)] × 100
n3 and n7 = number of germinated seeds on time T3 and T7, T3 and T7 = 3 and 7 days after germination.
n3 and n7 = number of germinated seeds on time T3 and T7, T3 and T7 = 3 and 7 days after germination.
RI (a.u.) = T/C − 1 (T < C)
C is the control germination speed and T is the treatment germination speed.
C is the control germination speed and T is the treatment germination speed.
4.8. Biometric Analysis
Biometric analysis of seedlings germinated on various modifications of soil contaminated with copper was carried out by measuring the length of the underground and aboveground parts of the seedlings using the traditional method, using a caliper (Topex 31C615, Kraków, Poland) with an accuracy of 0.1 mm. Additionally, the germination inhibition index was determined using the modified formula of Mominul Islam et al. [95].
IP (%) = (1 − (LE/LC)) × 100
LE—seedling length (cm) treated with the soil type, LC—seedling length (cm) treated with the distilled water (control group).
LE—seedling length (cm) treated with the soil type, LC—seedling length (cm) treated with the distilled water (control group).
4.9. Fresh and Dry Masses and Total Water Content
After 7 days of seed germination, fresh and dry masses were determined for single grass seedlings, on a scale (Ohaus Adventurer Pro, Morris County, NJ, USA) with an accuracy of 0.0001 g. To determine dry mass, seedlings were dried for 48 h at 105 °C in a dryer (WAMED SUP 100, Zabrze, Poland). The total water content was determined according to the formula used by Lipniak and Kliszcz [96].
H2O (%) = 100 − [(DM × 100)/FM]
DM—dry mass, FM—fresh mass.
DM—dry mass, FM—fresh mass.
4.10. Electrolyte Leakage
The percentage degree of destabilization of cell membranes was measured according to the method used by Szafraniec et al. [97]. Single grass seedlings were placed in 15 mL of distilled water in polypropylene vials and shaken for 3 h on a shaker (Labnet, Rocker, Edison, NJ, USA). After this time, each of the samples was additionally vortexed for 1 min. Using the CX-701 conductometer with an electrode (K = 1.02) (Elmetron, Zabrze, Poland), the electrolyte leakage from living cells was determined (E1). The plant material was then frozen for 24 h at temperature –75 °C for tissue maceration. One day later, the vials with the seedlings were thawed and subjected to the same shaking and measurement procedure as the live material samples to determine the total electrolyte leakage (E2). Based on the obtained data, the percentage of electrolyte leakage was calculated according to the following formula:
EL (%) = (E1/E2) × 100
EL—electrolyte leakage, E1—EL live seedling, E2—EL dead seedling.
EL—electrolyte leakage, E1—EL live seedling, E2—EL dead seedling.
4.11. Statistical Analysis
The experiment was carried out in 5 repetitions on 125 seeds for each species of grass, each type of soil with sorbents and control (distilled water). The obtained mean results (±SD) for each of the grass species were subjected to a one-way ANOVA statistical analysis. Differences between soil modifications for each species of grass were marked with different letters in columns or rows, using Duncan’s test at p ≤ 0.05 in the program StatSoft, Inc. 2018 (Tulsa, OK, USA). STATISTICA (data analysis software system), version 13.1 Dell Inc., Round Rock, TX, USA.
5. Conclusions
The experiment carried out here showed that the response of plants to the addition of sorbents to soil contaminated with Cu depends on the plant species and its development stage. Among the four sorbents selected here, no universal one was found, the addition of which in the substrate would have a positive effect on all species analyzed here, both in the stages of germination and growth. Grass seeds germinated better on the soil contaminated with copper, rather than with the addition of any sorbents. However, the results obtained here also show that in the germination and growth stage, the addition of organo-zeolitic substrate may have a clearly positive effect, although not in all. In addition, in the studied grasses, the significantly lowest seed emergence was found for seeds grown with the addition of chicken manure, but in the later stages, this sorbent had a positive effect on the elongation growth of seedlings. Therefore, it can be concluded that other sorbents should probably be used for seed dressing and others for inducing the elongation growth of plants. Seeds treated with sorbents to accelerate germination should be available for sale, indicating what kind of contaminated soil should be sown, as well as sorbents intended for direct application during plant growth. This may be of great importance in accelerating the process of the recultivation of contaminated mining areas. However, experiments on this subject should still be conducted, as many issues are still not fully resolved here.
Author Contributions
Conceptualization, K.M. and I.T.; methodology, K.M., B.B.-K. and I.T.; software, K.M., T.K. and P.Z.; validation, K.M., B.B.-K., I.T., T.K. and P.Z.; formal analysis, K.M., P.Z. and B.B.-K.; investigation, K.M.; resources, T.K. and B.B.-K.; data curation, I.T. and B.B.-K.; writing—original draft preparation, I.T., K.M., B.B.-K. and T.K.; writing—review and editing, B.B.-K. and I.T.; visualization, K.M., B.B.-K., I.T. and T.K.; supervision, I.T.; project administration, K.M. and B.B.-K.; funding acquisition, B.B.-K. and I.T. All authors have read and agreed to the published version of the manuscript.
Funding
This research was funded by the Scientific Grant Agency of the Ministry of Education, Science, Research and Sport of the Slovak Republic and the Slovak Academy of Science under grant VEGA 1/0291/19. The APC was funded the internal grant of the Vice-Rector of the Pedagogical University of Krakow, no. BN.302.81.2021.RN.
Institutional Review Board Statement
Not applicable.
Informed Consent Statement
Not applicable.
Data Availability Statement
Not applicable.
Acknowledgments
Not applicable.
Conflicts of Interest
The authors declare no conflict of interest.
Sample Availability
Not applicable.
References
- Kabata-Pendias, A. Trace Elements in Soils and Plants, 4th ed.; CRC Press: Boca Raton, FL, USA, 2011; p. 548. [Google Scholar]
- Tchounwou, B.P.; Yedjou, G.C.; Patlolla, K.A.; Sutton, J.D. Heavy metals toxicity and the environment. Mol. Clin. Environ. Toxicol., Exp. Suppl. 2012, 101, 133–164. [Google Scholar] [CrossRef]
- Vareda, P.J.; Valente, J.M.A.; Durães, L. Heavy metals in Iberian soils: Removal by current adsorbents/ amendments and prospective for aerogels. Adv. Colloid Interface Sci. 2016, 237, 28–42. [Google Scholar] [CrossRef]
- Li, Y.; Padoan, E.; Ajmone-Marsan, F. Soil particle size fraction and potentially toxic elements bioaccessibility: A review. Ecotoxicol. Environ. Saf. 2021, 209, 111806:1–111806:9. [Google Scholar] [CrossRef] [PubMed]
- Järup, L. Hazards of heavy metal contamination. Br. Med Bull. 2003, 68, 167–182. [Google Scholar] [CrossRef]
- Turisová, I.; Sabo, P.; Štrba, T.; Koróny, S.; Andráš, P.; Širka, P. Analyses of floristic composition of the abandoned Cu-dump field Piesky (Staré Hory Mountains, Slovakia). Web. Ecol. 2016, 16, 97–111. [Google Scholar] [CrossRef]
- Lebrun, M.; Miard, F.; Nandillon, R.; Léger, J.-C.; Hattab-Hambli, N.; Scippa, S.G.; Bourgerie, S.; Morabito, D. Assisted phytostabilization of a multicontaminated mine technosol using biochar amendment: Early stage evaluation of biochar feedstock and particle size effects on As and Pb accumulation of two Salicaceae species (Salix viminalis and Populus euramericana). Chemosphere 2018, 194, 316–326. [Google Scholar] [CrossRef] [PubMed]
- Houben, D.; Evrard, L.; Sonnet, P. Beneficial effects of biochar application to contaminated soils on the bioavailability of Cd, Pb and Zn and the biomass production of rapeseed (Brassica napus L.). Biomass Bioener. 2013, 57, 196–204. [Google Scholar] [CrossRef]
- Khalid, S.; Shahid, M.; Niazi, K.N.; Murtaza, B.; Bibi, I.; Dumat, C. A comparison of technologies for remediation of heavy metal contaminated soils. J. Geochem. Explor. 2017, 187, 247–268. [Google Scholar] [CrossRef]
- Abumaizar, R.J.; Smith, E.H. Heavy metal contaminants removal by soil washing. J. Hazard. Mater. 1999, 70, 71–86. [Google Scholar] [CrossRef]
- Sun, W.; Ji, B.; Khoso, A.S.; Tang, H.; Liu, R.; Wang, L.; Hu, Y. An extensive review on restoration technologies for mining tailings. Environ. Sci. Poll. Res. 2018, 25, 33911–33925. [Google Scholar] [CrossRef]
- Rizwan, S.M.; Imtiaz, M.; Zhu, J.; Yousaf, B.; Hussain, M.; Ali, L.; Ditta, A.; Ihsan, Z.M.; Huang, G.; Ashraf, M.; et al. Immobilization of Pb and Cu by organic and inorganic amendments in contaminated soil. Geoderma 2021, 385, 114803:1–114803:12. [Google Scholar] [CrossRef]
- Deng, S. Sorbent technology. In Encyclopedia of Chemical Processing, 1st ed.; Lee, S., Ed.; CRC Press: Boca Raton, FL, USA, 2006; pp. 2825–2845. [Google Scholar]
- Gong, Y.; Zhao, D.; Wang, Q. An overview of field-scale studies on remediation of soil contaminated with heavy metals and metalloids: Technical progress over the last decade. Water Res. 2018, 147, 440–460. [Google Scholar] [CrossRef] [PubMed]
- Ling, W.; Shen, Q.; Gao, Y.; Gu, X.; Yang, Z. Use of bentonite to control the release of copper from contaminated soils. Aust. J. Soil Res. 2007, 455, 618–623. [Google Scholar] [CrossRef]
- Haydn, M.H. Bentonite applications. Dev. Clay Sci. 2006, 2, 111–130. [Google Scholar] [CrossRef]
- Hamidpour, M.; Kalbasi, M.; Afyuni, M.; Shariatmadari, H.; Holm, P.E.; Hansen, G.C.B. Sorption hysteresis of Cd(II) and Pb(II) on natural zeolite and bentonite. J. Hazard Mater. 2010, 181, 686–691. [Google Scholar] [CrossRef]
- Kumararaja, P.; Manjaiah, K.M.; Datta, C.S.; Shabeer, A.T.P. Potential of bentonite clay for heavy metal immobilization of soil. Clay Res. 2014, 33, 83–96. [Google Scholar]
- Sun, Y.; Li, Y.; Xu, Y.; Liang, X.; Wang, L. In situ stabilization remediation of cadmium (Cd) and lead (Pb)co-contaminated paddy soil using bentonite. Appl. Clay Sci. 2015, 105–106, 200–206. [Google Scholar] [CrossRef]
- Wahab, N.; Saeed, M.; Ibrahim, M.; Munir, A.; Saleem, M.; Zahra, M.; Waseem, A. Synthesis, characterization, and applications of silk/bentonite clay composite for heavy metal removal from aqueous solution. Front. Chem. 2019, 7, 654. [Google Scholar] [CrossRef]
- Akpomie, K.G.; Dawodu, F.A. Potential of a low-cost bentonite for heavy metal abstraction from binary component system. Beni-Suef Univ. J. Basic Appl. Sci. 2015, 4, 1–13. [Google Scholar] [CrossRef]
- Mi, J.; Gregorich, E.G.; Xu, S.; McLaughlin, N.B.; Ma, B.; Liu, J. Effect of bentonite amendment on soil hydraulic parameters and millet crop performance in a semi-arid region. J. Field Crop. Res. 2017, 212, 107–114. [Google Scholar] [CrossRef]
- De Castro, M.L.F.A.; Abad, M.L.B.; Sumalinog, D.A.G.; Abarca, R.R.M.; Paoprasert, P.; de Luna, M.D.G. Adsorption of methylene blue dye and Cu(II) ions on EDTA-modified bentonite: Isotherm, kinetic and thermodynamic studies. J. Sustain. Environ. Res. 2018, 28, 197–205. [Google Scholar] [CrossRef]
- Lehmann, J.; Joseph, S. Biochar for environmental management an introduction. In Biochar for Environmental Management Science and Technology, 1st ed.; Lehmann, J., Joseph, S., Eds.; Earthscan: London, UK, 2009; pp. 1–9. [Google Scholar]
- Ahmad, M.; Rajapaksha, A.U.; Lim, E.J.; Zhang, M.; Bolan, N.; Mohan, D.; Vithanage, M.; Lee, S.S.; Ok, S.Y. Biochar as a sorbent for contaminant management in soil and water: A review. Chemosphere 2014, 99, 19–33. [Google Scholar] [CrossRef]
- Uchimiya, M.; Lima, I.M.; Thomas Klasson, K.; Chang, S.; Wartelle, L.H.; Rodgers, J.E. Immobilization of heavy metal ions (CuII, CdII, NiII, and PbII) by broiler litter-derived biochars in water and soil. J. Agr. Food Chem. 2010, 58, 5538–5544. [Google Scholar] [CrossRef]
- Lu, H.; Li, Z.; Fu, S.; Méndez, A.; Gascó, G.; Paz-Ferreiro, J. Combining phytoextraction and biochar addition improves soil biochemical properties in a soil contaminated with Cd. Chemosphere 2015, 119, 209–216. [Google Scholar] [CrossRef]
- Lee, S.; Shah, H.; Awad, Y.; Kumar, S.; Ok, Y.S. Synergy effects of biochar and polyacrylamide on plants growth and soil erosion control. Environ. Earth Sci. 2015, 74, 2463–2473. [Google Scholar] [CrossRef]
- Laird, D.A.; Brown, R.C.; Amonette, J.E.; Lehmann, J. Review of the pyrolysis platform for coproducing bio-oil and biochar. Biofpr Biofuels Bioprod. Biorefining 2009, 3, 547–562. [Google Scholar] [CrossRef]
- Major, J.; Lehmann, J.; Rondon, M.; Goodale, C. Fate of soil-applied black carbon: Downward migration, leaching and soil respiration. Glob. Chang. Biol. 2010, 16, 1366–1379. [Google Scholar] [CrossRef]
- Wang, D.; Jiang, P.; Zhang, H.; Yuan, W. Biochar production and applications in agro and forestry systems: A review. Sci. Total Environ. 2020, 723, 137775. [Google Scholar] [CrossRef]
- Lucchini, P.; Quilliam, R.S.; DeLuca, T.H.; Vameruli, T.; Jones, D.L. Does biochar application alter heavy metal dynamics in agricultural soil? Agric. Ecosyst. Environ. 2014, 184, 149–157. [Google Scholar] [CrossRef]
- Rajapaksha, A.; Ahmad, M.; Vithanage, M. The role of biochar, natural iron oxides, and nanomaterials as soil amendments for immobilizing metals in shooting range soil. Environ. Geochem. Health 2015, 37, 931–942. [Google Scholar] [CrossRef] [PubMed]
- Park, J.H.; Choppala, G.K.; Bolan, N.S.; Chung, J.W.; Chuasavathi, T. Biochar reduces the bioavailability and phytotoxicity of heavy metals. Plant Soil 2011, 348, 439–451. [Google Scholar] [CrossRef]
- Bian, R.; Joseph, S.; Cui, L.; Pan, G.; Li, L.; Liu, X.; Zhang, A.; Rutlidge, H.; Wong, S.; Chia, C.; et al. A three-year experiment confirms continuous immobilization of cadmium and lead in contaminated paddy field with biochar amendment. J. Hazard. Mater. 2014, 272, 121–128. [Google Scholar] [CrossRef]
- Puga, P.A.; Abreu, C.A.; Melo, L.C.A.; Beesley, L. Biochar application to a contaminated soil reduces the availability andplant uptake of zinc, lead and cadmium. J. Environ. Manag. 2015, 159, 86–93. [Google Scholar] [CrossRef]
- Nie, C.R.; Yang, X.; Niazi, N.K.; Xu, X.Y.; Wen, Y.H.; Rinklebe, J.; Ok, Y.S.; Xu, S.; Wang, H.L. Impact of sugarcane bagasse-derived biochar on heavy metal availability and microbial activity: A field study. Chemosphere 2018, 200, 274–281. [Google Scholar] [CrossRef]
- Vijayaraghavan, K.; Raja, D.F. Experimental characterisation and evaluation of perlite as a sorbent for heavy metal ions in single and quaternary solutions. J. Water Process Eng. 2014, 4, 179–184. [Google Scholar] [CrossRef]
- Barakat, M.A.; Ismail, S.M.; Ehsan, M. Immobilization of Ni and Zn in soil by cow and chicken manure. Int. J. Waste Res. 2016, 6, 1000228:1–1000228:7. [Google Scholar] [CrossRef]
- Huang, Q.; Wan, Y.; Luo, Z.; Qiao, Y.; Su, D.; Li, H. The effects of chicken manure on the immobilization and bioavailability of cadmium in the soil-rice system. Arch. Agr. Soil Sci. 2019, 66, 1753–1764. [Google Scholar] [CrossRef]
- Huang, G.; Su, X.; Rizwan, M.S.; Zhu, Y.; Hu, H. Chemical immobilization of Pb, Cu, and Cd by phosphate materials and calcium carbonate in contaminated soils. Environ. Sci. Poll. Res. Int. 2016, 23, 16845–16856. [Google Scholar] [CrossRef] [PubMed]
- He, G.; Zhang, Z.; Wu, X.; Cui, M.; Zhang, J.; Huang, X. Adsorption of heavy metals on soil collected from lixisol of typical karst areas in the presence of CaCO3 and soil clay and their competition behavior. Sustainability 2020, 12, 7315. [Google Scholar] [CrossRef]
- Damian, G.; Andráš, P.; Damian, F.; Turisová, I.; Iepure, G. The role of organo-zeolitic material in supporting phytoremediation of a copper mining waste dump. Int. J. Phytoremediat. 2018, 20, 1307–1316. [Google Scholar] [CrossRef] [PubMed]
- Damian, F.; Jelea, S.G.; Lăcătuşu, R.; Mihali, C. The treatment of soil polluted with heavy metals using the Sinapis alba l. and organo zeolitic amendment. Carpathian J. Earth Environ. Sci. 2019, 14, 409–422. [Google Scholar] [CrossRef]
- Jakkula, V.S.; Wani, S.P. Zeolites: Zeolites: Potential soil amendments for improving nutrient and water use efficiency and agriculture productivity. Sci. Revs. Chem. Commun. 2018, 8, 119. [Google Scholar]
- Zeng, F.; Ali, S.; Zhang, H.; Ouyang, Y.; Qiu, B.; Wu, F.; Zang, G. The influence of pH and organic matter content in paddy soil on heavy metal availability and their uptake by rice plants. Environ. Poll. 2011, 159, 84–91. [Google Scholar] [CrossRef]
- Castaldi, P.; Alberti, G.; Merella, R.; Melis, P. Study of the organic matter evolution during municipal solid waste composting aimed at identifying suitable parameters for the evaluation of compost maturity. Waste Manag. 2005, 25, 209–213. [Google Scholar] [CrossRef] [PubMed]
- Prost, R.; Yaron, B. Use of modified clays for controlling soil environmental quality. Soil Sci. 2001, 166, 880–895. [Google Scholar] [CrossRef]
- Usman, A.; Kuzyakov, Y.; Stahr, K. Effect of clay minerals on immobilization of heavy metals and microbial activity in a sewage sludge-contaminated soil (8pp). J. Soils Sediments 2005, 5, 245–252. [Google Scholar] [CrossRef]
- Herath, I.; Kumarathilaka, P.; Navaratne, A.; Rajakaruna, N.; Vithanage, M. Immobilization and phytotoxicity reduction of heavy metals in serpentine soil using biochar. J. Soils Sediments 2015, 15, 126–138. [Google Scholar] [CrossRef]
- Herath, I.; Iqbal, M.C.M.; Al-Wabel, M.I.; Abduljabbar, A.; Ahmad, M.; Usman, A.R.A.; Ok, Y.S.; Vithanage, M. Bioenergy-derived waste biochar for reducing mobility, bioavailability, and phytotoxicity of chromium in anthropized tannery soil. J. Soils Sediments 2017, 17, 731–740. [Google Scholar] [CrossRef]
- Turisová, I.; Kviatková, T.; Możdżeń, K.; Barabasz-Krasny, B. Effects of natural sorbents on the germination and early growth of grasses on soils contaminated by potentially toxic elements. Plants 2020, 9, 1591. [Google Scholar] [CrossRef]
- Guala, S.D.; Vega, F.A.; Covelo, E.F. The dynamics of heavy metals in plant-soil interactions. Ecol. Model. 2010, 221, 1148–1152. [Google Scholar] [CrossRef]
- Nedelkoska, T.V.; Doran, P.M. Characteristics of heavy metal uptake by plant species with potential for phytoremediation and phytomining. Miner. Eng. 2000, 13, 549–561. [Google Scholar] [CrossRef]
- Bewley, J.D. Seed germination and dormancy. Plant Cell 1997, 9, 1055. [Google Scholar] [CrossRef]
- Seneviratne, M.; Rajakaruna, N.; Rizwan, M.; Madawala, H.M.S.P.; Ok, Y.S.; Vithanage, M. Heavy metal-induced oxidative stress on seed germination and seedling development: A critical review. Environ. Geochem. Health 2019, 41, 1813–1831. [Google Scholar] [CrossRef] [PubMed]
- Singh, D.; Nath, K.; Sharma, Y.K. Response of wheat seed germination and seedling growth under copper stress. J. Environ. Biol. 2007, 28, 409–414. [Google Scholar] [PubMed]
- Sfaxi-Bousbih, A.; Chaoui, A.; El Ferjani, E. Copper affects the cotyledonary carbohydrate status during the germination of bean seed. Biol. Trace Elem. Res. 2010, 137, 110–116. [Google Scholar] [CrossRef] [PubMed]
- Pena, L.B.; Azpilicueta, C.E.; Gallego, S.M. Sunflower cotyledons cope with copper stress by inducing catalase subunits less sensitive to oxidation. J. Trace Elem. Med. Biol. 2011, 25, 125–129. [Google Scholar] [CrossRef]
- Iqbal, M.Z.; Habiba, U.; Nayab, S.; Shafiq, M. Effects of copper on seed germination and seedling growth performance of Lens culinaris Medik. J. Plant Develop. 2018, 25, 85–90. [Google Scholar] [CrossRef]
- Karmous, I.; Jaouani, K.; El Ferjani, E.; Chaoui, A. Responses of proteolytic enzymes in embryonic axes of germinating bean seeds under copper stress. Biol. Trace Elem. Res. 2014, 160, 108–115. [Google Scholar] [CrossRef]
- Zhang, H.; Lian, C.; Shen, Z. Proteomic identification of small, copper-responsive proteins in germinating embryos of Oryza sativa. Ann. Bot. 2009, 103, 923–930. [Google Scholar] [CrossRef]
- Paganini, W.S.; Souza, A.; Bocchiglieri, M.M. Assessment of the behavior of heavy metals in the sewage treatment by disposal in soil. Eng. Sanit Ambient 2004, 9, 225–239. [Google Scholar] [CrossRef]
- Yan, D.; Duermeyer, L.; Leoveanu, C.; Nambara, E. The functions of the endosperm during seed germination. Plant Cell Physiol. 2014, 55, 1521–1533. [Google Scholar] [CrossRef]
- Adrees, M.; Ali, S.; Rizwan, M.; Ibrahim, M.; Abbas, F.; Farid, M.; Rehman, M.-U.-Z.; Irshad, M.K.; Bharwana, S.A. The effect of excess copper on growth and physiology of important food crops: A review. Environ. Sci. Poll. Res. 2015, 22, 8148–8162. [Google Scholar] [CrossRef] [PubMed]
- Wierzbicka, M.; Obidzińska, J. The effect of lead on seed imbibition and germination in different plant species. Plant Sci. 1998, 137, 155–171. [Google Scholar] [CrossRef]
- Conway, J.R.; Keller, A.A. Gravity-driven transport of three engineered nanomaterials in un-saturated soils and their effects on soil pH and nutrient release. Water Res. 2016, 98, 250–260. [Google Scholar] [CrossRef] [PubMed]
- Meier, S.; Curaqueo, G.; Khan, N.; Bolan, N.; Cea, M.; Eugenia, G.M.; Cornejo, P.; Ok, Y.S.; Borie, F.; Bolan, N.; et al. Chicken-manure-derived biochar reduced bioavailability of copper in a contaminated soil. J. Soils Sediments 2017, 17, 741–750. [Google Scholar] [CrossRef]
- Finch-Savage, W.E.; Bassel, G.W. Seed vigour and crop establishment: Extending performance beyond adaptation. J. Exp. Bot. 2016, 67, 567–591. [Google Scholar] [CrossRef]
- Turisová, I.; Kviatková, T. Effect of sorbents added to contaminated soils on vitality and growth of grass seeds. In Proceeding of the Geochémia 2019, Častá—Papiernička, 3–4 December 2019; Jurkovič, Ľ., Slaninka, I., Kordík, J., Eds.; State Geological Institute of Dionyz Stur: Bratislava, Slovakia, 2019; pp. 163–164. [Google Scholar]
- Winseminus, P. Council Directive, no. 86/278/EEC of 12 June 1986 on the protection of the environment, and in particular of the soil, when sewage sludge is used in agriculture. OJEU 1986, 181, 10. [Google Scholar]
- Michňová, J.; Ozdín, D. Primárna hydrotermálna mineralizácia na lokalite Polkanová. Miner. Slovaca 2010, 42, 69–78. [Google Scholar]
- Koděra, M.; Andrusovová-Vlčeková, G.; Belešová, O.; Briatková, D.; Dávidová, Š.; Fejdiová, Š.; Hurai, V.; Chovan, M.; Nelišerová, E.; Ženiš, P. Topografická mineralógia Slovenska 3, Sed—Ž, 1st ed.; Veda: Bratislava, Slovakia, 1990; pp. 1105–1590. ISBN 80-224-0102-1. [Google Scholar]
- Jeleň, S.; Galvánek, J.; Andráš, P.; Bendík, A.; Beláček, B.; Bozalková, I.; Gaál, Ľ.; Gajdoš, A.; Háber, M.; Konečný, V.; et al. Náučno-Poznávací Sprievodca po Geologických a Geografických Lokalitách Stredného Slovenska; Geologický ústav SAV: Banská Bystrica, Slovakia, 2009; p. 320. ISBN 978-80-970413-4-2. [Google Scholar]
- Mazúrek, J. Ťažobný prírodno-technický systém v banskej oblasti Špania Dolina—Staré Hory. Stredné Slovensko 8. Prírodné Vedy 1989, 69, 23–68. [Google Scholar]
- Montanarella, L.; Lugato, E. The application of biochar in the EU: Challenges and opportunities. Agronomy 2013, 3, 462–473. [Google Scholar] [CrossRef]
- Vereš, J.; Koloničný, J.; Ochodek, T. Biochar status under international law and regulatory issues for the practical application. Chem. Eng. Trans. 2014, 37, 799–804. [Google Scholar] [CrossRef]
- Tang, J.; Zhy, W.; Kookana, R.; Katayama, A. Characteristics of biochar and its application in remediation of contaminated soil. J. Bioresour. Bioeng. 2013, 116, 653–659. [Google Scholar] [CrossRef]
- Mohan, D.; Sarswat, A.; Ok, S.Y.; Pittman, C.U., Jr. Organic and inorganic contaminants removal from water with biochar, a renewable, low cost and sustainable adsorbent—A critical review. Bioresour. Technol. 2014, 160, 191–202. [Google Scholar] [CrossRef] [PubMed]
- Kviatková, T.; Alberty, R.; Barabasz-Krasny, B.; Możdżeń, K.; Andráš, P.; Turisová, I. The contribution of natural sorbents to the improvement of the properties of contaminated technosols evaluated by the development of vegetation cover. Carpathian J. Earth Environ. Sci. 2021, 16, 305–313. [Google Scholar] [CrossRef]
- Kozáč, J. Nerastné suroviny ako sorbenty katiónov ťažkých a toxických kovov a základná zložka čistiacich prostriedkov. Miner. Slovaca Geovestník 1996, 28, 5–7. [Google Scholar]
- Wyszomirski, P.; Lewicka, E. Bentonity jako uniwersalny surowiec wielu dziedzin przemysłu. Gospod. Surowcami Miner. 2005, 21, 5–19. [Google Scholar]
- Adeli, A.; Shankle, M.W.; Tewolde, H.; Sistani, K.R.; Rrowe, D.E. Nutrient dynamics from broiler litter applied to no-till cotton in an upland soil. Agron. J. 2008, 100, 564–570. [Google Scholar] [CrossRef]
- Kadian, N.; Gupta, A.; Satya, S.; Mehta, R.K.; Malik, A. Biodegradation of herbicide (atrazine) in contaminated soil using various bioprocessed materials. Bioresour. Technol. 2008, 99, 4642–4647. [Google Scholar] [CrossRef]
- Filipek, J. Project of classification of meadow and pasture plants on the basis of the number of utility value (Projekt klasyfikacji roślin łąkowych i pastwiskowych na podstawie liczby wartości użytkowej). Postępy Nauk Rol. 1973, 4, 59–68. [Google Scholar]
- Tlustoš, P.; Száková, K.; Kořinek, K.; Pavlíková, D.; Hanač, A.; Balík, J. The effect of liming on cadmium, lead, and zinc uptakereduction by spring wheat grown in contaminated soil. Plant Soil Environ. 2006, 52, 16–24. [Google Scholar] [CrossRef]
- Zhong, Q.Y.; Zeng, M.; Liao, B.H.; Li, J.F.; Kong, X.Y. Effects of CaCO3 addition on uptake of heavy metals and arsenic in paddy fields. Acta Ecol. Sin. 2015, 35, 1242–1248. [Google Scholar]
- Szafer, W.; Kulczyński, S.; Pawłowski, B. Rośliny Polskie. Opisy i Klucze do Oznaczania Wszystkich Gatunków Roślin Naczyniowych Rosnących w Polsce bądź Dziko, bądź też Zdziczałych lub Częściej Hodowanych; Wydawnictwo Naukowe PWN: Warsaw, Poland, 1988; ISBN 8301052872. [Google Scholar]
- Fujii, Y.; Shibuya, T.; Nakatani, K.; Itani, T.; Hiradate, S.; Parvez, M.M. Assessment method for allelopathic effect from leaf litter leachates. Weed Biol. Manag. 2004, 4, 19–23. [Google Scholar] [CrossRef]
- Islam, A.K.M.A.; Anuar, N.; Yaakob, Z. Effect of genotypes and pre-sowing treatments on seed germination behavior of Jatropha. Asian J. Plant Sci. 2009, 8, 433–439. [Google Scholar] [CrossRef]
- AOSA (Association of Official Seed Analysis). Seed vigour testing. In Handbook on Seed Testing; Anmol Publications Pvt. Ltd.: New Delhi, India, 1983. [Google Scholar]
- Ali, H.H.; Tanveer, A.; Nadeem, M.A.; Javaid, M.M.; Kashif, M.S.; Andchadhar, A.R. Allelopathic effects of Rhynchosia capitata on germination and seedling growth of mung bean. Planta Daninha 2013, 31, 501–509. [Google Scholar] [CrossRef]
- Chiapusio, G.; Sanchez, A.M.; Reigosa, M.J.; Gonzalez, L.; Pellissier, F. Do germination indices adequately reflect allelochemical effects on the germination process? J. Chem. Ecol. 1997, 23, 2445–2453. [Google Scholar] [CrossRef]
- Gao, X.; Li, M.; Gao, Z.; Li, C.; Sun, Z. Allelopathic effects of Hemistepta lyrata on the germination and growth of wheat, sorghum, cucumber, rape, and radish seeds. Weed Biol. Manag. 2009, 9, 243–249. [Google Scholar] [CrossRef]
- Mominul Islam, A.K.M.; Kato-Noguchi, H. Allelopathic potentiality of medicinal plant Leucas aspera. Int. J. Agric. Sustain. 2012, 4, 1–7. [Google Scholar]
- Lipniak, K.; Kliszcz, A. Allelopathic effect of goosefoot on germination and early stage growth of triticale and radish. AUPC Studia Nat. 2020, 5, 110–128. [Google Scholar] [CrossRef]
- Szafraniec, R.; Możdżeń, K.; Barabasz-Krasny, B.; Zandi, P.; Wang, Y. Influence of volatile peppermint (Mentha ×piperita L.) compounds on germination and seedling of radish (Raphanus sativus L. var. radicula Pers.) growth. Not. Bot. Horti Agrobot. Cluj Napoca 2019, 47, 1277–1284. [Google Scholar] [CrossRef]
Publisher’s Note: MDPI stays neutral with regard to jurisdictional claims in published maps and institutional affiliations. |
© 2021 by the authors. Licensee MDPI, Basel, Switzerland. This article is an open access article distributed under the terms and conditions of the Creative Commons Attribution (CC BY) license (https://creativecommons.org/licenses/by/4.0/).






