Fatty Acid Analysis, Chemical Constituents, Biological Activity and Pesticide Residues Screening in Jordanian Propolis
Abstract
1. Introduction
2. Results and Discussion
2.1. Determination of Fatty Acid Methyl Esters (FAME) by GC-FID
2.2. Analysis of Chemical Constituents Using HPLC-PDA
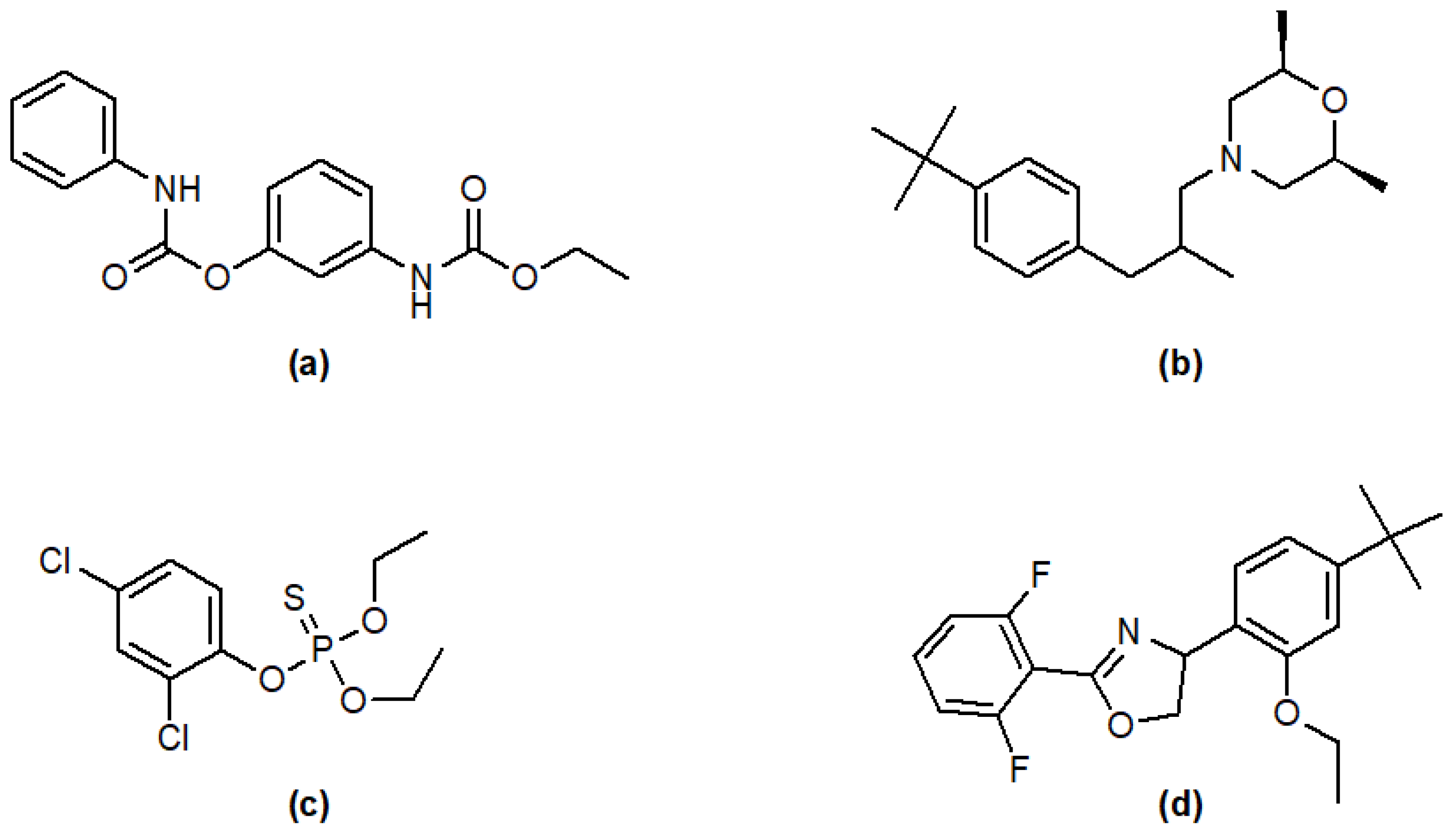
2.3. LC-MS-MS Screening for Pesticide Residues in Propolis
2.4. Biological Activity
2.4.1. DPPH Radical Scavenging Activity
2.4.2. In Vitro Xanthine Oxidase Inhibition Activity
3. Materials and Methods
3.1. Collection of Samples
3.2. Analysis of Samples
3.2.1. Determination of Fatty Acid Methyl Esters (FAME) by GC-FID
3.2.2. HPLC-PDA Analysis of Propolis
Determination of Chemical Constituents
Determination of α-Tocopherol in Lipid Fraction
3.2.3. LC-MS-MS Screening for Pesticide Residues in Propolis
3.3. Biological Activity
3.3.1. DPPH Radical Scavenging Activity
3.3.2. Xanthine Oxidase Inhibiting Activity
3.4. Statistical Analysis
4. Conclusions
Author Contributions
Funding
Institutional Review Board Statement
Informed Consent Statement
Data Availability Statement
Acknowledgments
Conflicts of Interest
Sample Availability
References
- Toreti, V.C.; Sato, H.H.; Pastore, G.M.; Park, Y.K. Recent progress of propolis for its biological and chemical compositions and its botanical origin. Evid. Based Complement. Altern. Med. 2013, 2013, 697390. [Google Scholar] [CrossRef] [PubMed]
- Shaheen, S.A.; Zarga, M.H.A.; Nazer, I.K.; Darwish, R.M.; Al-Jaber, H.I. Chemical constituents of Jordanian propolis. Nat. Prod. Res. 2011, 25, 1312–1318. [Google Scholar] [CrossRef] [PubMed]
- Darwish, R.M.; Zarga, M.H.; Nazer, I.K. Antibacterial effect of Jordanian propolis and isolated flavonoids against human pathogenic bacteria. Afr. J. Biotechnol. 2010, 9, 5966–5974. [Google Scholar]
- Silici, S.; Kutluca, S. Chemical composition and antibacterial activity of propolis collected by three different races of honeybees in the same region. J. Ethnopharmacol. 2005, 99, 69–73. [Google Scholar] [CrossRef]
- Degirmencioglu, H.T.; Guzelmeric, E.; Yuksel, P.I.; Kirmizibekmez, H.; Deniz, I.; Yesilada, E. A New Type of Anatolian Propolis: Evaluation of Its Chemical Composition, Activity Profile and Botanical Origin. Chem. Biodivers. 2019, 16, e1900492. [Google Scholar] [CrossRef]
- Silva, F.R.G.; Matias, T.M.S.; Souza, L.I.O.; Matos-Rocha, T.J.; Fonseca, S.A.; Mousinho, K.C.; Santos, A.F. Phytochemical screening and in vitro antibacterial, antifungal, antioxidant and antitumor activities of the red propolis Alagoas. Braz. J. Biol. 2019, 79, 452–459. [Google Scholar] [CrossRef]
- Park, Y.K.; de Alencar, S.M.; Aguiar, C.L. Botanical origin and chemical composition of Brazilian propolis. J. Agric. Food Chem. 2002, 50, 2502–2506. [Google Scholar] [CrossRef]
- Bankova, V.S.; De Castro, S.L.; Marcucci, M.C. Propolis: Recent advances in chemistry and plant origin. Apidologie 2000, 31, 3–15. [Google Scholar] [CrossRef]
- Chen, C.N.; Wu, C.L.; Shy, H.S.; Lin, J.K. Cytotoxic prenylflavanones from Taiwanese propolis. J. Nat. Prod. 2003, 66, 503–506. [Google Scholar] [CrossRef] [PubMed]
- Chen, C.-N.; Weng, M.-S.; Wu, C.-L.; Lin, J.-K. Comparison of Radical Scavenging Activity, Cytotoxic Effects and Apoptosis Induction in Human Melanoma Cells by Taiwanese Propolis from Different Sources. Evid. Based Complement. Altern. Med. 2004, 1, 175–185. [Google Scholar] [CrossRef]
- Chen, C.-N.; Wu, C.-L.; Lin, J.-K. Apoptosis of human melanoma cells induced by the novel compounds propolin A and propolin B from Taiwenese propolis. Cancer Lett. 2007, 245, 218–231. [Google Scholar] [CrossRef]
- Huang, W.-J.; Huang, C.-H.; Wu, C.-L.; Lin, J.-K.; Chen, Y.-W.; Lin, C.-L.; Chuang, S.-E.; Huang, C.-Y.; Chen, C.-N. Propolin G, a prenylflavanone, isolated from Taiwanese propolis, induces caspase-dependent apoptosis in brain cancer cells. J. Agric. Food Chem. 2007, 55, 7366–7376. [Google Scholar] [CrossRef]
- Hegazi, A.G.; Hady, F.K.A.E.; Allah, F.A.A. Chemical composition and antimicrobial activity of European propolis. Z. Fur Naturforschung. C J. Biosci. 2000, 55, 70–75. [Google Scholar] [CrossRef] [PubMed]
- Sforcin, J.M.; Fernandes, A., Jr.; Lopes, C.A.; Bankova, V.; Funari, S.R. Seasonal effect on Brazilian propolis antibacterial activity. J. Ethnopharmacol. 2000, 73, 243–249. [Google Scholar] [CrossRef]
- Grange, J.M.; Davey, R.W. Antibacterial properties of propolis (bee glue). J. R Soc. Med. 1990, 83, 159–160. [Google Scholar] [CrossRef] [PubMed]
- Chen, Y.-W.; Wu, S.-W.; Ho, K.-K.; Lin, S.-B.; Huang, C.Y.; Chen, C.-N. Characterisation of Taiwanese propolis collected from different locations and seasons. J. Sci. Food Agric. 2008, 88, 412–419. [Google Scholar] [CrossRef]
- Kujumgiev, A.; Tsvetkova, I.; Serkedjieva, Y.; Bankova, V.; Christov, R.; Popov, S. Antibacterial, antifungal and antiviral activity of propolis of different geographic origin. J. Ethnopharmacol. 1999, 64, 235–240. [Google Scholar] [CrossRef]
- Yang, H.-Y.; Chang, C.-M.; Chen, Y.-W.; Chou, C.-C. Inhibitory effect of propolis extract on the growth of Listeria monocytogenes and the mutagenicity of 4-nitroquinoline-N-oxide. J. Sci. Food Agric. 2006, 86, 937–943. [Google Scholar] [CrossRef]
- Marcucci, M.C.; Ferreres, F.; Custodio, A.R.; Ferreira, M.M.; Bankova, V.S.; Garcia-Viguera, C.; Bretz, W.A. Evaluation of phenolic compounds in Brazilian propolis from different geographic regions. Z. Fur Naturforschung C J. Biosci 2000, 55, 76–81. [Google Scholar] [CrossRef]
- Dobrowolski, J.W.; Vohora, S.B.; Sharma, K.; Shah, S.A.; Naqvi, S.A.; Dandiya, P.C. Antibacterial, antifungal, antiamoebic, antiinflammatory and antipyretic studies on propolis bee products. J. Ethnopharmacol. 1991, 35, 77–82. [Google Scholar] [CrossRef]
- Bankova, V.S.; Popov, S.S.; Marekov, N.L. A study on flavonoids of propolis. J. Nat. Prod. 1983, 46, 471–474. [Google Scholar] [CrossRef]
- Marcucci, M.C. Propolis: Chemical composition, biological properties and therapeutic activity. Apidologie 1995, 26, 83–99. [Google Scholar] [CrossRef]
- Ghisalberti, E.L. Propolis: A review. Bee World 1979, 60, 59–84. [Google Scholar] [CrossRef]
- Burdock, G.A. Review of the biological properties and toxicity of bee propolis (propolis). Food Chem. Toxicol. 1998, 36, 347–363. [Google Scholar] [CrossRef]
- Alencar, S.M.; Oldoni, T.L.; Castro, M.L.; Cabral, I.S.; Costa-Neto, C.M.; Cury, J.A.; Rosalen, P.L.; Ikegaki, M. Chemical composition and biological activity of a new type of Brazilian propolis: Red propolis. J. Ethnopharmacol. 2007, 113, 278–283. [Google Scholar] [CrossRef]
- Castro, M.L.; Vilela, W.R.; Zauli, R.C.; Ikegaki, M.; Rehder, V.L.G.; Foglio, M.A.; de Alencar, S.M.; Rosalen, P.L. Bioassay guided purification of the antimicrobial fraction of a Brazilian propolis from Bahia state. BMC Complement. Altern. Med. 2009, 9, 25. [Google Scholar] [CrossRef]
- Duarte, S.; Koo, H.; Bowen, W.H.; Hayacibara, M.F.; Cury, J.A.; Ikegaki, M.; Rosalen, P.L. Effect of a novel type of propolis and its chemical fractions on glucosyltransferases and on growth and adherence of mutans streptococci. Biol. Pharm. Bull. 2003, 26, 527–531. [Google Scholar] [CrossRef]
- Thirugnanasampandan, R.; Raveendran, S.B.; Jayakumar, R. Analysis of chemical composition and bioactive property evaluation of Indian propolis. Asian Pac. J. Trop. Biomed. 2012, 2, 651–654. [Google Scholar] [CrossRef]
- Şahinler, N.; Kaftanoglu, O. Natural product propolis: Chemical composition. Nat. Prod. Res. 2005, 19, 183–188. [Google Scholar] [CrossRef]
- Hegazi, A.G.; Hady, F.K.E.A. Egyptian propolis: 1-antimicrobial activity and chemical composition of Upper Egypt propolis. Z. Fur Naturforschung C J. Biosci 2001, 56, 82–88. [Google Scholar] [CrossRef]
- Hegazi, A.G.; Hady, F.K.A.E. Egyptian propolis: 3. Antioxidant, antimicrobial activities and chemical composition of propolis from reclaimed lands. Z. Fur Naturforschung C J. Biosci. 2002, 57, 395–402. [Google Scholar] [CrossRef]
- Popova, M.; Dimitrova, R.; Al-Lawati, H.T.; Tsvetkova, I.; Najdenski, H.; Bankova, V. Omani propolis: Chemical profiling, antibacterial activity and new propolis plant sources. Chem. Cent. J. 2013, 7, 158. [Google Scholar] [CrossRef][Green Version]
- Bankova, V.; Bertelli, D.; Borba, R.; Conti, B.J.; da Silva Cunha, I.B.; Danert, C.; Eberlin, M.N.; Falcão, S.I.; Isla, M.I.; Moreno, M.I.N.; et al. Standard methods for Apis mellifera propolis research. J. Apic. Res. 2019, 58, 1–49. [Google Scholar] [CrossRef]
- Romero, M.; Freire, J.; Pastene, E.; García, A.; Aranda, M.; González, C.; Da Silva, C.C.F.; Salatino, A.; Da Motta, L.B.; Negri, G.; et al. Propolis polyphenolic compounds affect the viability and structure of Helicobacter pylori in vitro. Rev. Bras. Farmacogn. 2019, 29, 325–332. [Google Scholar] [CrossRef]
- Melton, L.M.; Taylor, M.J.; Flynn, E.E.; Reid, K.; Viezens, K.J.; Vyas, D.S.; Wilson, A.T. Utilisation of LC/MSMS (QTRAP) and polarity switching for the quantitative analysis of over 300 pesticides in crude QuEChERs extracts from various fruit and vegetable matrices. Chromatography Today. 2018, pp. 28–33. Available online: https://www.chromatographytoday.com/article/lc-ms/48/science-and-advice-for-scottish-agriculture-sasa/putilisation-of-lcmsms-qtrap-and-polarity-switching-for-the-quantitative-analysis-of-over-300-pesticides-in-crude-quechers-extracts-from-various-fruit-and-vegetable-matricesnbspp/2334 (accessed on 15 December 2019).
- Etoxazole; Pesticide Tolerance. Available online: https://www.federalregister.gov/documents/2016/07/27/2016-17786/etoxazole-pesticide-tolerance (accessed on 15 November 2019).
- Pesticide Fact Sheet: Fenpropimorph: New Chemical Tolerance Established. Available online: https://www3.epa.gov/pesticides/chem_search/reg_actions/registration/fs_PC-121402_01-Mar-06.pdf (accessed on 15 November 2019).
- Prevention, Pesticides and Toxic Substances (7508C): Report of the Food Quality Protection Act (FQPA) Tolerance Reassessment Progress and Risk Management Decision (TRED) for Desmedipham. Available online: https://www3.epa.gov/pesticides/chem_search/reg_actions/reregistration/tred_PC-104801_25-Jan-05.pdf (accessed on 15 December 2019).
- Method 1657: The Determination of Organo-Phosphorus Pesticides in Municipal and Industrial Wastewater. Available online: https://nepis.epa.gov/Exe/ZyPDF.cgi/P100YX0D.PDF?Dockey=P100YX0D.PDF (accessed on 15 November 2019).
- da Silva, J.F.M.; Souza, M.C.; Matta, S.R.; Andrade, M.R.; Vidal, F.V.N. Correlation analysis between phenolic levels of Brazilian propolis extracts and their antimicrobial and antioxidant activities. Food Chem. 2006, 99, 431–435. [Google Scholar] [CrossRef]
- Ahn, M.-R.; Kumazawa, S.; Usui, Y.; Nakamura, J.; Matsuka, M.; Zhu, F.; Nakayama, T. Antioxidant activity and constituents of propolis collected in various area of China. Food Chem. 2007, 101, 1383–1392. [Google Scholar] [CrossRef]
- Kocot, J.; Kielczykowska, M.; Luchowska-Kocot, D.; Kurzepa, J.; Musik, I. Antioxidant Potential of Propolis, Bee Pollen, and Royal Jelly: Possible Medical Application. Oxid. Med. Cell. Longev. 2018, 2018, 7074209. [Google Scholar] [CrossRef] [PubMed]
- Mărghitaş, L.A.; Laslo, L.; Dezmirean, D.; Moise, A.; Maghear, O. Total phenolics and antioxidant activity of Romanian propolis. In Proceedings of the International Conference Agricultural and Food Sciences, Progresses and Technologies, Sibiu, Romania, 2007; pp. 209–212. [Google Scholar]
- Moreira, L.; Dias, L.G.; Pereira, J.A.; Estevinho, L. Antioxidant properties, total phenols and pollen analysis of propolis samples from Portugal. Food Chem. Toxicol. 2008, 46, 3482–3485. [Google Scholar] [CrossRef] [PubMed]
- Denisow, B.; Denisow-Pietrzyk, M. Biological and therapeutic properties of bee pollen: A review. J. Sci. Food Agric. 2016, 96, 4303–4309. [Google Scholar] [CrossRef] [PubMed]
- Russo, A.; Longo, R.; Vanella, A. Antioxidant activity of propolis: Role of caffeic acid phenethyl ester and galangin. Fitoterapia 2002, 73 (Suppl. 1), S21–S29. [Google Scholar] [CrossRef]
- Cotelle, N.; Bernier, J.-L.; Catteau, J.-P.; Pommery, J.; Wallet, J.-C.; Gaydou, E.M. Antioxidant properties of hydroxyflavones. Free Radic. Biol. Med. 1996, 20, 35–43. [Google Scholar] [CrossRef]
- Werns, S.W.; Lucchesi, B.R. Free radicals and ischemic tissue injury. TIPS 1990, 11, 161–166. [Google Scholar] [CrossRef]
- Van Hoorn, D.E.; Nijveldt, R.J.; Van Leeuwen, P.A.; Hofman, Z.; M ’Rabet, L.; De Bont, D.B.; Van Norren, K. Accurate prediction of xanthine oxidase inhibition based on the structure of flavonoids. Eur. J. Pharmacol. 2002, 451, 111–118. [Google Scholar] [CrossRef]
- Nile, S.H.; Park, S.W. Total phenolics, antioxidant and xanthine oxidase inhibitory activity of three colored onions (Allium cepa L.). Front. Life Sci. 2013, 7, 224–228. [Google Scholar] [CrossRef]
- Elagbar, Z.A.; Naik, R.R.; Shakya, A.K.; Bardaweel, S.K. Fatty Acids Analysis, Antioxidant and Biological Activity of Fixed Oil of Annona Muricata L. Seeds. J. Chem. 2016, 2016, 1–6. [Google Scholar] [CrossRef]
- Halub, B.; Shakya, A.K.; Elagbar, Z.A.; Naik, R.R. GC-MS analysis and biological activity of essential oil of fruits, needles and bark of Pinus Pinea grown wildly in Jordan. Acta Pol. Pharm. Drug Res. 2019, 76, 825–831. [Google Scholar]
- Arimboor, R.; Rangan, M.; Aravind, S.G.; Arumughan, C. Tetrahydroamentoflavone (THA) from Semecarpus anacardium as a potent inhibitor of xanthine oxidase. J. Ethnopharmacol. 2011, 133, 1117–1120. [Google Scholar] [CrossRef] [PubMed]



| Time | Formula | Name (Identified as FAME) | Relative Percentage * |
|---|---|---|---|
| 4.791 | C4:0 | Butyric acid | 0.34 |
| 5.998 | C6:0 | Caproic acid | 0.08 |
| 7.237 | C8:0 | Caprylic acid | 2.93 |
| 8.385 | C10:0 | Capric acid | 0.13 |
| 9.048 | C11:0 | Undecanoic acid | 0.29 |
| 9.667 | C12:0 | Lauric acid | 0.24 |
| 11.283 | C14:0 | Myristic acid | 0.47 |
| 12.131 | C15:0 | Pentadecanoic acid | 0.70 |
| 13.351 | C16:0 | Palmitic acid | 44.55 |
| 15.832 | C18:0 | Stearic acid | 5.42 |
| 18.461 | C20:0 | Arachidic acid | 7.36 |
| 25.351 | C24:0 | Lignoceric acid | 2.59 |
| ƩSFA a | 65.10 | ||
| 13.513 | C16:1 | Palmitoleic acid | 1.52 |
| 16.245 | C18:1, cis | Oleic acid | 24.57 |
| 19.019 | C20:1, n9 | cis-11-Eicosenoic acid | 1.15 |
| ƩMUFA b | 27.24 | ||
| 16.979 | C18:2, cis | Linoleic acid | 3.08 |
| 17.801 | C18:3, n3 | α-Linolenic acid | 1.13 |
| 19.78 | C20:2 | cis-11,14-Eicosadienoic acid | 2.40 |
| 23.178 | C22:2 | cis-13,16-Docosadienoic acid | 1.05 |
| ƩPUFA c | 7.66 |
| Time (min) | Name | Relative Percentage |
|---|---|---|
| 4.900 | Gallic acid | - |
| 9.789 | Chlorogenic acid | 0.026 |
| 10.632 | Vanillic acid | 0.035 |
| 11.039 | Caffeic acid | 1.124 |
| 15.216 | Rutin | 0.036 |
| 16.372 | Lueolin-7-O-glucoside | 1.237 |
| 17.662 | Naringenin | 0.005 |
| 18.279 | Apigenin-7-O-glucoside | 0.037 |
| 18.917 | Rosmarinic acid | 0.002 |
| 19.583 | 4-hydroxy coumaric acid | 0.026 |
| 22.446 | Luteolin | 0.301 |
| 22.774 | Quercetin | 0.063 |
| 26.258 | Apigenin | 0.540 |
| 32.023 | Pinocembrin | 2.819 |
| 34.328 | Chrysin | 1.828 |
| 340823 | CAPE | 0.790 |
| 35.659 | Galangin | 0.462 |
| 39.257 | Carnosic acid (used as IS) | - |
| 45.847 | Hesperidin | 0.103 |
| Pesticide | Concentration (ng/mL) * |
|---|---|
| Desmedipham | 37.41 ± 0.70 |
| Fenpropomorph | 21.52 ± 0.51 |
| Dichlofenthion | 15.83 ± 0.33 |
| Etoxazole | 20.94 ± 0.25 |
| Sample | IC50 (µg/mL) | |
|---|---|---|
| DPPH Radical Activity * | XO Activity of Propolis * | |
| Propolis (70% ethanolic extract) | 6.13 ± 0.1 | 75.11 ± 11.43 |
| Propolis (50% ethanolic extract) | 14.4 ± 0.1 | 89.51 ± 17.40 |
| Propolis (hexane extract, Lipid Fraction) | 60.5 ± 0.1 | 250.74 ± 13.09 |
| Ascorbic Acid (in 50% ethanol) | 1.21 ± 0.03 | - |
| α-Tocopherol (in hexane) | 85.5 ± 1.7 | - |
| Allopurinol | - | 0.38 ± 0.08 |
Publisher’s Note: MDPI stays neutral with regard to jurisdictional claims in published maps and institutional affiliations. |
© 2021 by the authors. Licensee MDPI, Basel, Switzerland. This article is an open access article distributed under the terms and conditions of the Creative Commons Attribution (CC BY) license (https://creativecommons.org/licenses/by/4.0/).
Share and Cite
Naik, R.R.; Shakya, A.K.; Oriquat, G.A.; Katekhaye, S.; Paradkar, A.; Fearnley, H.; Fearnley, J. Fatty Acid Analysis, Chemical Constituents, Biological Activity and Pesticide Residues Screening in Jordanian Propolis. Molecules 2021, 26, 5076. https://doi.org/10.3390/molecules26165076
Naik RR, Shakya AK, Oriquat GA, Katekhaye S, Paradkar A, Fearnley H, Fearnley J. Fatty Acid Analysis, Chemical Constituents, Biological Activity and Pesticide Residues Screening in Jordanian Propolis. Molecules. 2021; 26(16):5076. https://doi.org/10.3390/molecules26165076
Chicago/Turabian StyleNaik, Rajashri R., Ashok K. Shakya, Ghaleb A. Oriquat, Shankar Katekhaye, Anant Paradkar, Hugo Fearnley, and James Fearnley. 2021. "Fatty Acid Analysis, Chemical Constituents, Biological Activity and Pesticide Residues Screening in Jordanian Propolis" Molecules 26, no. 16: 5076. https://doi.org/10.3390/molecules26165076
APA StyleNaik, R. R., Shakya, A. K., Oriquat, G. A., Katekhaye, S., Paradkar, A., Fearnley, H., & Fearnley, J. (2021). Fatty Acid Analysis, Chemical Constituents, Biological Activity and Pesticide Residues Screening in Jordanian Propolis. Molecules, 26(16), 5076. https://doi.org/10.3390/molecules26165076

