Chemometrics for the Identification of Nitrogen and Acid Compounds in Milk-Whey as By-Products from Crescenza and Grana Padano Type Cheese-Making
Abstract
:1. Introduction
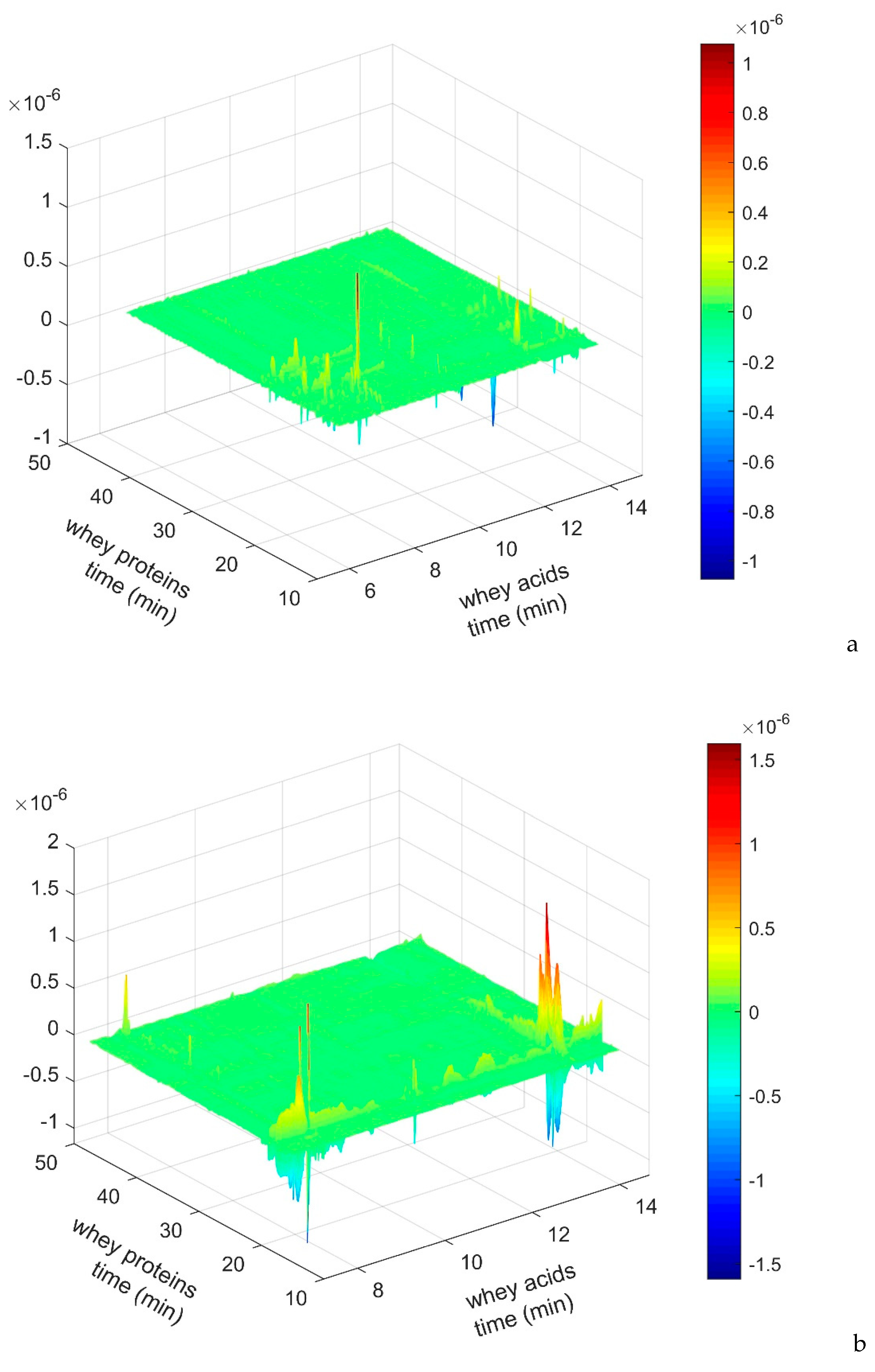
2. Results and Discussion
3. Materials and Methods
3.1. Milk-Whey Samples
3.2. Capillary Electrophoresis (CE)
3.2.1. Whey Proteins Analysis by CE
3.2.2. Organic Acids Analysis by CE
3.3. Data Processing
3.3.1. Electropherograms Alignment
3.3.2. Two-Dimensional Correlation Analysis (2DCOR)
3.3.3. Hetero Analysis Correlation
- the CE electropherograms related to the same sampling point were averaged;
- the organic acid profiles were used as inverted signals;
- Two matrices, one for OA and one for RPC, were built, where the migration times were used as columns, and the sampling points as rows; then the matrices were multiplied.
4. Conclusions
Author Contributions
Funding
Institutional Review Board Statement
Informed Consent Statement
Data Availability Statement
Acknowledgments
Conflicts of Interest
Sample Availability
References
- O’Donnell, R.; Holland, J.W.; Deeth, H.C.; Alewood, P. Milk proteomics. Int. Dairy J. 2004, 14, 1013–1023. [Google Scholar] [CrossRef]
- Aslam, B.; Basit, M.; Nisar, M.A.; Khurshid, M.; Rasool, M.H. Proteomics: Technologies and their applications. J. Chromatogr. Sci. 2017, 55, 182–196. [Google Scholar] [CrossRef] [Green Version]
- Nicholson, J.K.; Lindon, J.C. Systems biology: Metabolomics. Nature 2008, 455, 1054–1056. [Google Scholar] [CrossRef] [PubMed]
- Zhang, A.; Sun, H.; Wang, P.; Han, Y.; Wang, X. Recent and potential developments of biofluid analyses in metabolomics. J. Proteom. 2012, 75, 1079–1088. [Google Scholar] [CrossRef]
- Lippe, G.; Stecchini, M.L.; Conte, L.; Maltini, E.; Foti, S.; Cunsolo, V. Application of proteomics in food science. J. Sci. Ind. Res. 2011, 70, 905–908. Available online: http://nopr.niscair.res.in/handle/123456789/12958 (accessed on 28 May 2021).
- Gallardo, J.M.; Carrera, M.; Ortea, I. Foodomics: Advanced Mass Spectrometry in Modern Food Science and Nutrition. Chapter 5. In Proteomics Food Science; Cifuentes, A., Ed.; John Wiley and Sons: Hoboken, NJ, USA, 2013; pp. 125–165. [Google Scholar]
- Ortea, I.; O’Connor, G.; Maquet, A. Review on proteomics for food authentication. J. Proteomics 2016, 147, 212–225. [Google Scholar] [CrossRef]
- Piras, C.; Roncada, P.; Rodrigues, P.M.; Bonizzi, L.; Soggiu, A. Proteomics in Food: Quality, Safety, Microbes, and Allergens. Proteomics 2016, 16, 799–815. [Google Scholar] [CrossRef]
- Mora, L.; Gallego, M.; Toldrá, F. New Approaches Based on Comparative Proteomics for the Assessment of Food Quality. Curr. Opin. Food Sci. 2018, 22, 22–27. [Google Scholar] [CrossRef]
- Agregán, R.; Echegaray, N.; López-Pedrouso, M.; Kharabsheh, R.; Franco, D.; Lorenzo, J.M. Proteomic Advances in Milk and Dairy Products. Molecules 2021, 26, 3832. [Google Scholar] [CrossRef] [PubMed]
- Rafiq, S.; Huma, N.; Pasha, I.; Sameen, A.; Mukhtar, O.; Khan, M.I. Chemical Composition, Nitrogen Fractions and Amino Acids Profile of Milk from Different Animal Species. Asian Australas. J. Anim. Sci. 2016, 29, 1022–1028. [Google Scholar] [CrossRef]
- Kim, Y.E.; Kim, J.W.; Cheon, S.; Nam, M.S.; Kim, K.K. Alpha-Casein and Beta-Lactoglobulin from Cow Milk Exhibit Antioxidant Activity: A Plausible Link to Antiaging Effects. J. Food Sci. 2019, 84, 3083–3090. [Google Scholar] [CrossRef]
- Lorenzo, J.M.; Munekata, P.E.; Gomez, B.; Barba, F.J.; Mora, L.; Perez-Santaescolastica, C.; Toldra, F. Bioactive peptides as natural antioxidants in food products–A review. Trends Food Sci. Technol. 2018, 79, 136–147. [Google Scholar] [CrossRef]
- Jardin, J.; Mollé, D.; Piot, M.; Lortal, S.; Gagnaire, V. Quantitative Proteomic Analysis of Bacterial Enzymes Released in Cheese during Ripening. Int. J. Food Microbiol. 2012, 155, 19–28. [Google Scholar] [CrossRef] [PubMed]
- Le, T.T.; Deeth, H.C.; Larsen, L.B. Proteomics of Major Bovine Milk Proteins: Novel Insights. Int. Dairy J. 2017, 67, 2–15. [Google Scholar] [CrossRef] [Green Version]
- Milkovska-Stamenova, S.; Hoffmann, R. Diversity of Advanced Glycation End Products in the Bovine Milk Proteome. Amino Acids 2019, 51, 891–901. [Google Scholar] [CrossRef]
- Tacoma, R.; Fields, J.; Ebenstein, D.B.; Lam, Y.W.; Greenwood, S.L. Characterization of the Bovine Milk Proteome in Early-Lactation Holstein and Jersey Breeds of Dairy Cows. J. Proteom. 2016, 130, 200–210. [Google Scholar] [CrossRef] [Green Version]
- D’Auria, E.; Mameli, C.; Piras, C.; Cococcioni, L.; Urbani, A.; Zuccotti, G.V.; Roncada, P. Precision Medicine in Cow’s Milk Allergy: Proteomics Perspectives from Allergens to Patients. J. Proteom. 2018, 188, 173–180. [Google Scholar] [CrossRef]
- Nardiello, D.; Natale, A.; Palermo, C.; Quinto, M.; Centonze, D. Milk Authenticity by Ion-Trap Proteomics Following Multi-Enzyme Digestion. Food Chem. 2018, 244, 317–323. [Google Scholar] [CrossRef]
- Liu, H.; Grosvenor, A.J.; Li, X.; Wang, X.-l.; Ma, Y.; Clerens, S.; Dyer, J.M.; Day, L. Changes in Milk Protein Interactions and Associated Molecular Modification Resulting from Thermal Treatments and Storage. J. Food Sci. 2019, 84, 1737–1745. [Google Scholar] [CrossRef]
- de B Harrington, P.; Urbas, A.; Tandler, P.J. Two-dimensional correlation analysis. Chemom. Intell. Lab. Syst. 2000, 50, 149–174. [Google Scholar] [CrossRef]
- Noda, I. Two-Dimensional Infrared (2D IR) Spectroscopy: Theory and Applications. Appl. Spectrosc. 1990, 44, 550–561. [Google Scholar] [CrossRef]
- Noda, I. Generalized two-dimensional correlation method applicable to Infrared, Raman, and other types of Spectroscopy. Appl. Spectrosc. 1993, 47, 1329–1336. [Google Scholar] [CrossRef]
- Lucey, J.A. The relationship between rheological parameters and whey separation in milk gels. Food Hydrocoll. 2001, 15, 603–608. [Google Scholar] [CrossRef]
- Everard, C.D.; O’Callaghan, D.J.; Mateo, M.J.; O’Donnell, C.P.; Castillo, M.; Payne, F.A. Effects of cutting intensity and stirring speed on syneresis and curd losses during cheese manufacture. J. Dairy Sci. 2008, 91, 2575–2582. [Google Scholar] [CrossRef] [PubMed]
- Cattaneo, T.M.P.; Giardina, C.; Sinelli, N.; Riva, M.; Giangiacomo, R. Application of FT-NIR and FT-IR Spectroscopy to Study the Shelf-life of Crescenza Cheese. Int. Dairy J. 2005, 15, 693–700. [Google Scholar] [CrossRef]
- Walstra, P. The syneresis of curd. In Cheese: Chemistry, Physics and Microbiology; Fox, P.F., Ed.; Chapman and Hall: London, UK, 1993; Volume I, pp. 141–191. [Google Scholar]
- Mucchetti, G.; Neviani, E. Qualità e sicurezza. Chapter 5. In Microbiologia e Tecnologia Lattiero-Casearia; Tecniche Nuove: Milano, Italy, 2006; pp. 198–331. [Google Scholar]
- Giardina, C.; Barzaghi, S.; Tornielli, C.; Cattaneo, T.M.P. The syneresis process during Grana cheese production as monitored by NIRS. In NIR in Action—Making a Difference, Proceedings of 12th ICNIRS, Auckland, New Zealand, 10–15 April 2005; Burling-Claridge, G.R., Holroyd, S.E., Sumner, R.M.W., Eds.; Near Infrared Spectroscopy Society Inc.: Hamilton, New Zealand, 2007; pp. 321–325. ISBN 978-0-473-11746-7. [Google Scholar]
- Lamichhane, P.; Kelly, A.L.; Sheehan, J.J. Symposium review: Structure-function relationships in cheese. J. Dairy Sci. 2018, 101, 2692–2709. [Google Scholar] [CrossRef]
- Cogan, T.M.; Hill, C. Cheese starter culture. In Cheese: Chemistry, Physics and Microbiology; Fox, P.F., Ed.; Chapman and Hall: London, UK, 1993; Volume I, pp. 193–255. [Google Scholar]
- Recio, I.; Olieman, C. Determination of denaturated serum proteins in the casein fraction of heat-treated milk by capillary electrophoresis. Electrophoresis 1996, 17, 1228–1233. [Google Scholar] [CrossRef]
- Monti, L.; Ghiglietti, R.; Cattaneo, T.M.P. Determination of citric and lactic acids in dairy products by capillary electrophoresis (CE). In Proceedings of the 27th International Symposium on Capillary Chromatography, Riva del Garda, Italy, 31 May–4 June 2004; Sandra, T., Sandra, P., Eds.; Poster H.15. I.O.P.M.S.: Kortrijk, Belgium, 2004. [Google Scholar]
- Noda, I. Two-Dimensional Correlation Analysis Useful for Spectroscopy, Chromatography, and Other Analytical Measurements. Anal. Sci. 2007, 23, 139–146. [Google Scholar] [CrossRef] [Green Version]







| α-lactalbumin g/L | β-lactoglobulin g/L | Citric Acid g/100g | Lactic Acid g/100g | ||||||
|---|---|---|---|---|---|---|---|---|---|
| Crescenza laboratory tests | S1 | 1.93 | ±0.33 | 4.53 | ±0.95 | 0.12 | ±0.03 | 0.02 | ±0.00 |
| S2 | 1.70 | ±0.37 | 3.80 | ±0.87 | 0.12 | ±0.03 | 0.03 | ±0.00 | |
| S3 | 1.46 | ±0.33 | 3.40 | ±0.87 | 0.11 | ±0.03 | 0.06 | ±0.01 | |
| S4 | 1.31 | ±0.31 | 3.04 | ±0.83 | 0.10 | ±0.03 | 0.20 | ±0.06 | |
| S5 | 1.10 | ±0.31 | 2.56 | ±0.77 | 0.11 | ±0.04 | 0.51 | ±0.02 | |
| S6 | 1.12 | ±0.32 | 2.82 | ±0.82 | 0.13 | ±0.03 | 1.30 | ±0.17 | |
| Crescenza pilot scale level | S1 | 1.92 | ±0.19 | 3.87 | ±0.49 | 0.13 | ±0.04 | 0.03 | ±0.01 |
| S2 | 1.90 | ±0.32 | 3.89 | ±0.63 | 0.12 | ±0.04 | 0.05 | ±0.01 | |
| S3 | 1.56 | ±0.12 | 3.20 | ±0.29 | 0.09 | ±0.05 | 0.19 | ±0.06 | |
| S4 | 1.31 | ±0.19 | 2.69 | ±0.39 | 0.08 | ±0.04 | 0.40 | ±0.08 | |
| S5 | 1.13 | ±0.32 | 2.37 | ±0.83 | 0.07 | ±0.04 | 0.66 | ±0.07 | |
| S6 | 1.11 | ±0.33 | 2.23 | ±0.68 | 0.12 | ±0.07 | 0.92 | ±0.09 | |
| Grana Padano type | S1 | 1.78 | ±0.50 | 4.02 | ±0.92 | 0.15 | ±0.01 | 0.09 | ±0.01 |
| S2 | 1.63 | ±0.39 | 3.48 | ±0.80 | 0.13 | ±0.02 | 0.10 | ±0.01 | |
| S3 | 1.60 | ±0.35 | 3.48 | ±0.64 | 0.14 | ±0.04 | 0.11 | ±0.02 | |
| S4 | 1.36 | ±0.30 | 2.92 | ±0.70 | 0.14 | ±0.02 | 0.12 | ±0.01 | |
| S5 | 1.36 | ±0.28 | 2.95 | ±0.70 | 0.18 | ±0.06 | 0.13 | ±0.01 | |
| S6 | 1.27 | ±0.26 | 2.75 | ±0.46 | 0.14 | ±0.05 | 0.13 | ±0.01 | |
Publisher’s Note: MDPI stays neutral with regard to jurisdictional claims in published maps and institutional affiliations. |
© 2021 by the authors. Licensee MDPI, Basel, Switzerland. This article is an open access article distributed under the terms and conditions of the Creative Commons Attribution (CC BY) license (https://creativecommons.org/licenses/by/4.0/).
Share and Cite
Barzaghi, S.; Monti, L.; Marinoni, L.; Cattaneo, T.M.P. Chemometrics for the Identification of Nitrogen and Acid Compounds in Milk-Whey as By-Products from Crescenza and Grana Padano Type Cheese-Making. Molecules 2021, 26, 4839. https://doi.org/10.3390/molecules26164839
Barzaghi S, Monti L, Marinoni L, Cattaneo TMP. Chemometrics for the Identification of Nitrogen and Acid Compounds in Milk-Whey as By-Products from Crescenza and Grana Padano Type Cheese-Making. Molecules. 2021; 26(16):4839. https://doi.org/10.3390/molecules26164839
Chicago/Turabian StyleBarzaghi, Stefania, Lucia Monti, Laura Marinoni, and Tiziana M. P. Cattaneo. 2021. "Chemometrics for the Identification of Nitrogen and Acid Compounds in Milk-Whey as By-Products from Crescenza and Grana Padano Type Cheese-Making" Molecules 26, no. 16: 4839. https://doi.org/10.3390/molecules26164839
APA StyleBarzaghi, S., Monti, L., Marinoni, L., & Cattaneo, T. M. P. (2021). Chemometrics for the Identification of Nitrogen and Acid Compounds in Milk-Whey as By-Products from Crescenza and Grana Padano Type Cheese-Making. Molecules, 26(16), 4839. https://doi.org/10.3390/molecules26164839

