Antibacterial Activities and Molecular Docking of Novel Sulfone Biscompound Containing Bioactive 1,2,3-Triazole Moiety
Abstract
1. Introduction
2. Results and Discussion
2.1. Chemistry
2.2. Biology
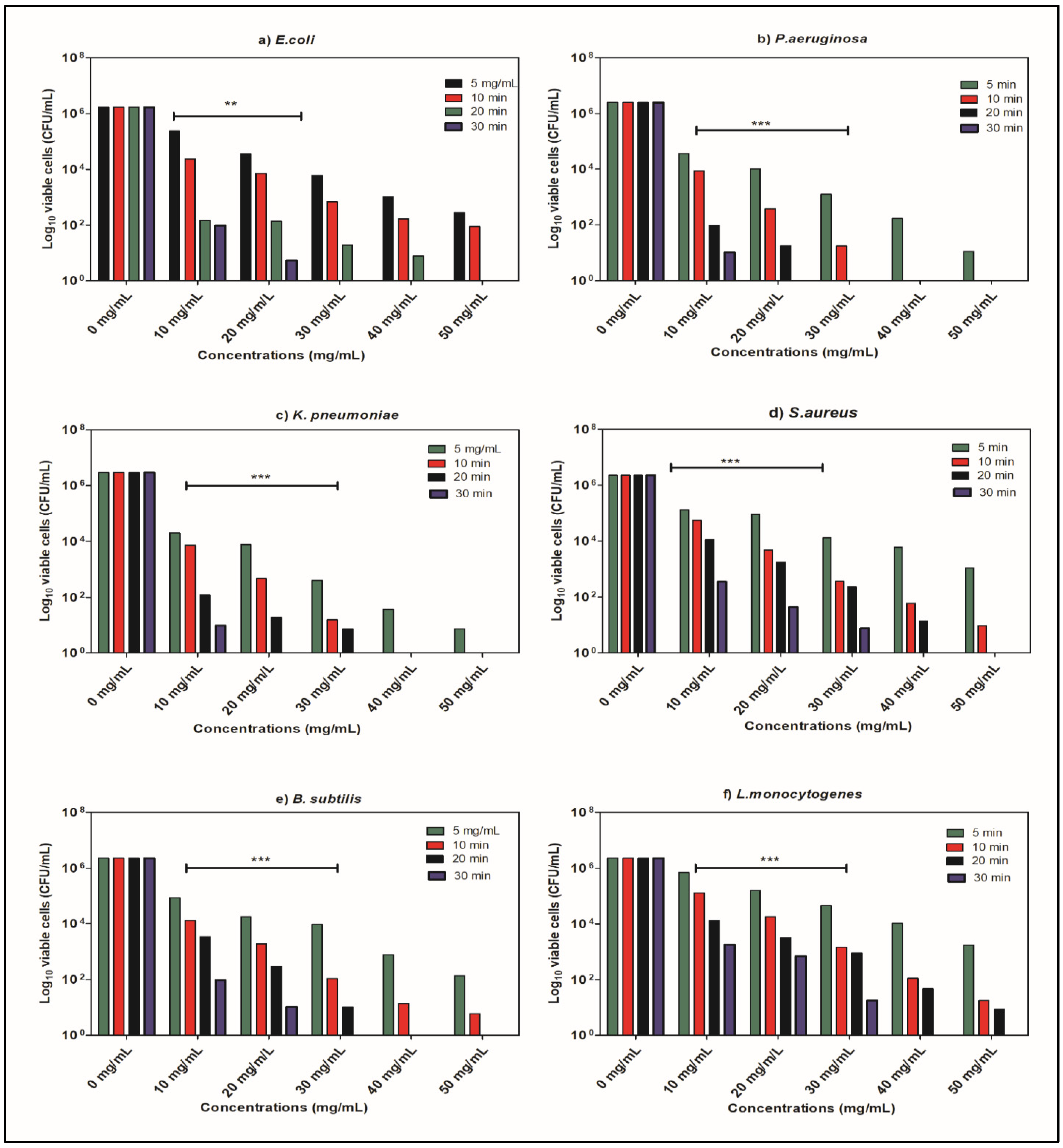
2.3. Estimation of MIC and IC50
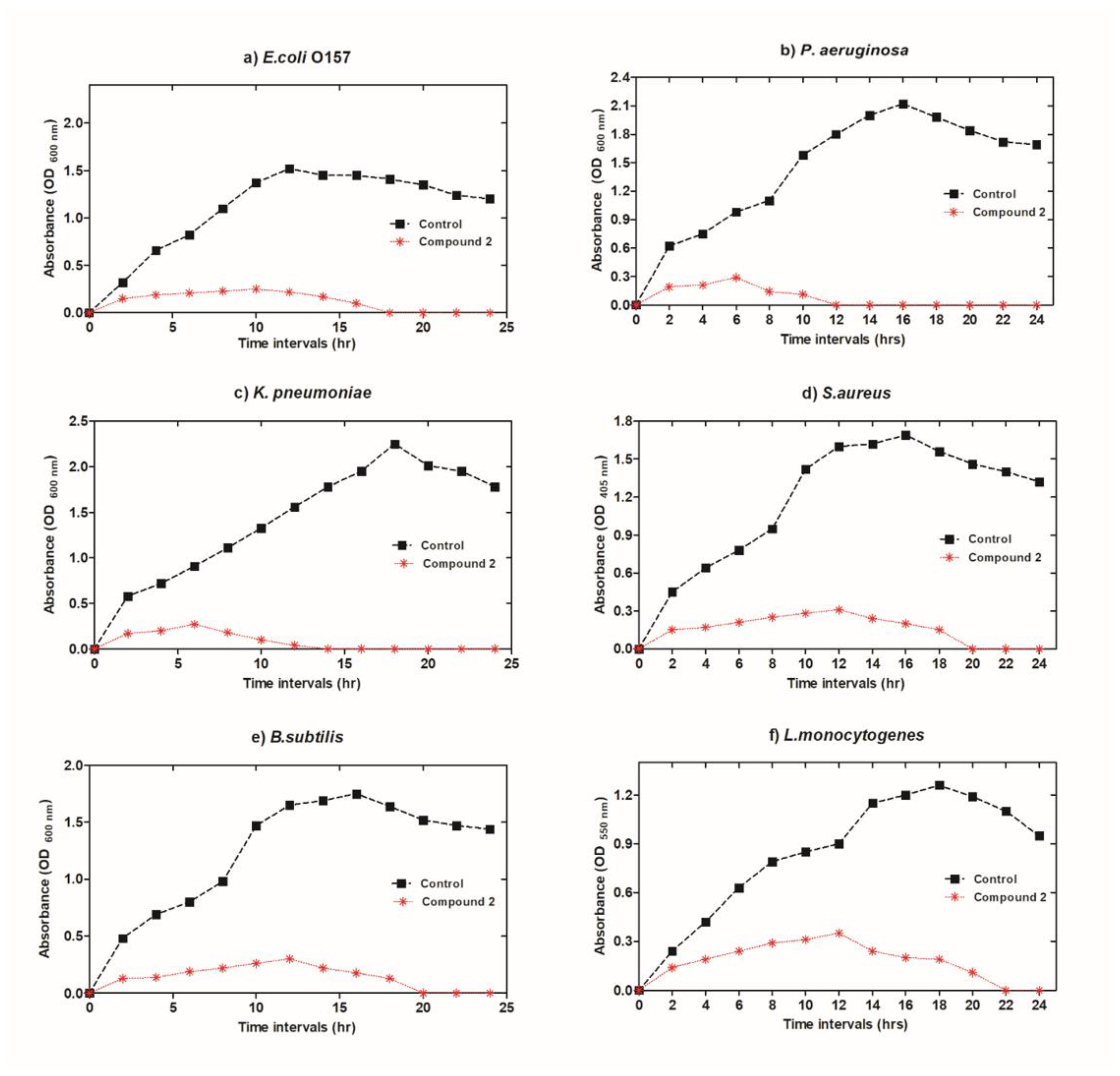
2.4. Kinetic Modeling Using the Pseudo-First-Order Kinetic Model
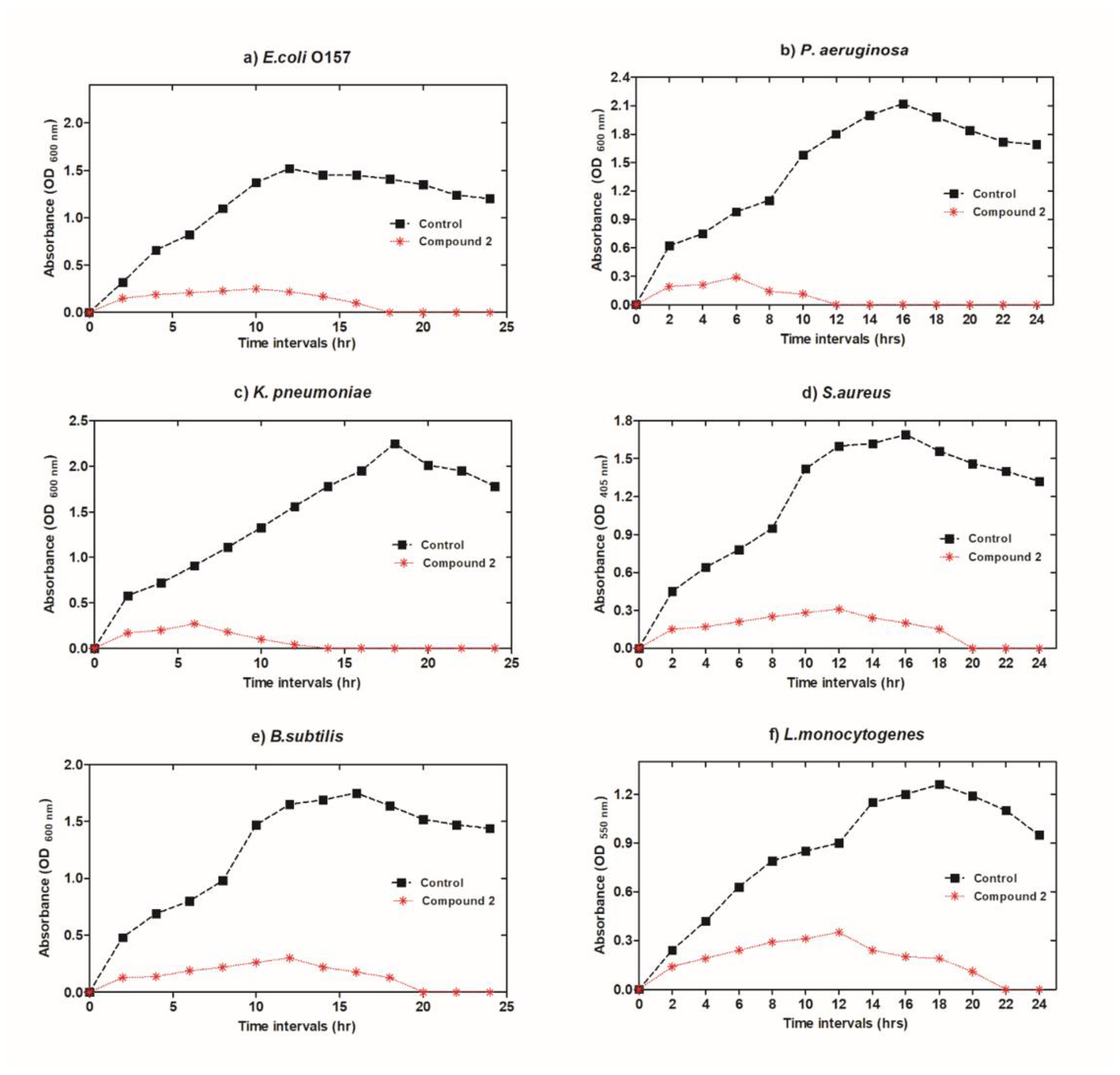
2.5. Physiological Altering of Bacterial Species
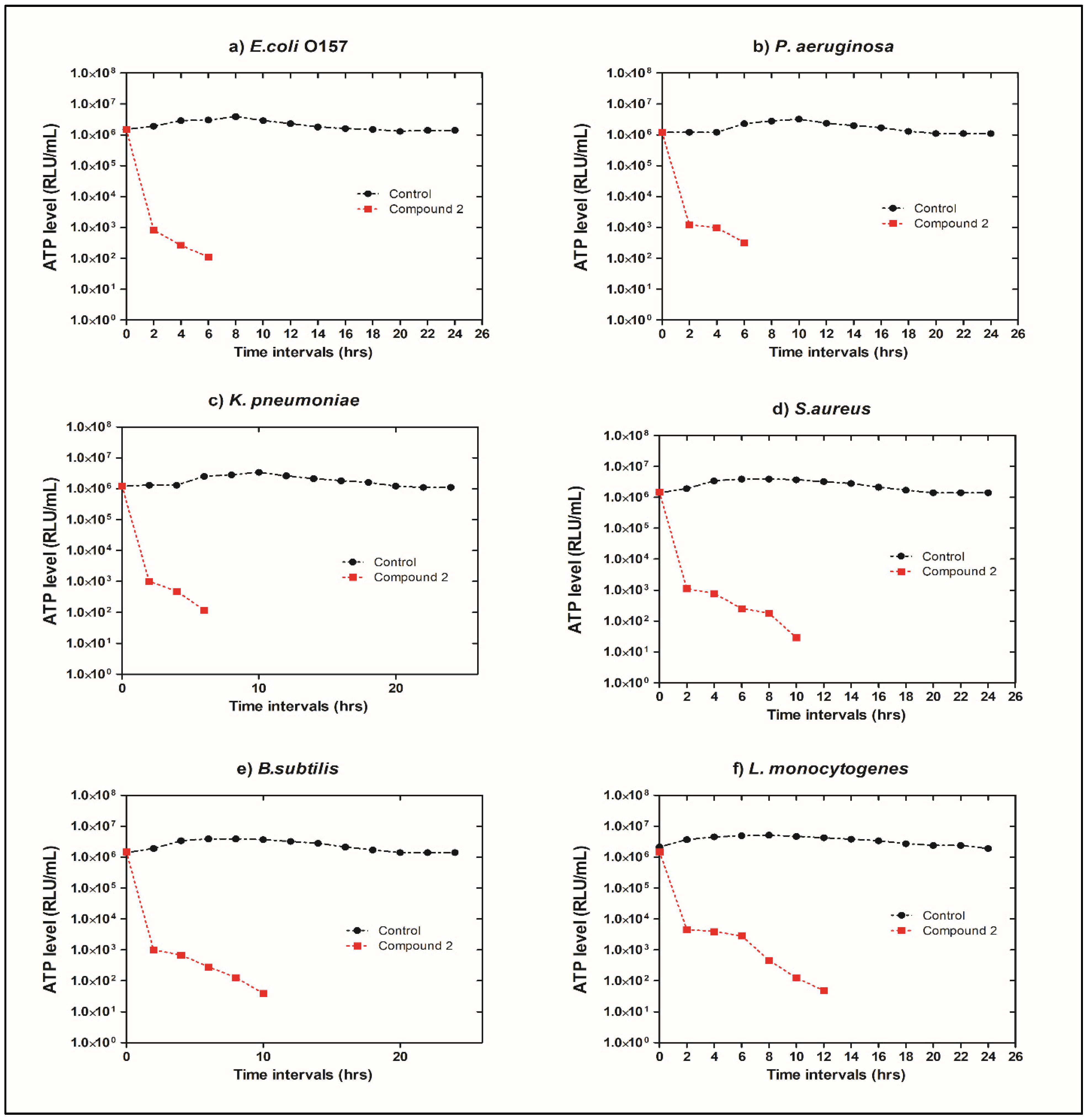
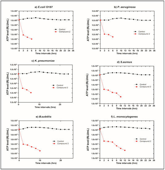
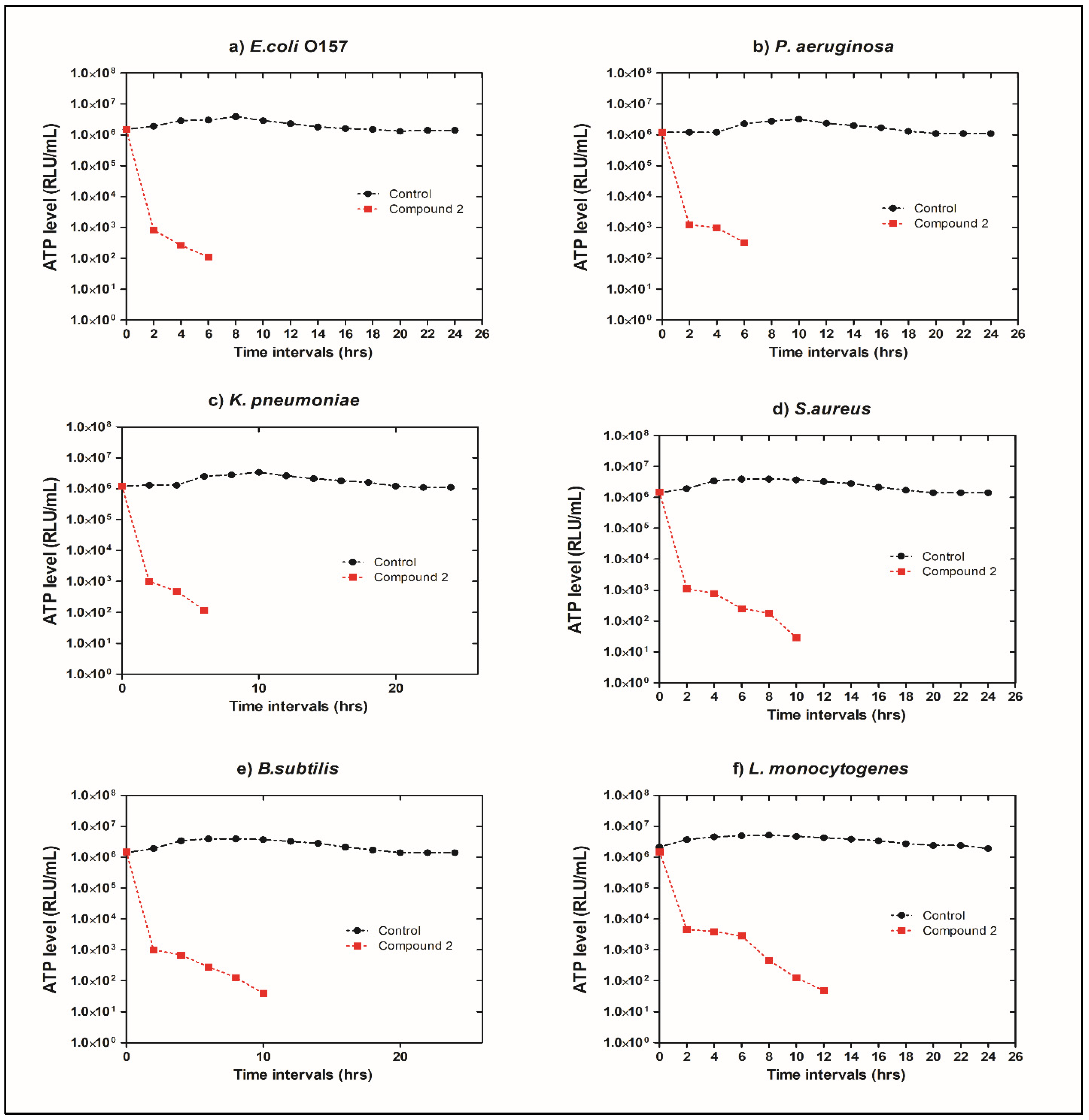
2.6. Protein Release
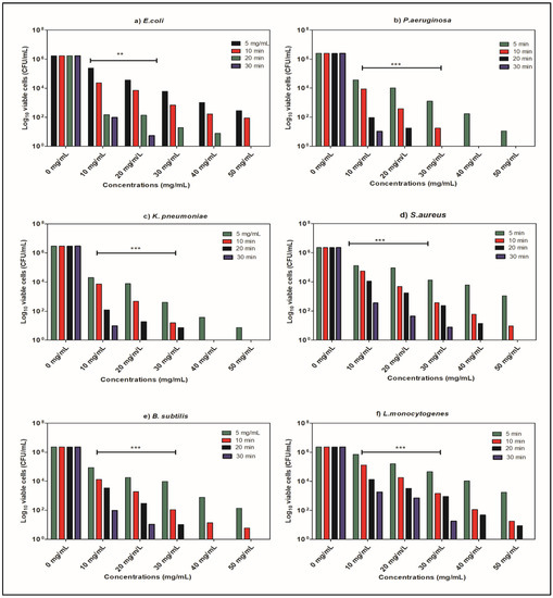
2.7. Toxicological Performance Assay of Compound
2.8. Computational Studies
3. Materials and Methods
3.1. Chemistry
3.1.1. Experimental Instrumentation
3.1.2. 1,1′-((Sulfonylbis(4,1-phenylene))bis(5-methyl-1H-1,2,3-triazole-1,4-diyl))bis(ethan-1-one) (2)
3.2. Biology
3.2.1. Evaluation of Antimicrobial Properties of the Synthesized Compound
Antibacterial Susceptibility Testing (AST)
3.3. Determination of Minimum Inhibitory Concentrations
3.4. Pseudo-First-Order Kinetic Modeling
3.5. Physiological Altering of Bacterial Strains
3.6. Bacterial Growth Rate
3.7. Estimation of Amounts of Released Protein
3.8. ATP Bioluminescence Assay
3.9. In Vitro Toxicological Performance Assay of the Tested Compounds
3.10. Computational Studies
4. Conclusions
Supplementary Materials
Author Contributions
Funding
Data Availability Statement
Conflicts of Interest
Sample Availability
References
- Aggarwal, N.; Kumar, R.; Dureja, P.; Khurana, J. Synthesis, antimicrobial evaluation and QSAR analysis of novel nalidixic acid based 1, 2, 4-triazole derivatives. Eur. J. Med. Chem. 2011, 46, 4089–4099. [Google Scholar] [CrossRef]
- Serban, G.; Stanasel, O.; Serban, E.; Bota, S. 2-Amino-1,3,4-thiadiazole as a potential scaffold for promising antimicrobial agents. Drug Des. Dev. Ther. 2018, 12, 1545. [Google Scholar] [CrossRef] [PubMed]
- Menteşe, E.; Ülker, S.; Kahveci, B. Synthesis and study of α-glucosidase inhibitory, antimicrobial and antioxidant activities of some benzimidazole derivatives containing triazole, thiadiazole, oxadiazole, and morpholine rings. Chem. Heterocycl. Compd. 2015, 50, 1671–1682. [Google Scholar] [CrossRef]
- Singh, V.; Pandey, V. Synthesis, antibacterial and antifungal activity of some new pyrido quinazolones. ChemInform 2006. [Google Scholar] [CrossRef]
- Fuda, C.; Fisher, J.; Mobashery, S. β-Lactam resistance in Staphylococcus aureus: The adaptive resistance of a plastic genome. Cell. Mol. Life Sci. 2005, 62, 2617–2633. [Google Scholar] [CrossRef]
- Garneau-Tsodikova, S.; Labby, K.J. Mechanisms of resistance to aminoglycoside antibiotics: Overview and perspectives. Medchemcomm 2016, 7, 11–27. [Google Scholar] [CrossRef] [PubMed]
- Kraljević, T.G.; Harej, A.; Sedić, M.; Pavelić, S.K.; Stepanić, V.; Drenjančević, D.; Talapko, J.; Raić-Malić, S. Synthesis, in vitro anticancer and antibacterial activities and in silico studies of new 4-substituted 1,2,3-triazole–coumarin hybrids. Eur. J. Med. Chem. 2016, 124, 794–808. [Google Scholar] [CrossRef]
- Rashdan, H.R. synthesis and biological evaluation of some new pyridines, isoxazoles and isoxazolopyridazines bearing 1,2,3-triazole moiety. Acta Pol.-Drug Res. 2019, 76, 469–482. [Google Scholar]
- Sumangala, V.; Poojary, B.; Chidananda, N.; Fernandes, J.; Kumari, N.S. Synthesis and antimicrobial activity of 1,2,3-triazoles containing quinoline moiety. Arch. Pharmacal Res. 2010, 33, 1911–1918. [Google Scholar] [CrossRef] [PubMed]
- Holla, B.S.; Mahalinga, M.; Karthikeyan, M.S.; Poojary, B.; Akberali, P.M.; Kumari, N.S. Synthesis, characterization and antimicrobial activity of some substituted 1,2,3-triazoles. Eur. J. Med. Chem. 2005, 40, 1173–1178. [Google Scholar] [CrossRef]
- El-Sayed, H.A.; Abdel Hamid, A.M.; Mohammed, S.M.; Moustafa, A.H. Design, synthesis, and antimicrobial activity of fluorophore 1,2,3-triazoles linked nicotinonitrile derivatives. Synth. Commun. 2019, 49, 2096–2105. [Google Scholar] [CrossRef]
- Rashdan, H.R.; Shehadi, I.A.; Abdelmonsef, A.H. Synthesis, Anticancer Evaluation, Computer-Aided Docking Studies, and ADMET Prediction of 1,2,3-Triazolyl-Pyridine Hybrids as Human Aurora B Kinase Inhibitors. ACS Omega 2021, 6, 1445–1455. [Google Scholar] [CrossRef]
- Rashdan, H.R.; Farag, M.M.; El-Gendey, M.S.; Mounier, M.M. Toward rational design of novel anti-cancer drugs based on targeting, solubility, and bioavailability exemplified by 1,3,4-thiadiazole derivatives synthesized under solvent-free conditions. Molecules 2019, 24, 2371. [Google Scholar] [CrossRef]
- Wozel, G.; Blasum, C. Dapsone in dermatology and beyond. Arch. Dermatol. Res. 2014, 306, 103–124. [Google Scholar] [CrossRef] [PubMed]
- Wozel, V.G. Innovative use of dapsone. Dermatol. Clin. 2010, 28, 599–610. [Google Scholar] [CrossRef]
- El Malah, T.; Nour, H.F.; Satti, A.A.; Hemdan, B.A.; El-Sayed, W.A. Design, synthesis, and antimicrobial activities of 1,2,3-triazole glycoside clickamers. Molecules 2020, 25, 790. [Google Scholar] [CrossRef] [PubMed]
- El Nahrawy, A.M.; Elzwawy, A.; Alam, M.; Hemdan, B.A.; Asiri, A.M.; Karim, M.R.; Abou Hammad, A.B.; Rahman, M.M. Synthesis, structural analysis, electrochemical and antimicrobial activities of copper magnesium zirconosilicate (Cu20Mg10Si40Zr (30-x) O:(x = 0, 5, 7, 10) Ni2+) nanocrystals. Microchem. J. 2021, 163, 105881. [Google Scholar] [CrossRef]
- Gaballah, S.T.; El-Nazer, H.A.; Abdel-Monem, R.A.; El-Liethy, M.A.; Hemdan, B.A.; Rabie, S.T. Synthesis of novel chitosan-PVC conjugates encompassing Ag nanoparticles as antibacterial polymers for biomedical applications. Int. J. Biol. Macromol. 2019, 121, 707–717. [Google Scholar] [CrossRef]
- El Nahrawy, A.M.; Hemdan, B.A.; Abou Hammad, A.B.; Othman, A.M.; Abouelnaga, A.M.; Mansour, A. Modern template design and biological evaluation of cephradine-loaded magnesium calcium silicate nanocomposites as an inhibitor for nosocomial bacteria in biomedical applications. Silicon 2020, 1–13. [Google Scholar] [CrossRef]
- Nalawade, J.; Shinde, A.; Chavan, A.; Patil, S.; Suryavanshi, M.; Modak, M.; Choudhari, P.; Bobade, V.D.; Mhaske, P.C. Synthesis of new thiazolyl-pyrazolyl-1,2,3-triazole derivatives as potential antimicrobial agents. Eur. J. Med. Chem. 2019, 179, 649–659. [Google Scholar] [CrossRef]
- Rashdan, H.R.; Gomha, S.M.; El-Gendey, M.S.; El-Hashash, M.A.; Soliman, A.M.M. Eco-friendly one-pot synthesis of some new pyrazolo [1, 2-b] phthalazinediones with antiproliferative efficacy on human hepatic cancer cell lines. Green Chem. Lett. Rev. 2018, 11, 264–274. [Google Scholar] [CrossRef]
- El-Naggar, M.; El-All, A.; Amira, S.; El-Naem, S.I.; Abdalla, M.M.; Rashdan, H.R. New Potent 5α-Reductase and Aromatase Inhibitors Derived from 1,2,3-Triazole Derivative. Molecules 2020, 25, 672. [Google Scholar] [CrossRef] [PubMed]
- Rashdan, H.R.; El-Naggar, M.; Abdelmonsef, A.H. Synthesis, Molecular Docking Studies and In Silico ADMET Screening of New Heterocycles Linked Thiazole Conjugates as Potent Anti-Hepatic Cancer Agents. Molecules 2021, 26, 1705. [Google Scholar] [CrossRef] [PubMed]
- Jiang, G.; Li, X.; Che, Y.; Lv, Y.; Liu, F.; Wang, Y.; Zhao, C.; Wang, X. Antibacterial and anticorrosive properties of CuZnO@ RGO waterborne polyurethane coating in circulating cooling water. Environ. Sci. Pollut. Res. 2019, 26, 9027–9040. [Google Scholar] [CrossRef]
- Hanke, T.; Nöh, K.; Noack, S.; Polen, T.; Bringer, S.; Sahm, H.; Wiechert, W.; Bott, M. Combined fluxomics and transcriptomics analysis of glucose catabolism via a partially cyclic pentose phosphate pathway in Gluconobacteroxydans 621H. Appl. Environ. Microbiol. 2013, 79, 2336–2348. [Google Scholar] [CrossRef] [PubMed]
- Vollmer, W.; Blanot, D.; De Pedro, M.A. Peptidoglycan structure and architecture. FEMS Microbiol. Rev. 2008, 32, 149–167. [Google Scholar] [CrossRef]
- El Nahrawy, A.; Bakr, A.; Hemdan, B.; Abou Hammad, A. Identification of Fe 3+ co-doped zinc titanatemesostructures using dielectric and antimicrobial activities. Int. J. Environ. Sci. Technol. 2020, 17, 4481–4494. [Google Scholar] [CrossRef]
- Chestnut, L.G.; Mills, D.M. A fresh look at the benefits and costs of the US acid rain program. J. Environ. Manag. 2005, 77, 252–266. [Google Scholar] [CrossRef]
- Masner, P.; Javůrková, B.; Bláha, L. Rapid in situ toxicity testing with luminescent bacteria Photorhabdusluminescens and Vibrio fischeri adapted to a small portable luminometer. Environ. Sci. Pollut. Res. 2017, 24, 3748–3758. [Google Scholar] [CrossRef]
- Chen, M.; Beck, W.T. DNA topoisomerase II expression, stability, and phosphorylation in two VM-26-resistant human leukemic CEM sublines. Oncol. Res. Featur. Preclin. Clin. Cancer Ther. 1995, 7, 103–111. [Google Scholar]
- Yi, L.; Lü, X. New strategy on antimicrobial-resistance: Inhibitors of DNA replication enzymes. Curr. Med. Chem. 2019, 26, 1761–1787. [Google Scholar] [CrossRef]
- Bermingham, A.; Derrick, J.P. The folic acid biosynthesis pathway in bacteria: Evaluation of potential for antibacterial drug discovery. Bioessays 2002, 24, 637–648. [Google Scholar] [CrossRef]
- Azzam, R.A.; Elsayed, R.E.; Elgemeie, G.H. Design, synthesis, and antimicrobial evaluation of a new series of N-sulfonamide 2-pyridones as dual inhibitors of DHPS and DHFR enzymes. ACS Omega 2020, 5, 10401–10414. [Google Scholar] [CrossRef] [PubMed]
- Ali, G.W.; El-Hotaby, W.; Hemdan, B.; Abdel-Fattah, W.I. Thermosensitive chitosan/phosphate hydrogel-composites fortified with Ag versus Ag@ Pd for biomedical applications. Life Sci. 2018, 194, 185–195. [Google Scholar] [CrossRef] [PubMed]
- Nahrawy, A.M.E.; Bakr, A.M.; Hammad, A.B.A.; Hemdan, B.A. High performance of talented copper/magneso-zinc titanate nanostructures as biocidal agents for inactivation of pathogens during wastewater disinfection. Appl. Nanosci. 2020, 10, 3585–3601. [Google Scholar] [CrossRef]
- Lavorgna, M.; Iacovino, R.; Russo, C.; Di Donato, C.; Piscitelli, C.; Isidori, M. A new approach for improving the antibacterial and tumor cytotoxic activities of pipemidic acid by including it in trimethyl-β-cyclodextrin. Int. J. Mol. Sci. 2019, 20, 416. [Google Scholar] [CrossRef]
- Sargent, D.F.; Moeschler, H.J. Determination of pseudo-first-order reaction kinetics by batch microcalorimetry. Anal. Chem. 1980, 52, 365–367. [Google Scholar] [CrossRef]
- El Nahrawy, A.M.; Abou Hammad, A.B.; Bakr, A.M.; Hemdan, B.A.; Wassel, A.R. Decontamination of ubiquitous harmful microbial lineages in water using an innovative Zn2Ti0. 8Fe0. 2O4 nanostructure: Dielectric and terahertz properties. Heliyon 2019, 5, e02501. [Google Scholar] [CrossRef]
- Hemdan, B.A.; El Nahrawy, A.M.; Mansour, A.-F.M.; Abou Hammad, A.B. Green sol–gel synthesis of novel nanoporous copper aluminosilicate for the eradication of pathogenic microbes in drinking water and wastewater treatment. Environ. Sci. Pollut. Res. 2019, 26, 9508–9523. [Google Scholar] [CrossRef] [PubMed]
- He, M.; Wu, T.; Pan, S.; Xu, X. Antimicrobial mechanism of flavonoids against Escherichia coli ATCC 25922 by model membrane study. Appl. Surf. Sci. 2014, 305, 515–521. [Google Scholar] [CrossRef]
- Hemdan, B.A.; El-Liethy, M.A.; Shaban, A.M.; El-Taweel, G.E. Quantification of the metabolic activities of natural biofilm of different microenvironments. J. Environ. Sci. Technol. 2017, 10, 131–138. [Google Scholar] [CrossRef][Green Version]
- Trudil, D.; Loomis, L.; Pabon, R.; Hasan, J.; Trudil, C. Rapid ATP method for the screening and identification of bacteria in food and water samples. Mosc. Univ. Chem. Bull. 2000, 41, 27–29. [Google Scholar]
- Radwan, M.A.; Alshubramy, M.A.; Abdel-Motaal, M.; Hemdan, B.A.; El-Kady, D.S. Synthesis, molecular docking and antimicrobial activity of new fused pyrimidine and pyridine derivatives. Bioorg. Chem. 2020, 96, 103516. [Google Scholar] [CrossRef] [PubMed]
- Soysa, P.; De Silva, I.S.; Wijayabandara, J. Evaluation of antioxidant and antiproliferative activity of FlueggealeucopyrusWilld (katupila). BMC Complementary Altern. Med. 2014, 14, 1–8. [Google Scholar] [CrossRef] [PubMed]
- Liu, Y.; Grimm, M.; Dai, W.-T.; Hou, M.-C.; Xiao, Z.-X.; Cao, Y. CB-Dock: A web server for cavity detection-guided protein–ligand blind docking. Acta Pharmacol. 2020, 41, 138–144. [Google Scholar] [CrossRef] [PubMed]








| Tested Bacterial Pathogens | Width of ZOI (mm) | |||||
|---|---|---|---|---|---|---|
| Synthesized Compound | Vancomycin | Ciprofloxacin | ||||
| Disc Diffusion | Well Diffusion | Disc Diffusion | Well Diffusion | Disc Diffusion | Well Diffusion | |
| E. coli O157 | 22 ± 0.14 | 24 ± 0.14 | 15 ± 0.22 | 17 ± 0.24 | 16 ± 0.23 | 18 ± 0.14 |
| P. aeruginosa | 23 ± 0.28 | 26 ± 0.24 | 17 ± 0.17 | 19 ± 0.11 | 18 ± 0.09 | 20 ± 0.05 |
| K. pneumoniae | 25 ± 0.23 | 27± 0.12 | 16 ± 0.15 | 18 ± 0.25 | 17 ± 0.25 | 19 ± 0.22 |
| S. aureus | 19 ± 0.26 | 22 ± 0.21 | 13 ± 0.24 | 15 ± 0.15 | 12 ± 0.21 | 14 ± 0.14 |
| B. subtilis | 17 ± 0.16 | 20 ± 0.23 | 12 ± 0.18 | 14 ± 0.16 | 10 ± 0.14 | 12 ± 0.13 |
| L. monocytogenes | 18 ± 0.22 | 21 ± 0.16 | 10 ± 0.20 | 13 ± 0.18 | 8 ± 0.12 | 11 ± 0.08 |
| Tested Bacterial Pathogens | Reference Antibiotics Drugs Used | |
|---|---|---|
| Vancomycin | Ciprofloxacin | |
| E. coli O157 | 50 µg/mL | 20 µg/mL |
| P. aeruginosa | 50 µg/mL | 20 µg/mL |
| K. pneumonia | 40 µg/mL | 30 µg/mL |
| S. aureus | 20 µg/mL | 50 µg/mL |
| B. subtilis | 30 µg/mL | 40 µg/mL |
| L. monocytogenes | 30 µg/mL | 40 µg/mL |
| Tested Bacterial Pathogens | Compound | ||
|---|---|---|---|
| IC50 (µM) | Log IC50 (µM) | R2 | |
| E. coli O157 | 22.42 | 1.35 | 0964 |
| P. aeruginosa | 11.11 | 1.02 | 0.945 |
| K. pneumonia | 16.54 | 1.21 | 0.936 |
| S. aureus | 25.31 | 1.40 | 0.978 |
| B. subtilis | 26.66 | 1.43 | 0.983 |
| L. monocytogenes | 31.38 | 1.50 | 0.965 |
| Tested Bacterial Pathogens | The Synthesized Compound (50 mg/mL) | |
|---|---|---|
| K1 | R2 | |
| E. coli O157 | 0.4273 | 0.9688 |
| P. aeruginosa | 0.3702 | 0.9737 |
| K. pneumonia | 0.3001 | 0.9931 |
| S. aureus | 0.2981 | 0.9812 |
| B. subtilis | 0.2478 | 0.9888 |
| L. monocytogenes | 0.1847 | 0.9886 |
| Studied Compound | EC50 % Conc. | EC50% Degree | Toxicity Level |
|---|---|---|---|
| Compound after 5 min | 247 | 0–19 | Extremely toxic |
| 20–39 | Very toxic | ||
| Compound after 15 min | 235 | 40–59 | Toxic |
| 60–79 | Moderately toxic | ||
| Compound after 30 min | 218 | ≥100 | Non-toxic and safe |
Publisher’s Note: MDPI stays neutral with regard to jurisdictional claims in published maps and institutional affiliations. |
© 2021 by the authors. Licensee MDPI, Basel, Switzerland. This article is an open access article distributed under the terms and conditions of the Creative Commons Attribution (CC BY) license (https://creativecommons.org/licenses/by/4.0/).
Share and Cite
Rashdan, H.R.M.; Shehadi, I.A.; Abdelrahman, M.T.; Hemdan, B.A. Antibacterial Activities and Molecular Docking of Novel Sulfone Biscompound Containing Bioactive 1,2,3-Triazole Moiety. Molecules 2021, 26, 4817. https://doi.org/10.3390/molecules26164817
Rashdan HRM, Shehadi IA, Abdelrahman MT, Hemdan BA. Antibacterial Activities and Molecular Docking of Novel Sulfone Biscompound Containing Bioactive 1,2,3-Triazole Moiety. Molecules. 2021; 26(16):4817. https://doi.org/10.3390/molecules26164817
Chicago/Turabian StyleRashdan, Huda R. M., Ihsan A. Shehadi, Mohamad T. Abdelrahman, and Bahaa A. Hemdan. 2021. "Antibacterial Activities and Molecular Docking of Novel Sulfone Biscompound Containing Bioactive 1,2,3-Triazole Moiety" Molecules 26, no. 16: 4817. https://doi.org/10.3390/molecules26164817
APA StyleRashdan, H. R. M., Shehadi, I. A., Abdelrahman, M. T., & Hemdan, B. A. (2021). Antibacterial Activities and Molecular Docking of Novel Sulfone Biscompound Containing Bioactive 1,2,3-Triazole Moiety. Molecules, 26(16), 4817. https://doi.org/10.3390/molecules26164817

