Magnetic Nitrogen-Doped Porous Carbon Nanocomposite for Pb(II) Adsorption from Aqueous Solution
Abstract
:1. Introduction
2. Results and Discussions
2.1. The Characterization of Fe3O4/N@C Nanocomposite
2.2. The Adsorption Properties
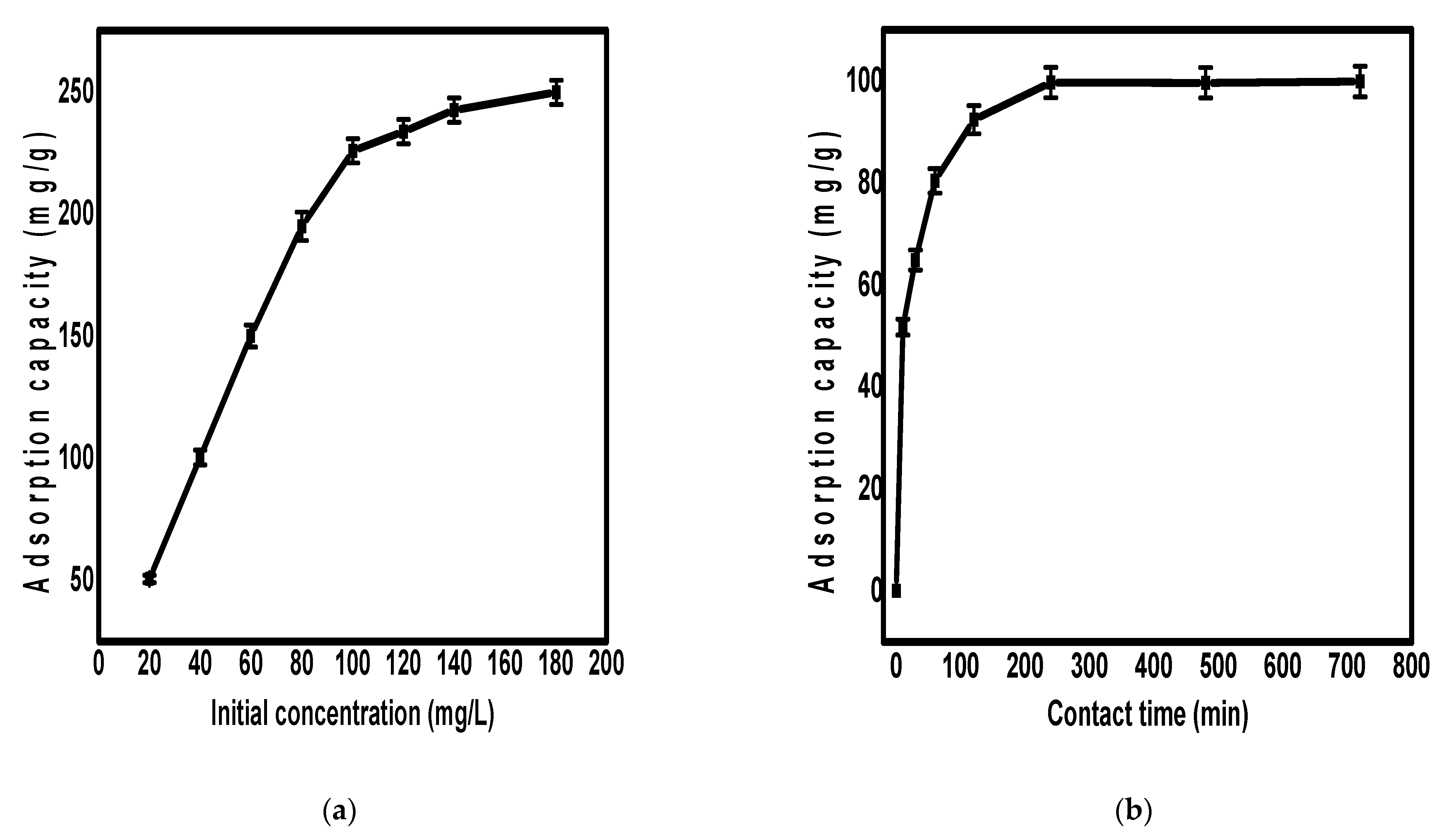
2.2.1. The Optimization of Adsorption Conditions
2.2.2. Adsorption Kinetics
2.2.3. Adsorption Isotherm
2.3. Comparison of Fe3O4/N@C Nanocomposite with other Adsorbents
2.4. Reusability Study
3. Materials and Methods
3.1. Chemicals
3.2. Synthesis of Fe3O4/N@C Magnetic Nanocomposite
3.3. Characterization
3.4. Batch Adsorption Experiment
4. Conclusions
Author Contributions
Funding
Institutional Review Board Statement
Informed Consent Statement
Data Availability Statement
Acknowledgments
Conflicts of Interest
Sample Availability
References
- Siddeeg, S.M.; Tahoon, M.A.; Alsaiari, N.S.; Shabbir, M.; Rebah, F.B. Application of Functionalized Nanomaterials as Effective Adsorbents for the Removal of Heavy Metals from Wastewater: A Review. Curr. Anal. Chem. 2020, 17, 4–22. [Google Scholar] [CrossRef]
- Katubi, K.; Alzahrani, F.; Alsaiari, N.; Amari, A.; Rebah, F.; Tahoon, M. Partially Reduced Graphene Oxide Modified with Polyacrylonitrile for the Removal of Sm3+ from Water. Processes 2021, 9, 818. [Google Scholar] [CrossRef]
- Ahmed, M.; Matsumoto, M.; Ozaki, A.; Thinh, N.; Kurosawa, K. Heavy Metal Contamination of Irrigation Water, Soil, and Vegetables and the Difference between Dry and Wet Seasons Near a Multi-Industry Zone in Bangladesh. Water 2019, 11, 583. [Google Scholar] [CrossRef] [Green Version]
- Islam, M.M.; Karim, M.; Zheng, X.; Li, X. Heavy metal and metalloid pollution of soil, water and foods in bangladesh: A critical review. Int. J. Environ. Res. Public Health 2018, 15, 2825. [Google Scholar] [CrossRef] [Green Version]
- Wołowiec, M.; Komorowska-Kaufman, M.; Pruss, A.; Rzepa, G.; Bajda, T. Removal of Heavy Metals and Metalloids from Water Using Drinking Water Treatment Residuals as Adsorbents: A Review. Minerals 2019, 9, 487. [Google Scholar] [CrossRef] [Green Version]
- Cataldo, S.; Meo, P.L.; Conte, P.; Di Vincenzo, A.; Milea, D.; Pettignano, A. Evaluation of adsorption ability of cyclodextrin-calixarene nanosponges towards Pb2+ ion in aqueous solution. Carbohydr. Polym. 2021, 267, 118151. [Google Scholar] [CrossRef]
- Cuixia, Y.; Yingming, X.; Lin, W.; Xuefeng, L.; Yuebing, S.; Hongtao, J. Effect of different pyrolysis temperatures on physico-chemical characteristics and lead(ii) removal of biochar derived from chicken manure. RSC Adv. 2020, 10, 3667–3674. [Google Scholar] [CrossRef]
- Zhao, C.; Wang, X.; Zhang, S.; Sun, N.; Zhou, H.; Wang, G.; Zhang, Y.; Zhang, H.; Zhao, H. Porous carbon nanosheets functionalized with Fe3O4 nanoparticles for capacitive removal of heavy metal ions from water. Environ. Sci. Water Res. Technol. 2019, 6, 331–340. [Google Scholar] [CrossRef]
- Boudrahem, F.; Soualah, A.; Aissani-Benissad, F. Pb(II) and Cd(II) Removal from Aqueous Solutions Using Activated Carbon Developed from Coffee Residue Activated with Phosphoric Acid and Zinc Chloride. J. Chem. Eng. Data 2011, 56, 1946–1955. [Google Scholar] [CrossRef]
- Scientific Committee on Health and Environmental Risks (SCHER). Lead Standard in Drinking Water. Available online: https://ec.europa.eu/health/scientific_committees/environmental_risks/docs/scher_o_128.pdf (accessed on 30 June 2021).
- Siddeeg, S.M.; Amari, A.; Tahoon, M.A.; Alsaiari, N.S.; Rebah, F.B. Removal of meloxicam, piroxicam and Cd2+ by Fe3O4/SiO2/glycidyl methacrylate-S-SH nanocomposite loaded with laccase. Alex. Eng. J. 2020, 59, 905–914. [Google Scholar]
- Li, K.; Miwornunyuie, N.; Chen, L.; Jingyu, H.; Amaniampong, P.; Koomson, D.A.; Ewusi-Mensah, D.; Xue, W.; Li, G.; Lu, H. Sustainable Application of ZIF-8 for Heavy-Metal Removal in Aqueous Solutions. Sustainability 2021, 13, 984. [Google Scholar] [CrossRef]
- Hamza, M.F.; Hamad, N.A.; Hamad, D.M.; Khalafalla, M.S.; Abdel-Rahman, A.A.-H.; Zeid, I.F.; Wei, Y.; Hessien, M.M.; Fouda, A.; Salem, W.M. Synthesis of Eco-Friendly Biopolymer, Alginate-Chitosan Composite to Adsorb the Heavy Metals, Cd(II) and Pb(II) from Contaminated Effluents. Materials 2021, 14, 2189. [Google Scholar] [CrossRef]
- Vaclavikova, M.; Gallios, G.P.; Hredzak, S.; Jakabsky, S. Removal of arsenic from water streams: An overview of available techniques. Clean Technol. Environ. Policy 2007, 10, 89–95. [Google Scholar] [CrossRef]
- Liang, F.-B.; Song, Y.-L.; Huang, C.-P.; Li, Y.-X.; Chen, B.-H. Synthesis of Novel Lignin-Based Ion-Exchange Resin and Its Utilization in Heavy Metals Removal. Ind. Eng. Chem. Res. 2013, 52, 1267–1274. [Google Scholar] [CrossRef]
- Albatrni, H.; Qiblawey, H.; El-Naas, M.H. Comparative study between adsorption and membrane technologies for the removal of mercury. Sep. Purif. Technol. 2021, 257, 117833. [Google Scholar] [CrossRef]
- Lee, A.; Kim, K. New Approach to Remove Heavy Metals from Wastewater by the Coagulation of Alginate-Rhamnolipid Solution with Aluminum Sulfate. Water 2020, 12, 3406. [Google Scholar] [CrossRef]
- Pohl, A. Removal of Heavy Metal Ions from Water and Wastewaters by Sulfur-Containing Precipitation Agents. Water Air Soil Pollut. 2020, 231, 1–17. [Google Scholar] [CrossRef]
- Maleki, A.; Hajizadeh, Z.; Sharifi, V.; Emdadi, Z. A green, porous and eco-friendly magnetic geopolymer adsorbent for heavy metals removal from aqueous solutions. J. Clean. Prod. 2019, 215, 1233–1245. [Google Scholar] [CrossRef]
- Ali, J.; Wang, H.; Wang, H.; Ifthikar, J.; Khan, A.; Wang, T.; Zhan, K.; Shahzad, A.; Chen, Z.; Chen, Z. Efficient, stable and selective adsorption of heavy metals by thio-functionalized layered double hydroxide in diverse types of water. Chem. Eng. J. 2018, 332, 387–397. [Google Scholar] [CrossRef]
- Carolina, C.F.; Kumar, P.S.; Saravanan, A.; Joshiba, G.J.; Naushad, M. Efficient techniques for the removal of toxic heavy metals from aquatic environment: A review. J. Environ. Chem. Eng. 2017, 5, 2782–2799. [Google Scholar] [CrossRef]
- Ruparelia, J.P.; Duttagupta, S.P.; Chatterjee, K.; Mukherji, S. Potential of carbon nanomaterials for removal of heavy metals from water. Desalination 2008, 232, 145–156. [Google Scholar] [CrossRef]
- Yang, J.; Hou, B.; Wang, J.; Tian, B.; Bi, J.; Wang, N.; Li, X.; Huang, X. Nanomaterials for the Removal of Heavy Metals from Wastewater. Nanomaterials 2019, 9, 424. [Google Scholar] [CrossRef] [Green Version]
- Tao, Q.; Huang, X.; Bi, J.; Wei, R.; Xei, C.; Zhou, Y.; Yu, Li.; Hao, H.; Wang, J. Aerobic Oil-Phase Cyclic Magnetic Adsorption to Synthesize 1D Fe2O3@TiO2 Nanotube Composites for Enhanced Visible-Light Photocatalytic Degradation. Nanomaterials 2020, 10, 1345. [Google Scholar] [CrossRef]
- Onyancha, R.B.; Aigbe, U.O.; Ukhurebor, K.E.; Muchiri, P.W. Facile synthesis and applications of carbon nanotubes in heavy-metal remediation and biomedical fields: A comprehensive review. J. Mol. Struct. 2021, 1238, 130462. [Google Scholar] [CrossRef]
- Lu, A.-H.; Schmidt, W.; Matoussevitch, N.; Bönnemann, H.; Spliethoff, B.; Tesche, B.; Bill, E.; Kiefer, W.; Schuth, F. Nanoengineering of a Magnetically Separable Hydrogenation Catalyst. Angew. Chem. 2004, 116, 4403–4406. [Google Scholar] [CrossRef]
- Zhang, J.; Li, R.; Ding, G.; Wang, Y.; Wang, C. Sorptive removal of phenanthrene from water by magnetic carbon nanomaterials. J. Mol. Liq. 2019, 293. [Google Scholar] [CrossRef]
- Wang, J.; Zhang, Q.; Shao, X.; Ma, J.; Tian, G. Properties of magnetic carbon nanomaterials and application in removal organic dyes. Chemosphere 2018, 207, 377–384. [Google Scholar] [CrossRef] [PubMed]
- Yang, G.; Gao, Q.; Yang, S.; Yin, S.; Cai, X.; Yu, X.; Zhang, S.; Fang, Y. Strong adsorption of tetracycline hydrochloride on magnetic carbon-coated cobalt oxide nanoparticles. Chemosphere 2020, 239, 124831. [Google Scholar] [CrossRef] [PubMed]
- Zhang, X.; Wang, Y.; Du, Y.; Qing, M.; Yu, F.; Tian, Z.Q.; Shen, P.K. Highly active N,S co-doped hierarchical porous carbon nanospheres from green and template-free method for super capacitors and oxygen reduction reaction. Electrochim. Acta 2019, 318, 272–280. [Google Scholar] [CrossRef]
- Prasad, K.S.; Pallela, R.; Kim, D.-M.; Shim, Y.-B. Microwave-Assisted One-Pot Synthesis of Metal-Free Nitrogen and Phosphorus Dual-Doped Nanocarbon for Electrocatalysis and Cell Imaging. Part. Part. Syst. Charact. 2013, 30, 557–564. [Google Scholar] [CrossRef]
- Díaz-Flores, P.E.; Arcibar-Orozco, J.A.; Perez-Aguilar, N.V.; Rangel-Mendez, J.R.; Medina, V.O.; Alcalá-Jáuegui, J.A. Adsorption of organic compounds onto multiwall and nitrogen-doped carbon nanotubes: Insights into the adsorption mechanisms. Water Air Soil Pollution 2017, 228, 133. [Google Scholar] [CrossRef]
- Jin, Q.; Zhang, S.; Wen, T.; Wang, J.; Gu, P.; Zhao, G.; Wang, X.; Chen, Z.; Hayat, T.; Wang, X. Simultaneous adsorption and oxidative degradation of Bisphenol A by zero-valent iron/iron carbide nanoparticles encapsulated in N-doped carbon matrix. Environ. Pollut. 2018, 243, 218–227. [Google Scholar] [CrossRef]
- Balog, R.; Manilo, M.; Vanyorek, L.; Csoma, Z.; Barany, S. Comparative study of Ni (ii) adsorption by pristine and oxidized multi-walled N-doped carbon nanotubes. RSC Adv. 2020, 10, 3184–3191. [Google Scholar] [CrossRef]
- Asab, G.; Zereffa, E.A.; Seghne, T.A. Synthesis of Silica-Coated Fe3O4 Nanoparticles by Microemulsion Method: Characterization and Evaluation of Antimicrobial Activity. Int. J. Biomater. 2020, 2020, 1–11. [Google Scholar] [CrossRef] [Green Version]
- Jin, X.; Balasubramanian, V.V.; Selvan, S.T.; Sawant, D.P.; Chari, M.A.; Lu, G.; Vinu, A. Highly Ordered Mesoporous Carbon Nitride Nanoparticles with High Nitrogen Content: A Metal-Free Basic Catalyst. Angew. Chem. Int. Ed. 2009, 48, 7884–7887. [Google Scholar] [CrossRef]
- Schiavi, P.G.; Altimari, P.; Zanoni, R.; Pagnanelli, F. Full recycling of spent lithium ion batteries with production of core-shell nanowires//exfoliated graphite asymmetric supercapacitor. J. Energy Chem. 2021, 58, 336–344. [Google Scholar] [CrossRef]
- Tuutijärvi, T.; Lu, J.; Sillanpää, M.; Chen, G. As (V) adsorption on maghemite nanoparticles. J. Hazard. Mater. 2009, 166, 1415–1420. [Google Scholar] [CrossRef]
- Alsaiari, N.; Alzahrani, F.; Katubi, K.; Amari, A.; Rebah, F.; Tahoon, M. Polyethylenimine-Modified Magnetic Chitosan for the Uptake of Arsenic from Water. Appl. Sci. 2021, 11, 5630. [Google Scholar] [CrossRef]
- Venkatesha, T.G.; Viswanatha, R.; Nayaka, Y.A.; Chethana, B.K. Kinetics and thermodynamics of reactive and vat dyes adsorption on MgO nanoparticles. Chemical Eng. J. 2012, 198, 1–10. [Google Scholar] [CrossRef]
- Xiong, L.; Yang, Y.; Mai, J.; Sun, W.; Zhang, C.; Wei, D.; Chen, Q.; Ni, J. Adsorption behavior of methylene blue onto titanate nanotubes. Chem. Eng. J. 2010, 156, 313–320. [Google Scholar] [CrossRef]
- Freundlich, H. Over the adsorption in solution. J. Phys. Chem. 1906, 57, 1100–1107. [Google Scholar]
- Langmuir, I. The adsorption of gases on plane surfaces of glass, mica and platinum. J. Am. Chem. Soc. 1918, 40, 1361–1403. [Google Scholar] [CrossRef] [Green Version]
- Reza, M.; Utami, A.N.; Amalina, A.N.; Benu, D.P.; Fatya, A.I.; Agusta, M.K.; Yuliarto, B.; Kaneti, Y.V.; Ide, Y.; Yamauchi, Y.; et al. Significant role of thorny surface morphology of polyaniline on adsorption of triiodide ions towards counter electrode in dye-sensitized solar cells. New J. Chem. 2021, 45, 5958–5970. [Google Scholar] [CrossRef]
- Edet, U.A.; Ifelebuegu, A.O. Kinetics, Isotherms, and Thermodynamic Modeling of the Adsorption of Phosphates from Model Wastewater Using Recycled Brick Waste. Processes 2020, 8, 665. [Google Scholar] [CrossRef]
- Alkurdi, S.S.; Al-Juboori, R.A.; Bundschuh, J.; Bowtell, L.; Marchuk, A. Inorganic arsenic species removal from water using bone char: A detailed study on adsorption kinetic and isotherm models using error functions analysis. J. Hazard. Mater. 2021, 405, 124112. [Google Scholar] [CrossRef]
- Simonescu, C.M.; Tătăruş, A.; Culiţă, D.C.; Stănică, N.; Ionescu, I.A.; Butoi, B.; Banici, A.-M. Comparative study of CoFe2O4 nanoparticles and CoFe2O4-chitosan composite for Congo Red and Methyl Orange removal by adsorption. Nanomaterials 2021, 11, 711. [Google Scholar] [CrossRef]
- Wei, H.; Sun, J.; Zhang, B.; Liu, R. Comparative Study of Cationic Dye Adsorption Using Industrial Latex Sludge with Sulfonate and Pyrolysis Treatment. Sustainability 2020, 12, 10048. [Google Scholar] [CrossRef]
- Wang, S.; Zhang, Q.; Wang, Z.; Pu, J. Facile fabrication of an effective nanocellulose-based aerogel and removal of methylene blue from aqueous system. J. Water Process Eng. 2020, 37, 101511. [Google Scholar] [CrossRef]
- Shams, M.; Dehghani, M.H.; Nabizadeh, R.; Mesdaghinia, A.; Alimohammadi, M.; Najafpoor, A.A. Adsorption of phosphorus from aqueous solution by cubic zeolitic imidazolate framework-8: Modeling, mechanical agitation versus sonication. J. Mol. Liq. 2016, 224, 151–157. [Google Scholar] [CrossRef]
- Peng, S.; Liu, Y.; Xue, Z.; Yin, W.; Liang, X.; Li, M.; Chang, J. Modified nanoporous magnetic cellulose–chitosan microspheres for efficient removal of Pb (II) and methylene blue from aqueous solution. Cellulose 2017, 24, 4793–4806. [Google Scholar] [CrossRef]
- Maliyekkal, S.M.; Shukla, S.; Philip, L.; Nambi, I.M. Enhanced fluoride removal from drinking water by magnesia-amended activated alumina granules. Chem. Eng. J. 2008, 140, 183–192. [Google Scholar] [CrossRef]
- Chen, R.; Zhi, C.; Yang, H.; Bando, Y.; Zhang, Z.; Sugiur, N.; Golberg, D. Arsenic (V) adsorption on Fe3O4 nanoparticle-coated boron nitride nanotubes. J. Colloid Interface Sci. 2011, 359, 261–268. [Google Scholar] [CrossRef] [PubMed]
- Qi, Y.; Wang, J.; Wang, X.; Cheng, J.; Wen, Z. Selective adsorption of Pb(II) from aqueous solution using porous biosilica extracted from marine diatom biomass: Properties and mechanism. Appl. Surf. Sci. 2017, 396, 965–977. [Google Scholar] [CrossRef]
- Drweesh, S.A.; Fathy, N.; Wahba, M.; Hanna, A.A.; Akarish, A.; El-Zahany, E.; El-Sherif, I.; Abou-El-Sherbini, K. Equilibrium, kinetic and thermodynamic studies of Pb(II) adsorption from aqueous solutions on HCl-treated Egyptian kaolin. J. Environ. Chem. Eng. 2016, 4, 1674–1684. [Google Scholar] [CrossRef]
- Dong, Y.; Lin, H. Competitive adsorption of Pb(II) and Zn(II) from aqueous solution by modified beer lees in a fixed bed column. Process. Saf. Environ. Prot. 2017, 111, 263–269. [Google Scholar] [CrossRef]
- Wang, N.; Jin, R.-N.; Omer, A.; Ouyang, X.-K. Adsorption of Pb (II) from fish sauce using carboxylated cellulose nanocrystal: Isotherm, kinetics, and thermodynamic studies. Int. J. Biol. Macromol. 2017, 102, 232–240. [Google Scholar] [CrossRef]
- Yan, C.; Guo, L.; Ren, D.; Duan, P. Novel composites based on geopolymer for removal of Pb(II). Mater. Lett. 2019, 239, 192–195. [Google Scholar] [CrossRef]
- Kataria, N.; Garg, V. Optimization of Pb (II) and Cd (II) adsorption onto ZnO nanoflowers using central composite design: Isotherms and kinetics modelling. J. Mol. Liq. 2018, 271, 228–239. [Google Scholar] [CrossRef]
- Ji, L.; Zhou, L.; Bai, X.; Shao, Y.; Zhao, G.; Qu, Y.; Wang, C.; Li, Y. Facile synthesis of multiwall carbon nanotubes/iron oxides for removal of tetrabromobisphenol A and Pb(ii). J. Mater. Chem. 2012, 22, 15853–15862. [Google Scholar] [CrossRef]
- Peng, X.; Xu, F.; Zhang, W.; Wang, J.; Zeng, C.; Niu, M.; Chmielewská, E. Magnetic Fe3O4 @ silica–xanthan gum composites for aqueous removal and recovery of Pb2+. Colloids Surf. A Physicochem. Eng. Asp. 2014, 443, 27–36. [Google Scholar] [CrossRef]
- Hu, R.; Wang, X.; Dai, S.; Shao, D.; Hayat, T.; Alsaedi, A. Application of graphitic carbon nitride for the removal of Pb(II) and aniline from aqueous solutions. Chem. Eng. J. 2015, 260, 469–477. [Google Scholar] [CrossRef]
- Yang, S.; Hu, J.; Chen, C.; Shao, D.; Wang, X. Mutual Effects of Pb(II) and Humic Acid Adsorption on Multiwalled Carbon Nanotubes/Polyacrylamide Composites from Aqueous Solutions. Environ. Sci. Technol. 2011, 45, 3621–3627. [Google Scholar] [CrossRef] [PubMed]
- Wang, Z.; Park, H.; Won, S. Adsorption and Desorption Properties of Polyethylenimine/Polyvinyl Chloride Cross-Linked Fiber for the Treatment of Azo Dye Reactive Yellow 2. Molecules 2021, 26, 1519. [Google Scholar] [CrossRef] [PubMed]
- Li, J.; Si, C.; Zhao, H.; Meng, Q.; Chang, B.; Li, M.; Liu, H. Dyes Adsorption Behavior of Fe3O4 Nanoparticles Functionalized Polyoxometalate Hybrid. Molecules 2019, 24, 3128. [Google Scholar] [CrossRef] [Green Version]









| Item | Coefficient |
|---|---|
| Pseudo 1st order | R2 = 0.8470 |
| k1 (min−1) = 0.14 | |
| Qe (mg/g) = 34.70 | |
| Pseudo 2nd order | R2 = 0.9998 |
| k2 (mg/g/min) = 7.885 × 10−3 | |
| Qe (mg/g) = 101.88 | |
| Freundlich isotherm | R2 = 0.7331 |
| n = 5.90 | |
| Kf (mg/g)(L/mg)(1/n) = 135.0 | |
| Langmuir isotherm | R2 = 0.9991 |
| KL (L/mg) = 1.540 | |
| Qmax (mg/g) = 250.0 |
| Adsorbent | pH Value | Removal Capacity (mg/g) | Ref. |
|---|---|---|---|
| Fe3O4/N@C | 5.5 | 250.0 | This study |
| Highly pure biosilica | 5.0 | 120.5 | [54] |
| HCl-treated Egyptian kaolin | 5.5 | 34.5 | [55] |
| Modified beer lees | 4.0 | 29.6 | [56] |
| CCN | 5.0 | 232.5 | [57] |
| Geopolymer-alginate-chitosan | 5.0 | 142.67 | [58] |
| ZnO nanoparticles | 6.0 | 114.9 | [59] |
| Carbon nanotubes/Fe3O4–NH2 | 5.30 | 75 | [60] |
| Fe3O4@silica–xanthan | 5.0 | 24.3 | [61] |
| Carbon nitride | 4.0 | 65.6 | [62] |
| Carbon nanotubes | 5.0 | 37.4 | [63] |
Publisher’s Note: MDPI stays neutral with regard to jurisdictional claims in published maps and institutional affiliations. |
© 2021 by the authors. Licensee MDPI, Basel, Switzerland. This article is an open access article distributed under the terms and conditions of the Creative Commons Attribution (CC BY) license (https://creativecommons.org/licenses/by/4.0/).
Share and Cite
Alzahrani, F.M.; Alsaiari, N.S.; Katubi, K.M.; Amari, A.; Elkhaleefa, A.M.; Rebah, F.B.; Tahoon, M.A. Magnetic Nitrogen-Doped Porous Carbon Nanocomposite for Pb(II) Adsorption from Aqueous Solution. Molecules 2021, 26, 4809. https://doi.org/10.3390/molecules26164809
Alzahrani FM, Alsaiari NS, Katubi KM, Amari A, Elkhaleefa AM, Rebah FB, Tahoon MA. Magnetic Nitrogen-Doped Porous Carbon Nanocomposite for Pb(II) Adsorption from Aqueous Solution. Molecules. 2021; 26(16):4809. https://doi.org/10.3390/molecules26164809
Chicago/Turabian StyleAlzahrani, Fatimah Mohammed, Norah Salem Alsaiari, Khadijah Mohammedsaleh Katubi, Abdelfattah Amari, Abubakr M. Elkhaleefa, Faouzi Ben Rebah, and Mohamed A. Tahoon. 2021. "Magnetic Nitrogen-Doped Porous Carbon Nanocomposite for Pb(II) Adsorption from Aqueous Solution" Molecules 26, no. 16: 4809. https://doi.org/10.3390/molecules26164809
APA StyleAlzahrani, F. M., Alsaiari, N. S., Katubi, K. M., Amari, A., Elkhaleefa, A. M., Rebah, F. B., & Tahoon, M. A. (2021). Magnetic Nitrogen-Doped Porous Carbon Nanocomposite for Pb(II) Adsorption from Aqueous Solution. Molecules, 26(16), 4809. https://doi.org/10.3390/molecules26164809

