Supported Biofilms on Carbon–Oxide Composites for Nitrate Reduction in Agricultural Waste Water
Abstract
1. Introduction
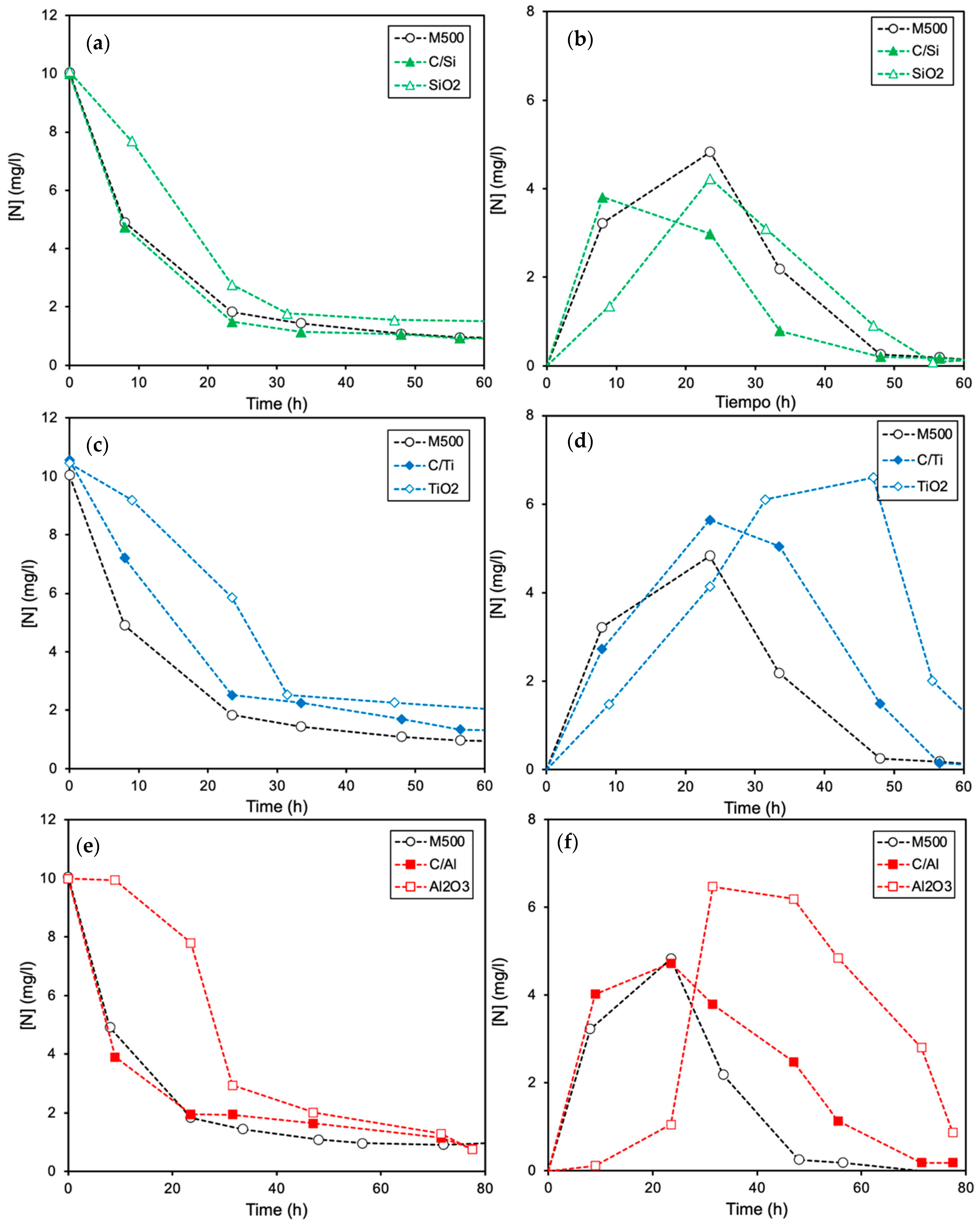
2. Results and Discussion
3. Materials and Methods
4. Conclusions
Author Contributions
Funding
Institutional Review Board Statement
Informed Consent Statement
Data Availability Statement
Acknowledgments
Conflicts of Interest
Sample Availability
References
- Boczkaj, G.; Fernandes, A. Wastewater treatment by means of advanced oxidation processes at basic pH conditions: A review. Chem. Eng. J. 2017, 320, 608–633. [Google Scholar] [CrossRef]
- Li, F.; Huang, J.; Xia, Q.; Lou, M.; Yang, B.; Tian, Q.; Liu, Y. Direct contact membrane distillation for the treatment of industrial dyeing wastewater and characteristic pollutants. Sep. Purif. Technol. 2018, 195, 83–91. [Google Scholar] [CrossRef]
- Morales-Torres, S.; Pastrana-Martínez, L.M.; Figueiredo, J.L.; Faria, J.L.; Silva, A.M.T. Design of graphene-based TiO2 photocatalysts-a review. Environ. Sci. Pollut. Res. 2012, 19, 3676–3687. [Google Scholar] [CrossRef] [PubMed]
- Athanasekou, C.P.; Moustakas, N.G.; Morales-Torres, S.; Pastrana-Martínez, L.M.; Figueiredo, J.L.; Faria, J.L.; Silva, A.M.T.; Dona-Rodriguez, J.M.; Romanos, G.E.; Falaras, P. Ceramic photocatalytic membranes for water filtration under UV and visible light. Appl. Catal. B Environ. 2015, 178, 12–19. [Google Scholar] [CrossRef]
- Kobielska, P.A.; Howarth, A.J.; Farha, O.K.; Nayak, S. Metal–organic frameworks for heavy metal removal from water. Coord. Chem. Rev. 2018, 358, 92–107. [Google Scholar] [CrossRef]
- Sajid, M.; Nazal, M.K.; Baig, N.; Osman, A.M. Removal of heavy metals and organic pollutants from water using dendritic polymers based adsorbents: A critical review. Sep. Purif. Technol. 2018, 191, 400–423. [Google Scholar] [CrossRef]
- Bogardi, I.; Kuzelka, R.D.; Ennenga, W. Nitrate Contamination: Exposure, Consequence, and Control; Springer: Berlin/Heidelberg, Germany, 2013; Volume 30. [Google Scholar]
- World-Health-Organization. Guidelines for Drinking-Water Quality, 4th ed.; World Health Organization (WHO): Geneva, Switzerland, 2017; p. 520. [Google Scholar]
- Granger, P.; Troncéa, S.; Dacquin, J.P.; Trentesaux, M.; Parvulescu, V.I. Support-induced effect on the catalytic properties of Pd particles in water denitrification: Impact of surface and structural features of mesoporous ceria-zirconia support. Appl. Catal. B Environ. 2018, 224, 648–659. [Google Scholar] [CrossRef]
- Kruithof, J.C.; Koppers, H.M.M. Experiences with groundwater treatment and disposal of the eliminated substances in the Netherlands. Aqua 1989, 38, 207–216. [Google Scholar]
- Xu, Z.; Song, L.; Dai, X.; Chai, X. PHBV polymer supported denitrification system efficiently treated high nitrate concentration wastewater: Denitrification performance, microbial community structure evolution and key denitrifying bacteria. Chemosphere 2018, 197, 96–104. [Google Scholar] [CrossRef]
- Naga Samrat, M.V.V.; Kesava Rao, K.; Ruggeri, B.; Tommasi, T. Denitrification of water in a microbial fuel cell (MFC) using seawater bacteria. J. Clean. Prod. 2018, 178, 449–456. [Google Scholar] [CrossRef]
- Nuhoglu, A.; Pekdemir, T.; Yildiz, E.; Keskinler, B.; Akay, G. Drinking water denitrification by a membrane bio-reactor. Water Res. 2002, 36, 1155–1166. [Google Scholar] [CrossRef]
- Song, K.; Lee, S.-H.; Kang, H. Denitrification rates and community structure of denitrifying bacteria in newly constructed wetland. Eur. J. Soil Biol. 2011, 47, 24–29. [Google Scholar] [CrossRef]
- Montalvo, S.; Díaz, F.; Guerrero, L.; Sánchez, E.; Borja, R. Effect of particle size and doses of zeolite addition on anaerobic digestion processes of synthetic and piggery wastes. Process Biochem. 2005, 40, 1475–1481. [Google Scholar] [CrossRef]
- Guerrero, L.; Montalvo, S.; Huiliñir, C.; Barahona, A.; Borja, R.; Cortés, A. Simultaneous nitrification–denitrification of wastewater: Effect of zeolite as a support in sequential batch reactor with step-feed strategy. Int. J. Environ. Sci. Technol. 2016, 13, 2325–2338. [Google Scholar] [CrossRef]
- Montalvo, S.; Cahn, I.; Borja, R.; Huiliñir, C.; Guerrero, L. Use of solid residue from thermal power plant (fly ash) for enhancing sewage sludge anaerobic digestion: Influence of fly ash particle size. Bioresour. Technol. 2017, 244, 416–422. [Google Scholar] [CrossRef] [PubMed]
- Chen, Y.; Su, Y.; Zheng, X.; Chen, H.; Yang, H. Alumina nanoparticles-induced effects on wastewater nitrogen and phosphorus removal after short-term and long-term exposure. Water Res. 2012, 46, 4379–4386. [Google Scholar] [CrossRef] [PubMed]
- Kurt, M.; Dunn, I.J.; Bourne, J.R. Biological denitrification of drinking water using autotrophic organisms with H2 in a fluidized-bed biofilm reactor. Biotechnol. Bioeng. 1987, 29, 493–501. [Google Scholar] [CrossRef]
- Yamashita, T.; Yamamoto-Ikemoto, R.; Zhu, J. Sulfate-reducing bacteria in a denitrification reactor packed with wood as a carbon source. Bioresour. Technol. 2011, 102, 2235–2241. [Google Scholar] [CrossRef] [PubMed]
- Liu, J.; Wu, Y.; Wu, C.; Muylaert, K.; Vyverman, W.; Yu, H.-Q.; Muñoz, R.; Rittmann, B. Advanced nutrient removal from surface water by a consortium of attached microalgae and bacteria: A review. Bioresour. Technol. 2017, 241, 1127–1137. [Google Scholar] [CrossRef] [PubMed]
- Moreno-Castilla, C.; Bautista-Toledo, I.; Ferro-García, M.A.; Rivera-Utrilla, J. Influence of support surface properties on activity of bacteria immobilised on activated carbons for water denitrification. Carbon 2003, 41, 1743–1749. [Google Scholar] [CrossRef]
- Vivo-Vilches, J.F.; Bailón-García, E.; Pérez-Cadenas, A.F.; Carrasco-Marín, F.; Maldonado-Hódar, F.J. Tailoring activated carbons for the development of specific adsorbents of gasoline vapors. J. Hazard. Mater. 2013, 263, 533–540. [Google Scholar] [CrossRef] [PubMed]
- Pastrana-Martínez, L.M.; Morales-Torres, S.; Likodimos, V.; Figueiredo, J.L.; Faria, J.L.; Falaras, P.; Silva, A.M.T. Advanced nanostructured photocatalysts based on reduced graphene oxide-TiO2 composites for degradation of diphenhydramine pharmaceutical and methyl orange dye. Appl. Catal. B Environ. 2012, 123–124, 241–256. [Google Scholar] [CrossRef]
- Silva, T.L.S.; Morales-Torres, S.; Figueiredo, J.L.; Silva, A.M.T. Multi-walled carbon nanotube/PVDF blended membranes with sponge- and finger-like pores for direct contact membrane distillation. Desalination 2015, 357, 233–245. [Google Scholar] [CrossRef]
- Morales-Torres, S.; Maldonado-Hódar, F.J.; Pérez-Cadenas, A.F.; Carrasco-Marín, F. Structural characterization of carbon xerogels: From film to monolith. Microporous Mesoporous Mater. 2012, 153, 24–29. [Google Scholar] [CrossRef]
- Maldonado-Hodar, F.J.; Morales-Torres, S.; Ribeiro, F.; Silva, E.R.; Perez-Cadenas, A.F.; Carrasco-Marin, F.; Oliveira, F.A. Development of carbon coatings for cordierite foams: An alternative to cordierite honeycombs. Langmuir 2008, 24, 3267–3273. [Google Scholar] [CrossRef] [PubMed]
- Bautista-Toledo, M.I.; Espinosa-Iglesias, D.; Carrasco-Marín, F.; Pérez-Cadenas, A.F.; Maldonado-Hódar, F.J. Influence of the physicochemical properties of inorganic supports on the activity of immobilized bacteria for water denitrification. J. Environ. Manag. 2015, 156, 81–88. [Google Scholar] [CrossRef] [PubMed]
- Valverde-Sarmiento, C.; Espinosa-Iglesias, D.; Bautista-Toledo, M.I.; Álvarez-Merino, M.A.; Maldonado-Hódar, F.J.; Carrasco-Marín, F.; Pérez-Cadenas, A.F. Bacteria supported on carbon films for water denitrification. Chem. Eng. J. 2015, 259, 424–429. [Google Scholar] [CrossRef]
- Karanasios, K.A.; Vasiliadou, I.A.; Pavlou, S.; Vayenas, D.V. Hydrogenotrophic denitrification of potable water: A review. J. Hazard. Mater. 2010, 180, 20–37. [Google Scholar] [CrossRef]
- Shi, Y.; Huang, J.; Zeng, G.; Gu, Y.; Chen, Y.; Hu, Y.; Tang, B.; Zhou, J.; Yang, Y.; Shi, L. Exploiting extracellular polymeric substances (EPS) controlling strategies for performance enhancement of biological wastewater treatments: An overview. Chemosphere 2017, 180, 396–411. [Google Scholar] [CrossRef]
- Kończak, B.; Karcz, J.; Miksch, K. Influence of Calcium, Magnesium, and Iron Ions on Aerobic Granulation. Appl. Biochem. Biotechnol. 2014, 174, 2910–2918. [Google Scholar] [CrossRef]
- Moon, S.-H.; Park, C.-S.; Kim, Y.-J.; Park, Y.-I. Biosorption isotherms of Pb (II) and Zn (II) on Pestan, an extracellular polysaccharide, of Pestalotiopsis sp. KCTC 8637P. Process Biochem. 2006, 41, 312–316. [Google Scholar] [CrossRef]
- Sheng, G.-P.; Zhang, M.-L.; Yu, H.-Q. Characterization of adsorption properties of extracellular polymeric substances (EPS) extracted from sludge. Colloids Surf. B Biointerfaces 2008, 62, 83–90. [Google Scholar] [CrossRef] [PubMed]
- Liu, A.; Ahn, I.-S.; Mansfield, C.; Lion, L.W.; Shuler, M.L.; Ghiorse, W.C. Phenanthrene desorption from soil in the presence of bacterial extracellular polymer: Observations and model predictions of dynamic beheavior. Water Res. 2001, 35, 835–843. [Google Scholar] [CrossRef]
- Wei, Z.; Huang, S.; Zhang, Y.; Li, H.; Zhou, S. Characterization of extracellular polymeric substances produced during nitrate removal by a thermophilic bacterium Chelatococcus daeguensis TAD1 in batch cultures. RSC Adv. 2017, 7, 44265–44271. [Google Scholar] [CrossRef]
- Moreno-Castilla, C.; Maldonado-Hódar, F.J. Synthesis and surface characteristics of silica– and alumina–carbon composite xerogels. Phys. Chem. Chem. Phys. 2000, 2, 4818–4822. [Google Scholar] [CrossRef]
- Lin, C.; Ritter, J.A. Effect of synthesis pH on the structure of carbon xerogels. Carbon 1997, 35, 1271–1278. [Google Scholar] [CrossRef]
- Rivera-Utrilla, J.; Bautista-Toledo, I.; Ferro-García, M.A.; Moreno-Castilla, C. Bioadsorption of Pb(II), Cd(II), and Cr(VI) on activated carbon from aqueous solutions. Carbon 2003, 41, 323–330. [Google Scholar] [CrossRef]
- Di Capua, F.; Pirozzi, F.; Lens, P.N.L.; Esposito, G. Electron donors for autotrophic denitrification. Chem. Eng. J. 2019, 362, 922–937. [Google Scholar] [CrossRef]
- López-Ramón, M.V.; Ocampo-Pérez, R.; Bautista-Toledo, M.I.; Rivera-Utrilla, J.; Moreno-Castilla, C.; Sánchez-Polo, M. Removal of bisphenols A and S by adsorption on activated carbon clothes enhanced by the presence of bacteria. Sci. Total Environ. 2019, 669, 767–776. [Google Scholar] [CrossRef]
- Li, J.; Peng, Z.; Hu, R.; Gao, K.; Shen, C.; Liu, S.; Liu, R. Micro-graphite particles accelerate denitrification in biological treatment systems. Bioresour. Technol. 2020, 308, 122935. [Google Scholar] [CrossRef] [PubMed]
- Pekala, R.W. Low Density, Resorcinol-Formaldehyde Aerogels. U.S. Patent 4,873,218, 10 October 1989. [Google Scholar]
- Morales-Torres, S.; Maldonado-Hódar, F.J.; Pérez-Cadenas, A.F.; Carrasco-Marín, F. Textural and mechanical characteristics of carbon aerogels synthesized by polymerization of resorcinol and formaldehyde using alkali carbonates as basification agents. Phys. Chem. Chem. Phys. 2010, 12, 10365–10372. [Google Scholar] [CrossRef] [PubMed]
- Brunauer, S.; Emmett, P.H.; Teller, E. Adsorption of gases in multimolecular layers. J. Am. Chem. Soc. 1938, 60, 309–319. [Google Scholar] [CrossRef]
- Stoeckli, F. Characterization of microporous carbons by adsorption and immersion techniques. In Porosity in Carbons: Characterization and Applications; Patrick, J.W., Ed.; Edward Arnold: London, UK, 1995; pp. 66–97. [Google Scholar]
- Bansal, R.C.; Donnet, J.B.; Stoeckli, F. Active Carbon; Marcel Dekker: New York, NY, USA, 1988. [Google Scholar]
- Leon y Leon, C.A.; Solar, J.M.; Calemma, V.; Radovic, L.R. Evidence for the protonation of basal plane sites on carbon. Carbon 1992, 30, 797–811. [Google Scholar] [CrossRef]
- Pastrana-Martínez, L.M.; Morales-Torres, S.; Likodimos, V.; Falaras, P.; Figueiredo, J.L.; Faria, J.L.; Silva, A.M.T. Role of oxygen functionalities on the synthesis of photocatalytically active graphene–TiO2 composites. Appl. Catal. B Environ. 2014, 158–159, 329–340. [Google Scholar] [CrossRef]
- Kesserű, P.; Kiss, I.; Bihari, Z.; Polyák, B. Investigation of the denitrification activity of immobilized Pseudomonas butanovora cells in the presence of different organic substrates. Water Res. 2002, 36, 1565–1571. [Google Scholar] [CrossRef]





| Toxicity | M500 | SiO2 | TiO2 | Al2O3 | SiO2/C | TiO2/C | Al2O3/C |
|---|---|---|---|---|---|---|---|
| I15 (%) | 7.1 | 7.1 | 25.4 | 46.0 | 8.4 | 19.7 | 39.5 |
| I30 (%) | 10.4 | 11.8 | 26.6 | 46.6 | 9.4 | 26.5 | 38.7 |
| Support | pHPZC | SBET (m2 g−1) | Vmicro (cm3 g−1) | Vmeso (cm3 g−1) | Vtotal (cm3 g−1) | L0 N2 (nm) |
|---|---|---|---|---|---|---|
| M500 | 6.3 | 611 | 0.285 | 1.035 | 1.320 | 1.63 |
| SiO2 | 7.1 | 241 | 0.094 | 0.889 | 0.983 | 1.78 |
| TiO2 | 4.7 | 116 | 0.047 | 0.446 | 0.493 | 1.89 |
| Al2O3 | 4.3 | 121 | 0.047 | 0.197 | 0.244 | 1.61 |
| Sample | Metal (%) | pHPZC | VCO2 (cm3 g−1) | Vmeso (cm3 g−1) | Vmacro (cm3 g−1) | ρp (g cm−3) | Sext (m2 g−1) | SCO2 (m2 g−1) |
|---|---|---|---|---|---|---|---|---|
| M500 | −− | 6.3 | 0.171 | 0.613 | 0.000 | 0.76 | 185 | 513 |
| C/SiO2 | 42.0 | 6.0 | 0.154 | 0.033 | 0.070 | 1.24 | 15 | 407 |
| C/TiO2 | 49.0 | 6.7 | 0.145 | 0.000 | 0.249 | 1.02 | 12 | 382 |
| C/Al2O3 | 47.0 | 7.3 | 0.160 | 0.265 | 0.799 | 0.58 | 60 | 421 |
Publisher’s Note: MDPI stays neutral with regard to jurisdictional claims in published maps and institutional affiliations. |
© 2021 by the authors. Licensee MDPI, Basel, Switzerland. This article is an open access article distributed under the terms and conditions of the Creative Commons Attribution (CC BY) license (https://creativecommons.org/licenses/by/4.0/).
Share and Cite
Bautista-Toledo, M.I.; Maldonado-Hódar, F.J.; Morales-Torres, S.; Pastrana-Martínez, L.M. Supported Biofilms on Carbon–Oxide Composites for Nitrate Reduction in Agricultural Waste Water. Molecules 2021, 26, 2987. https://doi.org/10.3390/molecules26102987
Bautista-Toledo MI, Maldonado-Hódar FJ, Morales-Torres S, Pastrana-Martínez LM. Supported Biofilms on Carbon–Oxide Composites for Nitrate Reduction in Agricultural Waste Water. Molecules. 2021; 26(10):2987. https://doi.org/10.3390/molecules26102987
Chicago/Turabian StyleBautista-Toledo, M. Isidora, Francisco J. Maldonado-Hódar, Sergio Morales-Torres, and Luisa M. Pastrana-Martínez. 2021. "Supported Biofilms on Carbon–Oxide Composites for Nitrate Reduction in Agricultural Waste Water" Molecules 26, no. 10: 2987. https://doi.org/10.3390/molecules26102987
APA StyleBautista-Toledo, M. I., Maldonado-Hódar, F. J., Morales-Torres, S., & Pastrana-Martínez, L. M. (2021). Supported Biofilms on Carbon–Oxide Composites for Nitrate Reduction in Agricultural Waste Water. Molecules, 26(10), 2987. https://doi.org/10.3390/molecules26102987

