Design, Synthesis and Anticancer Evaluation of Substituted Cinnamic Acid Bearing 2-Quinolone Hybrid Derivatives
Abstract
:1. Introduction
2. Results and Discussion
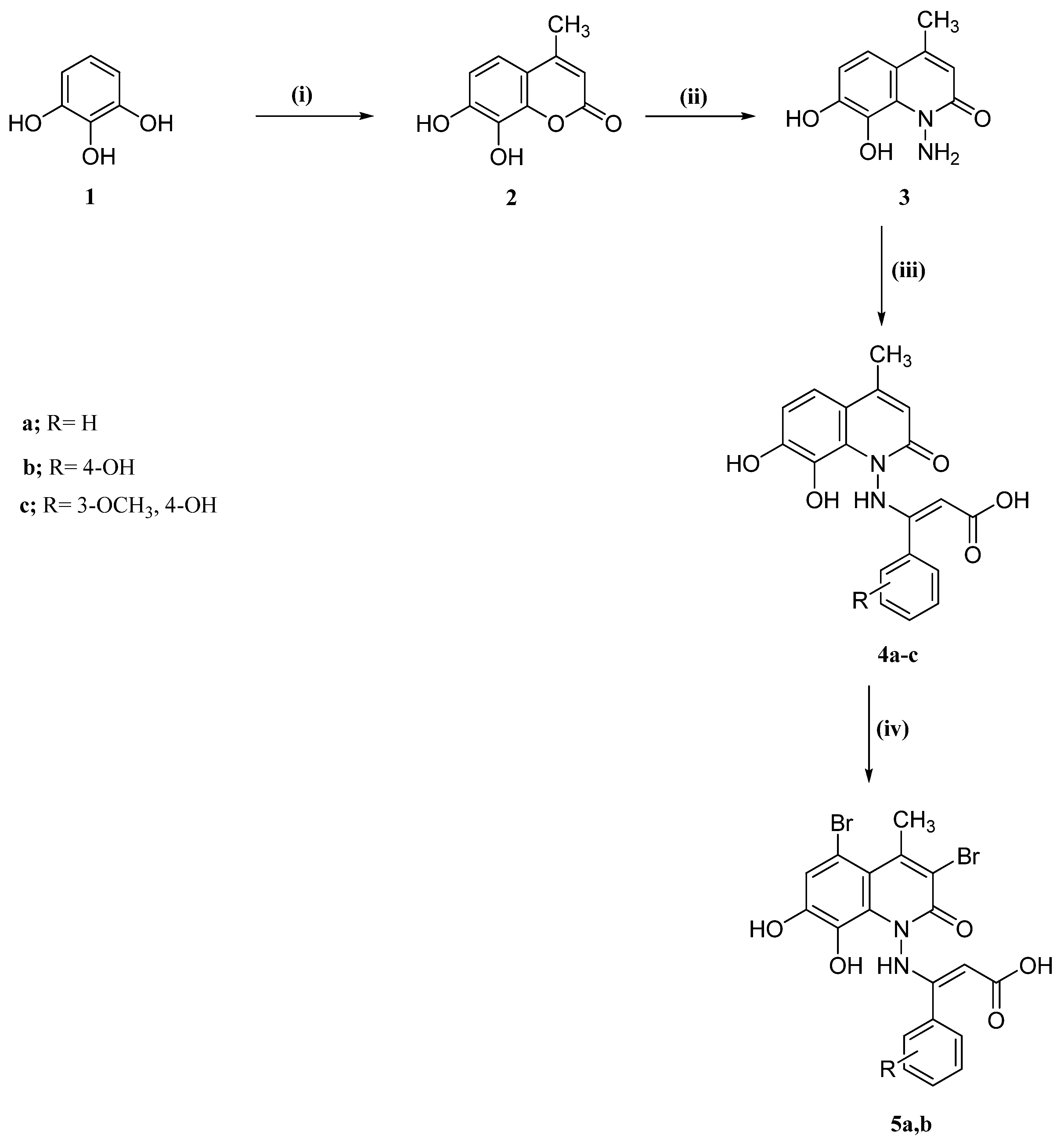
2.1. Chemistry
2.2. Evaluation of Biological Activity
2.2.1. In Vitro Cytotoxic Activity against Three Cancer Cell Line
2.2.2. Cell Cycle Analysis
2.2.3. Apoptosis Detection Assay
2.2.4. Topoisomerase II Inhibitory Activity
2.3. Molecular Docking Study
3. Material and Methods
3.1. Chemistry
3.1.1. Synthesis of 7,8-Dihydroxy-4-methyl Coumarin (2)
3.1.2. Synthesis of 1-Amino-7,8-dihydroxy-4-methylquinolin-2(1H)-one (3)
3.1.3. Synthesis of 3-(7,8-Dihydroxy-4-methyl-2-oxoquinolin-1(2H)-ylamino)-3-arylacrylic Acid (4a–c)
3.1.4. Synthesis of 3-(3,5-Dibromo-7,8-dihydroxy-4-methyl-2-oxoquinolin-1(2H)-ylamino)-3-arylacrylic Acid (5a,b)
3.2. Biological Evaluation
3.2.1. Anti-Tumor Activity against Three Cancer Cell Lines
3.2.2. Cell Cycle Analysis of Compound 5a
3.2.3. Apoptosis Determination by Annexin-V Assay
3.2.4. In Vitro Topoismerase Inhibitory Assay
3.3. Molecular Docking Study
4. Conclusions
Supplementary Materials
Author Contributions
Funding
Institutional Review Board Statement
Informed Consent Statement
Data Availability Statement
Acknowledgments
Conflicts of Interest
Sample Availability
References
- Yu, B.; Qi, P.-P.; Shi, X.-J.; Huang, R.; Guo, H.; Zheng, Y.-C.; Yu, D.-Q.; Liu, H.-M. Efficient synthesis of new antiproliferative steroidal hybrids using the molecular hybridization approach. Eur. J. Med. Chem. 2016, 117, 241–255. [Google Scholar] [CrossRef] [PubMed]
- Reddyrajula, R.; Dalimba, U.; Kumar, S.M. Molecular hybridization approach for phenothiazine incorporated 1,2,3-triazole hybrids as promising antimicrobial agents: Design, synthesis, molecular docking and in silico ADME studies. Eur. J. Med. Chem. 2019, 168, 263–282. [Google Scholar] [CrossRef] [PubMed]
- Mourad, E.; Rizzk, Y.W.; Zaki, I.; Mohammed, F.Z.; el Behery, M. Synthesis and cytotoxicity screening of some synthesized hybrid nitrogen molecules as anticancer agents. J. Mol. Struct. 2021, 1242, 130722. [Google Scholar] [CrossRef]
- Solomon, V.R.; Pundir, S.; Lee, H. Examination of novel 4-aminoquinoline derivatives designed and synthesized by a hybrid pharmacophore approach to enhance their anticancer activities. Sci. Rep. 2019, 9, 1–17. [Google Scholar] [CrossRef] [Green Version]
- Khwaza, V.; Mlala, S.; Oyedeji, O.O.; Aderibigbe, B.A. Pentacyclic Triterpenoids with Nitrogen-Containing Heterocyclic Moiety, Privileged Hybrids in Anticancer Drug Discovery. Molecules 2021, 26, 2401. [Google Scholar] [CrossRef]
- Shagufta; Ahmad, I. An insight into the therapeutic potential of quinazoline derivatives as anticancer agents. MedChemComm 2017, 8, 871–885. [Google Scholar] [CrossRef] [PubMed]
- Abbot, V.; Sharma, P.; Dhiman, S.; Noolvi, M.N.; Patel, H.M.; Bhardwaj, V. Small hybrid heteroaromatics: Resourceful biological tools in cancer research. RSC Adv. 2017, 7, 8313–28349. [Google Scholar] [CrossRef] [Green Version]
- Fortin, S.; Bérubé, G. Advances in the development of hybrid anticancer drugs. Expert Opin. Drug Discov. 2013, 8, 1029–1047. [Google Scholar] [CrossRef]
- Ramprasad, J.; Sthalam, V.K.; Thampunuri, R.L.M.; Bhukya, S.; Ummanni, R.; Balasubramanian, S.; Pabbaraja, S. Synthesis and evaluation of a novel quinoline-triazole analogs for antitubercular properties via molecular hybridization approach. Bioorg. Med. Chem. Lett. 2019, 29, 126671. [Google Scholar] [CrossRef]
- Karthikeyan, C.; Solomon, V.R.; Lee, H.; Trivedi, P. Design, synthesis and biological evaluation of some isatin-linked chalcones as novel anti-breast cancer agents: A molecular hybridization approach. Biomed. Prev. Nutr. 2013, 3, 325–330. [Google Scholar] [CrossRef]
- Mohamed, M.F.; Abuo-Rahma, G.E.-D.A. Molecular targets and anticancer activity of quinoline–chalcone hybrids: Literature review. RSC Adv. 2020, 10, 31139–31155. [Google Scholar] [CrossRef]
- Elbastawesy, M.A.I.; Ramadan, M.; El-Shaier, Y.A.M.M.; Aly, A.A.; Abuo-Rahma, G.E.-D.A. Arylidenes of Quinolin-2-one scaffold as Erlotinib analogues with activities against leukemia through inhibition of EGFR TK/STAT-3 pathways. Bioorg. Chem. 2020, 96, 103628. [Google Scholar] [CrossRef]
- Huang, H.-W.; Bow, Y.-D.; Wang, C.-Y.; Chen, Y.-C.; Fu, P.-R.; Chang, K.-F.; Wang, T.-W.; Tseng, C.-H.; Chen, Y.-L.; Chiu, C.-C. DFIQ, a Novel Quinoline Derivative, Shows Anticancer Potential by Inducing Apoptosis and Autophagy in NSCLC Cell and In Vivo Zebrafish Xenograft Models. Cancers 2020, 12, 1348. [Google Scholar] [CrossRef] [PubMed]
- Iqbal, J.; Ejaz, S.A.; Khan, I.; Ausekle, E.; Miliutina, M.; Langer, P. Exploration of quinolone and quinoline derivatives as potential anticancer agents. DARU J. Pharm. Sci. 2019, 27, 613–626. [Google Scholar] [CrossRef]
- Bush, N.G.; Diez-Santos, I.; Abbott, L.R.; Maxwell, A. Quinolones: Mechanism, Lethality and Their Contributions to Antibiotic Resistance. Molecules 2020, 25, 5662. [Google Scholar] [CrossRef] [PubMed]
- Singh, K.; Verma, V.; Yadav, K.; Sreekanth, V.; Kumar, D.; Bajaj, A.; Kumar, V. Design, regioselective synthesis and cytotoxic evaluation of 2-aminoimidazole–quinoline hybrids against cancer and primary endothelial cells. Eur. J. Med. Chem. 2014, 87, 150–158. [Google Scholar] [CrossRef]
- Marzi, L.; Sun, Y.; Shar-yin, N.H.; James, A.; Difilippantonio, S.; Pommier, Y. The indenoisoquinoline LMP517: A novel antitumor agent targeting both TOP1 and TOP2. Mol. Cancer Ther. 2020, 19, 1589–1597. [Google Scholar] [CrossRef]
- Ruwizhi, N.; Aderibigbe, B.A. Cinnamic Acid Derivatives and Their Biological Efficacy. Int. J. Mol. Sci. 2020, 21, 5712. [Google Scholar] [CrossRef]
- Graminha, A.E.; Honorato, J.; Dulcey, L.L.; Godoy, L.R.; Barbosa, M.F.; Cominetti, M.R.; Menezes, A.C.; Batista, A.A. Evaluation of the biological potential of ruthenium(II) complexes with cinnamic acid. J. Inorg. Biochem. 2020, 206, 111021. [Google Scholar] [CrossRef]
- Coman, V.; Vodnar, D.C. Hydroxycinnamic acids and human health: Recent advances. J. Sci. Food Agric. 2020, 100, 483–499. [Google Scholar] [CrossRef]
- Sova, M.; Saso, L. Natural Sources, Pharmacokinetics, Biological Activities and Health Benefits of Hydroxycinnamic Acids and Their Metabolites. Nutrients 2020, 12, 2190. [Google Scholar] [CrossRef]
- Della Pelle, F.; Rojas, D.; Silveri, F.; Ferraro, G.; Fratini, E.; Scroccarello, A.; Escarpa, A.; Compagnone, D. Class-selective voltammetric determination of hydroxycinnamic acids structural analogs using a WS2/catechin-capped AuNPs/carbon black–based nanocomposite sensor. Microchim. Acta 2020, 187, 296. [Google Scholar] [CrossRef] [PubMed]
- Romanov, S.; Aksunova, A.; Bakhtiyarova, Y.; Shulaeva, M.; Pozdeev, O.; Egorova, S.; Galkina, I.; Galkin, V. Tertiary phosphines in reactions with substituted cinnamic acids. J. Organomet. Chem. 2020, 910, 121130. [Google Scholar] [CrossRef]
- Silva, A.T.; Bento, C.M.; Pena, A.C.; Figueiredo, L.M.; Prudêncio, C.; Aguiar, L.; Silva, T.; Ferraz, R.; Gomes, M.S.; Teixeira, C.; et al. Cinnamic Acid Conjugates in the Rescuing and Repurposing of Classical Antimalarial Drugs. Molecules 2020, 25, 66. [Google Scholar] [CrossRef] [Green Version]
- Shang, H.; Li, L.; Ma, L.; Tian, Y.; Jia, H.; Zhang, T.; Yu, M.; Zou, Z. Design and Synthesis of Molecular Hybrids of Sophora Alkaloids and Cinnamic Acids as Potential Antitumor Agents. Molecules 2020, 25, 1168. [Google Scholar] [CrossRef] [PubMed] [Green Version]
- Zhang, J.; Li, N.; Zhang, D.; Dong, M.; Wang, C.; Chen, Y. Construction of cinnamic acids derived β-cyclodextrins and their emodin-based inclusions with enhanced water solubility, excellent antioxidant and antibacterial activities. Colloids Surf. A 2020, 606, 125382. [Google Scholar] [CrossRef]
- Chen, L.; Zhang, L.; Yan, G.; Huang, D. Recent Advances of Cinnamic Acids in Organic Synthesis. Asian J. Org. Chem. 2020, 9, 842–862. [Google Scholar] [CrossRef]
- Kumar, A.; Singh, B.K.; Tyagi, R.; Jain, S.K.; Sharma, S.K.; Prasad, A.K.; Raj, H.G.; Rastogi, R.C.; Watterson, A.C.; Parmar, V.S. Mechanism of biochemical action of substituted 4-methylcoumarins. Part 11: Comparison of the specificities of acetoxy derivatives of 4-methylcoumarin and 4-phenylcoumarin to acetoxycoumarins: Protein transacetylase. Bioorg. Med. Chem. 2005, 13, 4300–4305. [Google Scholar] [CrossRef]
- Zaki, I.; Ramadan, H.M.M.; El-Sayed, E.-S.H.; El-Moneim, M.A. Design, synthesis, and cytotoxicity screening of new synthesized imidazolidine-2-thiones as VEGFR-2 enzyme inhibitors. Arch. Pharm. 2020, 353, 2000121. [Google Scholar] [CrossRef]
- Kattan, S.W.; Nafie, M.S.; Elmgeed, G.A.; Alelwani, W.; Badar, M.; Tantawy, M.A. Molecular docking, anti-proliferative activity and induction of apoptosis in human liver cancer cells treated with androstane derivatives: Implication of PI3K/AKT/mTOR pathway. J. Steroid Biochem. Mol. Biol. 2020, 198, 1–9. [Google Scholar] [CrossRef]
- Shukla, S.; Srivastava, R.S.; Shrivastava, S.K.; Sodhi, A.; Kumar, P. Synthesis, cytotoxic evaluation, docking and in silico pharmacokinetic prediction of 4-arylideneamino/cycloalkylidineamino 1, 2-naphthoquinone thiosemicarbazones. J. Enzyme Inhib. Med. Chem. 2013, 28, 1192–1198. [Google Scholar] [CrossRef] [PubMed]
- Nafie, M.S.; Tantawy, M.A.; Elmgeed, G.A. Screening of different drug design tools to predict the mode of action of steroidal derivatives as anti-cancer agents. Steroids 2019, 152, 1–16. [Google Scholar] [CrossRef]
- Tantawy, E.S.; Amer, A.M.; Mohamed, E.K.; Alla, M.M.A.; Nafie, M.S. Synthesis, characterization of some pyrazine derivatives as anti-cancer agents: In vitro and in Silico approaches. J. Mol. Struct. 2020, 1210, 128013. [Google Scholar] [CrossRef]
- Khodair, A.I.; Alsafi, M.A.; Nafie, M.S. Synthesis, molecular modeling and anti-cancer evaluation of a series of quinazoline derivatives. Carbohydr. Res. 2019, 486, 07832. [Google Scholar] [CrossRef] [PubMed]
- Morris, G.M.; Goodsell, D.S.; Halliday, R.S.; Huey, R.; Hart, W.E.; Belew, R.K.; Olson, A.J. Automated docking using a Lamarckian genetic algorithm and an empirical binding free energy function. J. Comput. Chem. 1998, 19, 1639–1662. [Google Scholar] [CrossRef] [Green Version]
- Solis, F.J.; Wets, R.J.B. Minimization by Random Search Techniques. Math. Oper. Res. 1981, 6, 19–30. [Google Scholar] [CrossRef]
- Bikadi, Z.; Hazai, E. Application of the PM6 semi-empirical method to modeling proteins enhances docking accuracy of AutoDock. J. Cheminf. 2009, 1, 15. [Google Scholar] [CrossRef] [PubMed] [Green Version]







| Comp No. | IC50 (μM) | ||
|---|---|---|---|
| MCF-7 | HepG2 | HCT-116 | |
| 3 | 32.9 ± 1.81 | 8.23 ± 0.42 | 15.0 ± 0.79 |
| 4a | 18.7 ± 1.03 | 19.4 ± 0.99 | 21.3 ± 1.12 |
| 4b | 11.8 ± 0.65 | 15.5 ± 0.79 | 7.56 ± 0.4 |
| 5a | 19.3 ± 1.06 | 4.05 ± 0.21 | 1.89 ± 0.10 |
| 5b | 8.48 ± 0.47 | 30.9 ± 1.57 | 10.7 ± 0.57 |
| STU | 6.91 ± 0.38 | 5.23 ± 0.27 | 4.25 ± 0.22 |
| Comp No. | Docking Scores (kcal.mol−1) | Hydrogen Bonds | Polar Interaction | Hydrophobic Interactions |
|---|---|---|---|---|
| 3 | −6.42 | ASN90 | LYS159 SER12 | PHE192 ILE14 |
| 4a | −9.81 | LYS195 SER142 | PHE192 ILE14 PHE226 | |
| 4b | −7.56 | PHE192 | SER12 ASN90 LYS195 THR190 | ILE14 |
| 5a | −9.56 | THR190 | GLY141 VAL188 SER142 TYR155 | PHE192 ILE14 |
| 5b | −6.06 | GLY92 SER12 ASN90 SER11 | ARG37 THR190 | ALA191 |
Publisher’s Note: MDPI stays neutral with regard to jurisdictional claims in published maps and institutional affiliations. |
© 2021 by the authors. Licensee MDPI, Basel, Switzerland. This article is an open access article distributed under the terms and conditions of the Creative Commons Attribution (CC BY) license (https://creativecommons.org/licenses/by/4.0/).
Share and Cite
Abu Almaaty, A.H.; Elgrahy, N.A.; Fayad, E.; Abu Ali, O.A.; Mahdy, A.R.E.; Barakat, L.A.A.; El Behery, M. Design, Synthesis and Anticancer Evaluation of Substituted Cinnamic Acid Bearing 2-Quinolone Hybrid Derivatives. Molecules 2021, 26, 4724. https://doi.org/10.3390/molecules26164724
Abu Almaaty AH, Elgrahy NA, Fayad E, Abu Ali OA, Mahdy ARE, Barakat LAA, El Behery M. Design, Synthesis and Anticancer Evaluation of Substituted Cinnamic Acid Bearing 2-Quinolone Hybrid Derivatives. Molecules. 2021; 26(16):4724. https://doi.org/10.3390/molecules26164724
Chicago/Turabian StyleAbu Almaaty, Ali H., Nermeen A. Elgrahy, Eman Fayad, Ola A. Abu Ali, Ahmed R. E. Mahdy, Lamiaa A. A. Barakat, and Mohammed El Behery. 2021. "Design, Synthesis and Anticancer Evaluation of Substituted Cinnamic Acid Bearing 2-Quinolone Hybrid Derivatives" Molecules 26, no. 16: 4724. https://doi.org/10.3390/molecules26164724
APA StyleAbu Almaaty, A. H., Elgrahy, N. A., Fayad, E., Abu Ali, O. A., Mahdy, A. R. E., Barakat, L. A. A., & El Behery, M. (2021). Design, Synthesis and Anticancer Evaluation of Substituted Cinnamic Acid Bearing 2-Quinolone Hybrid Derivatives. Molecules, 26(16), 4724. https://doi.org/10.3390/molecules26164724

