Evaluation of Antioxidative Mechanisms In Vitro and Triterpenes Composition of Extracts from Silver Birch (Betula pendula Roth) and Black Birch (Betula obscura Kotula) Barks by FT-IR and HPLC-PDA
Abstract
1. Introduction
2. Results
2.1. Chemical Profile of Barks’ Extracts by Fourier Transform Infrared Spectroscopy
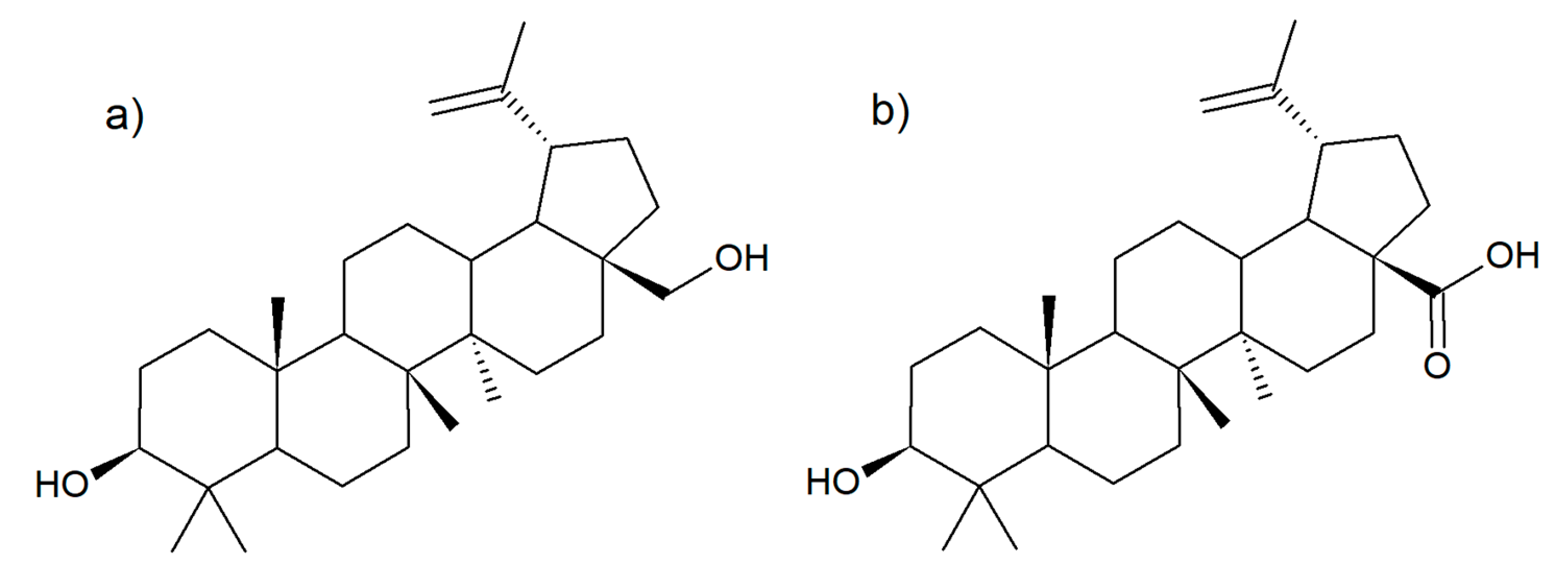
2.2. Quantification of Pentacyclic Triterpenes by HPLC
2.3. Extract Cytotoxicity Analysis
2.4. Antioxidant Mechanism of Bark Extracts
2.4.1. Hydrogen Peroxide (H2O2) and Superoxide Anion Radical (O2•−) Concentration Assessment Prove the Antioxidant Activity of Both B. pendula and B. obscura Bark Extracts
2.4.2. Malonic Dialdehyde (MDA) Concentration Assessment Indicates Ongoing Antioxidant Properties of All Birch Bark Extracts
3. Discussion
4. Materials and Methods
4.1. Preparation of the Bark Extracts from B. pendula and B. obscura
4.2. Cell Culture
4.3. Methods for Assessing the Extracts Cytotoxicity
4.3.1. MTT Analysis
4.3.2. Determination of Lactate Dehydrogenase (LDH)
4.4. Methods for Assessing the Antioxidant Mechanisms of Extracts
4.4.1. Determination of Hydrogen Peroxide (H2O2)
4.4.2. Determination of Superoxide Anion Radical (O2•−)
4.4.3. MDA Assay
4.5. Infrared Spectroscopy
4.6. High Performance Liquid Chromatography with Photodiode Array (HPLC-PDA)
4.7. Statistical Analysis
5. Conclusions
Supplementary Materials
Author Contributions
Funding
Institutional Review Board Statement
Informed Consent Statement
Data Availability Statement
Conflicts of Interest
Sample Availability
References
- Mashentseva, A.A.; Dehaen, W.; Seitembetov, T.S.; Seitembetova, A.J. Comparison of the Antioxidant Activity of the Different Betula pendula Roth. Extracts from Northern Kazakhstan. J. Phytol. 2011, 3, 18–25. [Google Scholar]
- Fischer, A.; Lindner, M.; Abs, C.; Lasch, P. Vegetation dynamics in central European forest ecosystems (near-natural as well as managed) after storm events. Folia Geobot. 2002, 37, 17–32. [Google Scholar] [CrossRef]
- Acquaviva, R.; Tundis, R.; Menichini, F.; Loizzo, M.R.; Genovese, C.; Ragusa, S.; Iauk, L.; Amodeo, A. Antimicrobial and antioxidant properties of Betula aetnensis Rafin. (Betulaceae) leaves extract. Nat. Prod. Res. 2012, 27, 475–479. [Google Scholar] [CrossRef]
- Mircea, T.; Carmen, P.; Anda, P. The analysis of flavonoids from indigenous species of Betulaceae. Farmacia 2008, 56, 556–562. [Google Scholar]
- Ferreira, J.P.A.; Quilhó, T.; Pereira, H. Characterization of Betula pendula Outer Bark Regarding Cork and Phloem Components at Chemical and Structural Levels in View of Biorefinery Integration. J. Wood Chem. Technol. 2017, 37, 10–25. [Google Scholar] [CrossRef]
- Dehelean, C.A.; Şoica, C.; Ledeţi, I.; Aluaş, M.; Zupko, I.; Gǎluşcan, A.; Cinta-Pinzaru, S.; Munteanu, M. Study of the betulin enriched birch bark extracts effects on human carcinoma cells and ear inflammation. Chem. Cent. J. 2012, 6, 137. [Google Scholar] [CrossRef] [PubMed]
- Achrem-Achremowicz, J.; Janeczko, Z. Betulina—Prekursor nowych środków leczniczych. Farm. Pol. 2002, 58, 799–804. [Google Scholar]
- Drag-Zalesinska, M.; Kulbacka, J.; Saczko, J.; Wysocka, T.; Zabel, M.; Surowiak, P.; Drag, M. Esters of betulin and betulinic acid with amino acids have improved water solubility and are selectively cytotoxic toward cancer cells. Bioorg. Med. Chem. Lett. 2009, 19, 4814–4817. [Google Scholar] [CrossRef]
- Cacciola, F.; D’Angelo, V.; Donato, P.; Mondello, L.; Dugo, P.; Rapisarda, A.; Germanò, M.P.; Certo, G. Betula pendula leaves: Polyphenolic characterization and potential innovative use in skin whitening products. Fitoterapia 2012, 83, 877–882. [Google Scholar]
- Pisha, E.; Chai, H.; Lee, I.-S.; Chagwedera, T.E.; Farnsworth, N.H.S.; Cordell, G.A.; Beecher, C.W.W.; Fong, H.H.S.; Kinghorn, A.D.; Brown, D.M. Discovery of betulinic acid as a selective inhibitor of human melanoma that functions by induction of apoptosis. Nat. Med. 1995, 1, 1046–1051. [Google Scholar] [CrossRef] [PubMed]
- Hordyjewska, A.; Ostapiuk, A.; Horecka, A.; Kurzepa, J. Betulin and betulinic acid: Triterpenoids derivatives with a powerful biological potential. Phytochem. Rev. 2019, 18, 929–951. [Google Scholar] [CrossRef]
- Gülçin, I. Antioxidant activity of food constituents: An overview. Arch. Toxicol. 2012, 86, 345–391. [Google Scholar] [CrossRef]
- Phaniendra, A.; Jestadi, D.B.; Periyasamy, L. Free radicals: Properties, sources, targets, and their implication in various diseases. Indian J. Clin. Biochem. 2015, 30, 11–26. [Google Scholar] [CrossRef] [PubMed]
- Kangasjärvi, J.; Jaspers, P.; Kollist, H. Signalling and cell death in ozone-exposed plants. Plant. Cell Environ. 2005, 28, 1021–1036. [Google Scholar] [CrossRef]
- Alam, N.; Bristi, N.J. Review on in vivo and in vitro methods evaluation of antioxidant activity. Saudi Pharm. J. 2013, 21, 143–152. [Google Scholar] [CrossRef] [PubMed]
- Birben, E.; Sahiner, U.M.; Sackesen, C.; Erzurum, S.; Kalayci, O. Oxidative stress and antioxidant defense. World Allergy Organ. J. 2012, 5, 9–19. [Google Scholar] [CrossRef] [PubMed]
- Hrynkiewicz-Sudnik, J. Zmienność i rozmieszczenie brzozy czarnej (Betula obscura A. Kotula) w Polsce. Arbor. Kórnickie 1962, 7, 5–97. [Google Scholar]
- Stecki, K.; Slósarz, Z.; Wiertelak, M. Study of dark birch in Poland. Rocz. Nauk Rol. Leœnych 1928, 19, 35–37. [Google Scholar]
- Franiel, I. Taxonomic problems of Betula obscura (Betulaceae). A review. Fragm. Florist. Geobot. Pol. 2009, 16, 27–32. [Google Scholar]
- Betula Obscura Kotula—The Plant List. Available online: http://www.theplantlist.org/tpl1.1/record/tro-3600295 (accessed on 12 July 2021).
- Strzemski, M.; Wójciak-Kosior, M.; Sowa, I.; Agacka-Mołdoch, M.; Drączkowski, P.; Matosiuk, D.; Kurach, Ł.; Kocjan, R.; Dresler, S. Application of Raman spectroscopy for direct analysis of Carlina acanthifolia subsp. utzka root essential oil. Talanta 2017, 174, 633–637. [Google Scholar] [CrossRef]
- Cîntă-Pînzaru, S.; Dehelean, C.A.; Soica, C.; Culea, M.; Borcan, F. Evaluation and differentiation of the Betulaceae birch bark species and their bioactive triterpene content using analytical FT-vibrational spectroscopy and GC-MS. Chem. Cent. J. 2012, 6, 67. [Google Scholar] [CrossRef]
- Fǎlǎmaş, A.; Pînzaru, S.C.; Dehelean, C.A.; Peev, C.I.; Soica, C. Betulin and its natural resource as potential anticancer drug candidate seen by FT-Raman and FT-IR spectroscopy. J. Raman Spectrosc. 2011, 42, 97–107. [Google Scholar] [CrossRef]
- Kamiloglu, S.; Sari, G.; Ozdal, T.; Capanoglu, E. Guidelines for cell viability assays. Food Front. 2020, 1, 332–349. [Google Scholar] [CrossRef]
- Krasutsky, P.A. Birch bark research and development. Nat. Prod. Rep. 2006, 23, 919–942. [Google Scholar] [CrossRef] [PubMed]
- Hordyjewska, A.; Ostapiuk, A.; Horecka, A. Betulin and betulinic acid in cancer research. J. Pre-Clin. Clin. Res. 2018, 12, 72–75. [Google Scholar] [CrossRef]
- Drag, M.; Surowiak, P.; Drag Zalesinska, M.; Dietel, M.; Lage, H.; Oleksyszyn, J. Comparision of the cytotoxic effects of birch bark extract, betulin and betulinic acid towards human gastric carcinoma and pancreatic carcinoma drug-sensitive and drug-resistant cell lines. Molecules 2009, 14, 1639–1651. [Google Scholar] [CrossRef]
- Szuster-Ciesielska, A.; Plewka, K.; Daniluk, J.; Kandefer-Szerszeń, M. Betulin and betulinic acid attenuate ethanol-induced liver stellate cell activation by inhibiting reactive oxygen species (ROS), cytokine (TNF-α, TGF-β) production and by influencing intracellular signaling. Toxicology 2011, 280, 152–163. [Google Scholar] [CrossRef] [PubMed]
- Rzeski, W.; Stepulak, A.; Szymański, M.; Juszczak, M.; Grabarska, A.; Sifringer, M.; Kaczor, J.; Kandefer-Szerszeń, M. Betulin Elicits Anti-Cancer Effects in Tumour Primary Cultures and Cell Lines in Vitro. Basic Clin. Pharmacol. Toxicol. 2009, 105, 425–432. [Google Scholar] [CrossRef]
- Zheng, Z.-W.; Song, S.-Z.; Wu, Y.-L.; Lian, L.-H.; Wan, Y.; Nan, J.-X. Betulinic acid prevention of d-galactosamine/lipopolysaccharide liver toxicity is triggered by activation of Bcl-2 and antioxidant mechanisms. J. Pharm. Pharmacol. 2011, 63, 572–578. [Google Scholar] [CrossRef] [PubMed]
- Yi, J.; Zhu, R.; Wu, J.; Wu, J.; Xia, W.; Zhu, L.; Jiang, W.; Xiang, S.; Tan, Z. In vivo protective effect of betulinic acid on dexamethasone induced thymocyte apoptosis by reducing oxidative stress. Pharmacol. Rep. 2016, 68, 95–100. [Google Scholar] [CrossRef]
- Jafari Hajati, R.; Payamnoor, V.; Ghasemi Bezdi, K.; Ahmadian Chashmi, N. Optimization of Callus Induction and Cell Suspension Culture of Betula pendula Roth for Improved Production of Betulin, Betulinic Acid, and Antioxidant Activity. Vitr. Cell. Dev. Biol. Plant 2016, 52, 400–407. [Google Scholar] [CrossRef]
- Kovač-Bešović, E.E.; Durić, K.; Kalodera, Z.; Sofić, E. Identification and isolation of pharmacologically active triterpenes in betuale cortex, Betula pendula roth., betulaceae. Bosn. J. Basic Med. Sci. 2009, 9, 31–38. [Google Scholar] [CrossRef]
- Lobner, D. Comparison of the LDH and MTT assays for quantifying cell death: Validity for neuronal apoptosis? J. Neurosci. Methods 2000, 96, 147–152. [Google Scholar] [CrossRef]
- Pick, E.; Keisari, Y. A simple colorimetric method for the measurement of hydrogen peroxide produced by cells in culture. J. Immunol. Methods 1980, 38, 161–170. [Google Scholar] [CrossRef]
- Dikalov, S.I.; Li, W.; Mehranpour, P.; Wang, S.S.; Zafari, A.M. Production of Extracellular Superoxide by Human Lymphoblast Cell Lines: Comparison of Electron Spin Resonance Techniques and Cytochrome C Reduction Assay. Biochem. Pharmacol. 2007, 73, 972–980. [Google Scholar] [CrossRef][Green Version]
- Strzemski, M.; Wojnicki, K.; Sowa, I.; Wojas-Krawczyk, K.; Krawczyk, P.; Kocjan, R.; Such, J.; Latalski, M.; Wnorowski, A.; Wójciak-Kosior, M. In vitro antiproliferative activity of extracts of Carlina acaulis subsp. caulescens and Carlina acanthifolia subsp. utzka. Front. Pharmacol. 2017, 8, 371. [Google Scholar] [CrossRef] [PubMed]
- Strzemski, M.; Wójciak-Kosior, M.; Sowa, I.; Rutkowska, E.; Szwerc, W.; Kocjan, R.; Latalski, M. Carlina species as a new source of bioactive pentacyclic triterpenes. Ind. Crops Prod. 2016, 94, 498–504. [Google Scholar] [CrossRef]
- Sauce, R.; Pinto, C.A.S.D.O.; Ayala-Jara, C.; Prieto, Z.A.; Velasco, M.V.R.; Baby, A.R. Preliminary Protocol Development of a HPLC-TBARS-EVSC (Ex Vivo Stratum Corneum) Assay for Skin Research: Application in a Sunscreen System. Sci. Pharm. 2021, 89, 17. [Google Scholar] [CrossRef]






| Betula pendula o.b. | Betula obscura o.b. | Betulin | Betulinic Acid | Assignments |
|---|---|---|---|---|
| 3342 br | - | 3459–3363 m, br | 3443 w | ν(OH) |
| 2969 sh | - | 2968 sh | - | νs, νas (CH3, CH2, CH) |
| 2929 vs | 2928 m | 2929 s | 2940 s | |
| 2868 s | 2852 m | 2867 m | 2868 s | |
| 1737 br, 1681 sh | 1737–1717 s, br | 1735 w, 1708 sh | 1737 sh, 1684 vs | ν(C=O) |
| 1612 w | 1606 m | - | - | - |
| 1515 w | 1515 m | - | - | - |
| 1448 s | 1447 m | 1451 m | 1448 m | δ(CH3) + δ(CH2) |
| 1365 s | 1374 m | 1374 m | 1375 m | δ(CH3) + δ(CH2) |
| - | 1259 m | - | - | - |
| 1229 m | 1228 m | - | 1231 s | δ(OH) + τ(CH2) + δ(CH) |
| 1217 m | 1217 m | - | 1218 sh | - |
| 1105 | 1102 w | 1105 m | 1108 m | - |
| 1081 | 1070 w | 1083 m | - | - |
| 1028 vs, br | 1028 s | 1035 m, 1008 vs | 1043 m, 1035 sh, 1010 m | ν(C-O) + δ(CH) + ρ(CH3, CH2) |
| 983 sh | 982 sh | 984 m | 983 w | - |
| 880 m | 880 m | 875 vs | 884 s | ω(H-C-H) |
| - | 800 vs, br | - | 791 w |
| Bark Extract | Betulinic Acid | Betulin | Lupeol | |
|---|---|---|---|---|
| Outer | B. pendula | 97.42 ± 3.91 | 295.93 ± 3.94 | 40.04 ± 4.91 |
| B. obscura | 49.89 ± 0.74 | 154.86 ± 1.01 | 52.42 ± 0.02 | |
| Inner | B. pendula | 56.89 ± 2.43 | 417.49 ± 2.02 | 78.64 ± 11.44 |
| B. obscura | 48.77 ± 3.50 | 424.45 ± 5.87 | 127.36 ± 7.13 | |
| Conc./Extract | B. pendula i.b. | B. pendula o.b. | B. obscura i.b. | B. obscura o.b. | ||||
|---|---|---|---|---|---|---|---|---|
| 24 h | 48 h | 24 h | 48 h | 24 h | 48 h | 24 h | 48 h | |
| 100% | 36.6 ± 2.8 **** | 35.9 ± 1.8 ^^^^ | 35.9 ± 2.5 **** | 32.7 ± 3.3 ^^^^ | 35.3 ± 3.7 **** | 29.4 ± 1.1 ^^^^ | 32.8 ± 3.4 **** | 27.8 ± 0.2 ^^^^ |
| 75% | 36.2 ± 3.8 **** | 31.7 ± 4.4 ^^^^ | 41.0 ± 1.0 **** | 33.5 ± 3.1 ^^^^ | 35.7 ± 3.4 **** | 34.0 ± 3.1 ^^^^ | 36.1 ± 2.0 **** | 31.1 ± 2.0 ^^^^ |
| 50% | 50.2 ± 1.5 **** | 39.5 ± 1.3 ^^^^ | 51.3 ± 7.7 **** | 38.3 ± 9.2 ^^^^ | 40.3 ± 0.5 **** | 34.5 ± 1.6 ^^^^ | 42.3 ± 5.5 **** | 39 ± 2.7 ^^^^ |
| 25% | 60.5 ± 10.4 *** | 60.6 ± 1.8 ^^^^ | 57.6 ± 2.8 **** | 61.5 ± 0.9 ^^^^ | 64.1 ± 4.7 **** | 56.2 ± 6.8 ^^^^ | 60.3 ± 4.2 **** | 53.1 ± 5.8 ^^^^ |
| 10% | 77 ± 8.2 * | 63.2 ± 7.8 ^^^^ | 63 ± 4.5 **** | 64.5 ± 5.3 ^^^^ | 68.8 ± 1.1 **** | 60.2 ± 3.6 ^^^^ | 64.3 ± 4.7 **** | 61.5 ± 6.1 ^^^^ |
| 5% | 83.6 ± 8.5 | 83.8 ± 4.8 | 95.9 ± 3. 9 | 80.3 ± 4.5 ^^ | 91.9 ± 5.8 | 81.4 ± 5.8 ^^ | 91.9 ± 2.8 | 76.8 ± 1.7 ^^^^ |
| 2% | 102.6 ± 5.6 | 102.1 ± 8.7 | 100.2 ± 7.7 | 94.4 ± 3.5 | 104.0 ± 4.8 | 101.0 ± 7.7 | 99 ± 7.4 | 96 ± 5 |
| IC50 [%] | 43 | 33 | 43 | 31 | 39 | 28 | 36 | 26 |
| Conc./Extract | B. pendula i.b. | B. pendula o.b. | B. obscura i.b. | B. obscura o.b. | ||||
|---|---|---|---|---|---|---|---|---|
| 24 h | 48 h | 24 h | 48 h | 24 h | 48 h | 24 h | 48 h | |
| 100% | 97.1 ± 5.7 **** | 94.6 ± 8.6 ^^^^ | 91.0 ± 5.2 **** | 99.5 ±15.2 ^^^^ | 98.9 ± 4.4 **** | 103.5 ± 6.9 ^^^^ | 108.3 ± 8.1 **** | 100.1 ± 6.5 ^^^^ |
| 75% | 74.7 ± 7.2 **** | 82.2 ± 2.4 ^^^^ | 69.8 ± 4.7 **** | 77.7 ± 6.7 ^^^^ | 85.4 ± 4.6 **** | 84.3 ± 13.7 ^^^^ | 83.4 ± 5.2 **** | 79.6 ± 2.7 ^^^^ |
| 50% | 40.5 ± 4.5 **** | 46.9 ± 5.5 ^^^^ | 39.2 ± 4.7 **** | 55.8 ± 7.8 ^^^^ | 60.9 ± 7.0 **** | 63.5 ± 3.7 ^^^^ | 59.3 ± 2.7 *** | 62.3 ± 3.8 ^^^^ |
| 25% | 28.3 ± 2.6 *** | 27.3 ± 5.0 | 24.6 ± 2.8 *** | 25.3 ± 2.2 | 31.3 ± 2.2 **** | 42.0 ± 6.8 ^^^ | 35.9 ± 1.6 * | 34.7 ± 3.0 ^^^^ |
| 10% | 18.2 ± 2.1 | 17.3 ± 9.1 | 13.3 ± 1.6 | 11.3 ± 1.3 | 21.4 ± 4.5 ** | 23.6 ± 3.9 | 23.4 ± 5.3 | 19.4 ± 6.0 |
| 5% | 12.7 ± 0.6 | 9.8 ± 2.8 | 8.1 ± 0.9 | 7.3 ± 2.8 | 11.6 ± 0.9 | 13.5 ± 1.4 | 11.0 ± 0.9 | 8.4 ± 0.9 |
| 2% | 10.7 ± 0.8 | 9.7 ± 4.4 | 8.1 ± 1.0 | 6.9 ± 1.0 | 7.4 ± 4.0 | 8.7 ± 1.7 | 21.4 ± 20.4 | 7.7 ± 1.9 |
| IC50 [%] | 61 | 54 | 61 | 48 | 44 | 39 | 45 | 42 |
Publisher’s Note: MDPI stays neutral with regard to jurisdictional claims in published maps and institutional affiliations. |
© 2021 by the authors. Licensee MDPI, Basel, Switzerland. This article is an open access article distributed under the terms and conditions of the Creative Commons Attribution (CC BY) license (https://creativecommons.org/licenses/by/4.0/).
Share and Cite
Ostapiuk, A.; Kurach, Ł.; Strzemski, M.; Kurzepa, J.; Hordyjewska, A. Evaluation of Antioxidative Mechanisms In Vitro and Triterpenes Composition of Extracts from Silver Birch (Betula pendula Roth) and Black Birch (Betula obscura Kotula) Barks by FT-IR and HPLC-PDA. Molecules 2021, 26, 4633. https://doi.org/10.3390/molecules26154633
Ostapiuk A, Kurach Ł, Strzemski M, Kurzepa J, Hordyjewska A. Evaluation of Antioxidative Mechanisms In Vitro and Triterpenes Composition of Extracts from Silver Birch (Betula pendula Roth) and Black Birch (Betula obscura Kotula) Barks by FT-IR and HPLC-PDA. Molecules. 2021; 26(15):4633. https://doi.org/10.3390/molecules26154633
Chicago/Turabian StyleOstapiuk, Aleksandra, Łukasz Kurach, Maciej Strzemski, Jacek Kurzepa, and Anna Hordyjewska. 2021. "Evaluation of Antioxidative Mechanisms In Vitro and Triterpenes Composition of Extracts from Silver Birch (Betula pendula Roth) and Black Birch (Betula obscura Kotula) Barks by FT-IR and HPLC-PDA" Molecules 26, no. 15: 4633. https://doi.org/10.3390/molecules26154633
APA StyleOstapiuk, A., Kurach, Ł., Strzemski, M., Kurzepa, J., & Hordyjewska, A. (2021). Evaluation of Antioxidative Mechanisms In Vitro and Triterpenes Composition of Extracts from Silver Birch (Betula pendula Roth) and Black Birch (Betula obscura Kotula) Barks by FT-IR and HPLC-PDA. Molecules, 26(15), 4633. https://doi.org/10.3390/molecules26154633

