Corneal Healing and Recovery of Ocular Crystallinity with a Dichloromethane Extract of Sedum dendroideum D.C. in a Novel Murine Model of Ocular Pterygium
Abstract
:1. Introduction
2. Results
2.1. Phytochemical Analysis of Dichloromethane from S. dendroideum Lyophilized Leaf Juice
2.2. Injury Model for Pterygium
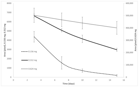
2.2.1. Dose Effect Curve
2.2.2. Corneal Injury Induction by TPA Administration and Treatment
2.2.3. Injury Induction by TPA Administration and DIA
2.3. Histological Analysis
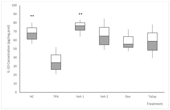
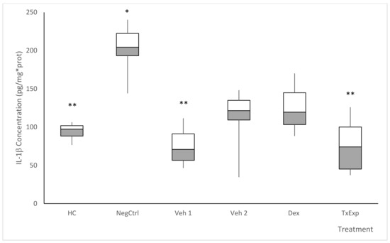
2.4. Cytokine Level in Eyes
3. Discussion
4. Materials and Methods
4.1. Plant Material, Extraction, and Preparation of Extract
4.2. GC-MS Analysis of Dichloromethane Extract
4.3. Development of Murine Model of Pterygium-Like Eye Lesion
4.3.1. Animals
4.3.2. Concentration Response Curve of the Effect of TPA on Ocular Damage
4.3.3. Development of Eye Injury
4.3.4. Pterygium-Like Model Evaluation with Digital Image Analysis (DIA)
4.3.5. Preparation of Eye Tissue for Determination of Cytokine Levels
4.3.6. Histological Analysis
4.3.7. Statistical Analysis
Author Contributions
Funding
Institutional Review Board Statement
Informed Consent Statement
Data Availability Statement
Conflicts of Interest
Sample Availability
References
- Anguria, P.; Carmichael, T.; Ntuli, S.; Kitinya, J. Chronic Inflammatory Cells and Damaged Limbal Cells in Pterygium. Afr. Health Sci. 2013, 13, 725–730. [Google Scholar] [CrossRef] [Green Version]
- Tong, L.; Lan, W.; Sim, H.S.; Hou, A. Conjunctivochalasis Is the Precursor to Pterygium. Med. Hypotheses 2013, 81, 927–930. [Google Scholar] [CrossRef]
- Esquenazi, S. Treatment of early pterygium recurrence with topical administration of interferon α-2b. Can. J. Ophthalmol. 2005, 40, 185–187. [Google Scholar] [CrossRef]
- Mathur, M.L.; Haldiya, K.R.; Sachdev, R.; Saiyed, H.N. The Risk of Pterygium in Salt Workers. Int. Ophthalmol. 2006, 26, 43–47. [Google Scholar] [CrossRef] [PubMed]
- Frucht-Pery, J.; Siganos, C.; Solomon, A. Topical Indomethacin Solution Versus Dexamethasone Solution for Treatment of Inflamed Pterygium and Pinguecula: A Prospective Randomized Clinical Study. Am. J. Ophthalmol. 1999, 127, 148–152. [Google Scholar] [CrossRef]
- Cano, A.A.; Rodarte, L. Atlas de las Plantas de la Medicina Tradicional Mexicana, 1st ed.; Instituto Nacional Indigenista: Mexico City, Mexico, 1994; pp. 86–88, 999–1000, 1073–1074, 1086–1087. [Google Scholar]
- Monroy-Ortiz, C.; Castillo-España, M. Plantas Medicinales Utilizadas en el Estado de Morelos, 2nd ed.; Cuernavaca: Morelos, Mexico, 2007; pp. 111–112. [Google Scholar]
- Hirst, L.W. The Treatment of Pterygium. Surv. Ophthalmol. 2003, 48, 145–180. [Google Scholar] [CrossRef]
- Sivak, J.M.; Fini, M.E. MMPs in the eye: Emerging Roles for Matrix Metalloproteinases in Ocular Physiology. Prog. Retin. Eye Res. 2002, 21, 1–14. [Google Scholar] [CrossRef]
- Di Girolamo, N.; Chui, J.; Coroneo, M.T.; Wakefield, D. Pathogenesis of Pterygia: Role of Cytokines, Growth Factors, and Matrix Metalloproteinases. Prog. Retin. Eye Res. 2004, 23, 195–228. [Google Scholar] [CrossRef]
- West-Mays, J.A.; Sadow, P.M.; Tobin, T.W.; Strissel, K.; Cintron, C.; Fini, M.E. Repair Phenotype in Corneal Fibroblasts is Controlled by an Interleukin-1α Sutocrine Feedback Loop. Investig. Ophthalmol. Vis. Sci. 1997, 38, 1367–1379. [Google Scholar]
- West-Mays, J.A.; Strissel, K.J.; Sadow, P.M.; Fini, M.E. Competence for Collagenase Gene Expression by Tissue Fibroblasts Requires Activation of an Interleukin la Autocrine Loop. Proc. Natl. Acad. Sci. USA 1995, 92, 6768–6772. [Google Scholar] [CrossRef] [PubMed] [Green Version]
- Gomori, G. A rapid one-step trichrome stain. J. Clin. Pathol. 1950, 20, 661–664. [Google Scholar] [CrossRef] [PubMed]
- Lippincott, S.W. Neoplasms and Other Lesions of the Eye Induced by Ultraviolet Radiation in Strain a Mice. J. Natl. Cancer Inst. 1943, 3, 545–554. [Google Scholar]
- Kobayashi, S.; Kohshima, H. Unique Morphology of the Human Eye. Nature 1997, 38, 767–768. [Google Scholar] [CrossRef]
- Chen, J.K.; Tsai, R.J.F.; Lin, S.S. Fibroblasts Isolated from Human Pterygia Exhibit Transformed Cell Characteristics. In Vitro Cell Dev. Biol. 1994, 30A, 243–248. [Google Scholar] [CrossRef]
- De Young, L.M.; Kheifets, J.B.; Ballaron, S.J.; Young, J.M. Edema and Cell Infiltration in the Phorbol Ester-Treated Mouse Ear are Temporally Separate and Can be Differentially Modulated by Pharmacologic Agents. Agents Actions 1989, 26, 335–341. [Google Scholar] [CrossRef] [PubMed]
- Zada, M.; Pattamatta, U.; White, A. Modulation of Fibroblasts in Conjunctival Wound Healing. Ophthalmology 2018, 125, 288–294. [Google Scholar] [CrossRef]
- Campagnolo, A.M.; Tsuji, D.H.; Sennes, L.U.; Imamura, R.; Saldiva, N.P.H.; Campagnolo, A.M.; Amoroso, A.R. Histologic Study of Acute Vocal Fold Wound Healing After Corticosteroid Injection in a Rabbit Model. Rhinol. Laryngol. 2010, 119, 133–139. [Google Scholar] [CrossRef]
- Jares, E.; Pignataro, O. Mecanismos Moleculares de Acción de Los Corticoides. Arch. Alerge Inmunol. Clin. 2002, 33, 9–21. [Google Scholar]
- West-Mays, J.A.; Cook, J.R.; Sadow, P.M.; Mullady, D.K.; Bargagna-Mohan, P.; Strissel, K.J.; Fini, M.E. Differential Inhibition of Collagenase and Interleukin-1α Gene Expression in Cultured Corneal Fibroblasts by TGF-β, Dexamethasone, and Retinoic Acid. Investig. Ophthalmol. Vis. Sci. 1999, 40, 887–896. [Google Scholar]
- Yarosh, D.; Both, D.; Kibitel, J.; Anderson, C.; Elmets, C.; Brash, D.; Brown, D. Regulation of TNF-α Production and Release in Human and Mouse Keratinocytes and Mouse Skin After UV-B Irradiation. Photodermatol. Photoimmunol. Photomed. 2000, 16, 263–270. [Google Scholar] [CrossRef] [PubMed]
- Lim, M.; Goldstein, M.H.; Tuli, S.; Schultz, G.S. Growth Factor, Cytokine and Protease Interactions During Corneal Wound Healing. Ocul. Surf. 2003, 1, 53–65. [Google Scholar] [CrossRef]
- Kishore, K.K.; Ganugula, T.R.; Gade, D.R.; Reddy, G.B.; Nagini, S. Gedunin Abrogates Aldose Reductase, PI3K/Akt/mToR, and NF-κB Signaling Pathways to Inhibit Angiogenesis in a Hamster Model of Oral Carcinogenesis. Tumor Biol. 2016, 37, 2083–2093. [Google Scholar] [CrossRef]
- Kong, F.; Liu, J.; Liu, Y.; Song, B.; Wang, H.; Liu, W. Association of Interleukin-10 Gene Polymorphisms with Breast Cancer in a Chinese Population. J. Exp. Clin. Cancer Res. 2010, 1082, 1–7. [Google Scholar] [CrossRef] [Green Version]
- Zhao, G.; Denisova, K.; Sehatpour, P.; Long, J.; Gui, W.; Qiao, J.; Javitt, D.C.; Wang, Z. Fractal Dimension Analysis of Subcortical Gray Matter Structures in Schizophrenia. PLoS ONE 2016, 11, e0155415. [Google Scholar] [CrossRef] [Green Version]
- Rodríguez, V.J.O.; Prieto, B.S.; Correa, H.C.; Soracipa, M.Y.; Polo, N.F.; Pinilla, B.L.; Blanco, V.; Camilo, R.A. Metodología Diagnóstica Geométrica Fractal y Euclidiana de Células del Cuello Uterino. Iatreia 2014, 27, 5–13. [Google Scholar]
- Azzouz, M.; Kennel, P.F.; Warter, J.-M.; Poindron, P.; Borg, J. Enhancement of Mouse Sciatic Nerve Regeneration by the Long Chain Fatty Alcohol, N-Hexacosanol. Exp. Neurol. 1996, 138, 189–197. [Google Scholar] [CrossRef] [PubMed]
- Khorasani, H.; Zheng, Z.; Nguyen, C.; Zara, J.; Zhang, X.; Wang, J.; Ting, K.; Soo, C. A Quantitative Approach to Scar Analysis. Am. J. Pathol. 2011, 178, 621–628. [Google Scholar] [CrossRef] [PubMed]
- Ahammer, H.; Devaney, T.T.J.; Tritthart, H.A. Fractal Dimension for a Cancer Invasion Model. Fractals 2001, 9, 61–76. [Google Scholar] [CrossRef]
- Bernard, F.; Bossu, J.-L.; Gaillard, S. Identification of Living Oligodendrocyte Developmental Stages by Fractal Analysis of Cell Morphology. J. Neurosci. Res. 2001, 38, 185–204. [Google Scholar] [CrossRef]
- Sánchez, F.A.V.; López, C.A.; Muñoz, L. Crystalline Keratopathy in Pterigium Treatment: Case report. Arch. Soc. Española Oftalmol. 2012, 87, 179–181. [Google Scholar] [CrossRef]
- Schraml, B.U.; Hildner, K.; Ise, W.; Lee, W.L.; Smith, W.A.E.; Solomon, B.; Sahota, G.; Sim, J.; Mukasa, R.; Cemerski, S.; et al. The AP-1 Transcription Factor Batf Controls T H 17 Differentiation. Nature 2009, 460, 405–409. [Google Scholar] [CrossRef] [PubMed] [Green Version]
- Otuki, M.F.; Vieira-Lima, F.; Malheiros, Â.; Yunes, R.A.; Calixto, J.B. Topical Antiinflammatory Effects of the Ether Extract from Protium kleinii and α-Amyrin Pentacyclic Triterpene. Eur. J. Pharmacol. 2005, 507, 253–259. [Google Scholar] [CrossRef] [PubMed]
- Medeiros, R.; Otuki, M.F.; Christina, M.; Avellar, W.; Calixto, J.B. Mechanisms Underlying the Inhibitory Actions of the Pentacyclic Triterpene α-Amyrin in the Mouse Skin Inflammation Induced by Phorbol Ester 12-O-Tetradecanoylphorbol-13-Acetate. Eur. J. Pharmacol. 2007, 559, 227–235. [Google Scholar] [CrossRef] [PubMed]
- Guerra, Y.P.; Ferreiro, R.M.; Yera, Á.O.; Despaigne, S.J.; Cuevas, V.M. Effects of Octacosanol and Triacontanol Alcohols on Ciclooxygenase and 5-Lipoxygenase Enzyme Activities in Vitro. Rev. Cuba. Farm. 2015, 49, 117–131. [Google Scholar]
- Jurjus, A.; Atiyeh, B.S.; Abdallah, I.M.; Jurjus, R.A.; Hayek, S.N.; Abou, M.; Gerges, A.; Tohme, R.A. Pharmacological Modulation of Wound Healing in Experimental Burns. Burns 2007, 33, 892–907. [Google Scholar] [CrossRef]
- Giovana, N.; La Cruz-Sánchez, D.; Gómez-Rivera, A.; Alvarez-Fitz, P.; Ventura-Zapata, E.; Pérez-García, M.D.; Avilés-Flores, M.; Gutiérrez-Román, A.S.; González-Cortazar, M. Microbial Pathogenesis Antibacterial Activity of Morinda citrifolia Linneo seeds against Methicillin-Resistant Staphylococcus spp. Microb. Pathog. 2019, 128, 347–353. [Google Scholar]
- Fernández-Vázquez, R.; Stinco, C.M.; Hernandez, D.; Heredia, F.J.; Vicario, I.M. Colour Training and Colour Differences Thresholds in Orange Juice. Food Qual. Prefer. 2013, 30, 320–327. [Google Scholar] [CrossRef]
- Megías, M.; Molist, P.; Pombal, M.A. Técnicas Histológicas TINCION. Available online: http://mmegias.webs.uvigo.es/descargas/tecnicas-fijacion.pdf (accessed on 21 May 2018).











| Descriptor | Groups | Initial | Final | ||
|---|---|---|---|---|---|
| Mean | SE | Mean | SE | ||
| %Injured Aread | NegCtrl | 58.16 | 10.91 | 26.05 * | 9.00 |
| Dex | 39.82 | 12.22 | 17.99 | 6.65 | |
| TxExp | 38.76 | 8.53 | 30.34 | 6.41 | |
| Perimeter of Injury (mm) | NegCtrl | 37.45 | 2.87 | 30.25 | 10.32 |
| Dex | 48.26 & | 7.00 | 20.75 *,& | 5.40 | |
| TxExp | 34.1 & | 4.72 | 35.93 & | 3.21 | |
| Feret’s Diameter (mm) | NegCtrl | 2.71 | 0.30 | 1.13 * | 0.39 |
| Dex | 2.95 | 0.39 | 1.23 * | 0.38 | |
| TxExp | 2.97 | 0.34 | 2.47 *,& | 0.33 | |
Publisher’s Note: MDPI stays neutral with regard to jurisdictional claims in published maps and institutional affiliations. |
© 2021 by the authors. Licensee MDPI, Basel, Switzerland. This article is an open access article distributed under the terms and conditions of the Creative Commons Attribution (CC BY) license (https://creativecommons.org/licenses/by/4.0/).
Share and Cite
Torrescano-De Labra, L.; Jiménez-Ferrer, E.; Camacho-Díaz, B.H.; Vargas-Villa, G.; González-Cortazar, M.; Herrera-Ruiz, M.; Ávila Reyes, S.V.; Solorza-Feria, J.; Jiménez-Aparicio, A.R. Corneal Healing and Recovery of Ocular Crystallinity with a Dichloromethane Extract of Sedum dendroideum D.C. in a Novel Murine Model of Ocular Pterygium. Molecules 2021, 26, 4502. https://doi.org/10.3390/molecules26154502
Torrescano-De Labra L, Jiménez-Ferrer E, Camacho-Díaz BH, Vargas-Villa G, González-Cortazar M, Herrera-Ruiz M, Ávila Reyes SV, Solorza-Feria J, Jiménez-Aparicio AR. Corneal Healing and Recovery of Ocular Crystallinity with a Dichloromethane Extract of Sedum dendroideum D.C. in a Novel Murine Model of Ocular Pterygium. Molecules. 2021; 26(15):4502. https://doi.org/10.3390/molecules26154502
Chicago/Turabian StyleTorrescano-De Labra, Luiselva, Enrique Jiménez-Ferrer, Brenda Hildeliza Camacho-Díaz, Gabriela Vargas-Villa, Manases González-Cortazar, Maribel Herrera-Ruiz, Sandra Victoria Ávila Reyes, Javier Solorza-Feria, and Antonio Ruperto Jiménez-Aparicio. 2021. "Corneal Healing and Recovery of Ocular Crystallinity with a Dichloromethane Extract of Sedum dendroideum D.C. in a Novel Murine Model of Ocular Pterygium" Molecules 26, no. 15: 4502. https://doi.org/10.3390/molecules26154502
APA StyleTorrescano-De Labra, L., Jiménez-Ferrer, E., Camacho-Díaz, B. H., Vargas-Villa, G., González-Cortazar, M., Herrera-Ruiz, M., Ávila Reyes, S. V., Solorza-Feria, J., & Jiménez-Aparicio, A. R. (2021). Corneal Healing and Recovery of Ocular Crystallinity with a Dichloromethane Extract of Sedum dendroideum D.C. in a Novel Murine Model of Ocular Pterygium. Molecules, 26(15), 4502. https://doi.org/10.3390/molecules26154502

