Formation of Amphiphilic Molecules from the Most Common Marine Polysaccharides, toward a Sustainable Alternative?
Abstract
:1. Introduction
2. Classes of the Most Common Marine Polysaccharides
2.1. Red Algae Polysaccharides
2.2. Brown Algae Polysaccharides
2.3. Green Algae Polysaccharides
2.4. Seafood Wastes’ Polysaccharides
3. Amphiphilic Modifications of Polysaccharides
3.1. Uronic Rich Polysaccharides
3.1.1. Modification of Carboxylic Groups on Uronic Rich Polysaccharides
- Esterification
- Amidation
- Ugi reaction
3.1.2. Modification of Hydroxyl Groups on Uronic Acids Rich Polysaccharides
3.2. Aminated Polysaccharides
3.2.1. Amino-Modifications
- N-Alkylation;
- N-Acylation;
- Quaternization of Chitosan
3.2.2. Hydroxyl Modifications
3.3. Sulfated Polysaccharides
3.4. Hydroxyl Only Polysaccharides
3.4.1. Agarans’ Modifications
- O-Alkylation of agarans
- O-Acylation
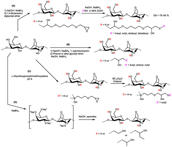
3.4.2. Laminarans
4. Tools and Techniques to Develop More Sustainable Processes
5. Conclusions and Future Outlooks
Author Contributions
Funding
Institutional Review Board Statement
Informed Consent Statement
Data Availability Statement
Acknowledgments
Conflicts of Interest
References
- Morelli, A.; Puppi, D.; Chiellini, F. Perspectives on Biomedical Applications of Ulvan. In Seaweed Polysaccharides; Elsevier: Amsterdam, The Netherlands, 2017; pp. 305–330. [Google Scholar]
- Pangestuti, R.; Kurnianto, D. Green Seaweeds-Derived Polysaccharides Ulvan: Occurrence, Medicinal Value and Potential Applications. In Seaweed Polysaccharides; Elsevier: Amsterdam, The Netherlands, 2017; pp. 205–221. [Google Scholar]
- Ferdouse, F.; Løvstad Holdt, S.; Smith, R.; Murúa, P.; Yang, Z.; Holdt, S.L.; Smith, R.; Murúa, P.; Yang, Z. The global status of seaweed production, trade and utilization. FAO Globefish Res. Programme 2018, 124, 120. [Google Scholar]
- Jönsson, M.; Allahgholi, L.; Sardari, R.R.R.; Hreggviðsson, G.O.; Nordberg Karlsson, E. Extraction and Modification of Macroalgal Polysaccharides for Current and Next-Generation Applications. Molecules 2020, 25, 930. [Google Scholar] [CrossRef] [PubMed] [Green Version]
- Campo, V.L.; Kawano, D.F.; Silva, D.B.d.; Carvalho, I. Carrageenans: Biological properties, chemical modifications and structural analysis—A review. Carbohydr. Polym. 2009, 77, 167–180. [Google Scholar] [CrossRef]
- Tuvikene, R.; Truus, K.; Kollist, A.; Volobujeva, O.; Mellikov, E.; Pehk, T. Gel-forming structures and stages of red algal galactans of different sulfation levels. J. Appl. Phycol. 2008, 20, 527–535. [Google Scholar] [CrossRef]
- Tuvikene, R.; Truus, K.; Robal, M.; Volobujeva, O.; Mellikov, E.; Pehk, T.; Kollist, A.; Kailas, T.; Vaher, M. The extraction, structure, and gelling properties of hybrid galactan from the red alga Furcellaria lumbricalis (Baltic Sea, Estonia). J. Appl. Phycol. 2010, 22, 51–63. [Google Scholar] [CrossRef]
- Robal, M.; Truus, K.; Volobujeva, O.; Mellikov, E.; Tuvikene, R. Thermal stability of red algal galactans: Effect of molecular structure and counterions. Int. J. Biol. Macromol. 2017, 104, 213–223. [Google Scholar] [CrossRef]
- Running, C.A.; Falshaw, R.; Janaswamy, S. Trivalent iron induced gelation in lambda-carrageenan. Carbohydr. Polym. 2012, 87, 2735–2739. [Google Scholar] [CrossRef] [PubMed] [Green Version]
- Usov, A.I. Structural analysis of red seaweed galactans of agar and carrageenan groups. Food Hydrocoll. 1998, 12, 301–308. [Google Scholar] [CrossRef]
- Li, B.; Lu, F.; Wei, X.; Zhao, R. Fucoidan: Structure and bioactivity. Molecules 2008, 13, 1671–1695. [Google Scholar] [CrossRef] [Green Version]
- Senthilkumar, K.; Ramajayam, G.; Venkatesan, J.; Kim, S.-K.; Ahn, B.-C. Biomedical Applications of Fucoidan, Seaweed Polysaccharides. In Seaweed Polysaccharides; Elsevier: Amsterdam, The Netherlands, 2017; pp. 269–281. [Google Scholar]
- Zargarzadeh, M.; Amaral, A.J.R.; Custódio, C.A.; Mano, J.F. Biomedical applications of laminarin. Carbohydr. Polym. 2020, 232, 115774. [Google Scholar] [CrossRef]
- Szekalska, M.; Puciłowska, A.; Szymańska, E.; Ciosek, P.; Winnicka, K. Alginate: Current Use and Future Perspectives in Pharmaceutical and Biomedical Applications. Int. J. Polym. Sci. 2016, 2016, 7697031. [Google Scholar] [CrossRef] [Green Version]
- Basu, S.; Pacelli, S.; Paul, A. Self-healing DNA-based injectable hydrogels with reversible covalent linkages for controlled drug delivery. Acta Biomater. 2020, 105, 159–169. [Google Scholar] [CrossRef]
- Skriptsova, A.V.; Shevchenko, N.M.; Tarbeeva, D.V.; Zvyagintseva, T.N. Comparative Study of Polysaccharides from Reproductive and Sterile Tissues of Five Brown Seaweeds. Mar. Biotechnol. 2012, 14, 304–311. [Google Scholar] [CrossRef]
- Indergaard, M.; Skjåk-Bræk, G.; Jensen, A. Studies on the Influence of Nutrients on the Composition and Structure of Alginate in Laminaria saccharina (L.) Lamour. (Laminariales, Phaeophyceae). Bot. Mar. 1990, 33, 277–288. [Google Scholar] [CrossRef]
- Yu, Y.; Leng, C.; Liu, Z.; Jia, F.; Zheng, Y.; Yuan, K.; Yan, S. Preparation and characterization of biosurfactant based on hydrophobically modified alginate. Colloid J. 2014, 76, 622–627. [Google Scholar] [CrossRef]
- Yang, J.; He, W. Synthesis of lauryl grafted sodium alginate and optimization of the reaction conditions. Int. J. Biol. Macromol. 2012, 50, 428–431. [Google Scholar] [CrossRef] [PubMed]
- Grant, G.T.; Morris, E.R.; Rees, D.A.; Smith, P.J.C.; Thom, D. Biological interactions between polysaccharides and divalent cations: The egg-box model. FEBS Lett. 1973, 32, 195–198. [Google Scholar] [CrossRef] [Green Version]
- Deniaud-Bouët, E.; Hardouin, K.; Potin, P.; Kloareg, B.; Hervé, C. A review about brown algal cell walls and fucose-containing sulfated polysaccharides: Cell wall context, biomedical properties and key research challenges. Carbohydr. Polym. 2017, 175, 395–408. [Google Scholar] [CrossRef]
- Fernando, I.P.S.; Sanjeewa, K.K.A.; Samarakoon, K.W.; Lee, W.W.; Kim, H.S.; Kang, N.; Ranasinghe, P.; Lee, H.S.; Jeon, Y.J. A fucoidan fraction purified from Chnoospora minima; a potential inhibitor of LPS-induced inflammatory responses. Int. J. Biol. Macromol. 2017, 104, 1185–1193. [Google Scholar] [CrossRef]
- Kadam, S.U.; Tiwari, B.K.; O’Donnell, C.P. Extraction, structure and biofunctional activities of laminarin from brown algae. Int. J. Food Sci. Technol. 2015, 50, 24–31. [Google Scholar] [CrossRef]
- Descroix, K.; Ferrières, V.; Jamois, F.; Yvin, J.-C.; Plusquellec, D. Recent progress in the field of β-(1,3)-glucans and new applications. Mini-Rev. Med. Chem. 2006, 6, 1341–1349. [Google Scholar] [CrossRef]
- Legentil, L.; Paris, F.; Ballet, C.; Trouvelot, S.; Daire, X.; Vetvicka, V.; Ferrières, V. Molecular interactions of β-(1→3)-glucans with their receptors. Molecules 2015, 20, 9745–9766. [Google Scholar] [CrossRef]
- Lahaye, M.; Robic, A. Structure and function properties of Ulvan, a polysaccharide from green seaweeds. Biomacromolecules 2007, 8, 1765–1774. [Google Scholar] [CrossRef]
- Brading, J.W.E.; Georg-Plant, M.M.T.; Hardy, D.M. The polysaccharide from the alga Ulva lactuca. Purification, hydrolysis, and methylation of the polysaccharide. J. Chem. Soc. 1954, 319–324. [Google Scholar] [CrossRef]
- Quemener, B.; Lahaye, M.; Bobin-Dubigeon, C. Sugar determination in ulvans by a chemical-enzymatic method coupled to high performance anion exchange chromatography. J. Appl. Phycol. 1997, 9, 179–188. [Google Scholar] [CrossRef]
- Bernkop-Schnürch, A.; Dünnhaupt, S. Chitosan-based drug delivery systems. Eur. J. Pharm. Biopharm. 2012, 81, 463–469. [Google Scholar] [CrossRef] [PubMed]
- Francis Suh, J.K.; Matthew, H.W.T. Application of chitosan-based polysaccharide biomaterials in cartilage tissue engineering: A review. Biomaterials 2000, 21, 2589–2598. [Google Scholar] [CrossRef]
- Logithkumar, R.; Keshavnarayan, A.; Dhivya, S.; Chawla, A.; Saravanan, S.; Selvamurugan, N. A review of chitosan and its derivatives in bone tissue engineering. Carbohydr. Polym. 2016, 151, 172–188. [Google Scholar] [CrossRef]
- Jang, M.K.; Kong, B.G.; Jeong, Y.I.; Lee, C.H.; Nah, J.W. Physicochemical characterization of α-chitin, β-chitin, and γ-chitin separated from natural resources. J. Polym. Sci. Pol. Chem. 2004, 42, 3423–3432. [Google Scholar] [CrossRef]
- Blackwell, J. Structure of a-chitin or parallel chain systems of poly-b-(1,4)-N-acetyl-D-glucosamine. Biopolymers 1969, 7, 281–298. [Google Scholar] [CrossRef] [PubMed]
- Santos, V.P.; Marques, S.S.; Maia, C.S.V.; Antonio, M.; Lima, B.D.; Franco, L.D.O. Seafood Waste as Attractive Source of Chitin and Chitosan Production and Their Applications. Int. J. Mol. Sci. 2020, 21, 4290. [Google Scholar] [CrossRef] [PubMed]
- Sugiyama, J.; Boisset, C.; Hashimoto, M.; Watanabe, T. Molecular directionality of β-chitin biosynthesis. J. Mol. Biol. 1999, 286, 247–255. [Google Scholar] [CrossRef] [PubMed]
- Kurita, K.; Ishii, S.; Tomita, K.; Nishimura, S.I.I.; Shimoda, K. Reactivity characteristics of squid β-chitin as compared with those of shrimp chitin: High potentials of squid chitin as a starting material for facile chemical modifications. J. Polym. Sci. Pol. Chem. 1994, 32, 1027–1032. [Google Scholar] [CrossRef]
- Kurita, K.; Tomita, K.; Ishii, S.; Nishimura, S.I.I.; Shimoda, K. β-chitin as a convenient starting material for acetolysis for efficient preparation of N-acetylchitooligosaccharides. J. Polym. Sci. Pol. Chem. 1993, 31, 2393–2395. [Google Scholar] [CrossRef]
- Kurita, K.; Tomita, K.; Tada, T.; Ishii, S.; Nishimura, S.I.I.; Shimoda, K. Squid chitin as a potential alternative chitin source: Deacetylation behavior and characteristic properties. J. Polym. Sci. Pol. Chem. 1993, 31, 485–491. [Google Scholar] [CrossRef]
- Yaneva, Z.; Ivanova, D.; Nikolova, N.; Tzanova, M. The 21st century revival of chitosan in service to bio-organic chemistry. Biotechnol. Biotech. Eq. 2020, 34, 221–237. [Google Scholar] [CrossRef]
- Czechowska-Biskup, R.; Jarosińska, D.; Rokita, B.; Ulański, P.; Rosiak, J.M. Determination of degree of deacetylation of chitosan—Comparision of methods. Prog. Chem. Appl. Chitin Deriv. 2012, 17, 5–20. [Google Scholar]
- Javadzadeh, Y.; Hamedeyaz, S. Trends in Helicobacter Pylori Infection; InTech: London, UK, 2014. [Google Scholar] [CrossRef] [Green Version]
- Jiang, Y.P.; Guo, X.K.; Chen, Y. O-Succinyl derivative of ι-carrageenan fragments: Synthesis and characterization. Carbohydr. Polym. 2007, 68, 457–464. [Google Scholar] [CrossRef]
- Phillips, D.L.; Xing, J.; Chong, C.K.; Liu, H.; Corke, H. Determination of the degree of succinylation in diverse modified starches by Raman spectroscopy. J. Agric. Food Chem. 2000, 48, 5105–5108. [Google Scholar] [CrossRef]
- El Fray, M.; Niemczyk, A.; Pabin-Szafko, B. Chemical modification of chitosan with fatty acids. Prog. Chem. Appl. Chitin Deriv. 2012, 17, 29–36. [Google Scholar]
- Kurita, Y.; Isogai, A. N-Alkylations of chitosan promoted with sodium hydrogen carbonate under aqueous conditions. Int. J. Biol. Macromol. 2012, 50, 741–746. [Google Scholar] [CrossRef] [PubMed]
- Jiang, Y. O-Acylated Carrageenan Oligosaccharide Chelated Calcium and Preparation Method Thereof. CN106279306. 2017. Available online: https://worldwide.espacenet.com/publicationDetails/biblio?DB=EPODOC&II=0&ND=3&adjacent=true&locale=en_EP&FT=D&date=20170104&CC=CN&NR=106279306A&KC=A# (accessed on 22 July 2021).
- Jiang, Y.P.; Guo, X.K.; Tian, X.F.; Backman, I.; Jansson, E.; Kenne, L.; Jansson, P.; Kenne, L.; Jansson, E.; Kenne, L.; et al. Synthesis and NMR structural analysis of O-succinyl derivative of low-molecular-weight κ-carrageenan. Carbohydr. Polym. 2005, 61, 399–406. [Google Scholar] [CrossRef]
- Jiang, Y.-P.; Guo, X.-K. O-maleoyl derivative of low-molecular-weight κ-carrageenan: Synthesis and characterization. Carbohydr. Polym. 2005, 61, 441–445. [Google Scholar] [CrossRef]
- Yamada, T.; Ogamo, A.; Saito, T.; Uchiyama, H.; Nakagawa, Y. Preparation of O-acylated low-molecular-weight carrageenans with potent anti-HIV activity and low anticoagulant effect. Carbohydr. Polym. 2000, 41, 115–120. [Google Scholar] [CrossRef]
- Prasad, K.; Trivedi, K.; Meena, R.; Siddhanta, A.K. Physical modification of agar: Formation of agar-fatty acid complexes. Polym. J. 2005, 37, 826–832. [Google Scholar] [CrossRef] [Green Version]
- Zhang, N.; Wang, J.; Ye, J.; Zhao, P.; Xiao, M. Oxyalkylation modification as a promising method for preparing low-melting-point agarose. Int. J. Biol. Macromol. 2018, 117, 696–703. [Google Scholar] [CrossRef]
- Zhang, X.; Liu, X.; Cao, M.; Xia, K.; Zhang, Y. Preparation of hydroxypropyl agars and their properties. Carbohydr. Polym. 2015, 129, 87–91. [Google Scholar] [CrossRef]
- Wang, J.; Liu, L.; Zhang, Q.; Zhang, Z.; Qi, H.; Li, P. Synthesized oversulphated, acetylated and benzoylated derivatives of fucoidan extracted from Laminaria japonica and their potential antioxidant activity in vitro. Food Chem. 2009, 114, 1285–1290. [Google Scholar] [CrossRef]
- Soeda, S.; Ishida, S.; Honda, O.; Shimeno, H.; Nagamatsu, A. Aminated fucoidan promotes the invasion of 3 LL cells through reconstituted basement membrane: Its possible mechanism of action. Cancer Lett. 1994, 85, 133–138. [Google Scholar] [CrossRef]
- Wang, J.; Zhang, Q.; Zhang, Z.; Zhang, J.; Li, P. Synthesized phosphorylated and aminated derivatives of fucoidan and their potential antioxidant activity in vitro. Int. J. Biol. Macromol. 2009, 44, 170–174. [Google Scholar] [CrossRef]
- Paris, F.; Trouvelot, S.; Jubien, M.; Lecollinet, G.; Joubert, J.M.; Chiltz, A.; Héloir, M.C.; Negrel, J.; Adrian, M.; Legentil, L.; et al. Hydrophobized laminarans as new biocompatible anti-oomycete compounds for grapevine protection. Carbohydr. Polym. 2019, 225, 115224. [Google Scholar] [CrossRef]
- Labre, F.; Mathieu, S.; Chaud, P.; Morvan, P.-Y.; Vallée, R.; Helbert, W.; Fort, S. DMTMM-mediated amidation of alginate oligosaccharides aimed at modulating their interaction with proteins. Carbohydr. Polym. 2018, 184, 427–434. [Google Scholar] [CrossRef]
- Morelli, A.; Betti, M.; Puppi, D.; Chiellini, F. Design, preparation and characterization of ulvan based thermosensitive hydrogels. Carbohydr. Polym. 2016, 136, 1108–1117. [Google Scholar] [CrossRef]
- Morelli, A.; Massironi, A.; Puppi, D.; Creti, D.; Domingo Martinez, E.; Bonistalli, C.; Fabroni, C.; Morgenni, F.; Chiellini, F. Development of ulvan-based emulsions containing flavour and fragrances for food and cosmetic applications. Flavour Frag. J. 2019, 34, 411–425. [Google Scholar] [CrossRef]
- Qi, H.; Liu, X.; Zhang, J.; Duan, Y.; Wang, X.; Zhang, Q. Synthesis and antihyperlipidemic activity of acetylated derivative of ulvan from Ulva pertusa. Int. J. Biol. Macromol. 2012, 50, 270–272. [Google Scholar] [CrossRef]
- Ranson, M.; Gutierrez, G.; Brault, D.; Deit, H.; Pares, X.; Alfos, C. Produit Résultant de Greffage de Chaines Grasses sur des Ulvanes et leur Utilisation Comme Tensioactif. WO 2007/045795. 2007. Available online: https://worldwide.espacenet.com/publicationDetails/biblio?DB=EPODOC&II=0&ND=3&adjacent=true&locale=en_EP&FT=D&date=20070420&CC=FR&NR=2892119A1&KC=A1# (accessed on 22 July 2021).
- Li, W.; Peng, H.; Ning, F.; Yao, L.; Luo, M.; Zhao, Q.; Zhu, X.; Xiong, H. Amphiphilic chitosan derivative-based core-shell micelles: Synthesis, characterisation and properties for sustained release of Vitamin D3. Food Chem. 2014, 152, 307–315. [Google Scholar] [CrossRef] [PubMed]
- Liang, N.; Sun, S.; Li, X.; Piao, H.; Piao, H.; Cui, F.; Fang, L. α-Tocopherol succinate-modified chitosan as a micellar delivery system for paclitaxel: Preparation, characterization and in vitro/in vivo evaluations. Int. J. Pharm. 2012, 423, 480–488. [Google Scholar] [CrossRef]
- Broderick, E.; Lyons, H.; Pembroke, T.; Byrne, H.; Murray, B.; Hall, M. The characterisation of a novel, covalently modified, amphiphilic alginate derivative, which retains gelling and non-toxic properties. J. Colloid Interf. Sci. 2006, 298, 154–161. [Google Scholar] [CrossRef] [PubMed]
- Wu, M.; Ni, C.; Yao, B.; Zhu, C.; Huang, B.; Zhang, L. Covalently cross-linked and hydrophobically modified alginic acid hydrogels and their application as drug carriers. Polym. Eng. Sci. 2013, 53, 1583–1589. [Google Scholar] [CrossRef]
- Yang, J.S.; Zhou, Q.Q.; He, W. Amphipathicity and self-assembly behavior of amphiphilic alginate esters. Carbohydr. Polym. 2013, 92, 223–227. [Google Scholar] [CrossRef]
- Yang, L.; Zhang, B.; Wen, L.; Liang, Q.; Zhang, L. Amphiphilic cholesteryl grafted sodium alginate derivative: Synthesis and self-assembly in aqueous solution. Carbohydr. Polym. 2007, 68, 218–225. [Google Scholar] [CrossRef]
- Della Valle, F.; Romeo, A. Polysaccharide Esters and Their Salts. U.S. Patent 0339919, 19 April 1990. [Google Scholar]
- Babak, V.G.; Skotnikova, E.A.; Lukina, I.G.; Pelletier, S.; Hubert, P.; Dellacherie, E. Hydrophobically associating alginate derivatives: Surface tension properties of their mixed aqueous solutions with oppositely charged surfactants. J. Colloid Interf. Sci. 2000, 225, 505–510. [Google Scholar] [CrossRef] [PubMed]
- Schleeh, T.; Madau, M.; Roessner, D. Synthesis enhancements for generating highly soluble tetrabutylammonium alginates in organic solvents. Carbohydr. Polym. 2014, 114, 493–499. [Google Scholar] [CrossRef] [PubMed]
- Pelletier, S.; Hubert, P.; Lapicque, F.; Payan, E.; Dellacherie, E. Amphiphilic derivatives of sodium alginate and hyaluronate: Synthesis and physico-chemical properties of aqueous dilute solutions. Carbohydr. Polym. 2000, 43, 343–349. [Google Scholar] [CrossRef]
- Pawar, S.N.; Edgar, K.J. Alginate esters via chemoselective carboxyl group modification. Carbohydr. Polym. 2013, 98, 1288–1296. [Google Scholar] [CrossRef] [PubMed]
- Ji, Z.; Tang, Y.; Wang, C.; Yang, J. Preparation of submicron capsules containing fragrance and their application as emulsifier. Polym. Bull. 2021, 78, 1821–1833. [Google Scholar] [CrossRef]
- Yan, Y.; Tai, A.; Iwaoka, Y.; Mori, T.; Ito, H.; Abdulmalek, E.; Hamidon, N.F.; Abdul Rahman, M.B.; Ferrer, M.; Cruces, M.A.; et al. Lipase mediated synthesis of sugar fatty acid esters. J. Mol. Cat. B 2015, 46, 3475–3489. [Google Scholar]
- Yang, J.; Liu, L.; Han, S. Preparation of octyl-grafted alginate-amide gel particle and its application in Pickering emulsion. Colloids Surf. A Physicochem. Eng. Asp. 2017, 529, 320–327. [Google Scholar] [CrossRef]
- Yang, J.S.; Ren, H.B.; Xie, Y.J. Synthesis of amidic alginate derivatives and their application in microencapsulation of λ-cyhalothrin. Biomacromolecules 2011, 12, 2982–2987. [Google Scholar] [CrossRef]
- Xu, S.; Liang, W.; Xu, G.; Huang, C.; Zhang, J.; Lang, M. A fast and dual crosslinking hydrogel based on vinyl ether sodium alginate. Appl. Surf. Sci. 2020, 515, 145811. [Google Scholar] [CrossRef]
- Vallée, F.; Müller, C.; Durand, A.; Schimchowitsch, S.; Dellacherie, E.; Kelche, C.; Cassel, J.C.; Leonard, M. Synthesis and rheological properties of hydrogels based on amphiphilic alginate-amide derivatives. Carbohydr. Res. 2009, 344, 223–228. [Google Scholar] [CrossRef] [PubMed]
- Li, M.; Mondrinos, M.J.; Chen, X.; Gandhi, M.R.; Ko, F.K.; Lelkes, P.I. Elastin Blends for Tissue Engineering Scaffolds. J. Biomed. Mater. Res. A 2006, 79, 963–973. [Google Scholar] [CrossRef]
- Bu, H.; Kjøniksen, A.-L.; Knudsen, K.D.; Nyström, B. Rheological and structural properties of aqueous alginate during gelation via the Ugi multicomponent condensation reaction. Biomacromolecules 2004, 5, 1470–1479. [Google Scholar] [CrossRef] [PubMed]
- Yan, H.; Chen, X.; Li, J.; Feng, Y.; Shi, Z.; Wang, X.; Lin, Q. Synthesis of alginate derivative via the Ugi reaction and its characterization. Carbohydr. Polym. 2016, 136, 757–763. [Google Scholar] [CrossRef] [PubMed]
- Zhao, X.; Yu, G.; Li, J.; Feng, Y.; Zhang, L.; Peng, Y.; Tang, Y.; Wang, L. Eco-Friendly Pickering Emulsion Stabilized by Silica Nanoparticles Dispersed with High-Molecular-Weight Amphiphilic Alginate Derivatives. ACS Sustain. Chem. Eng. 2018, 6, 4105–4114. [Google Scholar] [CrossRef]
- Wolff, I.A.; Olds, D.W.; Hilbert, G.E. The Acylation of Corn Starch, Amylose and Amylopectin. J. Am. Chem. Soc. 1951, 73, 346–349. [Google Scholar] [CrossRef]
- Le Tien, C.; Lacroix, M.; Ispas-Szabo, P.; Mateescu, M.A. N-acylated chitosan: Hydrophobic matrices for controlled drug release. J. Control. Release 2003, 93, 1–13. [Google Scholar] [CrossRef]
- Falkeborg, M.; Guo, Z. Dodecenyl succinylated alginate (DSA) as a novel dual-function emulsifier for improved fish oil-in-water emulsions. Food Hydrocoll. 2015, 46, 10–18. [Google Scholar] [CrossRef]
- Falkeborg, M.; Paitaid, P.; Shu, A.N.; Pérez, B.; Guo, Z. Dodecenyl succinylated alginate as a novel material for encapsulation and hyperactivation of lipases. Carbohydr. Polym. 2015, 133, 194–202. [Google Scholar] [CrossRef]
- Rao, C.S.; Prakasham, R.S.; Rao, A.B.; Yadav, J.S. Functionalized alginate as immobilization matrix in enantioselective l (+) lactic acid production by Lactobacillus delbrucekii. Appl. Biochem. Biotechnol. 2008, 149, 219–228. [Google Scholar] [CrossRef]
- Pawar, S.N.; Edgar, K.J. Chemical modification of alginates in organic solvent systems. Biomacromolecules 2011, 12, 4095–4103. [Google Scholar] [CrossRef]
- Kapishon, V.; Whitney, R.A.; Champagne, P.; Cunningham, M.F.; Neufeld, R.J. Polymerization induced self-assembly of alginate based amphiphilic graft copolymers synthesized by single electron transfer living radical polymerization. Biomacromolecules 2015, 16, 2040–2048. [Google Scholar] [CrossRef]
- Tosh, B.; Saikia, C.N.; Dass, N.N. Homogeneous esterification of cellulose in the lithium chloride-N,N-dimethylacetamide solvent system: Effect of temperature and catalyst. Carbohydr. Res. 2000, 327, 345–352. [Google Scholar] [CrossRef]
- Hirano, S.; Ohe, Y.; Ono, H. Selective N-acylation of chitosan. Carbohydr. Res. 1976, 47, 315–320. [Google Scholar] [CrossRef]
- Yalpani, M.; Hall, L.D. Some Chemical and Analytical Aspects Of Polysaccharide Modifications.1 3. Formation of Branched-Chain, Soluble Chitosan Derivatives2. Macromolecules 1984, 17, 272–281. [Google Scholar] [CrossRef]
- Hall, L.D.; Holme, K.R. Tailored-rheology: Chitosan derivatives with branched pendant sugar chains. J. Chem. Soc. Chem. Comm. 1986, 217–218. [Google Scholar] [CrossRef]
- Huo, M.; Zhang, Y.; Zhou, J.; Zou, A.; Yu, D.; Wu, Y.; Li, J.; Li, H. Synthesis and characterization of low-toxic amphiphilic chitosan derivatives and their application as micelle carrier for antitumor drug. Int. J. Pharm. 2010, 394, 162–173. [Google Scholar] [CrossRef]
- Cok, M.; Viola, M.; Vecchies, F.; Sacco, P.; Furlani, F.; Marsich, E.; Donati, I. N-isopropyl chitosan. A pH- and thermo-responsive polysaccharide for gel formation. Carbohydr. Polym. 2020, 230, 115641. [Google Scholar] [CrossRef] [PubMed]
- Zhou, Y.; Shi, H.; Zhao, Y.; Men, Y.; Jiang, S.; Rottstegge, J.; Wang, D. Confined crystallization and phase transition in semi-rigid chitosan containing long chain alkyl groups. CrystEngComm 2011, 13, 561–567. [Google Scholar] [CrossRef]
- Almeida, A.; Araújo, M.; Novoa-Carballal, R.; Andrade, F.; Gonçalves, H.; Reis, R.L.; Lúcio, M.; Schwartz, S.; Sarmento, B. Novel amphiphilic chitosan micelles as carriers for hydrophobic anticancer drugs. Mat. Sci. Eng. C 2020, 112, 110920. [Google Scholar] [CrossRef]
- Chen, X.-G.; Lee, C.M.; Park, H.-J. O/W Emulsification for the Self-Aggregation and Nanoparticle Formation of Linoleic AcidModified Chitosan in the Aqueous System. J. Agric. Food Chem. 2003, 51, 3135–3139. [Google Scholar] [CrossRef]
- Yoshioka, H.; Kazama, S.; Tanizawa, H.; Hirota, S.; Kamiya, M. Sulfated N-Myristoyl Chitosan as a Surface Modifier of Liposomes. Biosci. Biotechnol. Biochem. 1993, 57, 1053–1057. [Google Scholar] [CrossRef]
- Layek, B.; Singh, J. Caproic acid grafted chitosan cationic nanocomplexes for enhanced gene delivery: Effect of degree of substitution. Int. J. Pharm. 2013, 447, 182–191. [Google Scholar] [CrossRef]
- Vasnev, V.A.; Tarasov, A.I.; Markova, G.D.; Vinogradova, S.V.; Garkusha, O.G. Synthesis and properties of acylated chitin and chitosan derivatives. Carbohydr. Polym. 2006, 64, 184–189. [Google Scholar] [CrossRef]
- Argüelles-Monal, W.M.; Lizardi-Mendoza, J.; Fernández-Quiroz, D.; Recillas-Mota, M.T.; Montiel-Herrera, M. Chitosan derivatives: Introducing new functionalities with a controlled molecular architecture for innovative materials. Polymers 2018, 10, 342. [Google Scholar] [CrossRef] [Green Version]
- Silva, S.S.; Mano, J.F.; Reis, R.L. Ionic liquids in the processing and chemical modification of chitin and chitosan for biomedical applications. Green Chem. 2017, 19, 1208–1220. [Google Scholar] [CrossRef]
- Liu, Y.; Huang, Y.; Boamah, P.O.; Cao, L.; Zhang, Q.; Lu, Z.; Li, H. Homogeneous synthesis of linoleic acid-grafted chitosan oligosaccharide in ionic liquid and its self-assembly performance in aqueous solution. J. Appl. Polym. Sci. 2015, 132, 1–8. [Google Scholar] [CrossRef]
- de Oliveira Pedro, R.; Schmitt, C.C.; Neumann, M.G. Syntheses and characterization of amphiphilic quaternary ammonium chitosan derivatives. Carbohydr. Polym. 2016, 147, 97–103. [Google Scholar] [CrossRef] [PubMed]
- de Oliveira Pedro, R.; Takaki, M.; Gorayeb, T.C.C.; Bianchi, V.L.D.; Thomeo, J.C.; Tiera, M.J.; de Oliveira Tiera, V.A. Synthesis, characterization and antifungal activity of quaternary derivatives of chitosan on Aspergillus flavus. Microbiol. Res. 2013, 168, 50–55. [Google Scholar] [CrossRef] [PubMed]
- Viega De Souza, R.H.F.V.; Takaki, M.; De Oliveira Pedro, R.; Gabriel, J.D.S.; Tiera, M.J.; De Oliveira Tiera, V.A. Hydrophobic effect of amphiphilic derivatives of chitosan on the antifungal activity against aspergillus flavus and aspergillus parasiticus. Molecules 2013, 18, 4437–4450. [Google Scholar] [CrossRef] [PubMed]
- Wang, W.; Meng, Q.; Li, Q.; Liu, J.; Zhou, M.; Jin, Z.; Zhao, K. Chitosan derivatives and their application in biomedicine. Int. J. Mol. Sci. 2020, 21, 487. [Google Scholar] [CrossRef] [Green Version]
- Feng, Y.; Xia, W. Preparation, characterization and antibacterial activity of water-soluble O-fumaryl-chitosan. Carbohydr. Polym. 2011, 83, 1169–1173. [Google Scholar] [CrossRef]
- Zhang, Z.; Jin, F.; Wu, Z.; Jin, J.; Li, F.; Wang, Y.; Wang, Z.; Tang, S.; Wu, C.; Wang, Y. O-acylation of chitosan nanofibers by short-chain and long-chain fatty acids. Carbohydr. Polym. 2017, 177, 203–209. [Google Scholar] [CrossRef]
- Fernando, I.P.S.; Kim, D.; Nah, J.W.; Jeon, Y.J. Advances in functionalizing fucoidans and alginates (bio)polymers by structural modifications: A review. Chem. Eng. J. 2019, 355, 33–48. [Google Scholar] [CrossRef]
- Petitou, M.; Coudert, C.; Level, M.; Lormeau, J.C.; Zuber, M.; Simenel, C.; Fournier, J.P.; Choay, J. Selectively O-acylated glycosaminoglycan derivatives. Carbohydr. Res. 1992, 236, 107–119. [Google Scholar] [CrossRef]
- Jol, C.N.; Neiss, T.G.; Penninkhof, B.; Rudolph, B.; De Ruiter, G.A. A novel high-performance anion-exchange chromatographic method for the analysis of carrageenans and agars containing 3,6-anhydrogalactose. Anal. Biochem. 1999, 268, 213–222. [Google Scholar] [CrossRef] [PubMed]
- Lawandi, J.; Rocheleau, S.; Moitessier, N. Regioselective acylation, alkylation, silylation and glycosylation of monosaccharides. Tetrahedron 2016, 72, 6283–6319. [Google Scholar] [CrossRef]
- Legentil, L.; Ferrières, V. Regioselective glycosylation: What’s new? In Chemical and Biological Approaches; RSC Carbohydrate Chemistry: Cambridge, UK, 2018; Volume 43, pp. 104–134. [Google Scholar]
- Maisano, F.; Belew, M.; Porath, J. Synthesis of new hydrophobic adsorbents based on homologous series of uncharged alkyl sulphide agarose derivatives. J. Chromatogr. A 1985, 321, 305–317. [Google Scholar] [CrossRef]
- Oscarsson, S.; Angulo-Tatis, D.; Chaga, G.; Porath, J. Amphiphilic agarose-based adsorbents for chromatography comparative study of adsorption capacities and desorption efficiencies. J. Chromatogr. A 1995, 689, 3–12. [Google Scholar] [CrossRef]
- Hjertén, S.; Yao, K.; Liu, Z.-Q.; Yang, D.; Wu, B.-L. Simple Method to Prepare Non-Charged, Amphiphilic Agarose Derivativesn for Instance ofr Hydrophobic Interaction Chromatography. J. Chromatogr. A 1986, 354, 203–210. [Google Scholar] [CrossRef]
- Sweedman, M.C.; Tizzotti, M.J.; Schäfer, C.; Gilbert, R.G. Structure and physicochemical properties of octenyl succinic anhydride modified starches: A review. Carbohydr. Polym. 2013, 92, 905–920. [Google Scholar] [CrossRef]
- Xia, K.; Liu, X.; Zhao, J.; Zhang, X. The physicochemical property characterization of agar acetate. Carbohydr. Polym. 2014, 110, 32–37. [Google Scholar] [CrossRef]
- Xiao, Q.; Chen, G.; Xiao, A. Preparation, characterization, and emulsification properties of agarose fatty acid derivatives with different hydrophobic chains. Int. J. Biol. Macromol. 2019, 141, 906–918. [Google Scholar] [CrossRef] [PubMed]
- Xiao, Q.; Weng, H.; Chen, G.; Xiao, A. Preparation and characterization of octenyl succinic anhydride modified agarose derivative. Food Chem. 2019, 279, 30–39. [Google Scholar] [CrossRef] [PubMed]
- Garcia-Vaquero, M.; Rajauria, G.; O’Doherty, J.V.; Sweeney, T. Polysaccharides from macroalgae: Recent advances, innovative technologies and challenges in extraction and purification. Food Res. Int. 2017, 99, 1011–1020. [Google Scholar] [CrossRef] [Green Version]
- Xu, P.; Zheng, G.-W.; Zong, M.-H.; Li, N.; Lou, W.-Y. Recent progress on deep eutectic solvents in biocatalysis. Bioresources Bioprocess. 2017, 4, 34. [Google Scholar] [CrossRef] [PubMed]
- Tomé, L.C.; Freire, M.G.; Rebelo, L.P.N.; Silvestre, A.J.D.; Neto, C.P.; Marrucho, I.M.; Freire, C.S.R. Surface hydrophobization of bacterial and vegetable cellulose fibers using ionic liquids as solvent media and catalysts. Green Chem. 2011, 13, 2464–2470. [Google Scholar] [CrossRef] [Green Version]
- Muljana, H.; Picchioni, F.; Heeres, H.J.; Janssen, L.P.B.M. Process-product studies on starch acetylation reactions in pressurised carbon dioxide. Starch/Staerke 2010, 62, 566–576. [Google Scholar] [CrossRef]
- Hu, H.; Li, H.; Zhang, Y.; Chen, Y.; Huang, Z.; Huang, A.; Zhu, Y.; Qin, X.; Lin, B. Green mechanical activation-assisted solid phase synthesis of cellulose esters using a co-reactant: Effect of chain length of fatty acids on reaction efficiency and structure properties of products. RSC Adv. 2015, 5, 20656–20662. [Google Scholar] [CrossRef]
- Van Den Broek, L.A.M.; Boeriu, C.G. Enzymatic synthesis of oligo- and polysaccharide fatty acid esters. Carbohydr. Polym. 2013, 93, 65–72. [Google Scholar] [CrossRef]
- Chadlia, A.; Farouk, M.H.M. Rapid homogeneous esterification of cellulose extracted from Posidonia induced by microwave irradiation. J. Appl. Polym. Sci. 2011, 119, 3372–3381. [Google Scholar] [CrossRef]
- Hinner, L.P.; Wissner, J.L.; Beurer, A.; Nebel, B.A.; Hauer, B. Homogeneous vinyl ester-based synthesis of different cellulose derivatives in 1-ethyl-3-methyl-imidazolium acetate. Green Chem. 2016, 18, 6099–6107. [Google Scholar] [CrossRef] [Green Version]
- Li, L.; Ji, F.; Wang, J.; Li, Y.; Bao, Y. Esterification degree of fructose laurate exerted by Candida antarctica lipase B in organic solvents. Enzym. Microb. Technol. 2015, 69, 46–53. [Google Scholar] [CrossRef] [PubMed]
- Ferrer, M.; Soliveri, J.; Plou, F.J.; López-Cortés, N.; Reyes-Duarte, D.; Christensen, M.; Copa-Patiño, J.L.; Ballesteros, A. Synthesis of sugar esters in solvent mixtures by lipases from Thermomyces lanuginosus and Candida antarctica B, and their antimicrobial properties. Enzym. Microb. Technol. 2005, 36, 391–398. [Google Scholar] [CrossRef] [Green Version]
- do Amaral Sampaio, N.; dos Santos, J.C.S.; de Oliveira Sancho, S.; Rodrigues, S.; Gonçalves, L.R.B.; Rodrigues, L.R.; Teixeira, J.A. Enzymatic synthesis of sugar esters and their potential as surface-active stabilizers of coconut milk emulsions. Food Hydrocoll. 2012, 27, 324–331. [Google Scholar] [CrossRef] [Green Version]
- Plou, F.J.; Cruces, M.A.; Ferrer, M.; Fuentes, G.; Pastor, E.; Bernabé, M.; Christensen, M.; Comelles, F.; Parra, J.L.; Ballesteros, A. Enzymatic acylation of di- and trisaccharides with fatty acids: Choosing the appropriate enzyme, support and solvent. J. Biotechnol. 2002, 96, 55–66. [Google Scholar] [CrossRef] [Green Version]
- Ferrer, M.; Angeles Cruces, M.; Plou, F.J.; Bernabé, M.; Ballesteros, A. A simple procedure for the regioselective synthesis of fatty acid esters of maltose, leucrose, maltotriose and n-dodecyl maltosides. Tetrahedron 2000, 56, 4053–4061. [Google Scholar] [CrossRef]
- Alissandratos, A.; Halling, P.J. Enzymatic acylation of starch. Bioresource Technol. 2012, 115, 41–47. [Google Scholar] [CrossRef]
- Gao, Y.; Wang, L.; Yue, X.; Xiong, G.; Wu, W.; Qiao, Y.; Liao, L. Physicochemical properties of lipase-catalyzed laurylation of corn starch. Starch Stärke 2014, 66, 450–456. [Google Scholar] [CrossRef]
- Karaki, N.; Aljawish, A.; Humeau, C.; Muniglia, L.; Jasniewski, J. Enzymatic modification of polysaccharides: Mechanisms, Properties, And potential applications: A review. Enzym. Microb. Technol. 2016, 90, 1–18. [Google Scholar] [CrossRef]
- Sen, S.; Puskas, J.E. Green polymer chemistry: Enzyme catalysis for polymer functionalization. Molecules 2015, 20, 9358–9379. [Google Scholar] [CrossRef] [PubMed] [Green Version]
- Kapoor, M.; Gupta, M.N. Lipase promiscuity and its biochemical applications. Process Biochem. 2012, 47, 555–569. [Google Scholar] [CrossRef]
- Ertesvåg, H. Alginate-modifying enzymes: Biological roles and biotechnological uses. Front. Microbiol. 2015, 6, 523. [Google Scholar] [PubMed] [Green Version]




















| Polysaccharides (Seaweed Sources) | Physicochemical Properties | Chemical Modifications | Applications of Modified Polysaccharides | Reference |
|---|---|---|---|---|
| Carrageenans (Red Algae) | Gelling properties (Depending on Na+/K+ Concentration) | O-acylation | HIV treatment | [42,46,47,48,49] |
| Agarans (Red Algae) | Gelling properties | O-alkylation O-acylation | Modulation of rheological and thermal properties/HPLC applications | [50,51,52] |
| Fucoidans (Brown Algae) | Highly sulfated Non-gelling polysaccharides | O-acylation | Antioxidants | [53] |
| Aminated fucoidans | Cancer treatment | [54,55] | ||
| Laminarans (Brown Algae) | Non-gelling polysaccharides | O-acylation | Antimicrobial activity | [56] |
| Alginates (Brown Algae) | Gelling properties (depending on Ca2+ concentration) | Amidation of carboxylic functions | Resistance towards alginate lyases | [57] |
| Ulvans (Green Algae) | Gelling properties | O-acylation | Surfactants, emulsifier agents, hydrogels | [58,59,60,61] |
| Chitosan (Crustacean Shell and Shellfish Wastes) | High crystallinity only soluble in acidic aqueous media | Quaternization of amine functions | Carriers for hydrophobic bioactive molecules | [62] |
| N-acylation | Micellar delivery system | [63] |
| Process | Acylating Reagent | Solvent and Reagent | Conditions | DS (%) | Reference |
|---|---|---|---|---|---|
| Ionic liquid | Acetic anhydride | 1-N-alkyl-3-methylimidazolium chlorides | 130 °C, 4–24 h | 20–98 | [125] |
| scCO2 | Vinyl laurate | Densified CO2 + NaOAc | 100 °C, 8 MPa, 1.5 h | 67 | [126] |
| Densified CO2 + Na2SO4 | 100 °C, 8 MPa, 1.5 h | 81 | [126] | ||
| Ball milling | Lauric acid | K2CO3 | 80–40 °C, 2–0.5 h | 1.48–4.12 | [127] |
| Enzymatic | lauric acid | NaOH (pH 6) + 1% lipase | 60 °C, 24 h | 3.3–15.1 | [128] |
| Microwaves | Maleic anhydride | - | 450 W, 1–5 min | 0.2–9.8 | [129] |
Publisher’s Note: MDPI stays neutral with regard to jurisdictional claims in published maps and institutional affiliations. |
© 2021 by the authors. Licensee MDPI, Basel, Switzerland. This article is an open access article distributed under the terms and conditions of the Creative Commons Attribution (CC BY) license (https://creativecommons.org/licenses/by/4.0/).
Share and Cite
Wong, T.; Brault, L.; Gasparotto, E.; Vallée, R.; Morvan, P.-Y.; Ferrières, V.; Nugier-Chauvin, C. Formation of Amphiphilic Molecules from the Most Common Marine Polysaccharides, toward a Sustainable Alternative? Molecules 2021, 26, 4445. https://doi.org/10.3390/molecules26154445
Wong T, Brault L, Gasparotto E, Vallée R, Morvan P-Y, Ferrières V, Nugier-Chauvin C. Formation of Amphiphilic Molecules from the Most Common Marine Polysaccharides, toward a Sustainable Alternative? Molecules. 2021; 26(15):4445. https://doi.org/10.3390/molecules26154445
Chicago/Turabian StyleWong, Tiphaine, Lorette Brault, Eric Gasparotto, Romuald Vallée, Pierre-Yves Morvan, Vincent Ferrières, and Caroline Nugier-Chauvin. 2021. "Formation of Amphiphilic Molecules from the Most Common Marine Polysaccharides, toward a Sustainable Alternative?" Molecules 26, no. 15: 4445. https://doi.org/10.3390/molecules26154445
APA StyleWong, T., Brault, L., Gasparotto, E., Vallée, R., Morvan, P.-Y., Ferrières, V., & Nugier-Chauvin, C. (2021). Formation of Amphiphilic Molecules from the Most Common Marine Polysaccharides, toward a Sustainable Alternative? Molecules, 26(15), 4445. https://doi.org/10.3390/molecules26154445

