Laccases: Versatile Biocatalysts for the Synthesis of Heterocyclic Cores
Abstract
1. Introduction
2. Biocatalysis with Laccases
2.1. Laccases Are Widespread Enzymes
2.2. Overall Structure of Laccases and Catalytic Mechanisms
2.3. Bacterial Versus Fungal Laccases: Redox Potential and pH Optima
2.4. Laccases-Mediated Reactions
3. Application of Laccases in Bio-Oxidative Synthesis of Heterocyclic Compounds
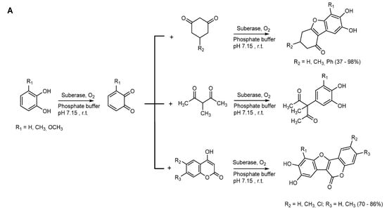
3.1. Synthesis of Five-Membered Ring Heterocycles
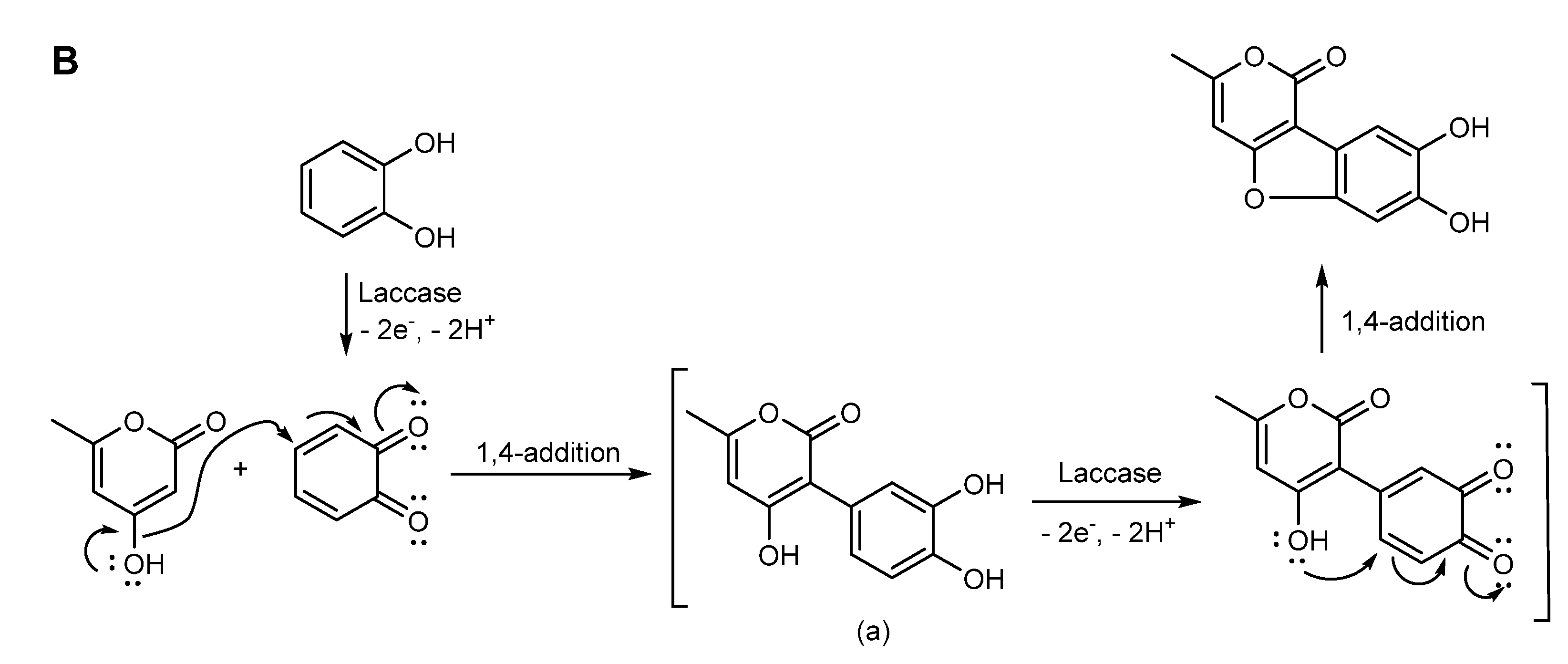
3.1.1. Synthesis of Benzofuran-Based Heterocycles
3.1.2. Synthesis of 2-Arylbenzimidazoles
3.1.3. Synthesis of Benzothiazoles
3.2. Synthesis of Six-Membered Ring Heterocycles
3.2.1. Synthesis of Quinazoline and Quinazolinone Derivatives
3.2.2. Synthesis of Phenazine Derivatives
3.2.3. Synthesis of Phenoxazine and Phenoxazinone Derivatives
3.2.4. Synthesis of Phenothiazine Derivatives
4. Final Remarks
Funding
Conflicts of Interest
References
- Balaban, A.T.; Oniciu, D.C.; Katritzky, A.R. Aromaticity as a cornerstone of heterocyclic chemistry. Chem. Rev. 2004, 104, 2777–2812. [Google Scholar] [CrossRef]
- Kalaria, P.N.; Karad, S.C.; Raval, D.K. A review on diverse heterocyclic compounds as the privileged scaffolds in antimalarial drug discovery. Eur. J. Med. Chem. 2018, 158, 917–936. [Google Scholar] [CrossRef]
- Kerru, N.; Singh-Pillay, A.; Awolade, P.; Singh, P. Current anti-diabetic agents and their molecular targets: A review. Eur. J. Med. Chem. 2018, 152, 436–488. [Google Scholar] [CrossRef]
- Pozharskii, A.F.; Soldatenkov, A.T.; Katritzky, A.R. Heterocycles in Life and Society. In An Introduction to Heterocyclic Chemistry, Biochemistry and Applications, 2nd ed.; John Wiley & Sons, Ltd.: Chichester, UK, 2011. [Google Scholar]
- Uoyama, H.; Goushi, K.; Shizu, K.; Nomura, H.; Adachi, C. Highly efficient organic light-emitting diodes from delayed fluorescence. Nature 2012, 492, 234–238. [Google Scholar] [CrossRef] [PubMed]
- Fingerle, M.; Hemgesberg, M.; Lach, S.; Thiel, W.R.; Ziegler, C. Symmetrically substituted phenothiazine as prospective candidate for UV responsive dye sensitized solar cells. Thin Solid Films 2015, 591, 8–12. [Google Scholar] [CrossRef]
- Joule, J.A.; Mills, K. Heterocyclic Chemistry, 5th ed.; John Wiley & Sons, Ltd.: Chichester, UK, 2010; p. 718. [Google Scholar]
- Kerru, N.; Maddila, S.; Jonnalagadda, S.B. Design of carbon–carbon and carbon–heteroatom bond formation reactions under green conditions. Curr. Org. Chem. 2019, 23, 3156–3192. [Google Scholar] [CrossRef]
- Kunamneni, A.; Camarero, S.; Garcia-Burgos, C.; Plou, F.J.; Ballesteros, A.; Alcalde, M. Engineering and applications of fungal laccases for organic synthesis. Microb. Cell Fact. 2008, 7, 32–49. [Google Scholar] [CrossRef]
- Maphupha, M.; Juma, W.P.; Koning, C.B.; Brady, D. A modern and practical laccase-catalysed route suitable for the synthesis of 2-arylbenzimidazoles and 2-arylbenzothiazoles. RSC Adv. 2018, 8, 39496–39510. [Google Scholar] [CrossRef]
- Bornscheuer, U.T.; Kazlauskas, R.J. Catalytic Promiscuity in Biocatalysis: Using old enzymes to form new bonds and follow new pathways. Angew. Chem. Int. Ed. 2004, 43, 6032–6040. [Google Scholar] [CrossRef] [PubMed]
- Dong, J.; Fernández-Fueyo, E.; Hollmann, F.; Paul, C.E.; Pesic, M.; Schmidt, S.; Wang, Y.; Younes, S.; Zhang, W. Biocatalytic oxidation reactions: A chemist’s perspective. Angew. Chem. Int. Ed. 2018, 57, 9238–9261. [Google Scholar] [CrossRef]
- Romero-Guido, C.; Baez, A.; Torres, E. Dioxygen activation by laccases: Green chemistry for fine chemical synthesis. Catalysts 2018, 8, 223. [Google Scholar] [CrossRef]
- Senthivelan, T.; Kanagaraj, J.; Panda, R.C. Recent trends in fungal laccase for various industrial applications: An eco-friendly approach—a review. Biotechnol. Bioprocess. Eng. 2016, 21, 19–38. [Google Scholar] [CrossRef]
- Slagman, S.; Zuilhof, H.; Franssen, M.C.R. Laccase-mediated grafting on biopolymers and synthetic polymers: A critical review. Chem. Bio. Chem. 2018, 19, 288–311. [Google Scholar] [CrossRef]
- Kudanga, T.; Nemadziva, B.; Le Roes-Hill, M. Laccase catalysis for the synthesis of bioactive compounds. Appl. Microbio. Biotechnol. 2017, 101, 13–33. [Google Scholar] [CrossRef]
- Zhang, L.; Cui, H.; Zou, Z.; Garakani, T.M.; Novoa-Henriquez, C.; Jooyeh, B.; Schwaneberg, U. Directed evolution of a bacterial Laccase (CueO) for enzymatic biofuel cells. Angew. Chem. Int. Ed. 2019, 58, 4562–4565. [Google Scholar] [CrossRef]
- Mate, D.M.; Alcalde, M. Laccase: A multi-purpose biocatalyst at the forefront of biotechnology. Microb. Biotechnol. 2017, 10, 1457–1467. [Google Scholar] [CrossRef]
- Hautphenne, C.; Penninckx, M.; Debaste, F. Product formation from phenolic compounds removal by laccases: A review. Environ. Technol. Innov. 2016, 5, 250–266. [Google Scholar]
- Witayakran, S.; Ragauskas, A.J. Synthetic applications of laccase in green chemistry. Adv. Synth. Catal. 2009, 351, 1187–1209. [Google Scholar] [CrossRef]
- Mogharabi, M.; Faramarzi, M.A. Laccase and laccase-mediated systems in the synthesis of organic compounds. Adv. Synth. Catal. 2014, 356, 897–927. [Google Scholar] [CrossRef]
- Cannatelli, M.D.; Ragauskas, A.J. Two decades of Laccases: Advancing sustainability in the Chemical Industry. Chem. Rec. 2017, 17, 122–140. [Google Scholar] [CrossRef]
- Morozova, O.V.; Shumakovich, G.P.; Shleev, S.V.; Yaropolov, Y.I. Laccase-mediator systems and their applications: A review. Appl. Biochem. Microbiol. 2007, 43, 523–535. [Google Scholar] [CrossRef]
- Sheldon, R.A.; Brady, D.; Bode, M.L. The Hitchhiker’s guide to biocatalysis: Recent advances in the use of enzymes in organic synthesis. Chem. Sci. 2020, 11, 2587–2605. [Google Scholar] [CrossRef]
- Reinhammar, B. Copper Proteins and Copper Enzymes; CRC Press: Boca Raton, FL, USA, 1984. [Google Scholar]
- Mayer, A.M.; Staples, R.C. Laccase: New functions for an old enzyme. Phytochemistry 2002, 60, 551–565. [Google Scholar] [CrossRef]
- De Marco, A.; Angelakis, K.A.R. Laccase activity could contribute to cell-wall reconstitution in regenerating protoplasts. Phytochemistry 1997, 46, 421–425. [Google Scholar] [CrossRef]
- Janusz, G.; Pawlik, A.; Swiderska-Burek, U.; Polak, J.; Sulej, J.; Jarosz-Wilkolazka, A.; Paszczynski, A. Laccase Properties, Physiological Functions, and Evolution. Int. J. Mol. Sci. 2020, 21, 966. [Google Scholar] [CrossRef] [PubMed]
- Williamson, P.R. Biochemical and molecular characterization of the diphenol oxidase of Cryptococcus-Neoformans—Identification as a Laccase. J. Bacteriol. 1994, 176, 656–664. [Google Scholar] [CrossRef] [PubMed]
- Chauhan, P.S.; Goradia, B.; Saxena, A. Bacterial laccase: Recent update on production, properties and industrial applications. 3 Biotech 2017, 7, 323–343. [Google Scholar] [CrossRef] [PubMed]
- Guan, Z.B.; Luo, Q.; Wang, H.R.; Chen, Y.; Liao, X.R. Bacterial laccases: Promising biological green tools for industrial applications. Cell. Mol. Life Sci. 2018, 75, 3569–3592. [Google Scholar] [CrossRef]
- Martins, L.O.; Durao, P.; Brissos, V.; Lindley, P.F. Laccases of prokaryotic origin: Enzymes at the interface of protein science and protein technology. Cell Mol. Life Sci. 2015, 72, 911–922. [Google Scholar] [CrossRef]
- Tonin, F.; Melis, R.; Cordes, A.; Sanchez-Amat, A.; Pollegioni, L.; Rosini, E. Comparison of different microbial laccases as tools for industrial uses. New Biotechnol. 2016, 33, 387–398. [Google Scholar] [CrossRef]
- Martins, L.O.; Melo, E.P.; Sanchez-Amat, A.; Robalo, M.P. Bacterial laccases: Some recent advances and applications. In Laccases in Bioremediation and Waste Valorisation; Schlosser, D., Ed.; Springer Nature: Cham, Switzerland, 2020; pp. 27–55. [Google Scholar]
- Hakulinen, N.; Rouvinen, J. Three-dimensional structures of laccases. Cell Mol. Life Sci. 2015, 72, 857–868. [Google Scholar] [CrossRef]
- Lindley, P.F. Multi-copper oxidases. In Handbook on Metalloproteins; Bertini, I., Sigel, A., Sigel, H., Eds.; Marcel Dekker, Inc.: New York, NY, USA, 2001; pp. 763–811. [Google Scholar]
- Solomon, E.I.; Sundaram, U.M.; Machonkin, T.E. Multicopper oxidases and oxygenases. Chem. Rev. 1996, 96, 2563–2605. [Google Scholar] [CrossRef]
- Stoj, C.S.; Kosman, D.J. Copper Proteins: Oxidases. In Encyclopedia of Inorganic Chemistry, 2nd ed.; King, R.B., Ed.; John Wiley & Sons, Inc.: Chichester, UK, 2006; Volume 2, pp. 1134–1159. [Google Scholar]
- Jones, S.M.; Solomon, E.I. Electron transfer and reaction mechanism of laccases. Cell Mol. Life Sci. 2015, 72, 869–883. [Google Scholar] [CrossRef]
- Bertrand, T.; Jolivalt, C.; Briozzo, P.; Caminade, E.; Joly, N.; Madzak, C.; Mougin, C. Crystal structure of a four-copper laccase complexed with an arylamine: Insights into substrate recognition and correlation with kinetics. Biochemistry 2002, 41, 7325–7333. [Google Scholar] [CrossRef] [PubMed]
- Enguita, F.J.; Marcal, D.; Martins, L.O.; Grenha, R.; Henriques, A.O.; Lindley, P.F.; Carrondo, M.A. Substrate and dioxygen binding to the endospore coat laccase from Bacillus subtilis. J. Biol. Chem. 2004, 279, 23472–23476. [Google Scholar] [CrossRef] [PubMed]
- Hakulinen, N.; Kiiskinen, L.L.; Kruus, K.; Saloheimo, M.; Paananen, A.; Koivula, A.; Rouvinen, J. Crystal structure of a laccase from Melanocarpus albomyces with an intact trinuclear copper site. Nat. Struct. Biol. 2002, 9, 601–605. [Google Scholar] [CrossRef] [PubMed]
- Matera, I.; Gullotto, A.; Tilli, S.; Ferraroni, M.; Scozzafava, A.; Briganti, F. Crystal structure of the blue multicopper oxidase from the white-rot fungus Trametes trogii complexed with p-toluate. Inorg. Chim. Acta 2008, 361, 4129–4137. [Google Scholar] [CrossRef]
- Durão, P.; Bento, I.; Fernandes, A.T.; Melo, E.P.; Lindley, P.F.; Martins, L.O. Perturbations of the T1 copper site in the CotA laccase from Bacillus subtilis: Structural, biochemical, enzymatic and stability studies. J. Biol. Inorg. Chem. 2006, 11, 514–526. [Google Scholar] [CrossRef]
- Hong, G.; Ivnitski, D.M.; Johnson, G.R.; Atanassov, P.; Pachter, R. Design parameters for tuning the type 1 Cu multicopper oxidase redox potential: Insight from a combination of first principles and empirical molecular dynamics simulations. J. Am. Chem. Soc. 2011, 133, 4802–4809. [Google Scholar] [CrossRef]
- Xu, F.; Palmer, A.E.; Yaver, D.S.; Berka, R.M.; Gambetta, G.A.; Brown, S.H.; Solomon, E.I. Targeted mutations in a Trametes villosa laccase—Axial perturbations of the T1 copper. J. Biol. Chem. 1999, 274, 12372–12375. [Google Scholar] [CrossRef]
- Durão, P.; Chen, Z.; Fernandes, A.T.; Hildebrandt, P.; Murgida, D.H.; Todorovic, S.; Pereira, M.M.; Melo, E.P.; Martins, L.O. Copper incorporation into recombinant CotA laccase from Bacillus subtilis: Characterization of fully copper loaded enzymes. J. Biol. Inorg. Chem. 2008, 13, 183–193. [Google Scholar] [CrossRef]
- Xu, F. Effects of redox potential and hydroxide inhibition on the pH activity profile of fungal laccases. J. Biol. Chem. 1997, 272, 924–928. [Google Scholar] [CrossRef] [PubMed]
- Rosado, T.; Bernardo, P.; Koci, K.; Coelho, A.V.; Robalo, M.P.; Martins, L.O. Methyl syringate: An efficient phenolic mediator for bacterial and fungal laccases. Bioresour. Technol. 2012, 124, 371–378. [Google Scholar] [CrossRef]
- Kallio, J.P.; Auer, S.; Janis, J.; Andberg, M.; Kruus, K.; Rouvinen, J.; Koivula, A.; Hakulinen, N. Structure-function studies of a Melanocarpus albomyces laccase suggest a pathway for oxidation of phenolic compounds. J. Mol. Biol. 2009, 392, 895–909. [Google Scholar] [CrossRef] [PubMed]
- Madzak, C.; Mimmi, M.C.; Caminade, E.; Brault, A.; Baumberger, S.; Briozzo, P.; Mougin, C.; Jolivalt, C. Shifting the optimal pH of activity for a laccase from the fungus Trametes versicolor by structure-based mutagenesis. Prot. Eng. Des. Sel. 2006, 19, 77–84. [Google Scholar] [CrossRef] [PubMed]
- d’Acunzo, F.; Galli, C. First evidence of catalytic mediation by phenolic compounds in the laccase-induced oxidation of lignin models. Eur. J. Biochem. 2003, 270, 3634–3640. [Google Scholar] [CrossRef]
- Pereira, L.; Coelho, A.V.; Viegas, C.A.; Santos, M.M.; Robalo, M.P.; Martins, L.O. Enzymatic biotransformation of the azo dye Sudan Orange G with bacterial CotA-laccase. J. Biotechnol. 2009, 139, 68–77. [Google Scholar] [CrossRef] [PubMed]
- Bourbonnais, R.; Paice, M.G. Oxidation of non-phenolic substrates. An expanded role for laccase in lignin biodegradation. FEBS Lett. 1990, 267, 99–102. [Google Scholar] [CrossRef]
- Astolfi, P.; Brandi, P.; Galli, C.; Gentili, P.; Gerini, M.F.; Greci, L.; Lanzalunga, O. New mediators for the enzyme laccase: Mechanistic features and selectivity in the oxidation of non-phenolic substrates. New J. Chem. 2005, 29, 1308–1317. [Google Scholar] [CrossRef]
- Eggert, C.; Temp, U.; Dean, J.F.D.; Eriksson, K.E.L. A fungal metabolite mediates degradation of non-phenolic lignin structures and synthetic lignin by laccase. FEBS Lett. 1996, 391, 144–148. [Google Scholar] [CrossRef]
- Johannes, C.; Majcherczyk, A. Natural mediators in the oxidation of polycyclic aromatic hydrocarbons by laccase mediator systems. Appl. Environ. Microb. 2000, 66, 524–528. [Google Scholar] [CrossRef] [PubMed]
- Maruyama, T.; Komatsu, C.; Michizoe, J.; Sakai, S.; Goto, M. Laccase-mediated degradation and reduction of toxicity of the postharvest fungicide imazalil. Proc. Biochem. 2007, 43, 459–461. [Google Scholar] [CrossRef]
- Canas, A.I.; Camarero, S. Laccases and their natural mediators: Biotechnological tools for sustainable eco-friendly processes. Biotechnol. Adv. 2010, 28, 694–705. [Google Scholar] [CrossRef] [PubMed]
- Mikolasch, A.; Hammer, E.; Jonas, U.; Popowski, K.; Stielow, A.; Schauer, F. Synthesis of 3-(3,4-dihydroxyphenyl)-propionic acid derivatives by N-coupling of amines using laccase. Tetrahedron 2002, 58, 7589–7593. [Google Scholar] [CrossRef]
- Niedermeyer, T.H.J.; Mikolasch, A.; Lalk, M. Nuclear amination catalyzed by fungal laccases: Reaction products of p-hydroquinones and primary aromatic amines. J. Org. Chem. 2005, 70, 2002–2008. [Google Scholar] [CrossRef]
- Kudanga, T.; Prasetyo, E.N.; Sipila, J.; Guebitz, G.M.; Nyanhongo, G.S. Reactivity of long chain alkylamines to lignin moieties: Implications on hydrophobicity of lignocellulose materials. J. Biotechnol. 2010, 149, 81–87. [Google Scholar] [CrossRef]
- Manda, K.; Hammer, E.; Mikolasch, A.; Niedermeyer, T.; Dec, J.; Jones, A.D.; Benesi, A.J.; Schauer, F.; Bollag, J.M. Laccase-induced crosscoupling of 4-aminobenzoic acid with para-dihydroxylated compounds 2,5-dihydroxy-N-(2-hydroxyethyl)-benzamide and 2,5-dihydroxybenzoic acid methyl esters. J. Mol. Catal. B Enzym. 2005, 35, 86–92. [Google Scholar] [CrossRef]
- Hahn, V.; Mikolasch, A.; Weitemeyer, J.; Petters, S.; Davids, T.; Lalk, M.; Lackmann, J.W.; Schauer, F. Ring-closure mechanisms mediated by laccase to synthesize phenothiazines, phenoxazines, and phenazines. ACS Omega 2020, 5, 14324–14339. [Google Scholar] [CrossRef]
- Sousa, A.C.; Oliveira, M.C.; Martins, L.O.; Robalo, M.P. Towards the rational biosynthesis of substituted phenazines and phenoxazinones by laccases. Green Chem. 2014, 16, 4127–4136. [Google Scholar] [CrossRef]
- Sousa, A.C.; Piedade, M.F.M.M.; Martins, L.O.; Robalo, M.P. An enzymatic route for the synthesis of carbazole frameworks using bacterial CotA laccase. Green Chem. 2015, 17, 1429–1433. [Google Scholar] [CrossRef][Green Version]
- Sousa, A.C.; Oliveira, M.C.; Martins, L.O.; Robalo, M.P. A Sustainable synthesis of asymmetric phenazines and phenoxazinones mediated by CotA-laccase. Adv. Synth. Catal. 2018, 360, 575–583. [Google Scholar] [CrossRef]
- Sousa, A.C.; Martins, L.O.; Robalo, M.P. Laccase-catalysed homocoupling of primary amines towards the biosynthesis of dyes. Adv. Synth. Catal. 2013, 355, 1857–1865. [Google Scholar] [CrossRef]
- Sousa, A.C.; Piedade, M.F.M.M.; Martins, L.O.; Robalo, M.P. Eco-friendly synthesis of indo dyes mediated by a bacterial laccase. Green Chem. 2016, 18, 6063–6070. [Google Scholar] [CrossRef][Green Version]
- Sousa, A.C.; Baptista, S.R.; Martins, L.O.; Robalo, M.P. Synthesis of azobenzene dyes mediated by CotA laccase. Chem. Asian J. 2019, 14, 187–193. [Google Scholar] [CrossRef] [PubMed]
- Durão, P.; Chen, Z.; Silva, C.S.; Soares, C.M.; Pereira, M.M.; Todorovic, S.; Hildebrandt, P.; Bento, I.; Lindley, P.F.; Martins, L.O. Proximal mutations at the type 1 copper site of CotA laccase: Spectroscopic, redox, kinetic and structural characterization of I494A and L386A mutants. Biochem. J. 2008, 412, 339–346. [Google Scholar] [CrossRef] [PubMed]
- Leutbecher, H.; Constantin, M.; Mika, S.; Conrad, J.; Beifuss, U. A new laccase-catalyzed domino process and its application to the efficient synthesis of 2-aryl-1H-benzimidazoles. Tetrahedron Lett. 2011, 52, 604–607. [Google Scholar] [CrossRef]
- Miao, Y.; Hu, Y.; Yang, J.; Liu, T.; Sun, J.; Wang, X. Natural source, bioactivity and synthesis of benzofuran derivatives. RSC Adv. 2019, 9, 27510–27540. [Google Scholar] [CrossRef]
- Das, A.; Banik, B.K. Dipole moment of medicinally active compounds: A sustainable approach in medicinal research: Green and sustainable approach. In Green Approaches in Medicinal Chemistry for Sustainable Drug Design, 1st ed.; Elsevier: Amsterdam, The Netherlands, 2020; Volume 26, pp. 921–964. [Google Scholar]
- Bolognese, A.; Correale, G.; Manfra, M.; Lavecchia, A.; Mazzoni, O.; Novellino, E.; Barone, V.; La Colla, P.; Loddo, R. Antitumor agents. 2. Synthesis, structure-activity relationships, and biological evaluation of substituted 5H-pyridophenoxazin-5-ones with potent antiproliferative activity. J. Med. Chem. 2002, 45, 5217–5223. [Google Scholar] [CrossRef]
- Corona, P.; Carta, A.; Loriga, M.; Vitale, G.; Paglietti, G. Synthesis and in vitro antitumor activity of new quinoxaline derivatives. Eur. J. Med. Chem. 2009, 44, 1579–1591. [Google Scholar] [CrossRef]
- Borrero, N.V.; Bai, F.; Perez, C.; Duong, B.Q.; Rocca, J.R.; Huigens, R.W. Phenazine antibiotic inspired discovery of potent bromophenazine antibacterial agents against Staphylococcus aureus and Staphylococcus epidermidis. Org. Biomol. Chem. 2014, 12, 881–886. [Google Scholar] [CrossRef]
- Leutbecher, H.; Conrad, J.; Klaiber, I.; Beifuss, U. O-Heterocycles via laccase-catalyzed domino reactions with O2 as the Oxidant. Syn. Lett. 2005, 20, 3126–3130. [Google Scholar] [CrossRef]
- Hajdok, S.; Leutbecher, H.; Greiner, G.; Conrad, J.; Beifuss, U. Laccase initiated oxidative domino reactions for the efficient synthesis of 3,4-dihydro-7,8-dihydroxy-2 H-dibenzofuran-1-ones. Tetrahedron Lett. 2007, 48, 5073–5076. [Google Scholar] [CrossRef]
- Hajdok, S.; Conrad, J.; Leutbecher, H.; Strobel, S.; Schleid, T.; Beifuss, U. The laccase-catalyzed domino reaction between catechols and heterocyclic 1,3-dicarbonyls and the unambiguous structure elucidation of the products by NMR spectroscopy and X-ray crystal structure analysis. J. Org. Chem. 2009, 74, 7230–7237. [Google Scholar] [CrossRef] [PubMed]
- Wellington, K.W.; Qwebani-Ogunleye, T.; Kolesnikova, N.I.; Brady, D.; Koning, C.B. One-pot laccase-catalysed synthesis of 5,6-dihydroxylated benzo[b]furans and catechol derivatives, and their anticancer activity. Arch. Pharm. Chem. Life Sci. 2013, 346, 266–277. [Google Scholar] [CrossRef]
- Qwebani-Ogunleye, T.; Kolesnikova, N.I.; Steenkamp, P.; Koning, C.B.; Brady, D.; Wellington, K.W. A one-pot laccase-catalysed synthesis of coumestan derivatives and their anticancer activity. Bioorg. Med. Chem. 2017, 25, 1172–1182. [Google Scholar] [CrossRef]
- Kidwai, M.; Jain, A.; Sharma, A.; Kuhad, R.C. Laccase-catalysed reaction between Meldrum’s acid and catechols/hydroquinones—An investigation. Compt. Rendus Chim. 2013, 16, 728–735. [Google Scholar] [CrossRef]
- Mogharabi, M.; Kiani, M.; Aryanejad, S.; Imanparast, S.; Amini, M.; Faramarzi, M.A. Magnetic heterogeneous biocatalyst composed of immobilized laccase and 2,2,6,6-tetramethylpiperidine-1-oxyl (TEMPO) for green one-pot cascade synthesis of 2- substituted benzimidazole and benzoxazole derivatives under mild reaction conditions. Adv. Synth. Catal. 2018, 360, 3563–3571. [Google Scholar] [CrossRef]
- Ghorashi, N.; Shokri, Z.; Moradi, R.; Abdelrasoul, A.; Rostami, A. Aerobic oxidative synthesis of quinazolinones and benzothiazoles in the presence of laccase/DDQ as a bioinspired cooperative catalytic system under mild conditions. RSC Adv. 2020, 10, 14254–14261. [Google Scholar] [CrossRef]
- Abdel-Mohsen, H.T.; Conrad, J.; Harms, K.; Nohr, D.; Beifuss, U. Laccase-catalyzed green synthesis and cytotoxic activity of novel pyrimidobenzothiazoles and catechol thioethers. RSC Adv. 2017, 7, 17427–17441. [Google Scholar] [CrossRef]
- Saadati, S.; Ghorashi, N.; Rostami, A.; Kobarfard, F. Laccase-based oxidative catalytic systems for the aerobic aromatization of tetrahydroquinazolines and related N-heterocyclic compounds under mild conditions. Eur. J. Org. Chem. 2018, 30, 4050–4057. [Google Scholar] [CrossRef]
- Shaw, S.D.; Freeman, H.S. Dyes from enzyme-mediated oxidation of aromatic amines. Text. Res. J. 2004, 74, 215–222. [Google Scholar] [CrossRef]
- Wlizło, K.; Polak, J.; Jarosz-Wilkołazkaa, A.; Pogni, R.; Petricci, E. Novel textile dye obtained through transformation of 2-amino-3-methoxybenzoic acid by free and immobilised laccase from a Pleurotus ostreatus strain. Enz. Microb. Technol. 2020, 132, 109398. [Google Scholar] [CrossRef]
- Polak, J.; Wlizło, K.; Pogni, R.; Petricci, E.; Gräz, M.; Szałapata, K.; Osínska-Jaroszuk, M.; Kapral-Piotrowska, J.; Pawlikowska-Pawlega, B.; Jarosz-Wilkolazka, A. Structure and bioactive properties of novel textile dyes synthesised by fungal laccase. Int. J. Mol. Sci. 2020, 21, 2052. [Google Scholar] [CrossRef]
- Osiadacz, J.; Al-Adhami, A.J.H.; Bajraszewska, D.; Fischer, P.; Peczynska-Czoch, W. On the use of Trametes versicolor laccase for the conversion of 4-methyl-3-hydroxyanthranilic acid to actinocin chromophore. J. Biotechnol. 1999, 72, 141–149. [Google Scholar] [CrossRef]
- Giurg, M.; Piekielska, K.; Gębala, M.; Ditkowski, B.; Wolański, M.; Peczyńska-Czoch, W.; Młochowski, J. Catalytic oxidative cyclocondensation of o-aminophenols to 2-amino-3H-phenoxazin-3-ones. Synth. Commun. 2007, 37, 1779–1789. [Google Scholar] [CrossRef]
- Bruyneel, F.; Enaud, E.; Billottet, L.; Vanhulle, S.; Marchand-Brynaert, J. Regioselective synthesis of 3-hydroxyorthanilic acid and its biotransformation into a novel phenoxazinone dye by use of laccase. Eur. J. Org. Chem. 2008, 1, 72–79. [Google Scholar] [CrossRef]
- Bruyneel, F.; Dive, G.; Marchand-Brynaert, J. Non-symmetrically substituted phenoxazinones from laccase- mediated oxidative cross-coupling of aminophenols: An experimental and theoretical insight. Org. Biomol. Chem. 2012, 10, 1834–1846. [Google Scholar] [CrossRef]
- Bruyneel, F.; Payen, O.; Rescigno, A.; Tinant, B.; Marchand-Brynaert, J. Laccase-mediated synthesis of novel substituted phenoxazine chromophores featuring tuneable water solubility. Chem. Eur. J. 2009, 15, 8283–8295. [Google Scholar] [CrossRef]
- Forte, S.; Polak, J.; Valensina, D.; Taddei, M.; Basosi, R.; Vanhulle, S.; Jarosz-Wilkolazka, A.; Pogni, R. Synthesis and structural characterization of a novel phenoxazinone dye by use of a fungal laccase. J. Mol. Catal. B Enzym. 2010, 63, 116–120. [Google Scholar] [CrossRef]
- Cannatelli, M.D.; Ragauskas, A.J. Ecofriendly syntheses of phenothiazines and related structures facilitated by laccase—a comparative study. Tetrahedron Lett. 2016, 57, 3749–3753. [Google Scholar] [CrossRef]
- Bhalerao, U.T.; Muralikrishna, C.; Rani, B.R. Laccase enzyme catalysed efficient synthesis of 3-substituted-1,2,4-triazolo(4,3-b)(4,1,2)benzothiadiazine-8-ones. Tetrahedron 1994, 50, 4019–4024. [Google Scholar] [CrossRef]
- Leutbecher, H.; Hajdok, S.; Braunberger, C.; Neumann, M.; Mika, S.; Conrad, J.; Beifuss, U. Combined action of enzymes: The first domino reaction catalyzed by Agaricus bisporus. Green Chem. 2009, 11, 676–679. [Google Scholar] [CrossRef]
- Grimmett, M.R. Imidazole and Benzimidazole Synthesis, 1st ed.; Meth-Cohn, O., Katritzky, A., Eds.; Academic Press: London, UK, 1997; p. 265. [Google Scholar]
- Alamgir, M.; Black, D.S.C.; Kumar, N. Synthesis, reactivity and biological activity of benzimidazoles. In Topics in Heterocyclic Chemistry; Gupta, R.R., Ed.; Springer: Berlin/Heidelberg, Germany, 2007; pp. 87–118. [Google Scholar]
- Gomes, P.B.; Nett, M.; Dashe, H.M.; Sattler, I.; Martin, K.; Hertweck, C. Bezerramycins A–C, antiproliferative phenoxazinones from Streptomyces griseus featuring carboxy, carboxamide or nitrile substituents. Eur. J. Org. Chem. 2010, 2, 231–235. [Google Scholar] [CrossRef]
- Crescenzi, O.; Correale, G.; Bolognese, A.; Piscopo, V.; Parrilli, M.; Barone, V. Observed and calculated 1H- and 13C-NMR chemical shifts of substituted 5H-pyrido[3,2-a]- and 5H- pyrido[2,3-a]phenoxazin-5-ones and of some 3H-phenoxazin-3-one derivatives. Org. Biomol. Chem. 2004, 2, 1577–1581. [Google Scholar] [CrossRef] [PubMed]
- Iwata, A.; Yamagucchi, T.; Sato, K.; Izumi, R.; Tomoda, A. Antiviral activity of 2-amino-4,4a-dihydro-4a,7-methyl-3H-phenoxazine-3-one on poliovirus. Tohoku J. Exp. Med. 2003, 200, 161–165. [Google Scholar] [CrossRef][Green Version]
- Schimamoto, T.; Tomoda, A.; Ishida, R.; Ohyashiki, K. Antitumor effects of a novel phenoxazine derivative on human leukemia cell lines in vitro and in vivo. Clin. Cancer Res. 2001, 7, 704–708. [Google Scholar]
- Shruti; Dwivedi, J.; Kishore, D.; Sain, S. Recent advancement in the synthesis of phenoxazine derivatives and their analogues. Synth. Commun. 2018, 48, 1377–1402. [Google Scholar] [CrossRef]
- Katsamakas, S.; Zografos, A.L.; Sarli, V. Advances of phenoxazines: Synthesis, reactivity and their medicinal applications. Curr. Med. Chem. 2016, 23, 2972–2999. [Google Scholar] [CrossRef]
- Eggert, C.; Temp, U.; Dean, J.F.D.; Eriksson, K.E.L. Laccase-mediated formation of the phenoxazinone derivative, cinnabarinic acid. FEBS Lett. 1995, 376, 202–206. [Google Scholar] [CrossRef]
- Cannatelli, M.D.; Ragauskas, A.J. Laccase-catalyzed synthesis of 2,3-ethylenedi-thio-1,4-quinones. J. Mol. Catal. B Enzym. 2015, 119, 85–89. [Google Scholar] [CrossRef]























| Product | Enzyme | Laccase Microbial Source | Commercial | Reaction Conditions | Ref. |
|---|---|---|---|---|---|
| Five-membered rings | |||||
| Benzofuran derivatives | TvL | Trametes versicolor | --1 | Acetate buffer (0.2 M), pH 4.37, r.t., 3–7 h, (51–99%) | [78] |
| AbL | Agaricus bisporus | --1 | Phosphate buffer (0.2 M), pH 6.0, r.t., 20–49 h, (88–99%) | [78] | |
| TvL | Trametes versicolor | Fluka, Buchs | Acetate buffer, pH 4.38, r.t., 5h, 67% | [79] | |
| AbL | Agaricus bisporus | Fluka, Buchs | Phosphate buffer (0.2 M), pH 5.96, r.t., 18–24 h, (70–97%) | [79] | |
| AbL | Agaricus bisporus | --1 | Phosphate buffer (0.2 M), pH 6.0, r.t., 17–24 h, (55–98%) | [80] | |
| MtL | Myceliophthora thermophila | Suberase®, Novozymes | Phosphate buffer (0.1 M), pH 7.15, r.t., 24 h, (37–98%) | [81,82] | |
| PcL | Pycnoporus cinnabarinus | --2 | O2, phosphate/citrate buffers (0.1 M), pH 7.0, HBT, r.t., 12 h, (39–65%) | [83] | |
| 2-arylbenzimidazoles | -- | -- | Novoprime Base 268, Novozymes | Acetate buffer (0.1 M): CH3CN (50:50), pH 4.0, r.t., 2–24 h, (56–88%) | [10] |
| AbL | Agaricus bisporus | Fluka | Phosphate buffer (0.2 M) or buffer: methanol (5:2), pH 6.0, r.t., 3–18 h, (50–99%) | [72] | |
| TvL | Trametes versicolor | Sigma-Aldrich | TvL: TEMPO immobilized on magnetic iron (II,III) oxide nanoparticles heterogeneous catalyst, citrate buffer (10 mM), pH 4.5, 40 °C, 10 h, (69–88%) | [84] | |
| Benzothiazole derivatives | -- | -- | Novoprime Base 268, Novozymes | Acetate buffer (0.1 M): CH3CN (50:50), pH 4.0, 25 °C, 24 h, (48–88%) | [10] |
| TvL | Trametes versicolor | Sigma-Aldrich | TvL: DDQ (10% mol) catalytic system, phosphate buffer (0.1 M):CH3CN (4%), pH 5.0, 45 °C, 24h, (65–98%) | [85] | |
| AbL | Agaricus bisporus | ASA Spezialenzyme | Phosphate buffer (0.2 M): ethanol (10%), pH 6.0, r.t., 12–28 h, (78–97%) | [86] | |
| Six-membered rings | |||||
| Quinazoline and quinazolinone derivatives | TvL | Trametes versicolor | Sigma-Aldrich | O2 or air, TvL: DDQ catalytic system, phosphate buffer (0.1 M): CH3CN (4%), pH 4.5, 45 °C, 24 h, (80–95%) | [85] |
| TvL | Trametes versicolor | Sigma-Aldrich | O2 or air, TvL: DBTC or TvL/TEMPO catalytic systems, phosphate buffer (0.1 M): CH3CN (4%), pH 4.5, 45 °C, 20–24 h, (40–96%) | [87] | |
| Phenazines | MtL | Miceliophthora termophila | --1 | Britton–Robinson buffer (0.1 M), pH 5.0, 60 °C, 1h | [88] |
| CotA- laccase | Bacillus subtilis | --2 | Phosphate buffer (0.1 M): ethanol (10%), pH 6–7, r.t., 2–24 h, (30–96%) | [65,67] | |
| PoL | Pleurotus ostreatus | --2 | Free PoL and immobilised on porous Purolite® carriers, tartrate buffer (40 mM), pH 5.5, 28 °C, 48h | [89] | |
| LAC | Cerrena unicolor | --2 | Air, tartrate buffer (0.1 M), pH 4.0–4.5, 28 °C, 72 h, (19–27%) | [90] | |
| Phenoxazines and phenoxazinones | TvL | Trametes versicolor | --2 | Free and immobilized TvL on polyacrylamide gel, phosphate buffer (0.1 M), pH 5.0, 25 °C, 1 h, (38–74%) | [91] |
| TvL | Trametes versicolor | --2 | Phosphate buffer (0.066 M): methanol (2%), pH 5.0, 20 °C, 0.5–23 h, (24–72%) | [92] | |
| TvL | Trametes versicolor | Oxyzym LA, Bioscreen e.K | Phosphate buffer (0.1 M), pH 6–7, 25 °C, 24 h, (75–90%) | [93] | |
| TvL | Trametes versicolor | Sigma-Aldrich Oxyzym LA, Bioscreen e.K | Acetate buffer (0.2 M): methanol (5%), pH 6.0, 25 °C, 16 h | [94] | |
| TvL | Trametes versicolor | Oxyzym LA, Bioscreen e.K | Acetate buffer (0.2 M): methanol (5%), pH 4–6, 25 °C, 24h, (40–93%) | [95] | |
| CuL | Cerrena unicolor | --2 | Tartrate buffer (0.1 M), pH 5, 25 °C, 24 h | [96] | |
| CotA- laccase | Bacillus subtilis | --2 | Phosphate buffer (0.1M): ethanol (10%), pH 6–7, r.t., 2–24 h, (59–97%) | [65,67] | |
| Phenothiazine derivatives | TvL | Trametes villosa | Novo Nordisk Biochem | Acetate buffer (0.1 M): methanol (15%), pH 5.0, r.t., 6 h, (24–61%) | [97] |
| Not mentioned | Sigma-Aldrich | Phosphate buffer: CH3CN (3:1), pH 6.5, 12 h, (83–95%) | [98] | ||
Publisher’s Note: MDPI stays neutral with regard to jurisdictional claims in published maps and institutional affiliations. |
© 2021 by the authors. Licensee MDPI, Basel, Switzerland. This article is an open access article distributed under the terms and conditions of the Creative Commons Attribution (CC BY) license (https://creativecommons.org/licenses/by/4.0/).
Share and Cite
Sousa, A.C.; Martins, L.O.; Robalo, M.P. Laccases: Versatile Biocatalysts for the Synthesis of Heterocyclic Cores. Molecules 2021, 26, 3719. https://doi.org/10.3390/molecules26123719
Sousa AC, Martins LO, Robalo MP. Laccases: Versatile Biocatalysts for the Synthesis of Heterocyclic Cores. Molecules. 2021; 26(12):3719. https://doi.org/10.3390/molecules26123719
Chicago/Turabian StyleSousa, Ana Catarina, Lígia O. Martins, and M. Paula Robalo. 2021. "Laccases: Versatile Biocatalysts for the Synthesis of Heterocyclic Cores" Molecules 26, no. 12: 3719. https://doi.org/10.3390/molecules26123719
APA StyleSousa, A. C., Martins, L. O., & Robalo, M. P. (2021). Laccases: Versatile Biocatalysts for the Synthesis of Heterocyclic Cores. Molecules, 26(12), 3719. https://doi.org/10.3390/molecules26123719

