[3 + n] Cycloaddition Reactions: A Milestone Approach for Elaborating Pyridazine of Potential Interest in Medicinal Chemistry and Optoelectronics
Abstract
1. Introduction
2. Results and Discussions
2.1. [3 + 2] Cycloaddition Reactions in the Pyridazinium and Phthalazinium Ylides Series
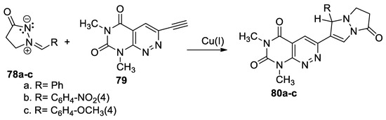
2.2. [3 + n] Cycloaddition Reactions in the Nitrile Imine series
2.3. Pyridazine Derivatives Obtained by Cycloaddition and/or by Click Reactions of Azomethine Ylides or Imines
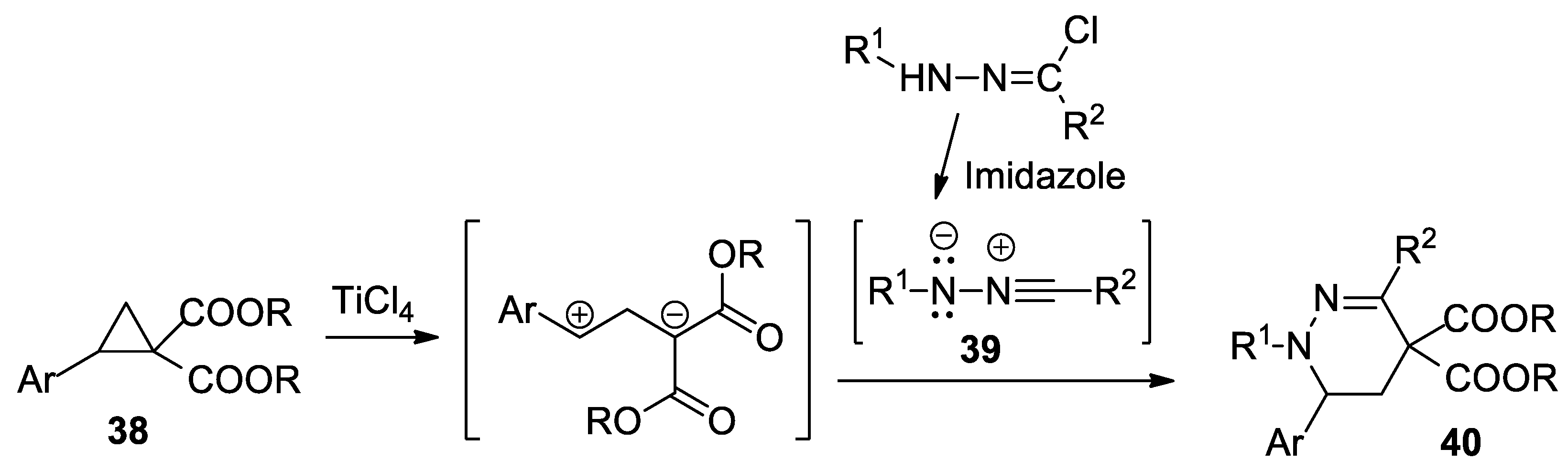
2.4. Miscellaneous [3 + n] Cycloaddition Reactions
3. Concluding Remarks
Author Contributions
Funding
Acknowledgments
Conflicts of Interest
References
- Huisgen, R.; Grashey, R.; Gotthardt, H.; Schmidt, R. 1,3-Dipolar additions of sydnones to Alkynes. A new route into the pyrazole series. Angew. Chem. Int. Ed. Engl. 1962, 1, 48–49. [Google Scholar] [CrossRef]
- Huisgen, R. 1,3-Dipolar cycloadditions. Past and future. Angew. Chem. Int. Ed. Engl. 1963, 2, 565–598. [Google Scholar] [CrossRef]
- Padwa, A. 1,3-Dipolar Cycloaddition Chemistry; Padwa, A., Houk, K.N., Yamaguchi, K., Eds.; John Wiley & Sons: New York, NY, USA, 1984; Chapters 1–3; pp. 1–450. ISBN1 047108364X. ISBN2 9780471083641. [Google Scholar]
- Zugravescu, I.; Petrovanu, M. N-Ylid-Chemistry; Mc Graw Hill: London, UK, 1976; ISBN 0-07-073080-6. [Google Scholar]
- Methoden der Organischen Chemie (Houben-Weyl). Organische Stickstoff-Verbindungen mit einer C,N-Doppelbindungen; Thieme Stuttgart: New York, NY, USA, 1991; pp. 100–1200. [Google Scholar]
- Epiotis, N.D. Theory of Organic Reactions; Springer: Berlin, Germany, 1978; ISBN 978-3-642-66827-2. [Google Scholar]
- Breugst, M.; Reissig, H.U. The Huisgen reaction: Milestones of the 1,3-dipolar cycloaddition. Angew. Chem. Int. Ed. 2020, 59, 12293–12307. [Google Scholar] [CrossRef]
- Tsuge, O.; Kanemasa, S.; Takenaka, S. Stereochemical study on 1,3-dipolar cycloaddition reactions of heteroaromatic N-ylides with symmetrically substituted cis and trans olefins. Bull. Chem. Soc. Jpn. 1985, 58, 3137–3157. [Google Scholar] [CrossRef]
- Firestone, R.A. On the mechanism of 1,3-dipolar cycloadditions. J. Org. Chem. 1968, 33, 2285–2290. [Google Scholar] [CrossRef]
- Firestone, R.A. The low energy of concert in many symmetry-allowed cycloadditions supports a stepwise-diradical mechanism. Int. J. Chem. Kinet. 2013, 45, 415–428. [Google Scholar] [CrossRef]
- Ríos-Gutiérrez, M.; Domingo, L.R. Unravelling the mysteries of the [3 + 2] cycloaddition reactions. Eur. J. Org. Chem. 2019, 267–282. [Google Scholar] [CrossRef]
- Domingo, L.R.; Ríos-Gutiérrez, M. A molecular electron density theory study of the reactivity of azomethine imine in [3 + 2] cycloaddition reactions. Molecules 2017, 22, 750. [Google Scholar] [CrossRef] [PubMed]
- Domingo, L.R. The molecular electron density theory: A modern view of molecular reactivity in organic chemistry. Molecules 2016, 21, 1319. [Google Scholar] [CrossRef]
- Domingo, L.R.; Chamorro, E.; Pérez, P. Understanding the high reactivity of the azomethineylides in [3 + 2]cycloaddition reactions. Lett. Org. Chem. 2010, 7, 432–439. [Google Scholar] [CrossRef]
- Dima, S.; Mangalagiu, I.I.; Caprosu, M.; Constantinescu, M.; Humelnicu, I.; Petrovanu, M. Stereochemistry of the cycloaddition reaction of 1-methylphthalazinium ylides to maleic and fumaric esters. J. Serb. Chem. Soc. 1997, 62, 1167–1174. [Google Scholar]
- Caprosu, M.; Mangalagiu, I.I.; Sirbu-Maftei, D.; Olariu, I.; Petrovanu, M. Studies on pyridazinium ylides. II. Stereochemistry of 3+2 dipolar cycloadditions of E-Z olefins. An. Stiint. Univ. Al. I. Cuza Iasi 1997, 5, 95–102. [Google Scholar]
- Mangalagiu, I.I.; Druta, I.; Constantinescu, M.; Humelnicu, I.; Petrovanu, M. Pyridazinium ylides. Regiochemistry. Tetrahedron 1996, 52, 8853–8862. [Google Scholar] [CrossRef]
- Mangalagiu, I.I.; Petrovanu, M. Pyridazinium ylides. Regiochemistry of addition. Acta Chim. Scand. 1997, 51, 927–931. [Google Scholar] [CrossRef][Green Version]
- Dima, S.; Mangalagiu, I.I.; Caprosu, M.; Constantinescu, M.; Humelnicu, I.; Petrovanu, M. The regiochemistry of the cycloaddition of 1-methylphthalazinium ylides to non-symmetrically substituted olefins. J. Serb. Chim. Soc. 1997, 62, 105–111. [Google Scholar]
- Caprosu, M.; Olariu, I.; Mangalagiu, I.I.; Constantinescu, M.; Petrovanu, M. The regiochemistry of the cycloaddition of 4-R-phenacylpyridazinium ylides to nonsymmetrical substituted olefins. Eur. J. Org. Chem. 1999, 12, 3501–3504. [Google Scholar] [CrossRef]
- Mangalagiu, I.I.; Mangalagiu, G.; Drochioiu, G.; Deleanu, C.; Petrovanu, M. 4-Methyl pyrimidinium ylides. Part 7: 3+2 dipolar cycloadditions to non-symmetrical substituted alkenes and alkynes. Tetrahedron 2003, 59, 111–114. [Google Scholar] [CrossRef]
- Amariucai-Mantu, D.; Mangalagiu, V.; Danac, R.; Mangalagiu, I.I. Microwave assisted reactions of azaheterocycles for medicinal chemistry applications. Molecules 2020, 25, 716. [Google Scholar] [CrossRef]
- Mangalagiu, I.I. Recent achievements in the chemistry of 1,2-diazines. Curr. Org. Chem. 2011, 15, 730–752. [Google Scholar] [CrossRef]
- Zbancioc, G.; Mangalagiu, I.I. Microwave-assisted synthesis of highly fluorescent pyrrolopyridazine derivatives. Synlett 2006, 5, 804–806. [Google Scholar] [CrossRef]
- Popovici, L.; Amarandi, R.M.; Mangalagiu, I.I.; Mangalagiu, V.; Danac, R. Synthesis, molecular modelling and anticancer evaluation of new pyrrolo[1,2-b]pyridazine and pyrrolo[2,1-a]phthalazine derivatives. J. Enz. Inhib. Med. Chem. 2019, 34, 230–243. [Google Scholar] [CrossRef] [PubMed]
- Moldoveanu, C.; Amariucai-Mantu, D.; Mangalagiu, V.; Antoci, V.; Maftei, D.; Mangalagiu, I.I.; Zbancioc, G. Microwave assisted reactions of fluorescent pyrrolodiazine building blocks. Molecules 2019, 24, 3760. [Google Scholar] [CrossRef] [PubMed]
- Zbancioc, G.; Moldoveanu, C.; Zbancioc, A.M.; Humelnicu, I.; Mangalagiu, I.I. New inside concerning microwave mechanism in cycloaddition reactions: Thermal heating versus specific effects of microwave. Rev. Roum. Chim. 2016, 61, 441–444. [Google Scholar]
- Maftei, D.; Zbancioc, G.; Humelnicu, I.; Mangalagiu, I.I. Conformational effects on the lowest excited states of benzoyl-pyrrolopyridazine: Insights from PCM time-dependent DFT. J. Phys. Chem. A 2013, 117, 3165–3175. [Google Scholar] [CrossRef] [PubMed]
- Mantu, D.; Maftei, D.; Iurea, D.; Ursu, C.; Bejan, V. Synthesis, structure, and in vitro anticancer activity of new polycyclic 1,2-diazines. Med. Chem. Res. 2014, 23, 2909–2915. [Google Scholar] [CrossRef]
- Antoci, V.; Mantu, D.; Cozna, D.G.; Ursu, C.; Mangalagiu, I.I. Hybrid anticancer 1,2-diazine derivatives with multiple mechanism of action. Part 3. Med. Hypothesis 2014, 82, 11–15. [Google Scholar] [CrossRef]
- Bejan, V.; Mantu, D.; Mangalagiu, I.I. Ultrasound and microwave assisted synthesis of isoindolo-1,2-diazine: A comparative study. Ultrason. Sonochem. 2012, 19, 999–1002. [Google Scholar] [CrossRef]
- Zbancioc, G.; Moldoveanu, C.; Zbancioc, A.M.; Mangalagiu, I.I. Microwave assisted synthesis of new pyrrolopyridazine derivatives with acetophenone skeleton. Part, V. Curr. Microw. Chem. 2014, 1, 41–46. [Google Scholar] [CrossRef]
- Zbancioc, G.; Zbancioc, A.M.; Mangalagiu, I.I. Ultrasound and microwave assisted synthesis of dihydroxyacetophenone derivatives with or without 1,2-diazine skeleton. Ultrason. Sonochem. 2014, 21, 802–811. [Google Scholar] [CrossRef]
- Zbancioc, A.M.; Miron, A.; Tuchilus, C.; Rotinberg, P.; Mihai, C.T.; Mangalagiu, I.I.; Zbancioc, G. Synthesis and in vitro analysis of novel dihydroxyacetophenone derivatives with antimicrobial and antitumor activities. Med. Chem. 2014, 10, 476–483. [Google Scholar] [CrossRef]
- Tucaliuc, R.; Cotea, V.; Niculaua, M.; Tuchilus, C.; Mantu, D.; Mangalagiu, I.I. New pyridazine–fluorine derivatives: Synthesis, chemistry and biological activity. Part II. Eur. J. Med. Chem. 2013, 67, 367–372. [Google Scholar] [CrossRef]
- Butnariu, R.; Cotea, V.; Moldoveanu, C.; Zbancioc, G.; Deleanu, C.; Jones, P.; Mangalagiu, I.I. An efficient and selective way to hybrid trifluoromethyl-substituted γ-lactones or fused nitrogen derivatives via cascade reactions. Tet. Lett. 2011, 52, 6439–6442. [Google Scholar] [CrossRef]
- Garve, L.K.B.; Petzold, M.; Jones, P.G.; Werz, D.B. [3 + 3]-Cycloaddition of donor-acceptor cyclopropanes with nitrile imines generated in situ: Access to tetrahydropyridazines. Organic Letters 2016, 18, 564–567. [Google Scholar] [CrossRef]
- Mady, M.F.; Saleh, T.S.; El-Kateb, A.A.; Abd El-Rahman, N.M.; Abd El-Moez, S.I. Microwave-assisted synthesis of novel pyrazole and pyrazolo[3,4-d]pyridazine derivatives incorporating diaryl sulfone moiety as potential antimicrobial agents. Res. Chem. Intermed. 2016, 42, 753–769. [Google Scholar] [CrossRef]
- Zaki, Y.H.; Sayed, A.R.; Elroby, S.A. Regioselectivity of 1,3-dipolar cycloadditions and antimicrobial activity of isoxazoline, pyrrolo[3,4-d]isoxazole-4,6-diones, pyrazolo[3,4-d]pyridazines and pyrazolo[1,5-a]pyrimidines. Chem. Cent. J. 2016, 10, 17. [Google Scholar] [CrossRef][Green Version]
- Eldebss, T.M.A.; Gomha, S.M.; Abdulla, M.M.; Arafa, R.K. Novel pyrrole derivatives as selective CHK1 inhibitors: Design, regioselective synthesis and molecular modeling. MedChemComm 2015, 6, 852–859. [Google Scholar] [CrossRef]
- Gomha, S.M.; Abdel-Aziz, H.A. Enaminones as building blocks in heterocyclic preparations: Synthesis of novel pyrazoles, pyrazolo-[3,4-d]pyridazines, pyrazolo[1,5-a]pyrimidines, pyrido[2,3-d]pyrimidines linked to imidazo[2,1-b]thiazole system. Heterocycles 2012, 85, 2291–2303. [Google Scholar] [CrossRef]
- Elwahy, A.H.M.; Darweesh, A.F.; Shaaban, M.R. Microwave-assisted synthesis of bis(enaminoketones): Versatile precursors for novel bis(pyrazoles) via regioselective 1,3-dipolar cycloaddition with nitrileimines. J. Het. Chem. 2012, 49, 1120–1125. [Google Scholar] [CrossRef]
- Abranyi-Balogh, P. 1,3-Dipoles: Nitrile imines, nitrile oxides and nitrile sulfides. Synlett 2012, 23, 640–641. [Google Scholar] [CrossRef]
- Richter, M.; Fu, Y.; Dmitrieva, E.; Weigand, J.J.; Popov, A.; Berger, R.; Liu, J.; Feng, X. A polycyclic aromatic hydrocarbons containing a pyrrolopyridazine core. ChemPlusChem 2019, 84, 613–618. [Google Scholar] [CrossRef] [PubMed]
- Richter, M.; Hahn, S.; Dmitrieva, E.; Rominger, F.; Popov, A.; Bunz, U.H.; Feng, X.; Berger, R. Helical ullazine-quinoxaline-based polycyclic aromatic hydrocarbons. Chem. Eur. J. 2019, 25, 1345–1352. [Google Scholar] [CrossRef]
- Xu, X.; Doyle, M.P. The [3 + 3]-cycloaddition alternative for heterocycle syntheses: Catalytically generated metalloenolcarbenes as dipolar adducts. Acc. Chem. Res. 2014, 47, 1396–1405. [Google Scholar] [CrossRef] [PubMed]
- Xu, X.; Zavalij, P.Y.; Doyle, M.P. Highly enantioselective dearomatizing formal [3 + 3] cycloaddition reactions of N-acyliminopyridinium ylides with electrophilic enol carbene intermediates. Angew. Chem. Int. Ed. 2013, 52, 12664–12668. [Google Scholar] [CrossRef] [PubMed]
- Nelina-Nemtseva, J.I.; Gulevskaya, A.V.; Suslonov, V.V.; Misharev, A.D. 1,3-Dipolar cycloaddition of azomethine imines to ethynylhetarenes: A synthetic route to 2,3-dihydropyrazolo[1,2-a]pyrazol-1(5H)-one based heterobiaryls. Tetrahedron 2018, 74, 1101–1109. [Google Scholar] [CrossRef]
- Birkenfelder, I.; Gurke, J.; Grubert, L.; Hecht, S.; Schmidt, B.M. Click chemistry derived pyridazines: Electron-deficient building blocks with defined conformation and packing structure. Chem. Asian, J. 2017, 12, 3156–3161. [Google Scholar] [CrossRef]
- Yang, W.; Fu, L.; Wu, J.; Song, C. Synthesis of pyrrol-pyridazyl-triazolyl-pyridines via Cu(I)-catalyzed azide-alkyne 1,3-dipolar cycloaddition reaction. Synthetic Comm. 2016, 46, 1118–1123. [Google Scholar] [CrossRef]
- Swarup, H.A.; Kempegowda Mantelingu, K.; Rangappa, K.S. Effective and transition-metal-free construction of disubstituted, trisubstituted 1,2,3-NH-triazoles and triazolopyridazine via intermolecular 1,3-dipolar cycloaddition reaction. ChemistrySelect 2018, 3, 703–708. [Google Scholar] [CrossRef]
- Nair, D.; Pavashe, P.; Katiyar, S.; Namboothiri, I.N.N. Regioselective synthesis of pyrazole and pyridazine esters from chalcones and α-diazo-β-ketoesters. Tetrahedron Lett. 2016, 57, 3146–3149. [Google Scholar] [CrossRef]
- Tran, G.; Gomez Pardo, D.; Tsuchiya, T.; Hilebrand, S.; Vors, J.-P.; Cossy, J. Modular, concise, and efficient synthesis of highly functionalized 5-fluoropyridazines by a [2+1]/[3 + 2]-cycloaddition sequence. Org. Lett. 2015, 17, 3414–3417. [Google Scholar] [CrossRef]
- Ben Hamadi, N.; Msaddek, M. A facile and efficient ultrasound-assisted stereospecific synthesis of novel bicyclo-cyclopropanes. CR Chim. 2012, 15, 409–413. [Google Scholar] [CrossRef]


























Publisher’s Note: MDPI stays neutral with regard to jurisdictional claims in published maps and institutional affiliations. |
© 2021 by the authors. Licensee MDPI, Basel, Switzerland. This article is an open access article distributed under the terms and conditions of the Creative Commons Attribution (CC BY) license (https://creativecommons.org/licenses/by/4.0/).
Share and Cite
Amariucai-Mantu, D.; Mangalagiu, V.; Mangalagiu, I.I. [3 + n] Cycloaddition Reactions: A Milestone Approach for Elaborating Pyridazine of Potential Interest in Medicinal Chemistry and Optoelectronics. Molecules 2021, 26, 3359. https://doi.org/10.3390/molecules26113359
Amariucai-Mantu D, Mangalagiu V, Mangalagiu II. [3 + n] Cycloaddition Reactions: A Milestone Approach for Elaborating Pyridazine of Potential Interest in Medicinal Chemistry and Optoelectronics. Molecules. 2021; 26(11):3359. https://doi.org/10.3390/molecules26113359
Chicago/Turabian StyleAmariucai-Mantu, Dorina, Violeta Mangalagiu, and Ionel I. Mangalagiu. 2021. "[3 + n] Cycloaddition Reactions: A Milestone Approach for Elaborating Pyridazine of Potential Interest in Medicinal Chemistry and Optoelectronics" Molecules 26, no. 11: 3359. https://doi.org/10.3390/molecules26113359
APA StyleAmariucai-Mantu, D., Mangalagiu, V., & Mangalagiu, I. I. (2021). [3 + n] Cycloaddition Reactions: A Milestone Approach for Elaborating Pyridazine of Potential Interest in Medicinal Chemistry and Optoelectronics. Molecules, 26(11), 3359. https://doi.org/10.3390/molecules26113359

