Controlling Topology within Halogen-Bonded Networks by Varying the Regiochemistry of the Cyclobutane-Based Nodes
Abstract
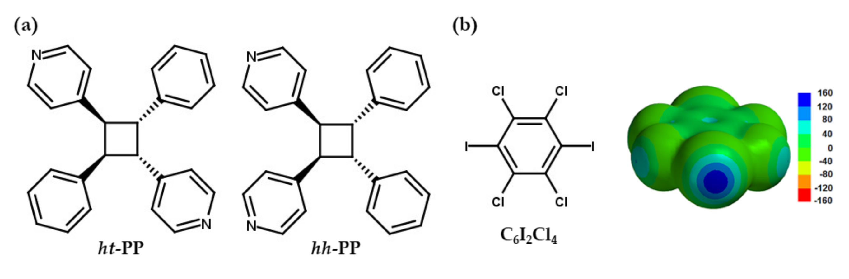
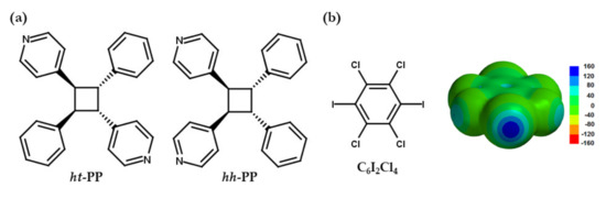
1. Introduction
2. Results and Discussion
2.1. X-ray Crytstal Strucutre of the Linear Topology within (C6I2Cl4)·(ht-PP)
2.2. X-ray Crytstal Strucutre of the Zigzag Topology within 3(C6I2Cl4)·2(hh-PP)·4(toluene)
3. Materials and Methods
3.1. Materials
3.2. General Methods
3.3. Formation of (C6I2Cl4)·(ht-PP)
3.4. Formation of ·3(C6I2Cl4)·2(hh-PP)·4(toluene)
3.5. Single-Crystal X-ray Diffraction
4. Conclusions
Supplementary Materials
Author Contributions
Funding
Institutional Review Board Statement
Informed Consent Statement
Data Availability Statement
Acknowledgments
Conflicts of Interest
Sample Availability
References
- Cavallo, G.; Metrangolo, P.; Milani, R.; Pilati, T.; Priimagi, A.; Resnati, G.; Terraneo, G. The Halogen Bond. Chem. Rev. 2016, 116, 2478–2601. [Google Scholar] [CrossRef] [PubMed]
- Teyssandier, J.; Mali, K.S.; De Feyter, S. Halogen Bonding in Two-Dimensional Crystal Engineering. ChemistryOpen 2020, 9, 225–241. [Google Scholar] [CrossRef] [PubMed]
- Saccone, M.; Catalano, L. Halogen Bonding beyond Crystals in Materials Science. J. Phys. Chem. B 2019, 123, 9281–9290. [Google Scholar] [CrossRef] [PubMed]
- Jiang, H.; Jia, J.; Shkurenko, A.; Chen, Z.; Adil, K.; Belmabkhout, Y.; Weselinski, L.J.; Assen, A.H.; Xue, D.-X.; O’Keeffe, M.; et al. Enriching the Reticular Chemistry Repertoire: Merged Nets Approach for the Rational Design of Intricate Mixed-Linker Metal-Organic Framework Platforms. J. Am. Chem. Soc. 2018, 140, 8858–8867. [Google Scholar] [CrossRef] [PubMed]
- Baldright, M.; Metrangolo, P.; Meyer, F.; Pilati, T.; Proserpio, D.; Resnati, G.; Terraneo, G. Halogen-bonded and interpenetrated networks through the self-assembly of diiodoperfluoroarene and tetrapyridyl tectons. J. Fluor. Chem. 2010, 131, 1218–1224. [Google Scholar] [CrossRef]
- Oburn, S.M.; Santana, C.L.; Elacqua, E.; Groeneman, R.H. A diamondoid net sustained by halogen bonds: Employing a cyclobutane to generate a tetrahedral architecture. CrystEngComm 2020, 22, 4349–4352. [Google Scholar] [CrossRef]
- Gan, M.-M.; Yu, J.-G.; Wang, Y.Y.; Han, Y.-F. Templated-Directed Photochemical [2 + 2] Cycloaddition in Crystalline Materials: A useful Tool to Access Cyclobutane Derivatives. Cryst. Growth Des. 2018, 18, 553–565. [Google Scholar] [CrossRef]
- Bosch, E.; Kruse, S.J.; Reinheimer, E.W.; Rath, N.P.; Groeneman, R.H. Regioselective [2 + 2] cycloaddition reaction within a pair of polymorphic co-crystals based upon halogen bonding interactions. CrystEngComm 2019, 21, 6671–6675. [Google Scholar] [CrossRef]
- Grobelny, A.L.; Rath, N.P.; Groeneman, R.H. Varying the regiochemistry of a [2 + 2] cycloaddition reaction within isostructural hydrogen bonded co-crystal containing 4-stilbazole. CrystEngComm 2018, 20, 3951–3954. [Google Scholar] [CrossRef]
- Bosch, E.; Kruse, S.J.; Krueger, H.R.; Groeneman, R.H. Role of π−π Stacking and Halogen Bonding by 1,4- Diiodoperchlorobenzene To Organize the Solid State To Achieve a [2 + 2] Cycloaddition Reaction. Cryst. Growth Des. 2019, 19, 3092–3096. [Google Scholar] [CrossRef]
- Aakeröy, C.B.; Wijethunga, T.K.; Desper, J.; Đaković, M. Crystal Engineering with Iodoethynylnitrobenzenes: A Group of Highly Effective Halogen-Bond Donors. Cryst. Growth Des. 2015, 15, 3853–3861. [Google Scholar] [CrossRef]
- Youn, I.S.; Kim, D.Y.; Cho, W.J.; Madridejos, J.M.L.; Lee, H.M.; Kolaski, M.; Lee, J.; Baig, C.; Shin, S.K.; Filatow, M.; et al. Halogen-π Interactions between Benzene and X2/CX4 (X = Cl, Br): Assessment of the Various Density Functionals with Respect to CCSD(T). J. Phys. Chem. A 2016, 120, 9305–9314. [Google Scholar] [CrossRef] [PubMed]
- Reddy, C.M.; Kirchner, M.T.; Gundakaram, R.C.; Padmannabhan, K.A.; Desiraju, G.R. Isostructurality, Polymorphism and Mechanical Properties of Some Hexahalogenated Benzenes: The Nature of Halogen⋯Halogen Interactions. Chem. Eur. J. 2006, 12, 2222–2234. [Google Scholar] [CrossRef] [PubMed]
- Shoji, K.; Takaaki, K.; Tsuyoshi, O.; Hiroko, N.; Masahiro, F. Halogenation Using Quaternary Ammonium Polyhalides IV. Selective Bromination of Phenols by Use of Tetraalkylammonium Tribromides. Bull. Chem. Soc. Jpn. 1987, 60, 4187–4189. [Google Scholar]
- Sheldrick, G.M. SHELXT—Integrated space-group and crystal-structure determination. Acta Crystallogr. 2015, 71, 3–8. [Google Scholar] [CrossRef] [PubMed]
- Sheldrick, G.M. Crystal structure refinement with SHELXL. Acta Crystallogr. 2015, 71, 3–8. [Google Scholar] [CrossRef]
- Dolomanov, O.V.; Bourhis, L.J.; Gildea, R.J.; Howard, J.A.K.; Puschmann, H. OLEX2: A complete structure solution, refinement and analysis program. J. Appl. Cryst. 2009, 42, 339–341. [Google Scholar] [CrossRef]






| Extended Network | (C6I2Cl4)·(ht-PP) | 3(C6I2Cl4)·2(hh-PP)·4(toluene) |
|---|---|---|
| Formula | C32H22Cl4I2N2 | C49H38Cl6I3N2 |
| Formula Mass (g·mol−1) | 830.11 | 1248.21 |
| Crystal system | triclinic | triclinic |
| Space group | Pī | Pī |
| a (Å) | 10.4767(2) | 9.43028(16) |
| b (Å) | 10.7864(2) | 16.7708(2) |
| c (Å) | 15.3827(2) | 17.3759(3) |
| α (°) | 106.830(1) | 62.5359(16) |
| β (°) | 93.005(1) | 79.0112(16) |
| γ (°) | 112.840(1) | 74.7415(14) |
| Z | 2 | 2 |
| V (Å3) | 1506.42(5) | 2344.69(8) |
| ρcalcd (g·cm−3) | 1.830 | 1.768 |
| T (K) | 100 | 100 |
| μ (mm−1) | 19.861 | 19.134 |
| F(000) | 804.0 | 1214.0 |
| Radiation Source | Cu Kα | Cu Kα |
| Reflections collected | 26,382 | 55,666 |
| Independent reflections | 5504 | 14,028 |
| Data/restraints/parameters | 5504/0/361 | 14,028/484/640 |
| Rint | 0.0569 | 0.0422 |
| R1 (I ≥ 2σ(I)) | 0.0325 | 0.0740 |
| wR (F2) (I ≥ 2σ(I)) | 0.0852 | 0.2187 |
| R1) (all data) | 0.0342 | 0.0848 |
| wR (F2) (all data) | 0.0865 | 0.2377 |
| Goodness-of-net on F2 | 1.036 | 1.029 |
| CCDC deposition number | 2078149 | 2078150 |
Publisher’s Note: MDPI stays neutral with regard to jurisdictional claims in published maps and institutional affiliations. |
© 2021 by the authors. Licensee MDPI, Basel, Switzerland. This article is an open access article distributed under the terms and conditions of the Creative Commons Attribution (CC BY) license (https://creativecommons.org/licenses/by/4.0/).
Share and Cite
Dunning, T.J.; Unruh, D.K.; Bosch, E.; Groeneman, R.H. Controlling Topology within Halogen-Bonded Networks by Varying the Regiochemistry of the Cyclobutane-Based Nodes. Molecules 2021, 26, 3152. https://doi.org/10.3390/molecules26113152
Dunning TJ, Unruh DK, Bosch E, Groeneman RH. Controlling Topology within Halogen-Bonded Networks by Varying the Regiochemistry of the Cyclobutane-Based Nodes. Molecules. 2021; 26(11):3152. https://doi.org/10.3390/molecules26113152
Chicago/Turabian StyleDunning, Taylor J., Daniel K. Unruh, Eric Bosch, and Ryan H. Groeneman. 2021. "Controlling Topology within Halogen-Bonded Networks by Varying the Regiochemistry of the Cyclobutane-Based Nodes" Molecules 26, no. 11: 3152. https://doi.org/10.3390/molecules26113152
APA StyleDunning, T. J., Unruh, D. K., Bosch, E., & Groeneman, R. H. (2021). Controlling Topology within Halogen-Bonded Networks by Varying the Regiochemistry of the Cyclobutane-Based Nodes. Molecules, 26(11), 3152. https://doi.org/10.3390/molecules26113152

