Multi-Interactions in Ionic Liquids for Natural Product Extraction
Abstract
1. Introduction
2. Hydrogen Bonding in Ionic Liquids
3. Extraction of Natural Products Using Ionic Liquids
3.1. Conventional Ionic Liquids
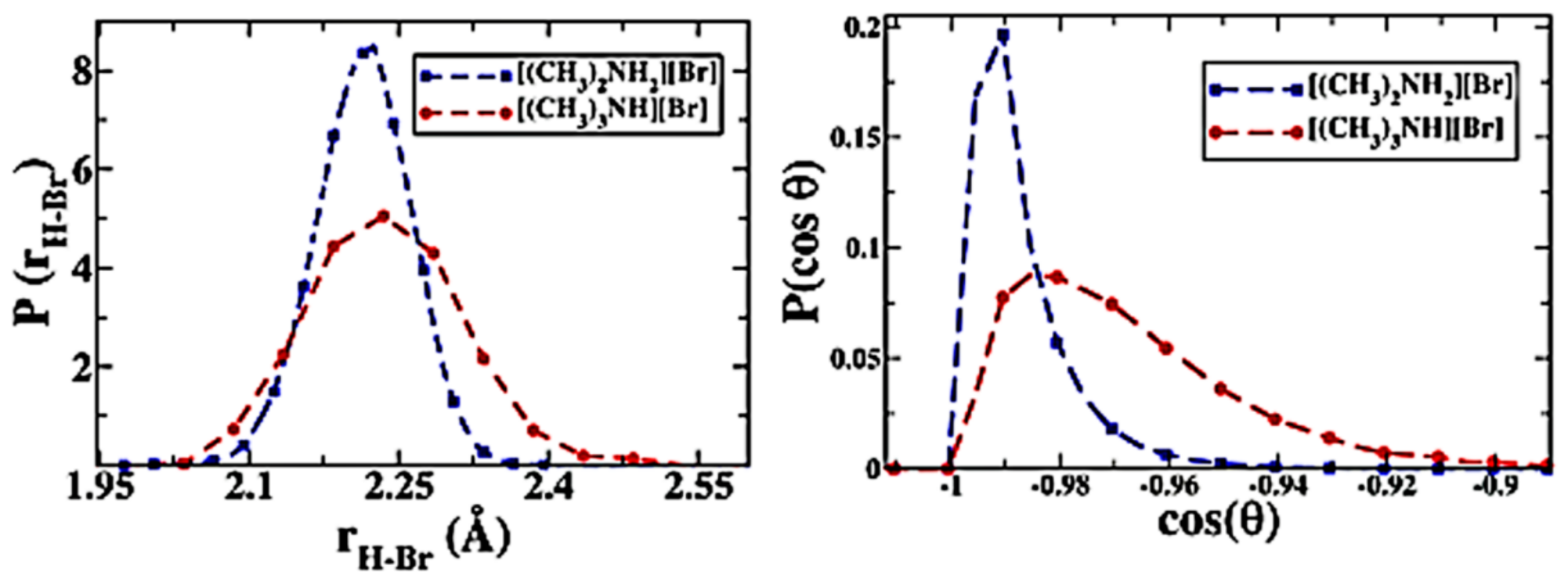
3.1.1. Effect of the Cation
3.1.2. Effect of the Anion
3.2. Functional Ionic Liquids
3.2.1. Magnetic Ionic Liquids
3.2.2. IL-Derivatives
Porous Ionic Liquids
Molecularly Imprinted Ionic Liquids
4. Conclusions and Outlook
Author Contributions
Funding
Institutional Review Board Statement
Informed Consent Statement
Data Availability Statement
Conflicts of Interest
Abbreviations
| [C4mim][BF4] | 1-Butyl-3-methylimidazolium tetrafluoroborate |
| [Bim][NTf2] | 1-Butylimidazolium bis(trifluoromethylsulfonyl)imide |
| [C4mim][NTf2] | 1-Butyl-3-methylimidazolium bis(trifluoromethylsulfonyl)imide |
| [Bmpyr]Br | Butylmethylpyrrolidinium bromide |
| [C4mim][PF6] | 1-Butyl-3-methylimidazlium hexafluorophosphate |
| [NEt2(HE)2]Br | Bihydroxyethylbiethylammonium bromide |
| [(CH3)2NH2]Br | Dimethylammonium bromide |
| [EPy]Br | Ethylpyridinium bromide |
| [C2mim][(MeO)HPO2] | 1-Ethyl-3-methylimidazolium methylphosphonate |
| [EtOHmim][NTf2] | 1-(2-Hydroxyethyl)-3-methylimidazolium bis(trifluoromethylsulfonyl)imide |
| [C4C11OHim][CF3SO3] | 1-Butyl-3-(11-hydroxyundecyl)imidazolium trifluoromethanesulfonate |
| [C6mim][FeCl4] | 1-Hexyl-3-methylimidazolium tetrachloroferrate |
| [EtOHmim][BF4] | 1-(2-Hydroxyethyl)-3-methylimidazolium tetrafluoroborate |
| [L-Pro]2[SO4] | L-Proline sulfate |
| [Memo]Br | Methylethylmorpholinium bromide |
| [N8,8,8,1][FeCl4] | Methyltrioctylammonium tetrachloroferrate |
| [Mepip]Br | Methylethylpiperidinium bromide |
| [N3111][NTf2] | N-trimethyl-N-propylammonium bis(trifluoromethylsulfonyl)imide |
| [HOOC(CH2)3mim][NTf2] | 1-N-butyrate-3-methylimidazolium bis(trifluoromethylsulfonyl)imide |
| [C3H6COOHmim]Cl/xFeCl3 | 1-N-butyric acid-3-methylimidazolium chloride/xFeCl3 |
| [(CH3)3NH][NO3] | Trimethylammonium nitrate |
| [(CH3)4N][NO3] | Tetramethylammonium nitrate |
| [3C6PC14][FeCl4] | Trihexyltetradecylphosphonium tetrachloroferrate(III) |
| [(CH3)3NH]Br | Trimethylammonium bromide |
References
- Ma, X.; Jiang, Y.; Zhang, W.; Wang, J.; Wang, R.; Wang, L.; Wei, S.; Wen, J.; Li, H.; Zhao, Y. Natural products for the prevention and treatment of cholestasis: A review. Phytother. Res. 2020, 34, 1291–1309. [Google Scholar] [CrossRef] [PubMed]
- Chemat, F.; Abert-Vian, M.; Fabiano-Tixier, A.S.; Strube, J.; Uhlenbrock, L.; Gunjevic, V.; Cravotto, G. Green extraction of natural products. origins, current status, and future challenges. TrAC Trends Anal. Chem. 2019, 118, 248–263. [Google Scholar] [CrossRef]
- Sarmales-Murga, C.; Akaoka, F.; Sato, M.; Takanishi, J.; Mino, T.; Miyoshi, N.; Watanabe, K. A new class of dimeric product isolated from the fungus chaetomium globosum: Evaluation of chemical structure and biological activity. J. Antibiot. (Tokyo) 2020, 73, 320–323. [Google Scholar] [CrossRef] [PubMed]
- Zhang, Q.W.; Lin, L.G.; Ye, W.C. Techniques for extraction and isolation of natural products: A comprehensive review. Chin. Med. 2018, 13, 20. [Google Scholar] [CrossRef] [PubMed]
- Eroglu, N.; Emekci, M.; Athanassiou, C.G. Applications of natural zeolites on agriculture and food production. J. Sci. Food Agric. 2017, 97, 3487–3499. [Google Scholar] [CrossRef] [PubMed]
- Aswad, M.; Rayan, M.; Abu-Lafi, S.; Falah, M.; Raiyn, J.; Abdallah, Z.; Rayan, A. Nature is the best source of anti-inflammatory drugs: Indexing natural products for their anti-inflammatory bioactivity. Inflamm. Res. 2018, 67, 67–75. [Google Scholar] [CrossRef]
- Lopes, G.; Pinto, E.; Salgueiro, L. Natural products: An alternative to conventional therapy for dermatophytosis? Mycopathologia 2017, 182, 143–167. [Google Scholar] [CrossRef]
- Wang, J.; Shen, X.; Rey, J.; Yuan, Q.; Yan, Y. Recent advances in microbial production of aromatic natural products and their derivatives. Appl. Microbiol. Biotechnol. 2018, 102, 47–61. [Google Scholar] [CrossRef]
- Wang, J.; Zhao, H.; Zhi, K.; Yang, X. Exploration of the natural active small-molecule drug-loading process and highly efficient synergistic antitumor efficacy. ACS Appl. Mater. Interfaces 2020, 12, 6827–6839. [Google Scholar] [CrossRef]
- Xu, C.-C.; Wang, B.; Pu, Y.-Q.; Tao, J.-S.; Zhang, T. Advances in extraction and analysis of phenolic compounds from plant materials. Chin. J. Nat. Med. 2017, 15, 721–731. [Google Scholar] [CrossRef]
- Gorgani, L.; Mohammadi, M.; Najafpour, G.D.; Nikzad, M. Sequential microwave-ultrasound-assisted extraction for isolation of piperine from black pepper (Piper nigrum L.). Food Bioprocess Tech. 2017, 10, 2199–2207. [Google Scholar] [CrossRef]
- Zhang, Y.; Prawang, P.; Li, C.; Meng, X.; Zhao, Y.; Wang, H.; Zhang, S. Ultrasonic assisted extraction of artemisinin from Artemisia annua L. using monoether-based solvents. Green Chem. 2018, 20, 713–723. [Google Scholar] [CrossRef]
- Fang, X.; Wang, J.; Wang, Y.; Li, X.; Zhou, H.; Zhu, L. Optimization of ultrasonic-assisted extraction of wedelolactone and antioxidant polyphenols from Eclipta prostrate L using response surface methodology. Sep. Purif. Technol. 2014, 138, 55–64. [Google Scholar] [CrossRef]
- Qian, J.; Yan, R.; Liu, X.; Li, C.; Zhang, X. Modification to solution-diffusion model for performance prediction of nanofiltration of long-alkyl-chain ionic liquids aqueous solutions based on ion cluster. Green Energy Environ. 2020, 5, 105–113. [Google Scholar] [CrossRef]
- Ionic liquids in energy and environment. Green Energy Environ. 2019, 4, 93–94. [CrossRef]
- Dong, K.; Liu, X.; Dong, H.; Zhang, X.; Zhang, S. Multiscale studies on ionic liquids. Chem. Rev. 2017, 117, 6636–6695. [Google Scholar] [CrossRef]
- Zhang, S.; Sun, J.; Zhang, X.; Xin, J.; Miao, Q.; Wang, J. Ionic liquid-based green processes for energy production. Chem. Soc. Rev. 2014, 43, 7838–7869. [Google Scholar] [CrossRef]
- Zeng, S.; Zhang, X.; Bai, L.; Zhang, X.; Wang, H.; Wang, J.; Bao, D.; Li, M.; Liu, X.; Zhang, S. Ionic-liquid-based CO2 capture systems: Structure, interaction and process. Chem. Rev. 2017, 117, 9625–9673. [Google Scholar] [CrossRef]
- Yao, J.; Lao, D.B.; Sui, X.; Zhou, Y.; Nune, S.K.; Ma, X.; Troy, T.P.; Ahmed, M.; Zhu, Z.; Heldebrant, D.J.; et al. Two coexisting liquid phases in switchable ionic liquids. Phys. Chem. Chem. Phys. 2017, 19, 22627–22632. [Google Scholar] [CrossRef]
- Francis, K.A.; Liew, C.-W.; Ramesh, S.; Ramesh, K.; Ramesh, S. Ionic liquid enhanced magnesium-based polymer electrolytes for electrical double-layer capacitors. Ionics 2015, 22, 919–925. [Google Scholar] [CrossRef]
- Izák, P.; Bobbink, F.D.; Hulla, M.; Klepic, M.; Friess, K.; Hovorka, Š.; Dyson, P.J. Catalytic ionic-liquid membranes: The convergence of ionic-liquid catalysis and ionic-liquid membrane separation technologies. ChemPlusChem 2018, 83, 7–18. [Google Scholar] [CrossRef] [PubMed]
- Welton, T. Room-temperature ionic liquids. Solvents for synthesis and catalysis. Chem. Rev. 1999, 99, 2071–2083. [Google Scholar] [CrossRef]
- Fan, Y.; Li, X.; Yan, L.; Li, J.; Hua, S.; Song, L.; Wang, R.; Sha, S. Enhanced extraction of antioxidants from aqueous solutions by ionic liquids. Sep. Purif. Technol. 2017, 172, 480–488. [Google Scholar] [CrossRef]
- Pletnev, I.V.; Smirnova, S.V.; Shvedene, N.V. New directions in using ionic liquids in analytical chemistry. 1: Liquid–liquid extraction. J. Anal. Chem. 2019, 74, 625–658. [Google Scholar] [CrossRef]
- Strehmel, N.; Strunk, D.; Strehmel, V. Extraction of natural products from bark of Betula pendula using ionic liquids. Metabolomics 2017, 13, 135. [Google Scholar] [CrossRef]
- Jiang, B.; Feng, Z.; Liu, C.; Xu, Y.; Li, D.; Ji, G. Extraction and purification of wheat-esterase using aqueous two-phase systems of ionic liquid and salt. J. Food Sci. Technol. 2015, 52, 2878–2885. [Google Scholar] [CrossRef]
- Oh, Y.-H.; Choi, H.; Park, C.; Kim, D.W.; Lee, S. Harnessing ionic interactions and hydrogen bonding for nucleophilic fluorination. Molecules 2020, 25, 721. [Google Scholar] [CrossRef]
- Paschek, D.; Golub, B.; Ludwig, R. Hydrogen bonding in a mixture of protic ionic liquids: A molecular dynamics simulation study. Phys. Chem. Chem. Phys. 2015, 17, 8431–8440. [Google Scholar] [CrossRef]
- Wang, H.; Kelley, S.P.; Brantley, J.W.; Chatel, G.; Shamshina, J.; Pereira, J.F.; Debbeti, V.; Myerson, A.S.; Rogers, R.D. Ionic fluids containing both strongly and weakly interacting ions of the same charge have unique ionic and chemical environments as a function of ion concentration. ChemPhysChem 2015, 16, 993–1002. [Google Scholar] [CrossRef]
- Hunt, P.A.; Ashworth, C.R.; Matthews, R.P. Hydrogen bonding in ionic liquids. Chem. Soc. Rev. 2015, 44, 1257–1288. [Google Scholar] [CrossRef]
- Dong, K.; Zhang, S.; Wang, D.; Yao, X. Hydrogen bonds in imidazolium ionic liquids. J. Phys. Chem. A 2006, 110, 9775–9782. [Google Scholar] [CrossRef] [PubMed]
- Fumino, K.; Reichert, E.; Wittler, K.; Hempelmann, R.; Ludwig, R. Low-frequency vibrational modes of protic molten salts and ionic liquids: Detecting and quantifying hydrogen bonds. Angew. Chem. Int. Ed. Engl. 2012, 51, 6236–6240. [Google Scholar] [CrossRef] [PubMed]
- Zhou, C.; Li, X.; Gong, Z.; Jia, C.; Lin, Y.; Gu, C.; He, G.; Zhong, Y.; Yang, J.; Guo, X. Direct observation of single-molecule hydrogen-bond dynamics with single-bond resolution. Nat. Commun. 2018, 9, 807. [Google Scholar] [CrossRef] [PubMed]
- Low, K.; Tan, S.Y.S.; Izgorodina, E.I. An ab initio study of the structure and energetics of hydrogen bonding in ionic liquids. Front. Chem. 2019, 7, 208. [Google Scholar] [CrossRef] [PubMed]
- Zentel, T.; Kühn, O. Properties of hydrogen bonds in the protic ionic liquid ethylammonium nitrate. Theor. Chem. Acc. 2017, 136, 87. [Google Scholar] [CrossRef]
- Fumino, K.; Ludwig, R. Analyzing the interaction energies between cation and anion in ionic liquids: The subtle balance between Coulomb forces and hydrogen bonding. J. Mol. Liq. 2014, 192, 94–102. [Google Scholar] [CrossRef]
- Sharma, R.P.; Kumar, S.; Saini, A.; Venugopalan, P.; Rodríguez-Diéguez, A.; Salas, J.M. Cation–anion interactions via hydrogen bonding; synthesis, characterization and single crystal X-ray structure of [Cu(phen)3](1,3-benzenedisulphonate)⋅7H2O. J. Mol. Struct. 2014, 1071, 11–17. [Google Scholar] [CrossRef]
- Shi, Z.-Q.; Ji, N.-N.; Guo, K.-M.; Li, G. Crystalline hydrogen-bonded supramolecular frameworks (HSFs) as new class of proton conductive materials. Appl. Surf. Sci. 2020, 504, 144484. [Google Scholar] [CrossRef]
- Hakkert, S.B.; Erdélyi, M. Halogen bond symmetry: The N-X-N bond. J. Phys. Org. Chem. 2015, 28, 226–233. [Google Scholar] [CrossRef]
- Mondal, A.; Balasubramanian, S. Vibrational signatures of cation-anion hydrogen bonding in ionic liquids: A periodic density functional theory and molecular dynamics study. J. Phys. Chem. B 2015, 119, 1994–2002. [Google Scholar] [CrossRef]
- Ossowicz, P.; Janus, E.; Schroeder, G.; Rozwadowski, Z. Spectroscopic studies of amino acid ionic liquid-supported Schiff bases. Molecules 2013, 18, 4986–5004. [Google Scholar] [CrossRef] [PubMed]
- Fumino, K.; Peppel, T.; Geppert-Rybczynska, M.; Zaitsau, D.H.; Lehmann, J.K.; Verevkin, S.P.; Kockerling, M.; Ludwig, R. The influence of hydrogen bonding on the physical properties of ionic liquids. Phys. Chem. Chem. Phys. 2011, 13, 14064–14075. [Google Scholar] [CrossRef] [PubMed]
- Su, P.Y.-S.; Chang, C.-J.; Lee, K.-M. C–H⋯O or N–H⋯O hydrogen bonded biomimetic dimerized rectangular secondary structural motifs formed by L-shaped fatty acid-substituted nicotinamide salts with PF6−, BF4−, NO3− and Br− anions. CrystEngComm 2016, 18, 7516–7522. [Google Scholar] [CrossRef]
- Li, Z.; Zhang, X.; Dong, H.; Zhang, X.; Gao, H.; Zhang, S.; Li, J.; Wang, C. Efficient absorption of ammonia with hydroxyl-functionalized ionic liquids. RSC Adv. 2015, 5, 81362–81370. [Google Scholar] [CrossRef]
- Shang, D.; Zhang, X.; Zeng, S.; Jiang, K.; Gao, H.; Dong, H.; Yang, Q.; Zhang, S. Protic ionic liquid [Bim][NTf2] with strong hydrogen bond donating ability for highly efficient ammonia absorption. Green Chem. 2017, 19, 937–945. [Google Scholar] [CrossRef]
- Knorr, A.; Ludwig, R. Cation-cation clusters in ionic liquids: Cooperative hydrogen bonding overcomes like-charge repulsion. Sci. Rep. 2015, 5, 17505. [Google Scholar] [CrossRef]
- Deng, L.; Shi, R.; Wang, Y.; Ou-Yang, Z.-C. Hydrogen-bond rich ionic liquids with hydroxyl cationic tails. CPL 2013, 560, 32–36. [Google Scholar] [CrossRef]
- Wang, Y.; Voth, G.A. Unique spatial heterogeneity in ionic liquids. J. Am. Chem. Soc. 2005, 127, 12192–12193. [Google Scholar] [CrossRef]
- Zhang, S.; Huo, F. Angstrom science: Exploring aggregates from a new viewpoint. Green Energy Environ. 2016, 1, 75–78. [Google Scholar] [CrossRef]
- Liu, X.; Zhou, G.; Huo, F.; Wang, J.; Zhang, S. Unilamellar vesicle formation and microscopic structure of ionic liquids in aqueous solutions. J. Phys. Chem. C 2015, 120, 659–667. [Google Scholar] [CrossRef]
- Liu, X.; Zhou, G.; He, H.; Zhang, X.; Wang, J.; Zhang, S. Rodlike micelle structure and formation of ionic liquid in aqueous solution by molecular simulation. Ind. Eng. Chem. Res. 2015, 54, 1681–1688. [Google Scholar] [CrossRef]
- Zheng, Y.Z.; Wang, N.N.; Luo, J.J.; Zhou, Y.; Yu, Z.W. Hydrogen-bonding interactions between [BMIM][BF4] and acetonitrile. Phys. Chem. Chem. Phys. 2013, 15, 18055–18064. [Google Scholar] [CrossRef] [PubMed]
- Dong, K.; Zhang, S.; Wang, Q. A new class of ion-ion interaction: Z-bond. Sci. China Chem. 2014, 58, 495–500. [Google Scholar] [CrossRef]
- Fan, Y.; Li, X.; Shen, P.; Cai, H.; Li, F.; Wang, Y. Highly effective extraction of hydroxycinnamic acids by hydrogen-bonding-functionalized ionic liquids. Sep. Purif. Technol. 2017, 179, 126–134. [Google Scholar] [CrossRef]
- Rout, A.; Binnemans, K. Influence of the ionic liquid cation on the solvent extraction of trivalent rare-earth ions by mixtures of Cyanex 923 and ionic liquids. Dalton Trans. 2015, 44, 1379–1387. [Google Scholar] [CrossRef]
- Peng, L.Q.; Yu, W.Y.; Xu, J.J.; Cao, J. Pyridinium ionic liquid-based liquid-solid extraction of inorganic and organic iodine from laminaria. Food Chem. 2018, 239, 1075–1084. [Google Scholar] [CrossRef]
- Sun, Y.; Ding, S.; Huang, H.; Hu, Y. Ionic liquid-based enzyme-assisted extraction of chlorogenic acid from Flos Lonicera Japonicae. Bioresour. Bioprocess. 2017, 4, 45. [Google Scholar] [CrossRef]
- Zhao, L.; Wang, H.; Gu, H.; Yang, L. Ionic liquid-lithium salt based microwave pretreatment followed by ultrasonic-assisted extraction of syringin and oleuropein from Syringa reticulata var. mandshurica branch bark by a dual response surface methodology. Anal. Methods 2016, 8, 1532–1542. [Google Scholar] [CrossRef]
- Ji, S.; Wang, Y.; Gao, S.; Shao, X.; Cui, W.; Du, Y.; Guo, M.; Tang, D. Highly efficient and selective extraction of minor bioactive natural products using pure ionic liquids: Application to prenylated flavonoids in licorice. J. Ind. Eng. Chem. 2019, 80, 352–360. [Google Scholar] [CrossRef]
- Fan, Y.; Li, X.; Song, L.; Li, J.; Zhang, L. Effective extraction of quinine and gramine from water by hydrophobic ionic liquids: The role of anion. Chem. Eng. Res. Des. 2017, 119, 58–65. [Google Scholar] [CrossRef]
- Li, X.; Guo, R.; Zhang, X.; Li, X. Extraction of glabridin using imidazolium-based ionic liquids. Sep. Purif. Technol. 2012, 88, 146–150. [Google Scholar] [CrossRef]
- Munakata, K.; Yoshizawa-Fujita, M.; Rikukawa, M.; Usuki, T. Improved extraction yield of citral from lemon myrtle using a cellulose-dissolving ionic liquid. Aust. J. Chem. 2017, 70, 699. [Google Scholar] [CrossRef]
- Dong, K.; Cao, Y.; Yang, Q.; Zhang, S.; Xing, H.; Ren, Q. Role of hydrogen bonds in ionic-liquid-mediated extraction of natural bioactive homologues. Ind. Eng. Chem. Res. 2012, 51, 5299–5308. [Google Scholar] [CrossRef]
- Fan, J.; Cao, J.; Zhang, X.; Huang, J.; Kong, T.; Tong, S.; Tian, Z.; Xie, Y.; Xu, R.; Zhu, J. Optimization of ionic liquid based ultrasonic assisted extraction of puerarin from Radix Puerariae Lobatae by response surface methodology. Food Chem. 2012, 135, 2299–2306. [Google Scholar] [CrossRef] [PubMed]
- Torabi, M.; Yarie, M.; Zolfigol, M.A.; Azizian, S. Magnetic phosphonium ionic liquid: Application as a novel dual role acidic catalyst for synthesis of 2′-aminobenzothiazolomethylnaphthols and amidoalkyl naphthols. Res. Chem. Intermed. 2019, 46, 891–907. [Google Scholar] [CrossRef]
- Suo, H.; Xu, L.; Xue, Y.; Qiu, X.; Huang, H.; Hu, Y. Ionic liquids-modified cellulose coated magnetic nanoparticles for enzyme immobilization: Improvement of catalytic performance. Carbohydr. Polym. 2020, 234, 115914. [Google Scholar] [CrossRef]
- Zhao, J.; Meng, Z.; Zhao, Z.; Zhao, L. Ultrasound-assisted deep eutectic solvent as green and efficient media combined with functionalized magnetic multi-walled carbon nanotubes as solid-phase extraction to determine pesticide residues in food products. Food Chem. 2020, 310, 125863. [Google Scholar] [CrossRef]
- Wang, X.; Xu, G.; Guo, X.; Chen, X.; Duan, J.; Gao, Z.; Zheng, B.; Shen, Q. Effervescent tablets containing magnetic ionic liquids as a non-conventional extraction and dispersive agent for speciation of arsenite and arsenate in vegetable samples. J. Mol. Liq. 2018, 272, 871–877. [Google Scholar] [CrossRef]
- Santos, E.; Albo, J.; Irabien, A. Magnetic ionic liquids: Synthesis, properties and applications. RSC Adv. 2014, 4, 40008–40018. [Google Scholar] [CrossRef]
- Shi, X.; Huang, W.; Wang, X. Ionic liquids-based magnetic nanofluids as lubricants. Lubr. Sci. 2018, 30, 73–82. [Google Scholar] [CrossRef]
- Yao, T.; Du, K. Simultaneous determination of sulfonamides in milk: In-situ magnetic ionic liquid dispersive liquid-liquid microextraction coupled with HPLC. Food Chem. 2020, 331, 127342. [Google Scholar] [CrossRef] [PubMed]
- Wang, Y.; Sun, Y.; Xu, B.; Li, X.; Jin, R.; Zhang, H.; Song, D. Magnetic ionic liquid-based dispersive liquid-liquid microextraction for the determination of triazine herbicides in vegetable oils by liquid chromatography. J. Chromatogr. A 2014, 1373, 9–16. [Google Scholar] [CrossRef] [PubMed]
- Chatzimitakos, T.; Binellas, C.; Maidatsi, K.; Stalikas, C. Magnetic ionic liquid in stirring-assisted drop-breakup microextraction: Proof-of-concept extraction of phenolic endocrine disrupters and acidic pharmaceuticals. Anal. Chim. Acta 2016, 910, 53–59. [Google Scholar] [CrossRef] [PubMed]
- Deng, N.; Li, M.; Zhao, L.; Lu, C.; de Rooy, S.L.; Warner, I.M. Highly efficient extraction of phenolic compounds by use of magnetic room temperature ionic liquids for environmental remediation. J. Hazard. Mater. 2011, 192, 1350–1357. [Google Scholar] [CrossRef]
- Jiang, W.; Zhu, W.; Li, H.; Xue, J.; Xiong, J.; Chang, Y.; Liu, H.; Zhao, Z. Fast oxidative removal of refractory aromatic sulfur compounds by a magnetic ionic liquid. Chem. Eng. Technol. 2014, 37, 36–42. [Google Scholar] [CrossRef]
- Li, Q.; Wu, S.; Wang, C.; Yi, Y.; Zhou, W.; Wang, H.; Li, F.; Tan, Z. Ultrasonic-assisted extraction of sinomenine from Sinomenium acutum using magnetic ionic liquids coupled with further purification by reversed micellar extraction. Process Biochem. 2017, 58, 282–288. [Google Scholar] [CrossRef]
- Luczak, J.; Paszkiewicz, M.; Krukowska, A.; Malankowska, A.; Zaleska-Medynska, A. Ionic liquids for nano- and microstructures preparation. Part 1: Properties and multifunctional role. Adv. Colloid Interface Sci. 2016, 230, 13–28. [Google Scholar] [CrossRef]
- Xu, D.; Guo, J.; Yan, F. Porous ionic polymers: Design, synthesis, and applications. Prog. Polym. Sci. 2018, 79, 121–143. [Google Scholar] [CrossRef]
- Zhang, S.; Dokko, K.; Watanabe, M. Porous ionic liquids: Synthesis and application. Chem. Sci. 2015, 6, 3684–3691. [Google Scholar] [CrossRef]
- Singh, M.P.; Singh, R.K.; Chandra, S. Ionic liquids confined in porous matrices: Physicochemical properties and applications. Prog. Mater. Sci. 2014, 64, 73–120. [Google Scholar] [CrossRef]
- Li, P.; Chen, H.; Schott, J.A.; Li, B.; Zheng, Y.; Mahurin, S.M.; Jiang, D.E.; Cui, G.; Hu, X.; Wang, Y.; et al. Porous liquid zeolites: Hydrogen bonding-stabilized H-ZSM-5 in branched ionic liquids. Nanoscale 2019, 11, 1515–1519. [Google Scholar] [CrossRef] [PubMed]
- Gao, C.; Chen, G.; Wang, X.; Li, J.; Zhou, Y.; Wang, J. A hierarchical meso-macroporous poly(ionic liquid) monolith derived from a single soft template. Chem. Commun. (Camb.) 2015, 51, 4969–4972. [Google Scholar] [CrossRef] [PubMed]
- Wilke, A.; Yuan, J.; Antonietti, M.; Weber, J. Enhanced carbon dioxide adsorption by a mesoporous poly(ionic liquid). ACS Macro Lett. 2012, 1, 1028–1031. [Google Scholar] [CrossRef]
- Suo, X.; Xia, L.; Yang, Q.W.; Zhang, Z.G.; Bao, Z.B.; Ren, Q.L.; Yang, Y.W.; Xing, H.B. Synthesis of anion-functionalized mesoporous poly(ionic liquid)s via a microphase separation-hypercrosslinking strategy: Highly efficient adsorbents for bioactive molecules. J. Mater. Chem. A 2017, 5, 14114–14123. [Google Scholar] [CrossRef]
- Zhao, B.; Wu, D.; Chu, H.; Wang, C.; Wei, Y. Magnetic mesoporous nanoparticles modified with poly(ionic liquids) with multi-functional groups for enrichment and determination of pyrethroid residues in apples. J. Sep. Sci. 2019, 42, 1896–1904. [Google Scholar] [CrossRef]
- Zhang, Y.; Tan, X.; Liu, X.; Li, C.; Zeng, S.; Wang, H.; Zhang, S. Fabrication of multilayered molecularly imprinted membrane for selective recognition and separation of artemisinin. ACS Sustain. Chem. Eng. 2018, 7, 3127–3137. [Google Scholar] [CrossRef]
- Muratsugu, S.; Shirai, S.; Tada, M. Recent progress in molecularly imprinted approach for catalysis. Tetrahedron Lett. 2020, 61, 151603. [Google Scholar] [CrossRef]
- Nezhadali, A.; Es’haghi, Z.; Khatibi, A.-D. Selective extraction of cholesterol from dairy samples Using a polypyrrole molecularly imprinted polymer and determination by gas chromatography. Food Anal. Methods 2016, 10, 1397–1407. [Google Scholar] [CrossRef]
- Fan, J.P.; Tian, Z.Y.; Tong, S.; Zhang, X.H.; Xie, Y.L.; Xu, R.; Qin, Y.; Li, L.; Zhu, J.H.; Ouyang, X.K. A novel molecularly imprinted polymer of the specific ionic liquid monomer for selective separation of synephrine from methanol-water media. Food Chem. 2013, 141, 3578–3585. [Google Scholar] [CrossRef]
- Zhu, G.; Gao, X.; Wang, X.; Wang, J.; Fan, J. Influence of hydrogen bond accepting ability of anions on the adsorption performance of ionic liquid surface molecularly imprinted polymers. J. Chromatogr. A 2018, 1532, 40–49. [Google Scholar] [CrossRef]
- Sun, Y.; Feng, X.; Hu, J.; Bo, S.; Zhang, J.; Wang, W.; Li, S.; Yang, Y. Preparation of hemoglobin (Hb)-imprinted poly(ionic liquid)s via Hb-catalyzed eATRP on gold nanodendrites. Anal. Bioanal. Chem. 2020, 412, 983–991. [Google Scholar] [CrossRef]
- Li, J.; Hu, X.; Guan, P.; Zhang, X.; Qian, L.; Song, R.; Du, C.; Wang, C. Preparation of molecularly imprinted polymers using ion-pair dummy template imprinting and polymerizable ionic liquids. RSC Adv. 2015, 5, 62697–62705. [Google Scholar] [CrossRef]
- Wang, C.; Hu, X.; Guan, P.; Wu, D.; Qian, L.; Li, J.; Song, R. Separation and purification of thymopentin with molecular imprinting membrane by solid phase extraction disks. J. Pharm. Biomed. Anal. 2015, 102, 137–143. [Google Scholar] [CrossRef] [PubMed]
- Yan, H.; Yang, C.; Sun, Y.; Row, K.H. Ionic liquid molecularly imprinted polymers for application in pipette-tip solid-phase extraction coupled with gas chromatography for rapid screening of dicofol in celery. J. Chromatogr. A 2014, 1361, 53–59. [Google Scholar] [CrossRef] [PubMed]
- Yuan, S.; Deng, Q.; Fang, G.; Wu, J.; Li, W.; Wang, S. Protein imprinted ionic liquid polymer on the surface of multiwall carbon nanotubes with high binding capacity for lysozyme. J. Chromatogr. B Anal. Technol. Biomed. Life Sci. 2014, 960, 239–246. [Google Scholar] [CrossRef]
- Speltini, A.; Scalabrini, A.; Maraschi, F.; Sturini, M.; Profumo, A. Newest applications of molecularly imprinted polymers for extraction of contaminants from environmental and food matrices: A review. Anal. Chim. Acta 2017, 974, 1–26. [Google Scholar] [CrossRef]
- Yuan, Y.; Liang, S.; Yan, H.; Ma, Z.; Liu, Y. Ionic liquid-molecularly imprinted polymers for pipette tip solid-phase extraction of (Z)-3-(chloromethylene)-6-flourothiochroman-4-one in urine. J. Chromatogr. A 2015, 1408, 49–55. [Google Scholar] [CrossRef]
- Fu, N.; Li, L.; Liu, X.; Fu, N.; Zhang, C.; Hu, L.; Li, D.; Tang, B.; Zhu, T. Specific recognition of polyphenols by molecularly imprinted polymers based on a ternary deep eutectic solvent. J. Chromatogr. A 2017, 1530, 23–34. [Google Scholar] [CrossRef]
- Chen, L.; Huang, X. Preparation and application of a poly (ionic liquid)-based molecularly imprinted polymer for multiple monolithic fiber solid-phase microextraction of phenolic acids in fruit juice and beer samples. Analyst 2017, 142, 4039–4047. [Google Scholar] [CrossRef]











| MIL | Components Extracted | Recoveries (%) | Ref. | |
|---|---|---|---|---|
| Cation | Anion | |||
![]() | [FeCl4]− | Triazine herbicides | 81.8–114.2 | [72] |
![]() | [FeCl4]− | Phenols and acidic pharmaceuticals | 89–94 | [73] |
![]() | [FeCl4]− | Phenolic compounds | - | [74] |
![]() | [Cl/xFeCl3]− | Aromatic sulfur compounds | 100 | [75] |
![]() | [FeCl4]− | Sinomenine | 81.3 | [76] |
Publisher’s Note: MDPI stays neutral with regard to jurisdictional claims in published maps and institutional affiliations. |
© 2020 by the authors. Licensee MDPI, Basel, Switzerland. This article is an open access article distributed under the terms and conditions of the Creative Commons Attribution (CC BY) license (http://creativecommons.org/licenses/by/4.0/).
Share and Cite
Zhang, Y.; Cao, Y.; Wang, H. Multi-Interactions in Ionic Liquids for Natural Product Extraction. Molecules 2021, 26, 98. https://doi.org/10.3390/molecules26010098
Zhang Y, Cao Y, Wang H. Multi-Interactions in Ionic Liquids for Natural Product Extraction. Molecules. 2021; 26(1):98. https://doi.org/10.3390/molecules26010098
Chicago/Turabian StyleZhang, Ying, Yingying Cao, and Hui Wang. 2021. "Multi-Interactions in Ionic Liquids for Natural Product Extraction" Molecules 26, no. 1: 98. https://doi.org/10.3390/molecules26010098
APA StyleZhang, Y., Cao, Y., & Wang, H. (2021). Multi-Interactions in Ionic Liquids for Natural Product Extraction. Molecules, 26(1), 98. https://doi.org/10.3390/molecules26010098





