The Effect of Olive Fruit Fly Bactrocera oleae (Rossi) Infestation on Certain Chemical Parameters of Produced Olive Oils
Abstract
1. Introduction
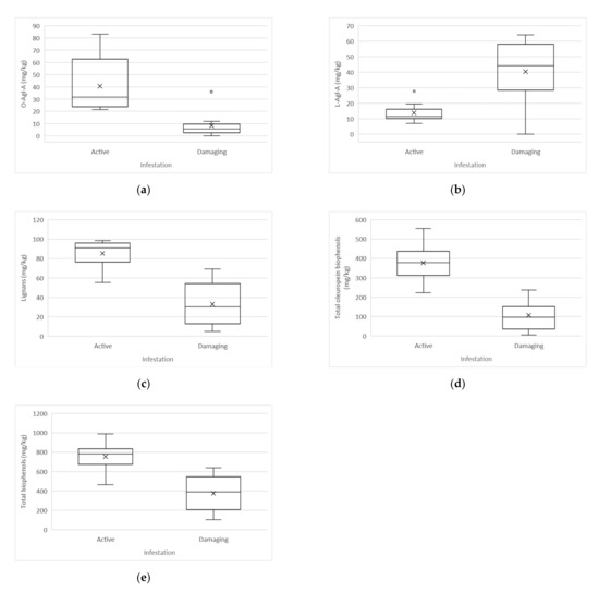
2. Results
2.1. Biophenol Content and Composition
2.2. Sterol Content and Composition and Triterpenic Dialcohols Content
2.3. Fatty Acid Composition
3. Discussion
3.1. Biophenol Content and Composition
3.2. Sterol Content and Composition and Triterpenic Dialcohols Content
3.3. Fatty Acid Composition
4. Materials and Methods
4.1. Olive Material and Olive Oil Production
4.2. Methods
4.2.1. Determination of Biophenols
4.2.2. Determination of Sterols and Triterpenic Dialcohols
4.2.3. Determination of Fatty Acids
4.2.4. Statistical Analysis
5. Conclusions
Author Contributions
Funding
Institutional Review Board Statement
Informed Consent Statement
Data Availability Statement
Acknowledgments
Conflicts of Interest
References
- Jančar, M.; Vesel, V.; Vrhovnik, I. Overview of the situation and the reasons for the massive occurrence of olive fruit fly (Bactrocera oleae Rossi) in Slovenian Istria in 2014. In Lectures and Papers Presented at the 12th Slovenian Conference on Plant Protection with International Participation, Ptuj, Slovenia, 3–4 March 2015; Trdan, S., Ed.; Plant Protection Society of Slovenia: Ljubljana, Slovenia, 2015; pp. 41–58. [Google Scholar]
- Podgornik, M.; Jančar, M.; Tomažič, I.; Arbeiter, A.; Bandelj, D. Effects of weather condition on population dynamics of the olive fly (Bactrocera oleae Gmelin). In Lectures and Papers Presented at the 10th Slovenian Conference on Plant Protection, Podčetrtek, Slovenia, 1–2 March 2011; Maček, J., Trdan, S., Eds.; Plant Protection Society of Slovenia: Ljubljana, Slovenia, 2011; pp. 53–56. [Google Scholar]
- Podgornik, M.; Tomažič, I.; Arbeiter, A.; Hladnik, M.; Bandelj, D. Population fluctuation of adult males of the olive fruit fly Bactrocera oleae (Rossi) analysis in olive orchards in relation to abiotic factors. Entomol. News 2013, 123, 15–25. [Google Scholar] [CrossRef]
- Civantos López-Villalta, M. Bactrocera oleae GMEL. In Olive Pest and Disease Management. Collection: Practical Handbooks; Civantos López-Villalta, M., Ed.; International Olive Oil Council: Madrid, Spain, 1999; pp. 59–74. [Google Scholar]
- Podgornik, M.; Bešter, E.; Butinar, B.; Bučar-Miklavčič, M.; Miklavčič Višnjevec, A.; Valenčič, V. Effect of olive fruit fly Bactrocera oleae (Rossi) infestation on the biophenol content and composition of olive oil. In Lectures and Papers Presented at the 13th Slovenian Conference on Plant Protection with International Participation, Rimske Toplice, Slovenia, 7–8 March 2017; Trdan, S., Ed.; Plant Protection Society of Slovenia: Ljubljana, Slovenia, 2017; pp. 140–146. [Google Scholar]
- Malheiro, R.; Casal, S.; Baptista, P.; Pereira, J.A. A review of Bactrocera oleae (Rossi) impact in olive products: From the tree to the table. Trends Food Sci. Technol. 2015, 44, 226–242. [Google Scholar] [CrossRef]
- Angerosa, F.; Di Giacinto, L.; Solinas, M. Influence of Dacus oleae infestation on flavor of oils, extracted from attacked olive fruits, by HPLC and HRGC analyses of volatile compounds. Grasas Aceites 1992, 43, 134–142. [Google Scholar] [CrossRef]
- Gucci, R.; Caruso, G.; Canale, A.; Loni, A.; Raspi, A.; Urbani, S.; Taticchi, A.; Esposito, S.; Servili, M. Qualitative changes of olive oils obtained from fruits damaged by Bactrocera oleae (Rossi). HortScience 2012, 47, 301–306. [Google Scholar] [CrossRef]
- Koprivnjak, O.; Dminić, I.; Kosić, U.; Majetić, V.; Godena, S.; Valenčič, V. Dynamics of oil quality parameters changes related to olive fruit fly attack. Eur. J. Lipid Sci. Technol. 2010, 112, 1033–1040. [Google Scholar] [CrossRef]
- Pereira, J.A.; Alves, M.R.; Casal, S.; Oliveira, M.B.P.P. Effect of olive fruit fly infestation on the quality of olive oil from cultivars Corbançosa, Madural and Verdeal Transmontana. Ital. J. Food Sci. 2004, 3, 355–366. [Google Scholar]
- Al-Ameri, N.S.; Karajeh, M.R.; Qaraleh, S.Y. Molds associated with olive fruits infested with olive fruit fly (Bactrocera oleae) and their effects on oil quality. Jordan J. Biol. Sci. 2015, 8, 217–220. [Google Scholar] [CrossRef][Green Version]
- Torbati, M.; Arzanlou, M.; Azadmard-damirchi, S.; Babai-ahari, A.; Alijani, S. Effect of fungal species involved in the olive fruit rot on the qualitative properties of olive oil. Arch. Phytopathol. Plant Prot. 2013, 47, 292–297. [Google Scholar] [CrossRef]
- Bendini, A.; Cerretani, L.; Cichelli, A.; Lercker, G. Effect of Bactrocera oleae infestation on the aromatic profile of virgin olive oils. Riv. Ital. Sostanze Grasse 2008, 85, 167–177. [Google Scholar]
- Tamendjari, A.; Angerosa, F.; Mettouchi, S.; Bellal, M.M. The effect of fly attack (Bactrocera oleae) on the quality and phenolic content of Chemlal olive oil. Grasas Aceites 2009, 60, 507–513. [Google Scholar] [CrossRef]
- Jensen, S.R.; Franzyk, H.; Wallander, E. Chemotaxonomy of the Oleaceae: Iridoids as taxonomic markers. Phytochemistry 2002, 60, 213–231. [Google Scholar] [CrossRef]
- Ryan, D.; Antolovich, M.; Prenzler, P.; Robards, K.; Lavee, S. Biotransformations of phenolic compounds in Olea europaea L. Sci. Hortic. 2002, 92, 147–176. [Google Scholar] [CrossRef]
- Servili, M.; Selvaggini, R.; Esposto, S.; Taticchi, A.; Montedoro, G.; Morozzi, G. Health and sensory properties of virgin olive oil hydrophilic phenols: Agronomic and technological aspects of production that affect their occurrence in the oil. J. Chromatogr. A 2004, 1054, 113–127. [Google Scholar] [CrossRef]
- Gómez-Caravaca, A.M.; Cerretani, L.; Bendini, A.; Segura-Carretero, A.; Fernández-Gutiérrez, A.; Del Carlo, M.; Compagnone, D.; Cichelli, A. Effects of fly attack (Bactrocera oleae) on the phenolic profile and selected chemical parameters of olive oil. J. Agric. Food Chem. 2008, 56, 4577–4583. [Google Scholar] [CrossRef]
- Delrio, G.; Lentini, A.; Vacca, V.; Serra, G. Effects of Bactrocera oleae (Gmel.) infestation on the production and quality of olive oil. Riv. Ital. Sostanze Grasse 1995, 72, 5–9. [Google Scholar]
- Abu-Alruz, K.; Afaneh, I.A.; Quasem, J.M.; Hmidat, M.A.; Abbady, J.; Mazahreh, A.S. Factors Affecting D-7-Stigmastenol in Palestinian Olive Oil. J. Appl. Sci. 2011, 11, 797–805. [Google Scholar] [CrossRef]
- Housheya, O.J.; AbuEid, M.; Zaid, O.; Zaid, M.; Hamad, O.; Jeneedi, M.Y. The Influence of Peacock-eye Disease and Fruit-fly Infection on Olive Oil Δ7 Stigmasterol in Northern West Bank. Int. J. Ecosyst. 2014, 4, 184–189. [Google Scholar] [CrossRef]
- Yorulmaz, H.O.; Konuskan, D.B. Antioxidant activity, sterol and fatty acid composition of Turkish olive oils as an indicator of variety and ripening degree. J. Food Sci. Technol. 2017, 54, 4067–4077. [Google Scholar] [CrossRef]
- Commission Regulation (EEC) No 2568/91, Last Amended by Commission Implementing Regulation (EU) 2019/1604 of 27 September 2019; Publications Office of the European Union: Luxembourg, 2019.
- Mraicha, F.; Ksantini, M.; Zouch, O.; Ayadi, M.; Sayadi, S. Effect of olive fruit fly infestation on the quality of olive oil from Chemlali cultivar during ripening. Food Chem. Toxicol. 2010, 48, 3235–3241. [Google Scholar] [CrossRef]
- Tamendjari, A.; Sahnoune, M.; Mettouchi, S.; Angerosa, F. Effect of Bactrocera oleae infestation on the olive oil quality of three Algerian varieties: Chemlal, Azzeradj and Bouchouk. Riv. Ital. Sostanze Grasse 2009, 86, 103–111. [Google Scholar]
- Ulbricht, T.L.; Southgate, D.A. Coronary heart disease: Seven dietary factors. Lancet 1991, 338, 985–992. [Google Scholar] [CrossRef]
- Matoš, T. Effect of the Olive Fly (Bactrocera oleae Gmelin) on the Content and Composition of Biophenols in Olive Oil. Bachelor’s Thesis, University of Primorska, Koper, Slovenia, February 2017. [Google Scholar]
- Pavlidi, N.; Gioti, A.; Wybouw, N.; Dermauw, W.; Ben-Yosef, M.; Yuval, B.; Jurkevich, E.; Kampouraki, A.; Van Leeuwen, T.; Vontas, J. Transcriptomic responses of the olive fruit fly Bactrocera oleae and its symbiont Candidatus Erwinia dacicola to olive feeding. Sci. Rep. 2017, 7, 42633. [Google Scholar] [CrossRef] [PubMed]
- Ben-Yosef, M.; Pasternak, Z.; Jurkevitch, E.; Yuval, B. Symbiotic bacteria enable olive fly larvae to overcome host defences. R. Soc. Open Sci. 2015, 2, 150170. [Google Scholar] [CrossRef] [PubMed]
- Fleming, H.P.; Walter, W.M., Jr.; Etchells, J.L. Antimicrobial Properties of Oleuropein and Products of Its Hydrolysis from Green Olives. Appl. Microbiol. 1973, 26, 777–782. [Google Scholar] [CrossRef]
- Bandelj, D.; Baruca Arbeiter, A.; Bešter, E.; Bučar-Miklavčič, M.; Butinar, B.; Čalija, D.; Hladnik, M.; Hladnik, T.; Kanjir, Ž.; Levanič, T.; et al. ABC o ‘Istrski Belici’/Factsheet on the Olive Variety ‘Istrska Belica’/L’ABC della Varietà ‘Bianca Istriana’. Science and Research Centre Koper. 2014. Available online: https://www.zrs-kp.si/wp-content/uploads/2020/12/ABC-o-istrski-belici-2014-pomanjsano.pdf (accessed on 16 December 2020).
- Kostik, V.; Memeti, S.; Bauer, B. Fatty acid composition of edible oils and fats. J. Hyg. Eng. Des. 2013, 4, 112–116. [Google Scholar]
- Hashempour-Baltork, F.; Torbati, M.; Azadmard-Damirchi, S.; Savage, G.P. Chemical, Rheological and Nutritional Characteristics of Sesame and Olive Oils Blended with Linseed Oil. Adv. Pharm. Bull. 2018, 8, 107–113. [Google Scholar] [CrossRef]
- Department of Health and Social Security. Report on Health and Social Subjects 28. Diet and Cardiovascular Disease; Her Majesty’s Stationery Office: London, UK, 1984; p. 5. [Google Scholar]
- Sánchez-Rodríguez, L.; Kranjac, M.; Marijanović, Z.; Jerković, I.; Corell, M.; Moriana, A.; Carbonell-Barrachina, A.A.; Sendra, E.; Hernández, F. Quality Attributes and Fatty Acid, Volatile and Sensory Profiles of “Arbequina” hydroSOStainable Olive Oil. Molecules 2019, 24, 2148. [Google Scholar] [CrossRef]
- Petacchi, R.; Rizzi, I.; Guidotti, D.; Toma, M. Informatizzazione della raccolta e gestione dei dati nei programmi finalizzati al controllo della mosca dell’olivo: L’esperienza della Regione Toscana nella tecnica delle catture massali. Inf. Agrar. 2001, 20, 71–74. [Google Scholar]
- COI/T.20/Doc. No 29. Determination of Biophenols in Olive Oils by HPLC; International Olive Council: Madrid, Spain, 2009. [Google Scholar]
- Commission Regulation (EEC) No 2568/91, Annex V; Commission Implementing Regulation (EU) No 1348/2013: Determination of the Composition and Content of Sterols and Triterpenes Dialcohols by Capillary-Column Gas Chromatography; Publications Office of the European Union: Luxembourg, 2013.
- Commission Regulation (EEC) No 2568/91, Annex Xa, Amended by Commission Regulation (EEC) No 1429/92: Analysis by Gas Chromatography of Methylesters of Fatty Acids; and Annex Xb, Amended by Commission Regulation (EC) No 796/2002: Preparation of the Fatty Acid Methyl Esters from Olive Oil and Olive-Pomace Oil; Publications Office of the European Union: Luxembourg, 2002.






| Parameter | Active Infestation(mg/kg) | Damaging Infestation(mg/kg) | p-Value |
|---|---|---|---|
| TyrOH | 6.6 ± 2.6 | 2.6 ± 1.0 | 0.174 |
| Tyr | 6.0 ± 1.5 * | 13.9 ± 2.5 * | 0.014 |
| Vanillic acid + Caffeic acid | 1.8 ± 0.3 * | N.D. * | <0.001 |
| Vanillin | 4.0 ± 0.2 * | 1.6 ± 0.5 * | <0.001 |
| p-coumaric acid | 11.0 ± 1.1 * | 4.0 ± 0.7 * | <0.001 |
| DMO-Agl-dA | 148.3 ± 8.9 * | 49.0 ± 15.8 * | <0.001 |
| (DMO-Agl-dA)ox | 35.2 ± 5.8 * | 8.5 ± 5.6 * | 0.004 |
| O-Agl-dA | 61.1 ± 7.9 * | 8.0 ± 2.7 * | <0.001 |
| (DML-Agl-dA)ox | 32.8 ± 7.5 | 21.4 ± 16.0 | 0.527 |
| DML-Agl-dA | 82.3 ± 7.9 | 63.3 ± 18.2 | 0.350 |
| Lignans | 85.3 ± 4.5 * | 32.9 ± 7.0 * | <0.001 |
| L-Agl-dA | 63.5 ± 8.7 * | 28.0 ± 14.1 * | 0.046 |
| O-Agl-A | 40.6 ± 7.0 * | 8.4 ± 3.3 * | 0.001 |
| L-Agl-A | 13.8 ± 1.9 * | 40.3 ± 6.6 * | 0.001 |
| Total oleuropein biophenols | 377.3 ± 29.7 * | 106.6 ± 24.6 * | <0.001 |
| Total ligstroside biophenols | 270.0 ± 13.7 | 223.7 ± 33.2 | 0.214 |
| Total biophenols | 755 ± 45 * | 377 ± 56 * | <0.001 |
| Parameter | Unit | Active Infestation | Damaging Infestation | p-Value | Limit Value |
|---|---|---|---|---|---|
| Cholesterol | % | 0.10 ± 0.01 | 0.09 ± 0.01 | 0.589 | ≤0.5 |
| 24-methylene-cholesterol | % | 0.27 ± 0.01 | 0.24 ± 0.01 | 0.198 | - |
| Campesterol | % | 2.18 ± 0.07 | 2.25 ± 0.04 | 0.407 | ≤4.0 |
| Campestanol | % | 0.09 ± 0.009 | 0.09 ± 0.005 | 0.689 | - |
| Stigmasterol | % | 1.20 ± 0.06 * | 2.99 ± 0.27 * | < 0.001 | <Campesterol |
| Clerosterol | % | 0.96 ± 0.03 | 0.95 ± 0.03 | 0.899 | - |
| β-sitosterol | % | 68.80 ± 1.28 | 69.03 ± 0.95 | 0.888 | - |
| Sitostanol | % | 1.39 ± 0.10 | 1.55 ± 0.08 | 0.243 | - |
| Δ-5-avenasterol | % | 23.43 ± 1.43 | 21.27 ± 0.94 | 0.222 | - |
| Δ-5,24-stigmastadienol | % | 1.06 ± 0.02 * | 0.98 ± 0.02 * | 0.003 | - |
| Δ-7-stigmastenol | % | 0.09 ± 0.005 | 0.10 ± 0.005 | 0.739 | ≤0.5 |
| Δ-7-avenasterol | % | 0.42 ± 0.03 | 0.46 ± 0.03 | 0.358 | - |
| Apparent β-sitosterol | % | 95.65 ± 0.08 * | 93.78 ± 0.30 * | < 0.001 | ≥93.0 |
| Total sterols | mg/kg | 1120 ± 38 * | 1437 ± 76 * | 0.002 | ≥1000 |
| Erythrodiol 1 | % | 1.62 ± 0.11 * | 2.85 ± 0.26 * | < 0.001 | - |
| Uvaol 1 | % | N.D. * | 0.19 ± 0.03 * | < 0.001 | - |
| Erythrodiol 1 + uvaol 1 | % | 1.62 ± 0.11 * | 3.04 ± 0.28 * | < 0.001 | ≤4.5 |
| Parameter | Unit | Active Infestation | Damaging Infestation | p-Value | Limit Value |
|---|---|---|---|---|---|
| Myristic acid (C 14:0) | % | 0.011 ± 0.0002 * | 0.013 ± 0.0004 * | 0.001 | ≤0.03 |
| Palmitic acid (C 16:0) | % | 12.35 ± 0.17 | 12.57 ± 0.07 | 0.248 | 7.50–20.00 |
| Palmitoleic acid (C 16:1) | % | 1.35 ± 0.08 | 1.53 ± 0.05 | 0.065 | 0.30–3.50 |
| Heptadecanoic acid (C 17:0) | % | 0.05 ± 0.002 | 0.05 ± 0.002 | 0.562 | ≤0.40 |
| Heptadecenoic acid (C 17:1) | % | 0.10 ± 0.002 | 0.10 ± 0.003 | 0.077 | ≤0.60 |
| Stearic acid (C 18:0) | % | 2.83 ± 0.09 | 2.74 ± 0.06 | 0.425 | 0.50–5.00 |
| Oleic acid (C 18:1) | % | 75.15 ± 0.34 * | 73.89 ± 0.30 * | 0.013 | 55.00–83.00 |
| Linoleic acid (C 18:2) | % | 6.48 ± 0.20 * | 7.27 ± 0.24 * | 0.019 | 2.50–21.00 |
| Linolenic acid (C 18:3) | % | 0.61 ± 0.02 * | 0.74 ± 0.02 * | < 0.001 | ≤1.00 |
| Arachidic acid (C 20:0) | % | 0.50 ± 0.01 | 0.50 ± 0.01 | 0.917 | ≤0.60 |
| Eicosenoic acid (C 20:1) | % | 0.32 ± 0.005 | 0.33 ± 0.004 | 0.300 | ≤0.50 |
| Behenic acid (C 22:0) | % | 0.15 ± 0.005 | 0.16 ± 0.004 | 0.189 | ≤0.20 |
| Lignoceric acid (C 24:0) | % | 0.09 ± 0.003 | 0.09 ± 0.002 | 0.616 | ≤0.20 |
| trans-oleic isomer (C 18:1 T) | % | 0.019 ± 0.001 | 0.018 ± 0.001 | 0.235 | ≤0.05 |
| trans-linoleic isomer (C 18:2 CT) | % | 0.011 ± 0.001 | 0.012 ± 0.001 | 0.075 | - |
| trans-linolenic isomer (C 18:3 CTC) | % | 0.013 ± 0.001 | 0.011 ± 0.001 | 0.226 | - |
| Total trans-linoleic and trans-linolenic isomers (C 18:2 CT + C 18:3 CTC) | % | 0.023 ± 0.001 | 0.024 ± 0.001 | 0.856 | ≤0.05 |
| SFA | % | 15.99 ± 0,10 | 16.13 ± 0,06 | 0.228 | - |
| MUFA | % | 76.93 ± 0,28 * | 75.85 ± 0,29 * | 0.016 | - |
| PUFA | % | 7.09 ± 0,19 * | 8.01 ± 0,26 * | 0.010 | - |
| PUFA/SFA ratio | - | 0.44 ± 0,01 * | 0.50 ± 0,02 * | 0.008 | - |
| AI | - | 0.15 ± 0,002 | 0.15 ± 0,001 | 0.222 | - |
| TI | - | 0.35 ± 0,003 | 0.35 ± 0,002 | 0.808 | - |
Publisher’s Note: MDPI stays neutral with regard to jurisdictional claims in published maps and institutional affiliations. |
© 2020 by the authors. Licensee MDPI, Basel, Switzerland. This article is an open access article distributed under the terms and conditions of the Creative Commons Attribution (CC BY) license (http://creativecommons.org/licenses/by/4.0/).
Share and Cite
Valenčič, V.; Butinar, B.; Podgornik, M.; Bučar-Miklavčič, M. The Effect of Olive Fruit Fly Bactrocera oleae (Rossi) Infestation on Certain Chemical Parameters of Produced Olive Oils. Molecules 2021, 26, 95. https://doi.org/10.3390/molecules26010095
Valenčič V, Butinar B, Podgornik M, Bučar-Miklavčič M. The Effect of Olive Fruit Fly Bactrocera oleae (Rossi) Infestation on Certain Chemical Parameters of Produced Olive Oils. Molecules. 2021; 26(1):95. https://doi.org/10.3390/molecules26010095
Chicago/Turabian StyleValenčič, Vasilij, Bojan Butinar, Maja Podgornik, and Milena Bučar-Miklavčič. 2021. "The Effect of Olive Fruit Fly Bactrocera oleae (Rossi) Infestation on Certain Chemical Parameters of Produced Olive Oils" Molecules 26, no. 1: 95. https://doi.org/10.3390/molecules26010095
APA StyleValenčič, V., Butinar, B., Podgornik, M., & Bučar-Miklavčič, M. (2021). The Effect of Olive Fruit Fly Bactrocera oleae (Rossi) Infestation on Certain Chemical Parameters of Produced Olive Oils. Molecules, 26(1), 95. https://doi.org/10.3390/molecules26010095

