A Novel Chemical Profile of a Selective In Vitro Cholinergic Essential Oil from Clinopodium taxifolium (Kunth) Govaerts (Lamiaceae), a Native Andean Species of Ecuador
Abstract
1. Introduction
2. Results
2.1. Chemical Analysis
2.2. Enantioselective Analysis
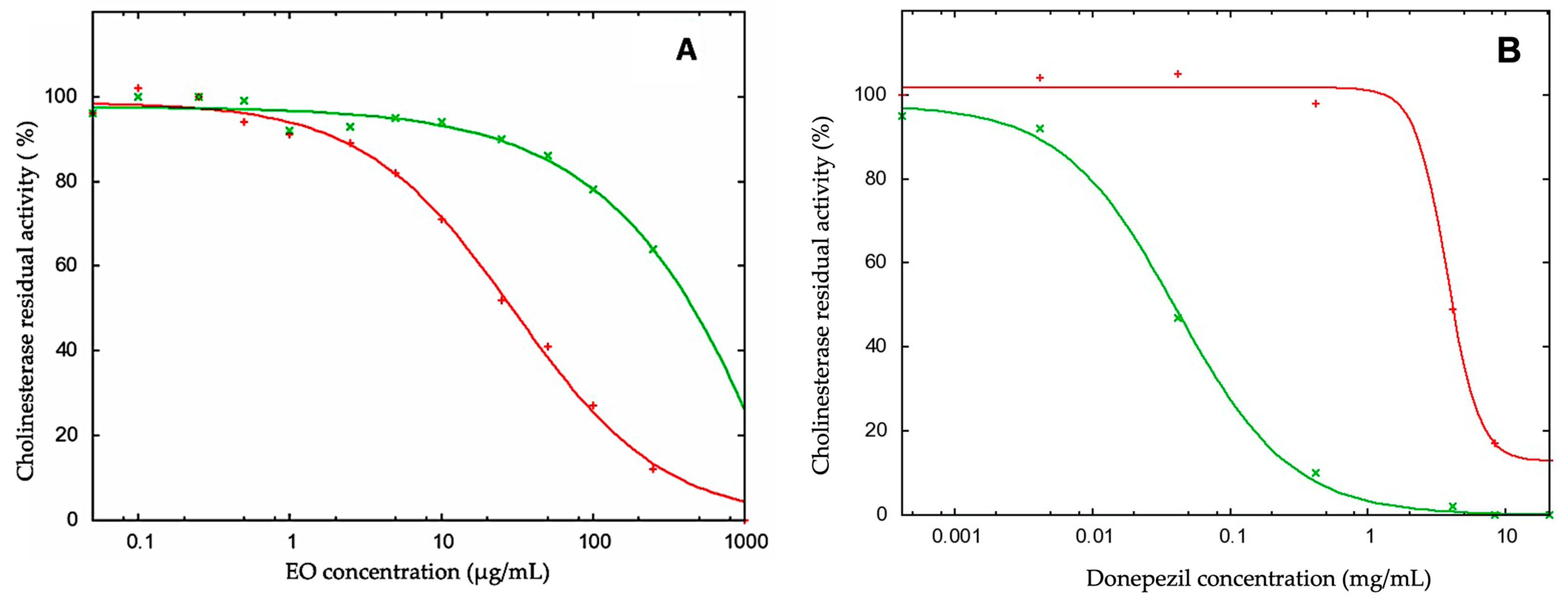
2.3. Cholinesterase Inhibition Test
3. Discussion
3.1. Selective BChE Inhibition Activity
3.2. Enantiomeric Abundance and Biological Activity
3.3. Novel EO Chemical Profile in C. taxifolium
4. Materials and Methods
4.1. Materials and Equipment
4.2. Plant Material
4.3. Isolation of the Essential Oil and Samples Preparation
4.4. Qualitative Chemical Analysis
4.5. Abundance Chemical Analysis
4.6. Enantioselective GC Analysis
4.7. Cholinesterase Inhibition Test
5. Conclusions
Author Contributions
Funding
Data Availability Statement
Acknowledgments
Conflicts of Interest
References
- Megadiverse Countries. UNEP-WCMC. 2014. Available online: https://www.biodiversitya-z.org/content/megadiverse-countries (accessed on 22 December 2020).
- Malagón, O.; Ramírez, J.; Andrade, J.M.; Morocho, V.; Armijos, C.; Gilardoni, G. Phytochemistry and Ethnopharmacology of the Ecuadorian Flora. A Review. Nat. Prod. Commun. 2016, 11, 297–314. [Google Scholar] [CrossRef] [PubMed]
- Chiriboga, X.; Gilardoni, G.; Magnaghi, I.; Finzi, P.V.; Zanoni, G.; Vidari, G. New Anthracene Derivatives from Coussareamacrophylla. J. Nat. Prod. 2003, 66, 905–909. [Google Scholar] [CrossRef] [PubMed]
- Quílez, A.; Berenguer, B.; Gilardoni, G.; Souccar, C.; De Mendonça, S.; Oliveira, L.F.S.; Martin-Calero, M.J.; Vidari, G. Anti-secretory, anti-inflammatory and anti-Helicobacter pylori activities of several fractions isolated from Piper carpunya Ruiz & Pav. J. Ethnopharmacol. 2010, 128, 583–589. [Google Scholar] [CrossRef] [PubMed]
- Gilardoni, G.; Tosi, S.; Mellerio, G.; Maldonado, M.; Chiriboga, X.; Vidari, G. Lipophilic Components from the Ecuadorian Plant Schistocarpha eupatoroides. Nat. Prod. Commun. 2010, 6, 767–772. [Google Scholar]
- Gilardoni, G.; Chiriboga, X.; Finzi, P.V.; Vidari, G. New 3,4-Secocycloartane and 3,4-Secodammarane Triterpenes from the Ecuadorian Plant Coussarea macrophylla. Chem. Biodivers. 2015, 12, 946–954. [Google Scholar] [CrossRef]
- Armijos, C.; Gilardoni, G.; Amay, L.; Lozano, A.; Bracco, F.; Ramírez, J.; Bec, N.; Larroque, C.; Finzi, P.V.; Vidari, G. Phytochemical and ethnomedicinal study of Huperzia species used in the traditional medicine of Saraguros in Southern Ecuador; AChE and MAO inhibitory activity. J. Ethnopharmacol. 2016, 193, 546–554. [Google Scholar] [CrossRef]
- Torres-Naranjo, M.; Suárez, A.I.; Gilardoni, G.; Cartuche, L.; Flores, P.; Morocho, V. Chemical Constituents of Muehlenbeckia tamnifolia (Kunth) Meisn (Polygonaceae) and Its In Vitro α-Amilase and α-Glucosidase Inhibitory Activities. Molecules 2016, 21, 1461. [Google Scholar] [CrossRef]
- Ramírez, J.; Suarez, A.I.; Bec, N.; Armijos, C.; Gilardoni, G.; Larroque, C.; Vidari, G. Carnosol from Lepechinia mutica and tiliroside from Vallea stipularis: Two promising inhibitors of BuChE. Rev. Bras. Farmacogn. 2018, 28, 559–563. [Google Scholar] [CrossRef]
- Morocho, V.; Valle, A.; Gárcia, J.; Gilardoni, G.; Cartuche, L.; Suárez, A.I. α-Glucosidase Inhibition and Antibacterial Activity of Secondary Metabolites from the Ecuadorian Species Clinopodium taxifolium (Kunth) Govaerts. Molecules 2018, 23, 146. [Google Scholar] [CrossRef]
- Ramírez, J.; Gilardoni, G.; Jácome, M.; Montesinos, J.; Rodolfi, M.; Guglielminetti, M.L.; Cagliero, C.; Bicchi, C.; Vidari, G. Chemical Composition, Enantiomeric Analysis, AEDA Sensorial Evaluation and Antifungal Activity of the Essential Oil from the Ecuadorian PlantLepechinia muticaBenth(Lamiaceae). Chem. Biodivers. 2017, 14, e1700292. [Google Scholar] [CrossRef]
- Calva, J.; Bec, N.; Gilardoni, G.; Larroque, C.; Cartuche, L.; Bicchi, C.; Montesinos, J.V. Acorenone B: AChE and BChE Inhibitor as a Major Compound of the Essential Oil Distilled from the Ecuadorian Species Niphogeton dissecta (Benth.) J.F. Macbr. Pharmaceuticals 2017, 10, 84. [Google Scholar] [CrossRef] [PubMed]
- Herrera, C.; Morocho, V.; Vidari, G.; Bicchi, C.; Gilardoni, G. Phytochemical Investigation of Male and Female Hedyosmum scabrum (Ruiz & Pav.) Solms Leaves from Ecuador. Chem. Biodivers. 2018, 15, e1700423. [Google Scholar] [CrossRef]
- Ramírez, J.; Gilardoni, G.; Ramón, E.; Tosi, S.; Picco, A.M.; Bicchi, C.; Vidari, G. Phytochemical Study of the Ecuadorian Species Lepechinia mutica (Benth.) Epling and High Antifungal Activity of Carnosol against Pyricularia oryzae. Pharmaceuticals 2018, 11, 33. [Google Scholar] [CrossRef] [PubMed]
- Gilardoni, G.; Ramírez, J.; Montalván, M.; Quinche, W.; León, J.; Benítez, L.; Morocho, V.; Cumbicus, N.; Bicchi, C. Phytochemistry of Three Ecuadorian Lamiaceae: Lepechinia heteromorpha (Briq.) Epling, Lepechinia radula (Benth.) Epling and Lepechinia paniculata (Kunth) Epling. Plants 2018, 8, 1. [Google Scholar] [CrossRef]
- Espinosa, S.; Bec, N.; Larroque, C.; Ramírez, J.; Sgorbini, B.; Bicchi, C.; Gilardoni, G. Chemical, Enantioselective, and Sensory Analysis of a Cholinesterase Inhibitor Essential Oil from Coreopsis triloba S.F. Blake (Asteraceae). Plants 2019, 8, 448. [Google Scholar] [CrossRef]
- Montalván, M.; Peñafiel, M.A.; Ramírez, J.; Cumbicus, N.; Bec, N.; Larroque, C.; Bicchi, C.; Gilardoni, G. Chemical Composition, Enantiomeric Distribution, and Sensory Evaluation of the Essential Oils Distilled from the Ecuadorian Species Myrcianthes myrsinoides (Kunth) Grifo and Myrcia mollis (Kunth) DC (Myrtaceae). Plants 2019, 8, 511. [Google Scholar] [CrossRef]
- Gárcia, J.; Gilardoni, G.; Cumbicus, N.; Morocho, V. Chemical Analysis of the Essential Oil from Siparuna echinata (Kunth) A. DC. (Siparunaceae) of Ecuador and Isolation of the Rare Terpenoid Sipaucin A. Plants 2020, 9, 187. [Google Scholar] [CrossRef]
- Gilardoni, G.; Matute, Y.; Ramírez, J. Chemical and Enantioselective Analysis of the Leaf Essential Oil from Piper coruscans Kunth (Piperaceae), a Costal and Amazonian Native Species of Ecuador. Plants 2020, 9, 791. [Google Scholar] [CrossRef]
- Gilardoni, G.; Montalván, M.; Ortiz, M.; Vinueza, D.; Montesinos, J.V. The Flower Essential Oil of Dalea mutisii Kunth (Fabaceae) from Ecuador: Chemical, Enantioselective, and Olfactometric Analyses. Plants 2020, 9, 1403. [Google Scholar] [CrossRef]
- Tropicos. Clinopodium taxifolium (Kunth) Govaerts. 1999. Available online: https://www.tropicos.org/name/50199434 (accessed on 22 December 2020).
- Harley, R.M.; Paucar, A.G. List of Species of Tropical American Clinopodium (Labiatae), with New Combinations. Kew Bull. 2000, 55, 917. [Google Scholar] [CrossRef]
- Jorgensen, P.; Leon-Yanez, S. Catalogue of the Vascular Plants of Ecuador; Monogram St. Louis: St. Louis, MO, USA, 1999; Volume 75, p. 519. [Google Scholar]
- Benny, A.; Thomas, J. Essential Oils as Treatment Strategy for Alzheimer’s Disease: Current and Future Perspectives. Planta Med. 2018, 85, 239–248. [Google Scholar] [PubMed]
- Hu, S.; Maiti, P.; Ma, Q.; Zuo, X.; Jones, M.R.; Cole, G.M.; Frautschy, S.A. Clinical development of curcumin in neurodegenerative disease. Expert Rev. Neurother. 2015, 15, 629–637. [Google Scholar] [CrossRef] [PubMed]
- Dos Santos, T.C.; Gomes, T.M.; Pinto, B.A.S.; Camara, A.L.; Paes, A.M.A. Naturally Occurring Acetylcholinesterase Inhibitors and Their Potential Use for Alzheimer’s Disease Therapy. Front. Pharmacol. 2018, 9, 1192. [Google Scholar] [CrossRef] [PubMed]
- Casey, D.A.; Antimisiaris, D.; O’Brien, J. Drugs for Alzheimer’s Disease: Are They Effective? Pharm. Ther. 2010, 35, 208–211. [Google Scholar]
- Hong, Y.J.; Choi, S.H.; Jeong, J.H.; Park, K.W.; Na, H.R. Effectiveness of Anti-Dementia Drugs in Extremely Severe Alzheimer’s Disease: A 12-Week, Multicenter, Randomized, Single-Blind Study. J. Alzheimers Dis. 2018, 63, 1035–1044. [Google Scholar] [CrossRef]
- Sparkman, O.D. Identification of essential oil components by gas chromatography/quadrupole mass spectroscopy Robert P. Adams. J. Am. Soc. Mass Spectrom. 2005, 16, 1902–1903. [Google Scholar] [CrossRef]
- Saroglou, V.; Marin, P.D.; Rančić, A.; Veljic, M.; Skaltsa, H. Composition and antimicrobial activity of the essential oil of six Hypericum species from Serbia. Biochem. Syst. Ecol. 2007, 35, 146–152. [Google Scholar] [CrossRef]
- Bisio, A.; Ciarallo, G.; Romussi, G.; Fontana, N.; Mascolo, N.; Capasso, R.; Biscardi, D. Chemical composition of essential oils from some Salvia species. Phytother. Res. 1998, 12, S117–S120. [Google Scholar] [CrossRef]
- Babushok, V.I.; Linstrom, P.J.; Zenkevich, I.G. Retention Indices for Frequently Reported Compounds of Plant Essential Oils. J. Phys. Chem. Ref. Data 2011, 40, 043101. [Google Scholar] [CrossRef]
- Zhao, C.-X.; Li, X.-N.; Liang, Y.-Z.; Fang, H.-Z.; Huang, L.-F.; Guo, F.-Q. Comparative analysis of chemical components of essential oils from different samples of Rhododendron with the help of chemometrics methods. Chemom. Intell. Lab. Syst. 2006, 82, 218–228. [Google Scholar] [CrossRef]
- Ledauphin, J.; Saint-Clair, J.-F.; Lablanquie, O.; Guichard, H.; Founier, N.; Guichard, E.; Barillier, D. Identification of Trace Volatile Compounds in Freshly Distilled Calvados and Cognac Using Preparative Separations Coupled with Gas Chromatography−Mass Spectrometry. J. Agric. Food Chem. 2004, 52, 5124–5134. [Google Scholar] [CrossRef] [PubMed]
- Salgueiro, L.; Pinto, E.; Gonçalves, M.J.; Costa, I.; Palmeira, A.; Cavaleiro, C.; Pina-Vaz, C.; Rodrigues, A.G.; Martinez-De-Oliveira, J. Antifungal activity of the essential oil of Thymus capitellatus against Candida, Aspergillus and dermatophyte strains. Flavour Fragr. J. 2006, 21, 749–753. [Google Scholar] [CrossRef]
- Rubiolo, P.; Matteodo, M.; Riccio, G.; Ballero, M.; Christen, P.; Fleury-Souverain, S.; Veuthey, J.-L.; Bicchi, C. Analytical Discrimination of Poisonous and Nonpoisonous Chemotypes of Giant Fennel (Ferula communisL.) through Their Biologically Active and Volatile Fractions. J. Agric. Food Chem. 2006, 54, 7556–7563. [Google Scholar] [CrossRef] [PubMed]
- Capetanos, C.; Saroglou, V.; Marin, P.D.; Simic, A.; Skaltsa, H. Essential oil analysis of two endemic Eryngium species from Serbia. J. Serbian Chem. Soc. 2007, 72, 961–965. [Google Scholar] [CrossRef]
- Dugo, G.; Bonaccorsi, I.; Sciarrone, D.; Costa, R.; Dugo, P.; Mondello, L.; Santi, L.; Fakhry, H.A. Characterization of Oils from the Fruits, Leaves and Flowers of the Bitter Orange Tree. J. Essent. Oil Res. 2011, 23, 45–59. [Google Scholar] [CrossRef]
- Dobetsberger, C.; Buchbauer, G. Actions of essential oils on the central nervous system: An updated review. Flavour Fragr. J. 2011, 26, 300–316. [Google Scholar] [CrossRef]
- Loizzo, M.R.; Ben Jemia, M.; Senatore, F.; Bruno, M.; Menichini, F.; Tundis, R. Chemistry and functional properties in prevention of neurodegenerative disorders of five Cistus species essential oils. Food Chem. Toxicol. 2013, 59, 586–594. [Google Scholar] [CrossRef]
- Bonesi, M.; Menichini, F.; Tundis, R.; Loizzo, M.R.; Conforti, F.; Passalacqua, N.; Statti, G.A.; Menichini, F. Acetylcholinesterase and butyrylcholinesterase inhibitory activity of Pinus species essential oils and their constituents. J. Enzym. Inhib. Med. Chem. 2010, 25, 622–628. [Google Scholar] [CrossRef]
- Greig, N.H.; Utsuki, T.; Qian-sheng, Y.; Xiaoxiang, Z.; Holloway, H.W.; Perry, T.A.; Lee, B.; Ingram, D.K.; Lahiri, D.K. A New Therapeutic Target in Alzheimer’s Disease Treatment: Attention to Butyrylcholinesterase. Curr. Med. Res. Opin. 2001, 17, 159–165. [Google Scholar] [CrossRef]
- Greig, N.H.; Lahiri, D.K.; Sambamurti, K. Butyrylcholinesterase: An Important New Target in Alzheimer’s Disease Therapy. Int. Psychogeriatr. 2002, 14, 77–91. [Google Scholar] [CrossRef]
- Li, Q.; Yang, H.; Chen, Y.; Sun, H. Recent progress in the identification of selective butyrylcholinesterase inhibitors for Alzheimer’s disease. Eur. J. Med. Chem. 2017, 132, 294–309. [Google Scholar] [CrossRef] [PubMed]
- Savelev, S.; Okello, E.; Perry, N.; Wilkins, R.; Perry, E. Synergistic and antagonistic interactions of anticholinesterase terpenoids in Salvia lavandulaefolia essential oil. Pharmacol. Biochem. Behav. 2003, 75, 661–668. [Google Scholar] [CrossRef]
- Miyazawa, M.; Yamafuji, C. Inhibition of acetylcholinesterase activity by tea tree oil and constituent terpenoids. Flavour Fragr. J. 2006, 21, 198–201. [Google Scholar] [CrossRef]
- Marriott, P.J.; Shellie, R.; Cornwell, C. Gas chromatographic technologies for the analysis of essential oils. J. Chromatogr. A 2001, 936, 1–22. [Google Scholar] [CrossRef]
- König, W.A.; Hochmuth, D.H. Enantioselective Gas Chromatography in Flavor and Fragrance Analysis: Strategies for the Identification of Known and Unknown Plant Volatiles. J. Chromatogr. Sci. 2004, 42, 423–439. [Google Scholar] [CrossRef]
- Liberto, E.; Cagliero, C.; Sgorbini, B.; Bicchi, C.; Sciarrone, D.; Zellner, B.D.; Mondello, L.; Rubiolo, P. Enantiomer identification in the flavor and fragrance fields by “interactive” combination of linear retention indices from enantioselective gas chromatography and mass spectrometry. J. Chromatogr. A 2008, 1195, 117–126. [Google Scholar] [CrossRef]
- Brenna, E.; Fuganti, C.; Serra, S. Enantioselective perception of chiral odorants. Tetrahedron Asymmetry 2003, 14, 1–42. [Google Scholar] [CrossRef]
- Dunkić, V.; Kremer, D.; Grubešić, R.J.; Rodríguez, J.V.; Ballian, D.; Bogunić, F.; Stešević, D.; Kosalec, I.; Bezić, N.; Stabentheiner, E. Micromorphological and phytochemical traits of four Clinopodium L. species (Lamiaceae). S. Afr. J. Bot. 2017, 11, 232–241. [Google Scholar] [CrossRef]
- Reynoso, M.; Coca, M.E.B.; Brodkiewicz, I.Y.; Jaime, G.; Perotti, M.; Schuff, C.; Vera, N. Anti-inflammatory Effects and Safety of Extracts and Essential Oil from Clinopodium gilliesii (muña muña). Int. J. Pharm. Sci. Drug Res. 2018, 10, 306–314. [Google Scholar] [CrossRef]
- Ali-Shtayeh, M.S.; Jamous, R.M.; Abu-Zaitoun, S.Y.; Akkawi, R.J.; Kalbouneh, S.; Bernstein, N.; Dudai, N. Chemical profile and bioactive properties of the essential oil isolated from Clinopodium serpyllifolium (M.Bieb.) Kuntze growing in Palestine. Ind. Crop. Prod. 2018, 124, 617–625. [Google Scholar] [CrossRef]
- Arantes, S.M.; Piçarra, A.; Guerreiro, M.; Salvador, C.; Candeias, F.; Caldeira, A.T.; Martins, M.R. Toxicological and pharmacological properties of essential oils of Calamintha nepeta, Origanum virens and Thymus mastichina of Alentejo (Portugal). Food Chem. Toxicol. 2019, 133, 110747. [Google Scholar] [CrossRef] [PubMed]
- Barbieri, N.; Costamagna, M.; Gilabert, M.; Perotti, M.; Schuff, C.; Isla, M.I.; Benavente, A. Antioxidant activity and chemical composition of essential oils of three aromatic plants from La Rioja province. Pharm. Biol. 2015, 54, 168–173. [Google Scholar] [CrossRef] [PubMed]
- Gilardoni, G.; Malagón, O.; Morocho, V.; Negri, R.; Tosi, S.; Guglielminetti, M.; Vidari, G.; Finzi, P.V. Phytochemical researches and antimicrobial activity of Clinopodium nubigenum Kunth (Kuntze) raw extracts. Rev. Bras. Farmacogn. 2011, 21, 850–855. [Google Scholar] [CrossRef]
- Matailo, A.; Bec, N.; Calva, J.; Ramírez, J.; Andrade, J.M.; Larroque, C.; Vidari, G.; Armijos, Ch. Selective BuChE inhibitory activity, chemical composition, and enantiomer content of the volatile oil from the Ecuadorian plant Clinopodium brownie. Rev. Bras. Farmacogn. 2019, 29, 749–754. [Google Scholar] [CrossRef]
- Debbabi, H.; El Mokni, R.; Chaieb, I.; Nardoni, S.; Maggi, F.; Caprioli, G.; Hammami, S. Chemical Composition, Antifungal and Insecticidal Activities of the Essential Oils from Tunisian Clinopodium nepeta subsp. nepeta and Clinopodium nepeta subsp. glandulosum. Molecules 2020, 25, 2137. [Google Scholar] [CrossRef]
- Paco, F.N.; Tatiana, D.L.; Ángeles, M.; Edison, A.O.; Pablo, G.; Andrea, F. Clinopodium nubigenum (Kunth) Kuntze essential oil: Chemical composition, antioxidant activity, and antimicrobial test against respiratory pathogens. J. Pharmacogn. Phytother. 2018, 10, 149–157. [Google Scholar] [CrossRef]
- Retta, D.S.; Gonzalez, S.B.; Guerra, P.E.; van Baren, C.M.; Di Leo Lira, P.; Bandoni, A.L. Essential oils of native and naturalized Lamiaceae species growing in the Patagonia region (Argentina). J. Essent. Oil Res. 2017, 29, 64–75. [Google Scholar] [CrossRef]
- Rojas-Olivos, A.; Solano-Gómez, R.; Granados-Echegoyen, C.; Santiago-Santiago, L.A.; García-Dávila, J.; Perez-Pacheco, R.; Lagunez-Rivera, L. Larvicidal effect of Clinopodium macrostemum essential oil extracted by microwave-assisted hydrodistillation against Culex quinquefasciatus (Diptera: Culicidae). Rev. Soc. Bras. Med. Trop. 2018, 51, 291–296. [Google Scholar] [CrossRef]
- Tepe, B.; Sihoglu-Tepe, A.; Daferera, D.; Polissiou, M.; Sokmen, A. Chemical composition and antioxidant activity of the essential oil of Clinopodium vulgare L. Food Chem. 2007, 103, 766–770. [Google Scholar] [CrossRef]
- Villa-Ruano, N.; Pacheco-Hernández, Y.; Cruz-Durán, R.; Lozoya-Gloria, E. Volatiles and seasonal variation of the essential oil composition from the leaves of Clinopodium macrostemum var laevigatum and its biological activities. Ind. Crop. Prod. 2015, 77, 741–747. [Google Scholar] [CrossRef]
- Benzo, M.; Gilardoni, G.; Gandini, C.; Caccialanza, G.; Finzi, P.V.; Vidari, G.; Abdo, S.; Layedra, P. Determination of the threshold odor concentration of main odorants in essential oils using gas chromatography–olfactometry incremental dilution technique. J. Chromatogr. A 2007, 1150, 131–135. [Google Scholar] [CrossRef] [PubMed]
- Romani, R.; Bedini, S.; Salerno, G.; Ascrizzi, R.; Flamini, G.; Echeverria, M.C.; Farina, P.; Conti, B. Andean Flora as a Source of New Repellents against Insect Pests: Behavioral, Morphological and Electrophysiological Studies on Sitophilus zeamais (Coleoptera: Curculionidae). Insects 2019, 10, 171. [Google Scholar] [CrossRef] [PubMed]
- Kumar, V.; Mathela, C.; Tewari, A.; Bisht, K. In vitro inhibition activity of essential oils from some Lamiaceae species against phytopathogenic fungi. Pestic. Biochem. Physiol. 2014, 114, 67–71. [Google Scholar] [CrossRef] [PubMed]
- Chen, X.; Liu, X.; Zhou, L.; Liu, Z. Essential Oil Composition and Larvicidal Activity of Clinopodium gracile (Benth) Matsum (Labiatae) Aerial Parts against the Aedes albopictus Mosquito. Trop. J. Pharm. Res. 2013, 12, 799–804. [Google Scholar] [CrossRef]
- Li, H.Y.; Liu, X.C.; Chen, X.B.; Liu, Q.Z.; Liu, Z.L. Chemical Composition and Insecticidal Activities of the Essential Oil of Clinopodium chinense (Benth.) Kuntze Aerial Parts against Liposcelis bostrychophila Badonnel. J. Food Prot. 2015, 78, 1870–1874. [Google Scholar] [CrossRef]
- Conde-Hernández, L.A.; Espinosa-Victoria, J.R.; Trejo, A.; Guerrero-Beltrã, J.A. CO2-supercritical extraction, hydrodistillation and steam distillation of essential oil of rosemary (Rosmarinus officinalis). J. Food Eng. 2017, 200, 81–86. [Google Scholar] [CrossRef]
- Dool, H.V.D.; Kratz, P.D. A generalization of the retention index system including linear temperature programmed gas—liquid partition chromatography. J. Chromatogr. A 1963, 11, 463–471. [Google Scholar] [CrossRef]
- Laumer, J.D.S.; Leocata, S.; Tissot, E.; Baroux, L.; Kampf, D.M.; Merle, P.; Boschung, A.; Seyfried, M.; Chaintreau, A. Prediction of response factors for gas chromatography with flame ionization detection: Algorithm improvement, extension to silylated compounds, and application to the quantification of metabolites. J. Sep. Sci. 2015, 38, 3209–3217. [Google Scholar] [CrossRef]
- Ellman, G.L.; Courtney, K.; Andres, V.; Featherstone, R.M. A new and rapid colorimetric determination of acetylcholinesterase activity. Biochem. Pharmacol. 1961, 7, 88–95. [Google Scholar] [CrossRef]
- Rhee, I.K.; Van Rijn, R.M.; Verpoorte, R. Qualitative determination of false-positive effects in the acetylcholinesterase assay using thin layer chromatography. Phytochem. Anal. 2003, 14, 127–131. [Google Scholar] [CrossRef]


| N° | Component | DB-5ms | HP-INNOWax | ||||||
|---|---|---|---|---|---|---|---|---|---|
| LRI a | LRI b | % c | σ d | LRI a | LRI b | % c | σ d | ||
| 1 | α-thujene | 919 | 924 [29] | trace | - | 1022 | 1025 [30] | trace | - |
| 2 | α-pinene | 925 | 932 [29] | 0.7 | 0.22 | 1017 | 1020 [31] | 0.4 | 0.19 |
| 3 | sabinene | 965 | 969 [29] | 3.2 | 1.67 | 1119 | 1122 [32] | 3.0 | 1.42 |
| 4 | β-pinene | 968 | 974 [29] | 3.5 | 1.37 | 1106 | 1105 [30] | 2.9 | 1.06 |
| 5 | α-terpinene | 1012 | 1014 [29] | trace | - | 1176 | 1178 [32] | trace | - |
| 6 | limonene | 1024 | 1024 [29] | 2.6 | 2.91 | 1198 | 1198 [32] | 1.8 | 2.68 |
| 7 | 1,8-cineole | 1026 | 1026 [29] | 1.3 | 1.92 | 1205 | 1211 [32] | 1.2 | 2.04 |
| 8 | terpinolene | 1078 | 1086 [29] | trace | - | 1280 | 1282 [32] | trace | - |
| 9 | linalool | 1101 | 1095 [29] | 0.5 | 0.59 | 1554 | 1543 [32] | 0.6 | 0.61 |
| 10 | 1-ethenyl-4-methoxy-benzene | 1147 | 1154 [33] | 1.6 | 0.04 | 1679 | 1670 [34] | 0.3 | 0.02 |
| 11 | citronellal | 1151 | 1148 [29] | 1.0 | 0.02 | 1448 | 1469 e | 0.8 | 0.02 |
| 12 | cis-pinocamphone | 1167 | 1172 [29] | 0.8 | 1.09 | 1537 | 1545 [32] | 1.2 | 1.08 |
| 13 | Terpinen-4-ol | 1174 | 1174 [29] | 0.6 | 0.41 | 1600 | 1601 [32] | 0.2 | 0.35 |
| 14 | α-terpineol | 1191 | 1186 [29] | 0.3 | 0.30 | 1672 | 1694 [32] | 0.3 | 0.04 |
| 15 | methyl geranate | 1320 | 1322 [29] | 1.0 | 0.03 | - | - | - | - |
| 16 | α-copaene | 1363 | 1374 [29] | 10.5 | 0.36 | 1483 | 1491 [32] | 8.0 | 0.38 |
| 17 | β-bourbonene | 1369 | 1387 [29] | 9.9 | 0.32 | 1509 | 1523 [31] | 8.2 | 0.36 |
| 18 | (Z)-β-caryophyllene | 1389 | 1408 [29] | 2.7 | 0.06 | 1565 | 1588 [32] | 0.9 | 0.14 |
| 19 | (E)-β-caryophyllene | 1403 | 1417 [29] | 17.8 | 1.26 | 1587 | 1599 [32] | 14.5 | 1.30 |
| 20 | β-cubebene | 1414 | 1387 [29] | 2.0 | 0.03 | 1580 | 1580 [35] | 0.6 | 0.04 |
| 21 | α-humulene | 1438 | 1452 [29] | 0.9 | 0.08 | 1658 | 1667 [32] | 1.2 | 0.07 |
| 22 | cis-cadina-1(6),4-diene | 1466 | 1461 [29] | 6.4 | 0.41 | 1664 | - | 6.2 | 0.05 |
| 23 | germacrene D | 1480 | 1480 [29] | 4.9 | 0.65 | 1669 | 1674 e | 4.9 | 0.72 |
| 24 | δ-cadinene | 1506 | 1522 [29] | 6.6 | 0.28 | 1751 | 1756 [32] | 5.4 | 0.47 |
| 25 | elemol | 1539 | 1548 [29] | 2.1 | 0.78 | 2079 | 2079 [32] | 1.5 | 1.75 |
| 26 | hedycaryol | 1542 | 1546 [29] | 0.1 | 0.10 | 2046 | 2037 [36] | 1.2 | 0.48 |
| 27 | spathulenol | 1562 | 1577 [29] | 0.9 | 0.33 | 2119 | 2121 [32] | 1.4 | 1.60 |
| 28 | 10-epi-γ-eudesmol | 1618 | 1622 [29] | 1.8 | 0.51 | 2164 | 2170 [31] | 1.3 | 0.24 |
| 29 | caryophylla-4(12),8(13)-dien-5β-ol | 1621 | 1639 [29] | 0.4 | 0.62 | 2292 | 2299 [37] | 1.6 | 0.54 |
| 30 | β-eudesmol | 1638 | 1652 [29] | 1.0 | 1.11 | 2222 | 2220 [31] | 1.1 | 0.31 |
| 31 | γ-eudesmol | 1639 | 1630 [29] | 1.7 | 0.37 | - | - | - | - |
| 32 | unknown (mw = 204) | - | - | - | - | 1697 | - | 2.1 | 0.36 |
| 33 | bicyclogermacrene | - | - | - | - | 1723 | 1735 [32] | 2.6 | 1.02 |
| 34 | caryophyllene oxide | - | - | - | - | 1968 | 1970 [31] | 3.0 | 0.42 |
| 35 | unknown (mw = 220) | - | - | - | - | 2144 | - | 2.1 | 0.66 |
| 36 | α-eudesmol | 1651 | 1652 [29] | 1.3 | 0.30 | 2214 | 2223 [32] | 1.3 | 0.31 |
| 37 | unknown (mw = 204) | - | - | - | - | 2247 | - | 4.2 | 2.21 |
| Monoterpene hydrocarbons | 10.0 | 8.1 | |||||||
| Oxygenated monoterpene | 5.5 | 4.3 | |||||||
| Sesquiterpene hydrocarbons | 61.7 | 58.8 | |||||||
| Oxygenated sesquiterpene | 9.3 | 14.5 | |||||||
| Others | 1.6 | 0.3 | |||||||
| Total amount | 88.1 | 86.0 | |||||||
| Component | RT a (min.) | LRI b | Enantiomer Percentage | ee% |
|---|---|---|---|---|
| (1S,5R)-(+)-α-thujene c | 12.96 | 920 | 16.1 | 67.8 |
| (1R,5S)-(−)-α-thujene c | 13.20 | 924 | 83.9 | |
| (1R,5R)-(+)-α-pinene | 13.72 | 933 | 92.8 | 85.5 |
| (1S,5S)-(−)-α-pinene | 13.85 | 935 | 7.2 | |
| (1R,5R)-(+)-β-pinene | 15.28 | 959 | 5.0 | 90.0 |
| (1S,5S)-(−)-β-pinene | 15.76 | 967 | 94.9 | |
| (1R,5R)-(+)-sabinene | 16.85 | 985 | 43.9 | 12.3 |
| (1S,5S)-(−)-sabinene | 17.66 | 998 | 56.2 | |
| (S)-(−)-limonene | 21.55 | 1061 | 94.1 | 88.1 |
| (R)-(+)-limonene | 22.59 | 1078 | 5.9 | |
| (R)-(−)-linalool | 29.84 | 1198 | 33.7 | 32.7 |
| (S)-(+)-linalool | 30.47 | 1209 | 66.3 | |
| (S)-(+)-terpinen-4-ol | 33.98 | 1270 | 45.4 | 9.3 |
| (R)-(−)-terpinen-4-ol | 34.12 | 1272 | 54.6 | |
| (S)-(−)-α-terpineol | 36.37 | 1312 | 85.6 | 71.2 |
| (R)-(+)-α-terpineol | 37.13 | 1326 | 14.4 | |
| (R)-(+)-germacrene D | 38.74 | 1354 | 5.5 | 89.0 |
| (S)-(−)-germacrene D | 45.15 | 1474 | 94.5 |
Sample Availability: Samples of the compounds are not available from the authors. |
Publisher’s Note: MDPI stays neutral with regard to jurisdictional claims in published maps and institutional affiliations. |
© 2020 by the authors. Licensee MDPI, Basel, Switzerland. This article is an open access article distributed under the terms and conditions of the Creative Commons Attribution (CC BY) license (http://creativecommons.org/licenses/by/4.0/).
Share and Cite
Espinosa, S.; Bec, N.; Larroque, C.; Ramírez, J.; Sgorbini, B.; Bicchi, C.; Cumbicus, N.; Gilardoni, G. A Novel Chemical Profile of a Selective In Vitro Cholinergic Essential Oil from Clinopodium taxifolium (Kunth) Govaerts (Lamiaceae), a Native Andean Species of Ecuador. Molecules 2021, 26, 45. https://doi.org/10.3390/molecules26010045
Espinosa S, Bec N, Larroque C, Ramírez J, Sgorbini B, Bicchi C, Cumbicus N, Gilardoni G. A Novel Chemical Profile of a Selective In Vitro Cholinergic Essential Oil from Clinopodium taxifolium (Kunth) Govaerts (Lamiaceae), a Native Andean Species of Ecuador. Molecules. 2021; 26(1):45. https://doi.org/10.3390/molecules26010045
Chicago/Turabian StyleEspinosa, Sandra, Nicole Bec, Christian Larroque, Jorge Ramírez, Barbara Sgorbini, Carlo Bicchi, Nixon Cumbicus, and Gianluca Gilardoni. 2021. "A Novel Chemical Profile of a Selective In Vitro Cholinergic Essential Oil from Clinopodium taxifolium (Kunth) Govaerts (Lamiaceae), a Native Andean Species of Ecuador" Molecules 26, no. 1: 45. https://doi.org/10.3390/molecules26010045
APA StyleEspinosa, S., Bec, N., Larroque, C., Ramírez, J., Sgorbini, B., Bicchi, C., Cumbicus, N., & Gilardoni, G. (2021). A Novel Chemical Profile of a Selective In Vitro Cholinergic Essential Oil from Clinopodium taxifolium (Kunth) Govaerts (Lamiaceae), a Native Andean Species of Ecuador. Molecules, 26(1), 45. https://doi.org/10.3390/molecules26010045

