Abstract
A number of novel 6-R-isoxazolo[4,3-b]pyridines were synthesized and their reactions with neutral C-nucleophiles (1,3-dicarbonyl compounds, π-excessive (het)arenes, dienes) were studied. The reaction rate was found to be dependent on the nature of the substituent 6-R. The most reactive 6-nitroisoxazolo[4,3-b]pyridines are able to add C-nucleophiles in the absence of a base under mild conditions. In addition, these compounds readily undergo [4+2]-cycloaddition reactions on aromatic bonds C=C(NO2) of the pyridine ring, thus indicating the superelectrophilic nature of 6-NO2-isoxazolo[4,3-b]pyridines.
1. Introduction
The nitro group is considered to be a versatile and unique functional group in organic chemistry. Synthetic and natural compounds containing nitro groups display great structural diversity [1,2], and they exhibit a wide range of biological activities [3] including antibiotic [1], antitumor [1,4], and anti-HIV activities [5,6,7]. In addition, nitroarenes are used as agrochemical preparations [8,9], energetic compounds [10] and in the production of innovative materials [11].
It is well known that the introduction of one or more nitro groups in aromatic or heteroaromatic nucleus increases the electron-deficient character of the molecule. Such compounds have been extensively studied in recent decades due to their interesting, sometimes exceptional, properties. Their high susceptibility to undergoing nucleophilic addition or substitution processes with very weak nucleophiles has raised considerable interest, leading to numerous synthetic, biological, and analytical applications [12,13,14,15,16,17,18,19,20,21,22,23,24,25,26,27,28,29,30,31].
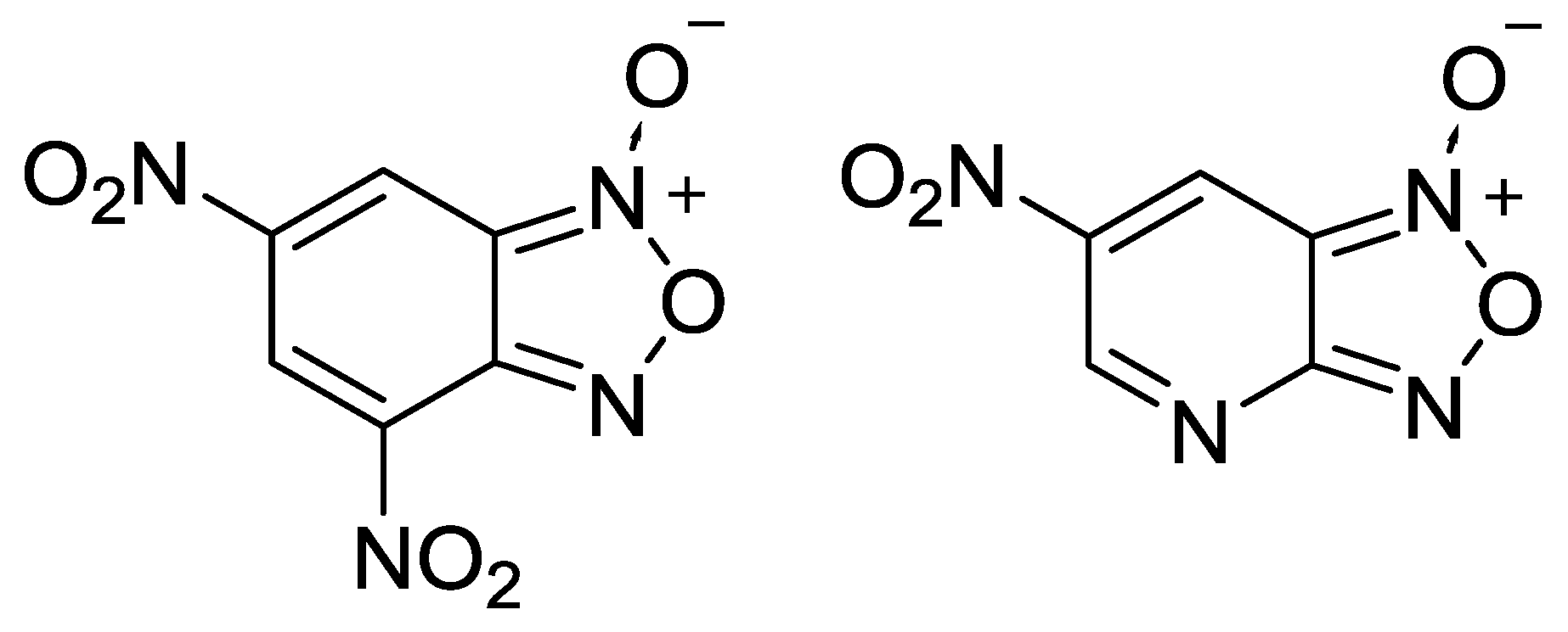
Such compounds possess extremely high reactivity towards carbon and heteroatomic nucleophiles, therefore a special term, “superelectrophile”, was coined in order to distinguish them from other electrophilic aromatics [26,32]. Typical examples of such compounds are given below (Figure 1).
Figure 1.
Selected examples of superelectrophiles.
In addition, these compounds are capable to undergo [4+2]-cycloadditions to the C=C(NO2) aromatic bond, behaving as electron-poor dienophiles with dienes, or as heterodienes with electron-rich dienophiles within normal or inverse electronic demands, respectively [16,33,34,35]. The above-mentioned interactions with nucleophiles or dienes resulted in dearomatization of the initial aromatic nitro compound. At the same time, dearomatization as a method of converting accessible, cheap, and simple aromatic compounds into more saturated, inaccessible and promising intermediates of greater molecular complexity is a very important approach in modern organic chemistry [36,37].
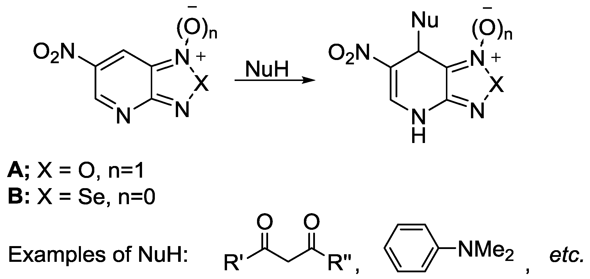
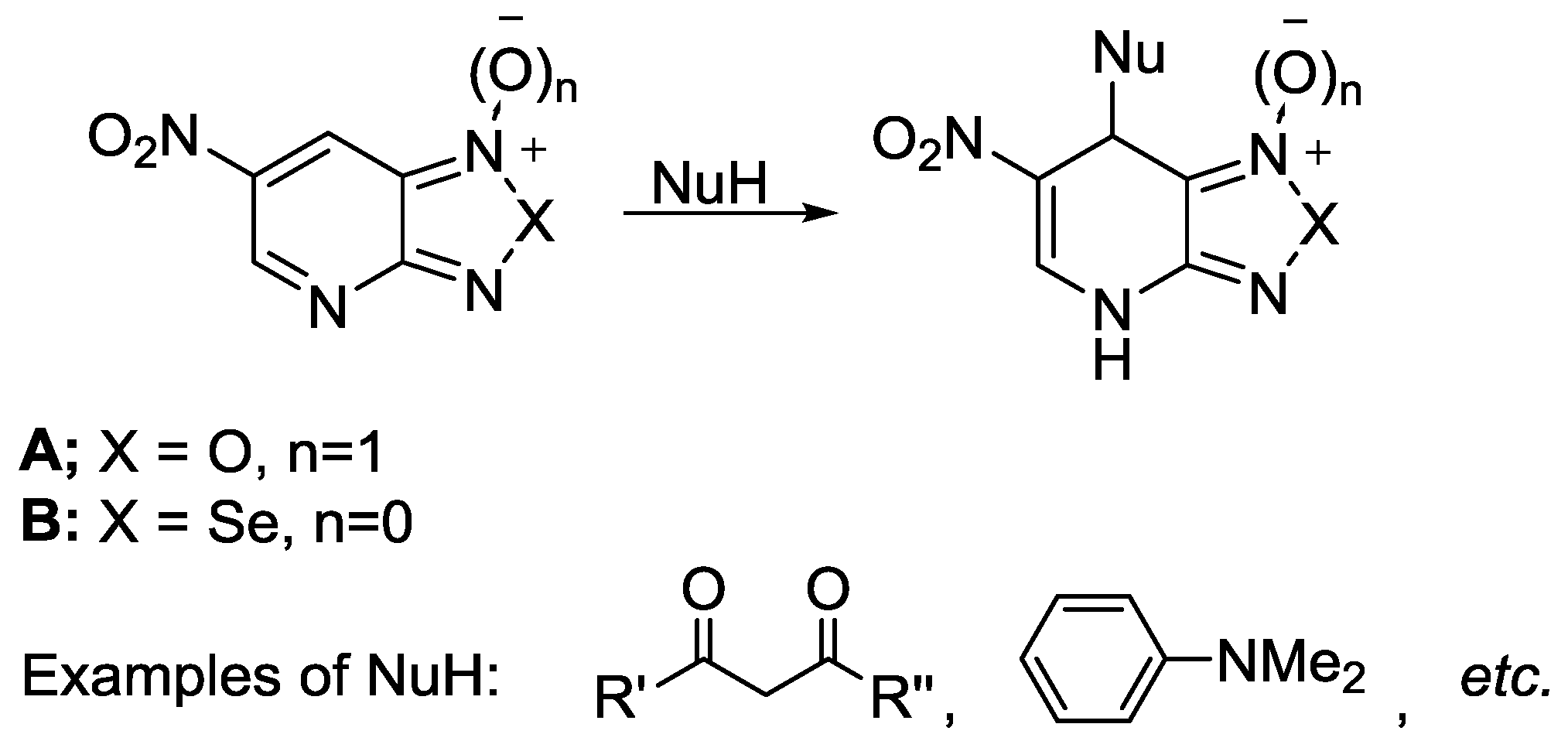
This work is part of our ongoing research on highly electrophilic systems and the application of the dearomatization strategy in the synthesis of new polyfunctional azaheterocycles [38,39,40,41,42,43,44,45,46,47,48]. We have previously shown that nitropyridines fused with π-deficient heterocycles (furoxan A, selenadiazole B), Scheme 1, react with neutral nucleophiles with the formation of 1,4-addition products—dihydropyridine derivatives [45,46,48].
Scheme 1.
Reactions of condensed nitropyridines with nucleophiles.
Another possible condensed pyridines structurally close to heterocyclic systems A and B and presumably having a similar electron-deficient character are isoxazolo[4,3-b]pyridines C, Figure 2. The present work is devoted to the synthesis of pyridine derivatives condensed with an isoxazole ring and study of their interaction with various neutral C-nucleophiles as well as their behavior in [4+2]-cycloaddition reactions.
Figure 2.
Pyridines fused with high-electrophilic heterocycles.
2. Results and Discussion
2.1. Synthesis of 6-R-Isoxazolo[4,3-b]pyridines 3a–j
6-R-Isoxazolo[4,3-b]pyridines 3a–j were synthesized according to a two-steps procedure, previously described in the literature for 3j [49]. Commercially available 2-chloro-3-nitropyridines 1a–e used as starting compounds were involved in Sonogashira cross-coupling with terminal alkynes to give 2-alkynylpyridines 2a–j. In turn, the cycloisomerization of compounds 2a–j in the presence of catalytic amounts of iodine(I) chloride gave the desired 6-R-3-acylisoxazolo[4,3-b]pyridines 3a–j in good yields, Scheme 2, Table 1.
Scheme 2.
Synthesis of 6-R-isoxazolo[4,3-b]pyridines 3a–j.
Table 1.
Isolated yields of compounds 2a–j and 3 a–j.
In the case of compounds 2e and 2f, 1H NMR spectroscopy showed that, along with the expected isoxazolo[4,3-b]pyridines, the formation of minor unidentified products (5–10%) occurred. All attempts to isolate target compounds in their pure forms failed, therefore compounds 3e,f were used without further purification. The structure of compounds 2 and 3 was established on the basis of NMR and HRMS data, and for compounds 2a, 2c, 3b it was additionally confirmed by X-Ray analysis.
2.2. X-ray of 2a, 2c, 3b
The crystals of 2a and 2c are isostructural with minor differences in the unit cell parameters. All bonds, bond angles and torsion angles are typical as confirmed by a Mogul geometry check [50]. The bond angles at the triple bond C2-C7-C8 (176.11(14) and 176.37(15)°) and C7-C8-C9 (174.20(14) and 171.90(16)° in 2a and 2c) deviate from the idealized value of 180° for linear conformation. The angles between the average planes of nitro groups and pyridine group are within the range 7.09(17)–12.44(14)°, despite the presence of the short intramolecular contact O1···C7 (2.6763(17) and 2.6580(18) Å in 2a and 2c). Pyridine and phenyl rings are nearly co-planar with interplane angles equal to 5.97(5) and 5.61(5)°. In crystal packing, a head-to-tail arrangement of the molecules is observed with π-stacking interaction between formally acceptor dinitro substituted pyridine ring and phenyl moieties (C···C from ca. 3.3 Å). All other intermolecular contacts are weak and non-directional.
The crystal of 3b is a first example of determined crystal structure containing isoxazolo[4,3-b]pyridine ring, Figure 3. The distribution of bond distances in the heterocycle (N1-O2 1.4109(18), O2-C3 1.3487(19), C3-C3A 1.378(2), N1-C7A 1.330(2), C3A-C7A 1.426(2) Å) is quite similar to the one found in a number of benzo[c]isoxazoles found in Cambridge Structural Database and confirms the canonical structure shown in Figure 3. Due to steric reasons, the heterocycle and tolyl substituents are non-coplanar with O2-C3-C8-C9 torsion angle equal to 48.4(2)°. In crystal molecules, infinite π-stacks (C···C from ca. 3.4 Å) of alternating molecules with head-to-tail arrangement of heterocycles and tolyl fragments are formed.
Figure 3.
General view of 3b in crystal. Anisotropic displacement parameters for non-hydrogen atoms are drawn at 50% probability.
2.3. Nucleophilic Addition to 6-R-Isoxaxolo[4,3-b]pyridines
We studied the interaction of isoxazolo[4,3-b]pyridines 3 with neutral C-nucleophiles: CH acids and π-excessive (het)arenes. It was found that nitro derivatives 3a–d react with all ranges of used nucleophiles under mild conditions (MeCN, room temperature, base-free), forming 1,4-addition products, 4a–m, Scheme 3. As in the case of A [45], β-dicarbonyl compounds react with 3 in enolic form. The reaction rate was similar to that of superelectrophiles A and B [45,46] (Scheme 1), thus indicating the high electrophilicity of isoxazolo[4,3-b]pyridine system. Some of the reactions proceeded almost immediately after mixing the reagents, the others were completed within an hour.

Scheme 3.
Reactions of 6-R-isoxazolo[4,3-b]pyridines 3 with nucleophiles.
The methoxycarbonyl derivative 3g forms adducts 4n,o with 1,3-dicarbonyl compounds somewhat slower: full conversion of starting material required 2–3 h without the addition of a base. 6-Unsubstituted isoxazolopyridine 3j gave the adduct 4p with most acidic dimedone after 4 h stirring, Scheme 3. Surprisingly, we were unable to isolate any adducts of isoxazolo[4,3-b]pyridines 3h and 3i containing electron-withdrawing Cl and CF3 groups in position 6. The application of more drastic conditions (MeCN, 80 °C) was not effective; the starting compounds were recovered. The reason for the observed reactivity is not clear, however, we can conclude that the ability of 6-R-isoxazolo[4,3-b]pyridines to add neutral C-nucleophiles depends on the substituent 6-R and decreases in the following order
The structures of compounds 4 were established on the basis of NMR spectroscopy and HRMS data. In 1H NMR spectra of adducts 4, the signals corresponding to H(7) protons in the range of 5.0–5.5 ppm, as well as downfield signals of NH protons (9.8–10.4 ppm) and H(5) at 8.1 ppm, were observed as doublets with close coupling constants. This confirms the nucleophilic addition at position 7 and is consistent with the results obtained previously for other highly electrophilic azolopyridines [45,46,48].
2.4. 6-NO2-Isoxazolo[4,3-b]pyridines in Diels-Alder Reactions
The ability to add weak (neutral) nucleophiles is one of the features inherent to superelectrophilic aromatic systems. However, increasing the electrophilicity leads to a decrease in aromaticity. Therefore, (hetero)aromatic superelectrophiles are prone to undergo [4+2]-cycloaddition with dienes or nucleophilic dienophiles [16,26,32,33,34,35].
We found that only 6-NO2-isoxazolo[4,3-b]pyridines 3a–f are able to give cycloaddition products in Diels-Alder reactions with 2,3-dimethyl-1,3-butadiene while compounds 3g–j with other substituents at position 6 were unreactive. This once again highlights the originality of the nitro group among other electron-withdrawing functional groups and its impact on the electrophilicity of the aromatic systems.
Reactions of compounds 3a–f with 2,3-dimethyl-1,3-butadiene were carried out in CH2Cl2 or CHCl3 at room temperature (Scheme 4, Table 2). The C=C–NO2 fragment of a pyridine ring acts as a dienophile and the process proceeds in accordance with normal electron demands. However, in all cases, instead of the expected adducts 5, we isolated compounds 6a–g —products of the further addition of H2O to a C=N-double bond.
Scheme 4.
[4+2]-Cycloaddition reactions of 6-NO2-isoxazolo[4,3-b]pyridines 3a–f.
Table 2.
Isolated yields of compounds 6a–g.
The intermediate adducts 5a–g are likely to be unstable and exhibit an extremely high tendency to react with nucleophiles (e.g., water) to form compounds 6a–g in good yields. Carrying out the reaction in an inert atmosphere, the additional purification of all solvents did not allow us to isolate compounds 5. Apparently the formation of products 6 occurs on contact with air moisture at the isolation step. Reaction of 3b with dimethylbutadiene in chloroform (stabilized with 1.5% EtOH) gave compound 6g—the product of EtOH addition. In our opinion, this fact indirectly confirms the hypothesis of the high electrophilicity of compounds 5.
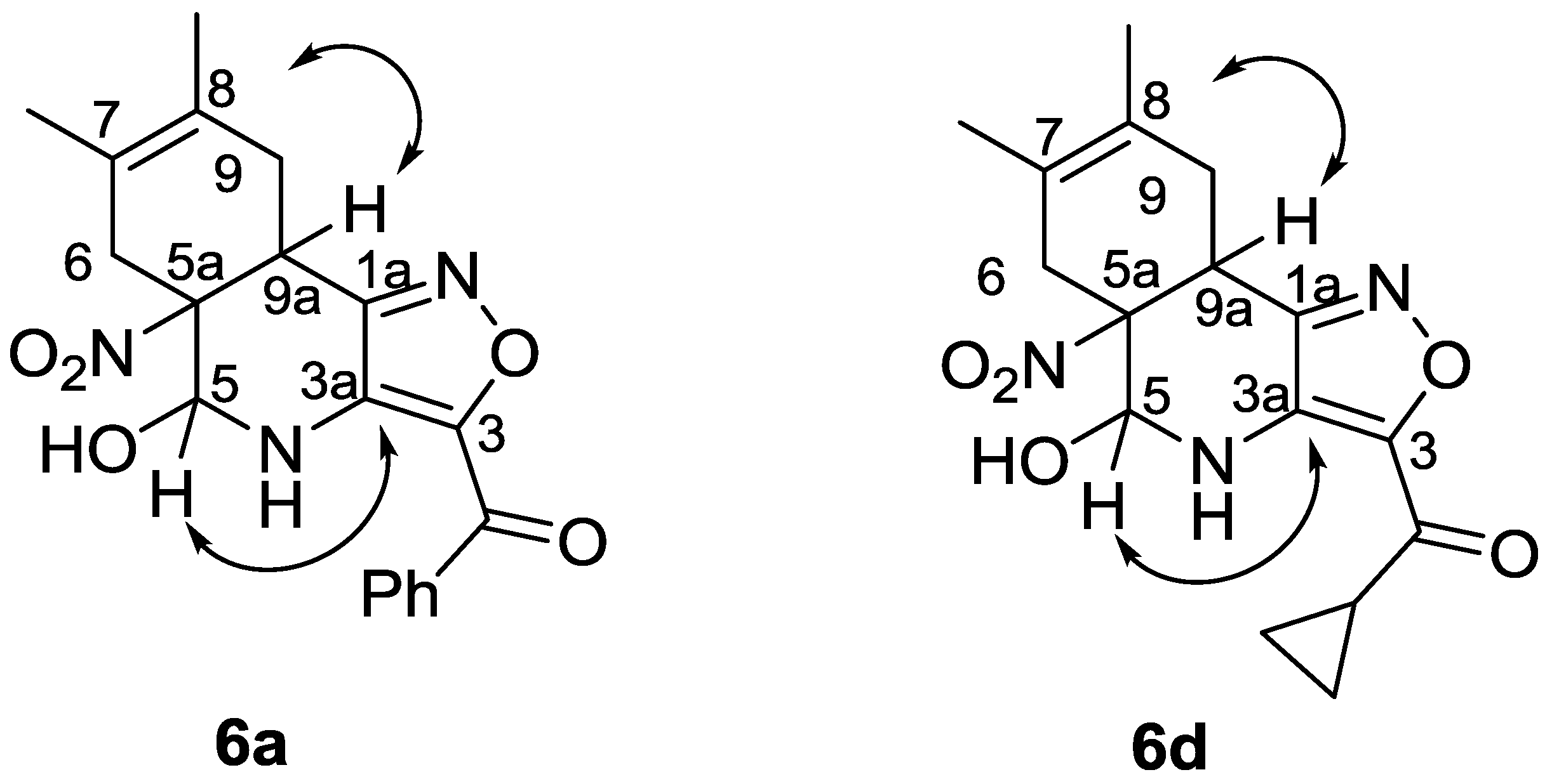
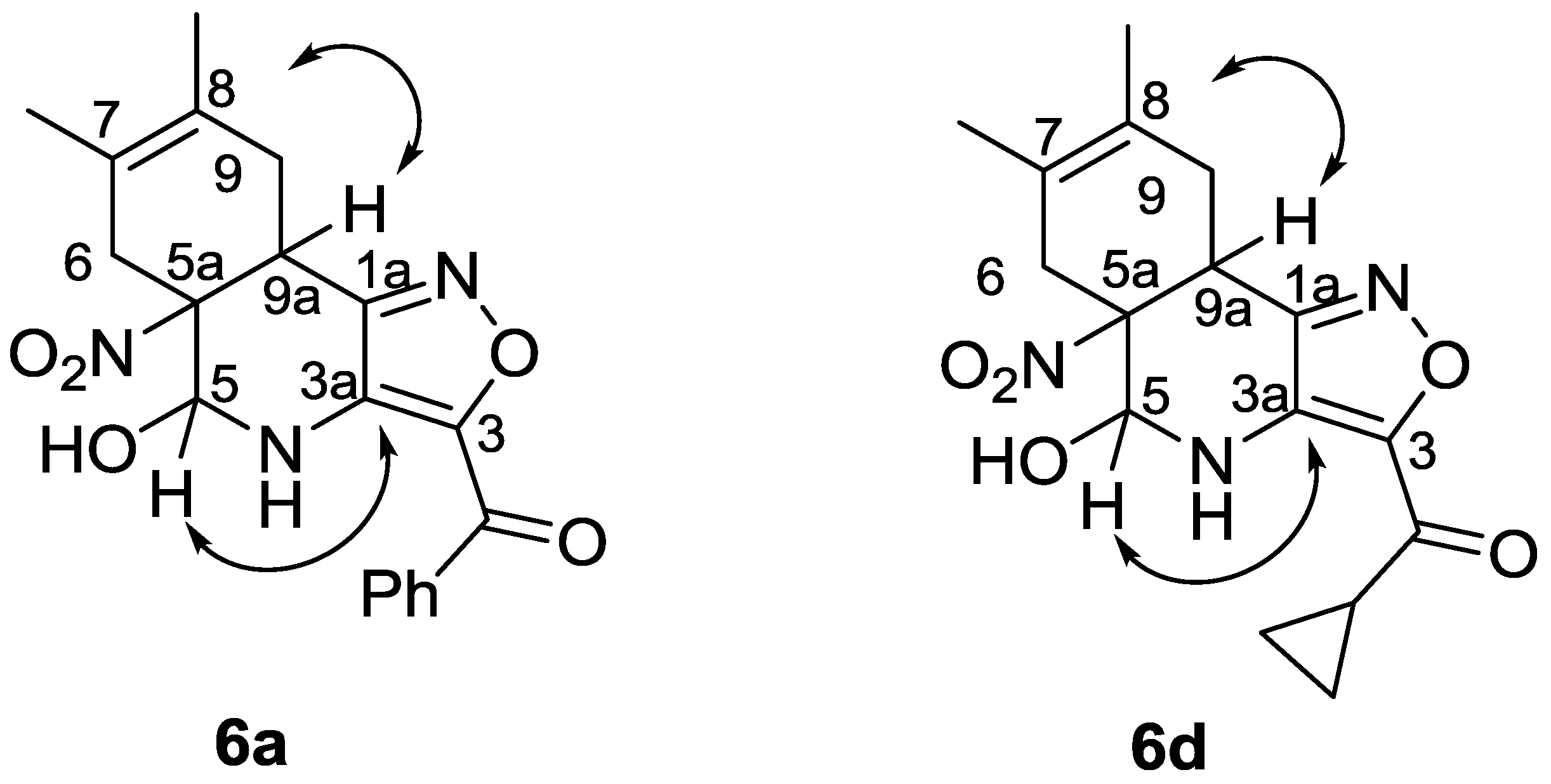
The structure of cycloadducts 6 was proved by 2D NMR spectroscopy experiments (COSY, 1H-13C HMBC, 1H-13C HSQC). For compounds 6a and 6d, the full assignment of hydrogen and carbon atoms in the NMR spectra was made. NMR experiments confirmed the proposed addition of a diene at the C=C(NO2) bond, Figure 4.
Figure 4.
Selected interactions in 2D HMBC spectra of compounds 6a,d.
Cross peaks corresponding to H(5)-C(3a), as well as H(9a)-C(1a) and H(9a)-C(8) interactions were observed in the 1H-13C HMBC spectra of these compounds. In addition, we observed the coupling of two nonequivalent protons H(9) with the H(9a) proton. Such interactions were described earlier for similar cycloadducts of pyridofuroxan A (Figure 2) [34]. These data allowed us to make an unambiguous conclusion about the direction of cycloaddition and hydration.
3. Conclusions
A number of new 6-R-isoxazolo[4,3-b]pyridines were synthesized, starting from 2-chloro-3-nitropyridines. It was found that, in reactions with neutral C-nucleophiles, the reactivity of 6-R-isoxazolo[4,3-b]pyridines depends on the nature of the substituent 6-R. 6-Nitro derivatives were found to add 1,3-dicarbonyl compounds and π-excessive arenes and hetarenes to the pyridine ring under mild conditions to form the corresponding 1,4-adducts. In addition, reactions with 2,3-dimethyl-1,3-butadiene led to [2+4]-adducts on the aromatic bonds C=C(NO2) of the pyridine ring. The condensed 3,4-dihydropyridines thus formed easily, adding the molecule of water to C=N double bond to give polyfunctionalized tetrahydropyridine derivatives. All the above properties of 6-nitroisoxazolo[4,3-b]pyridines make it possible to classify compounds of this class as superelectrophiles.
4. Materials and Methods
4.1. General Information
All chemicals were of commercial grade and used directly without purification. Melting points were measured on a Stuart SMP 20 apparatus. 1H and 13C NMR spectra were recorded on Bruker AC-200 (at 200 and 50 MHz, respectively), Bruker AM-300 (at 300.13 and 75.13 MHz, respectively), Bruker Avance DRX 500 (at 500 and 125 MHz, respectively) or Bruker Avance II 600 spectrometer (at 600 and 150 MHz, respectively) in DMSO-d6 or CDCl3. IR spectra were recorded on BrukerAlpha spectrometer, and the samples were prepared as KBr pellets. HRMS spectra were recorded on a Bruker micrOTOF II mass spectrometer using ESI. All reactions were monitored by TLC analysis using ALUGRAM SIL G/UV254 plates, which were visualized by UV light. Compounds 1a–e were purchased from commercial suppliers. Compounds 2j and 3j were synthesized according to the method [48]. X-ray data collection was performed on a Bruker APEX II diffractometer equipped with Apex II CCD detector and operating with MoKα radiation (λ = 0.71073 Å). Frames were integrated using the Bruker SAINT software package [51] by a narrow-frame algorithm. A semi-empirical absorption correction was applied with the SADABS program [52] using the intensity data of equivalent reflections. The structures were solved with a dual-space approach with SHELXT program [53] and refined by the full-matrix least-squares technique against F2hkl in anisotropic approximation with SHELXL [54] software package. All hydrogen atoms were placed in calculated positions and refined in the riding model, with Uiso(H) constrained to be 1.5Ueq and 1.2Ueq of the parent methyl and all other carbon atoms. Detailed crystallographic information is given in Table S3 in Supplementary Materials. Crystallographic data have been deposited to the Cambridge Crystallographic Data Centre, CCDC 1983530-1983532 can be retrieved free of charge via https://www.ccdc.cam.ac.uk/structures.
4.2. Synthesis of Compounds 2a–i
A mixture of the appropriate 2-chloropyridine 1 (5 mmol), PdCl2(PPh3)2 (0.17 g; 5 mol-%), and Et3N (1.01 g; 10 mmol) was suspended in anhydrous THF (20 mL). The appropriate acetylene (5.5 mmol) was then injected under argon, followed by addition of CuI (0.02 g; 2.5 mol-%). The reaction mixture was stirred under argon at 40 °C temperature until full completion (1–3 h, completion observed by TLC). Solvent was evaporated under the reduced pressure; the crude residue was purified by column chromatography (elution by chloroform).
3,5-Dinitro-2-(phenylethynyl)pyridine (2a). 72%. Orange powder. M.p. 183–185 °C. 1H NMR (300 MHz, CDCl3): δ 7.45–7.54 (m, 3H, Ph.), 7.74–7.76 (d, J = 7.2 Hz, 2H, Ph), 9.17 (s, 1H, H4), 9.63 (s, 1H, H6). 13C NMR (75 MHz, DMSO-d6): δ 85.1, 100.9, 119.9, 128.7, 129.2, 131.3, 132.4, 142.3, 146.2, 148.3. HRMS (ESI) calc. for [C13H8N3O4]+ [M + H]+ 270.0509, found 270.0514.
3,5-Dinitro-2-(p-tolylethynyl)pyridine (2b). 63%. Orange powder. M.p. 203–205 °C. 1H NMR (300 MHz, CDCl3): δ 2.46 (s, 3H, Me), 7.30 (d, J = 8.0 Hz, 2H, p-Tolyl), 7.66 (d, J = 8.0 Hz, 2H, p-Tolyl), 9.18 (d, J = 2.2 Hz, 1H, H4), 9.63 (d, J = 2.2 Hz, 1H, H6). 13C NMR (75 MHz, DMSO-d6): δ 21.3, 84.9, 101.6, 116.8, 128.6, 129.8, 132.4, 139.8, 141.7, 142.1, 146.0, 148.3. HRMS (ESI) calc. for [C14H10N3O4]+ [M + H]+ 284.0666, found 284.0669.
3,5-Dinitro-2-((4-fluorophenyl)ethynyl)pyridine (2c). 61%. Orange powder. M.p. 170–172 °C. 1H NMR (200 MHz, DMSO-d6): δ 7.40 (t, J = 8.5 Hz, 2H, 4F-Ph), 7.78 (dd, J = 7.9, 5.7 Hz, 2H, 4F-Ph), 9.21 (d, J = 2.2 Hz, 1H, H4), 9.65 (d, J = 2.2 Hz, 1H, H6). 13C NMR (75 MHz, DMSO-d6): δ 85.0, 99.8, 128.8, 116.7 (d, 2JC–F = 22.5 Hz), 116.6, 116.0, 130.6, 135.2 (d, 3JC–F = 9.2 Hz), 139.6, 142.3, 146.1, 147.2, 148.4, 163.5 (d, 1JC–F = 251.5 Hz). HRMS (ESI) calc. for [C13H7FN3O4]+ [M + H]+ 288.0415, found 288.0417.
2-(Cyclopropylethynyl)-3,5-dinitropyridine (2d). 84%. Orange powder. M.p. 128–130 °C. 1H NMR (300 MHz, CDCl3): δ 1.09–1.18 (m, 4H), 1.68 (dt, J = 13.1, 6.6 Hz, 1H), 9.08 (d, J = 2.1 Hz, 1H, H4), 9.53 (d, J = 2.1 Hz, 1H, H6). 13C NMR (75 MHz, DMSO-d6): δ 0.4, 9.9, 72.1, 109.5, 128.4, 141.7, 148.0. HRMS (ESI) calc. for [C10H8N3O4]+ [M + H]+ 234.0509, found 234.0517.
2-(Cyclopentylethynyl)-3,5-dinitropyridine (2e). 32%. Orange oil. 1H NMR (300 MHz, CDCl3): δ 1.75–1.64 (m, 2H), 1.87 (m, 4H), 2.10 (m, 2H), 3.04 (p, J = 7.2 Hz, 1H), 9.08 (d, J = 2.1 Hz, 1H, H4), 9.55 (d, J = 2.1 Hz, 1H, H6). 13C NMR (75 MHz, CDCl3): δ 25.3, 31.2, 33.2, 76.5, 112.5, 127.9, 141.3, 142.0, 146.1, 147.7. HRMS (ESI) calc. for [C12H12N3O4]+ [M + H]+ 262.0822, found 262.0816.
2-(Hept-1-yn-1-yl)-3,5-dinitropyridine (2f). 35%. Orange oil. 1H NMR (300 MHz, CDCl3): δ 0.78–1.06 (m, 3H), 1.25–1.55 (m, 4H), 1.74 (p, J = 7.0 Hz, 2H), 2.63 (t, J = 7.1 Hz, 2H), 9.08 (d, J = 2.1 Hz, 1H, H4), 9.56 (d, J = 2.1 Hz, 1H, H6). 13C NMR (75 MHz, CDCl3): δ 14.0, 20.4, 22.3, 27.5, 31.2, 108.8, 112.6, 128.0, 128.4, 141.5, 142.2, 147.8 HRMS (ESI) calc. for [C12H14N3O4]+ [M + H]+ 264.0979, found 264.0970.
Methyl-5-nitro-6-(phenylethynyl)nicotinate (2g) 76%. Orange powder. M.p. 117–119 °C. 1H NMR (300 MHz, CDCl3): δ 4.05 (s, 3H, Me), 7.42–7.52 (m, 3H, Ph.), 7.71–7.74 (d, J = 7.2 Hz, 2H, Ph), 8.95 (d, J = 1,3 Hz, 1H, H4), 9.39 (d, J = 1.3 Hz, 1H, H6). 13C NMR (75 MHz, CDCl3): δ 53.2, 85.4, 101.4, 121.0, 125.0, 128.7, 130.7, 133.0, 133.5, 140.5, 146.5, 153.9, 163.5. HRMS (ESI) calc. for [C15H11N2O4]+ [M + H]+ 283.0713, found 283.0721.
3-Nitro-2-(phenylethynyl)-5-(trifluoromethyl)pyridine (2h) 42% Yellow powder. M.p. 124–126 °C. 1H NMR (300 MHz, CDCl3): δ 7.47 (m, 3H, Ph), 7.73 (d, J = 6.5 Hz, 2H, Ph), 8.65 (s, 1H, H4), 9.09 (s, 1H, H6). 13C NMR (126 MHz, CDCl3): δ 84.8, 101.5, 120.9, 124.4 (q, 1JC–F = 273.0 Hz), 125.8, 128.8, 130.4 (q, 3JC–F = 3.7 Hz), 131.0, 133.1, 140.6, 146.1, 149.9 (q, 3JC–F = 3.5 Hz). HRMS (ESI) calc. for [C14H8F3N2O2]+ [M + H]+ 293.0532, found 293.0542.
5-Chloro-3-nitro-2-(phenylethynyl)pyridine (2i) 40%. M.p. 103–105 °C. 1H NMR (300 MHz, CDCl3): δ 7.41–7.48 (m, 3H, Ph.), 7.69–7.71 (d, J = 6.8 Hz, 2H, Ph), 8.41 (d, J = 1.6 Hz, 1H, H4), 8.81 (d, J = 1.6 Hz, 1H, H6). 13C NMR (75 MHz, CDCl3): δ 84.5, 99.3, 121.3, 128.7, 130.4, 130.9, 132.3, 132.8, 135.5, 152.7. HRMS (ESI) calc. for [C13H8ClN2O2]+ [M + H]+ 259.0269, found 259.0259.
4.3. Synthesis of Compounds 3a–i
Iodine monochloride (19.5 mg, 0.12 mmol) was added to a solution of the appropriate compound 2 (4 mmol) in dichloromethane (20 mL), and the resulting solution was heated under reflux until full completion (4–8 h.). Solvent was evaporated under the reduced pressure; the crude residue was purified by column chromatography (elution by dichloromethane).
(6-Nitroisoxazolo[4,3-b]pyridin-3-yl)(phenyl)methanone (3a) 85% Yellowish powder. M.p. 135–137 °C. 1H NMR (300 MHz, CDCl3): δ 7.63 (t, J = 7.7 Hz, 2H, Ph.), 7.77 (t, J = 7.4 Hz, 1H, Ph), 8.23 (d, J = 7.4 Hz, 2H, Ph) 9.08 (d, J = 2.2 Hz, 1H, H5), 9.55 (d, J = 2.2 Hz, 1H, H7). 13C NMR (75 MHz, CDCl3): δ 122.7, 129.7, 131.2, 134.9, 135.7, 135.9, 144.7, 149.6, 150.4, 163.0, 181.1. HRMS (ESI) calc. for [C13H8N3O4]+ [M + H]+ 270.0509, found 270.0508.
(6-Nitroisoxazolo[4,3-b]pyridin-3-yl)(p-tolyl)methanone (3b) 87% Yellowish powder. M.p. 158–160 °C. 1H NMR (300 MHz, CDCl3): δ 2.52 (s, 3H, Me), 7.43 (d, J = 8.1 Hz, 2H, p-Tolyl), 8.14 (d, J = 8.2 Hz, 2H, p-Tolyl), 9.07 (d, J = 2.2 Hz, 1H, H5), 9.53 (d, J = 2.2 Hz, 1H, H7). 13C NMR (151 MHz, CDCl3): δ 22.1, 122.1, 129.9, 130.8, 132.8, 134.1, 144.0, 146.5, 148.8, 149.7, 162.8, 180.0. HRMS (ESI) calc. for [C14H10N3O4]+ [M + H]+ 284.0666, found 284.0669.
(4-Fluorophenyl)(6-nitroisoxazolo[4,3-b]pyridin-3-yl)methanone (3c) 72%. Yellowish powder. M.p. 115–117 °C. 1H NMR (300 MHz, CDCl3): δ 7.33 (d, J = 8.5 Hz, 2H, 4F-Ph), 8.32 (dd, J = 8.8, 5.3 Hz, 2H, 4F-Ph), 9.09 (d, J = 2.2 Hz, 1H, H5), 9.55 (d, J = 2.2 Hz, 1H, H7). 13C NMR (75 MHz, DMSO-d6): δ 116.5 (d, 2JC–F = 22.2 Hz), 122.1, 131.8, 133.5 (d, 3JC–F = 9.8 Hz), 134.3, 144.2, 149.1, 149.8, 163.8 (d, 1JC–F = 225.4 Hz), 168.7, 178.8. HRMS (ESI) calc. for [C13H7FN3O4]+ [M + H]+ 288.0415, found 288.0411.
Cyclopropyl(6-nitroisoxazolo[4,3-b]pyridin-3-yl)methanone (3d) 74%. Yellowish powder. M.p. 118–120 °C. 1H NMR (300 MHz, CDCl3): δ 1.32-1.37 (m, 2H), 1.53–1.56 (m, 2H), 3.43–3.51 (m, 1H), 9.06 (d, J = 2.2 Hz, 1H, H5), 9.54 (d, J = 2.2 Hz, 1H, H7). 13C NMR (75 MHz, CDCl3): δ 14.3, 20.3, 122.3, 133.4, 148.9, 150.0, 161.4, 188.0. HRMS (ESI) calc. for [C10H8N3O4]+ [M + H]+ 234.0509, found 234.0521.
Methyl-3-benzoylisoxazolo[4,3-b]pyridine-6-carboxylate (3g) 65%. Yellowish powder. M.p. 114–116 °C. 1H NMR (300 MHz, CDCl3): δ 4.07 (s, 3H, Me), 7.61 (t, J = 7.6 Hz, 2H, Ph.), 7.74 (t, J = 7.4 Hz, 1H, Ph), 8.25 (d, J = 7.5 Hz, 2H, Ph), 8.85 (d, J = 1.7 Hz, 1H, H5), 9.36 (d, J = 1.7 Hz, 1H, H7). 13C NMR (75 MHz, CDCl3): δ 53.3, 127.6, 127.8, 128.9, 130.6, 134.6, 135.7, 150.8, 155.0, 161.4, 164.2, 165.8, 180.8. HRMS (ESI) calc. for [C15H11N2O4]+ [M + H]+ 283.0713, found 283.0709.
Phenyl(6-(trifluoromethyl)isoxazolo[4,3-b]pyridin-3-yl)methanone (3h) 73%. Yellowish powder. M.p. 117–119 °C. 1H NMR (300 MHz, CDCl3): δ 7.62 (t, J = 7.6 Hz, 2H, Ph), 7.75 (t, J = 7.3 Hz, 1H, Ph), 8.24 (d, J = 7.8 Hz, 2H, Ph), 8.52 (s, 1H, H5), 8.98 (s, 1H, H7). 13C NMR (75 MHz, CDCl3): δ 122.5 (q, 1JC-F = 273.6 Hz) 123.5 (q, 2JC-F = 3.1 Hz), 126.1, 128.4, 128.7, 129.1, 130.0, 130.6, 134.1, 134.8, 135.6, 149.7, 151.1, 151.1, 161.9, 180.8. HRMS (ESI) calc. for [C14H8F3N2O2]+ [M + H]+ 293.0532, found 293.0533.
(6-Chloroisoxazolo[4,3-b]pyridin-3-yl)(phenyl)methanone (3i) 60%. Beige powder. M.p. 120–122 °C. 1H NMR (300 MHz, CDCl3): δ 7.61 (t, J = 7.6 Hz, 2H, Ph.), 7.74 (t, J = 7.4 Hz, 1H, Ph), 8.14 (d, J = 1.7 Hz, 1H, H5), 8.23 (d, J = 7.5 Hz, 2H, Ph), 8,71 (s, 1H, H7). 13C NMR (75 MHz, CDCl3): δ 121.8, 129.0, 130.6, 131.9, 133.8, 134.7, 135.7, 151.5, 155.5, 161.1, 180.9. HRMS (ESI) calc. for [C13H8ClN2O2]+ [M + H]+ 259.0269, found 259.0276.
4.4. Synthesis of Compounds 4a–p
A mixture of the appropriate isoxazole 3 (0.5 mmol) and nucleophile (0.5 mmol) was dissolved in anhydrous CH3CN (5 mL). The reaction mixture was stirred at r.t. until full completion (1–3 h, by TLC). The solution was diluted with water (25 mL), and the obtained precipitate was filtered off.
2-(3-Benzoyl-6-nitro-4,7-dihydroisoxazolo[4,3-b]pyridin-7-yl)-5,5-dimethylcyclohexane-1,3-dione (4a) 79%. Yellow powder. M.p. 244–246 °C. 1H NMR (DMSO-d6): δ 0.93 (s, 6H, 2Me), 2.25 (br.s, 4H, 2CH2 ), 5.75 (br.s, 1H, H7), 7.64 (t, J = 7.5 Hz, 2H, Ph), 7.75 (t, J = 7.3 Hz, 1H, Ph), 8.02 (d, J = 5.7 Hz, 1H, H5), 8.14 (d, J = 7.7 Hz, 2H, Ph), 10.56 (d, J = 6.1 Hz, NH). 13C NMR (75 MHz, DMSO-d6): δ 27.3, 28.0, 31.8, 42.6, 49.8, 50.0, 126.8, 129.1, 129.3, 134.2, 135.2, 137.5, 137.6, 146.3, 157.5, 172.6, 173.1, 180.8. HRMS (ESI) calc. for [C21H20N3O6]+ [M + H]+ 410.1347, found 410.1340.
5-(3-Benzoyl-6-nitro-4,7-dihydroisoxazolo[4,3-b]pyridin-7-yl)-1,3-dimethylpyrimidine-2,4,6-(1H,3H,5H)-trione (4b) 85%. Yellow powder. M.p. 234–235 °C. 1H NMR (300 MHz, DMSO-d6): δ 3.03 (s, 3H, Me), 3.17 (s, 3H, Me), 4.65 (s, 1H, CH), 5.52 (s, 1H, H7), 7.64 (t, J = 7.2 Hz, 2H, Ph), 7.76 (t, J = 7.2 Hz, 1H, Ph), 8.13 (d, J = 7.1 Hz, 3H, Ph and H5), 10.93 (d, J = 3.7 Hz, 1H, NH). 13C NMR (75 MHz, DMSO-d6): δ 28.1, 28.3, 33.5, 33.8, 33.9, 52.4, 129.1, 129.4, 134.4, 139.7, 151.1, 166.2, 166.6, 180.6. HRMS (ESI) calc. for [C19H16N5O7]+ [M + H]+ 426.1044, found 426.1037.
2-(3-(4-Fluorobenzoyl)-6-nitro-4,7-dihydroisoxazolo[4,3-b]pyridin-7-yl)-5,5-dimethylcyclohexane-1,3-dione (4c) 73%. Yellow powder. M.p. 251–253 °C. 1H NMR (300 MHz, DMSO-d6): δ 0.93 (s, 6H, 2Me), 2.24 (br.s, 4H, 2CH2), 5.75 (s, 1H, H7), 7.48 (t, J = 8.8 Hz, 2H, 4F-Ph), 8.01 (s, 1H, H5), 8.23 (dd, J = 8.7, 5.6 Hz, 2H, 4F-Ph), 10.54 (d, J = 1.5 Hz, 1H, NH). 13C NMR (75 MHz, DMSO-d6): δ 27.4, 27.5, 31.7, 116.2 (d, 2JC–F = 22.1 Hz), 126.6, 126.8, 131.8, 132.4 (d, 3JC–F = 9.8 Hz), 137.3, 146.1, 157.4, 165.4 (d, 1JC–F = 253.5 Hz) 179.1. HRMS (ESI) calc. for [C21H19FN3O6]+ [M + H]+ 428.1252, found 428.1256.
2-(3-(Cyclopropanecarbonyl)-6-nitro-4,7-dihydroisoxazolo[4,3-b]pyridin-7-yl)-5,5-dimethylcyclohexane-1,3-dione (4d) 84%. Yellow powder. M.p. 258–260 °C. 1H NMR (300 MHz, DMSO-d6): δ 0.92 (s, 6H, 2Me), 1.16 (s, 4H, 2CH2 (c-Pr)), 2.26 (br.s, 4H, 2CH2), 2.65 (s, 1H, CH), 5.71 (br.s, 1H, H7), 7.95 (s, 1H, H5), 10.39 (br.s, 1H, NH). 13C NMR (75 MHz, DMSO-d6): δ 12.0, 12.3, 18.2, 27.6, 31.7, 122.8, 126.1, 137.5, 146.2, 157.65, 189.6. HRMS (ESI) calc. for [C18H20N3O6]+ [M + H]+ 374.1346, found 374.1341.
5,5-Dimethyl-2-(3-(4-methylbenzoyl)-6-nitro-4,7-dihydroisoxazolo[4,3-b]pyridin-7-yl)-cyclohexane-1,3-dione (4e) 87%. Yellow powder. M.p. 225–227 °C. 1H NMR (300 MHz, DMSO-d6): δ 0.93 (s, 6H, 2Me), 2.43 (s, 3H, Me, p-Tolyl), 5.75 (s, 1H, H7), 7.45 (d, J = 7.2 Hz, 2H, p-Tolyl), 7.98–8.13 (m, 3H, p-Tolyl and H5), 10.49 (d, J = 6.7 Hz, 1H, NH). 13C NMR (75 MHz, DMSO-d6): δ 21.3, 27.2, 31.7, 129.4, 129.6, 132.6, 144.9, 157.3, 180.2. HRMS (ESI) calc. for [C22H22N3O6]+ [M + H]+ 424.1503, found 424.1505.
1,3-Dimethyl-5-(3-(4-methylbenzoyl)-6-nitro-4,7-dihydroisoxazolo[4,3-b]pyridin-7-yl)-pyrimidine-2,4,6(1H,3H,5H)-trione (4f) 74%. Yellow powder. M.p. 241–243 °C. 1H NMR (300 MHz, DMSO-d6): δ 2.43 (s, 3H, Me, p-Tolyl), 3.03 (s, 3H, Me), 3.17 (s, 3H, Me), 4.64 (s, 1H, CH), 5.51 (s, 1H, H7), 7.45 (d, J = 8.1 Hz, 2H, p-Tolyl), 8.06 (d, J = 8.1 Hz, 2H, p-Tolyl), 8.14 (d, J = 6.4 Hz, 1H, H5), 10.90 (d, J = 6.5 Hz, 1H, NH). 13C NMR (75 MHz, DMSO-d6): δ 21.3, 28.1, 28.3, 33.8, 52.4, 124.1, 125.4, 129.6, 129.7, 132.3, 139.7, 145.3, 148.1, 151.1, 155.1, 166.2, 166.6, 180.1. HRMS (ESI) calc. for [C20H18N5O7]+ [M + H]+ 440.1201, found 440.1197.
(7-(4-(Dimethylamino)phenyl)-6-nitro-4,7-dihydroisoxazolo[4,3-b]pyridin-3-yl)(p-tolyl)-methanone (4g) 76%. Orange powder. M.p. 237–239 °C. 1H NMR (200 MHz, DMSO-d6): δ 2.40 (s, 3H, Me, p-Tolyl), 2.83 (s, 6H, 2Me), 5.62 (s, 1H, H7), 6.64 (d, J = 8.7 Hz, 2H, Ar), 7.08 (d, J = 8.4 Hz, 2H, p-Tolyl), 7.42 (d, J = 8.1 Hz, 2H, Ar ), 8.04 (d, J = 8.1 Hz, 2H, p-Tolyl), 8.21 (s, 1H. H5), 10.68 (s, 1H, NH). 13C NMR (75 MHz, DMSO-d6): δ 21.3, 37.6, 40.1, 112.5, 124.4, 127.2, 127.7, 129.1, 129.5, 129.6, 132.4, 137.2, 145.0, 148.1, 149.7, 156.8, 180.1. HRMS (ESI) calc. for [C22H21N4O4]+ [M + H]+ 405.1557, found 405.1564.
(7-(1H-indol-3-yl)-6-nitro-4,7-dihydroisoxazolo[4,3-b]pyridin-3-yl)(p-tolyl)methanone (4h) 93%. Yellow powder. M.p. 221–223 °C. 1H NMR (300 MHz, DMSO-d6): δ 2.40 (s, 3H, Me), 6.03 (s, 1H, H7), 6.99–7.38 (m, 7H, indole and p-Tolyl), 8.05 (s, 2H, p-Tolyl), 8.23 (s, 1H, H5), 10.75 (s, 1H, NH), 11.07 (s, 1H, NH). 13C NMR (126 MHz, DMSO-d6): δ 21.3, 30.4, 66.3, 111.8, 114.2, 118.1, 119.0, 121.3, 123.4, 123.6, 124.7, 125.0, 126.7, 129.5, 129.6, 132.4, 136.4, 136.9, 145.0, 147.9, 156.4, 180.1. HRMS (ESI) calc. for [C22H17N4O4]+ [M + H]+ 401.1243, found 401.1240.
(7-(5-Methoxy-1H-indol-3-yl)-6-nitro-4,7-dihydroisoxazolo[4,3-b]pyridin-3-yl)(p-tolyl)-methanone (4i) 72%. Yellow powder. M.p. 181–183 °C. 1H NMR (300 MHz, DMSO-d6): δ 2.41 (s, 3H, Me), 3.71 (s, 3H, OMe), 6.00 (s, 1H, H7), 6.74 (d, J = 9.3 Hz, 1H, indole H6), 6.92 (s, 1H, indole H4), 7.24 (m, 2H, indole H2 and H7), 7.43 (d, J = 7.5 Hz, 2H, p-Tolyl), 8.06 (d, J = 7.8 Hz, 2H, p-Tolyl), 8.23 (s, 1H, H5), 10.78 (s, 1H, NH), 10.91 (s, 1H, NH). 13C NMR (75 MHz, DMSO-d6): δ 21.3, 30.4, 55.2, 66.3, 100.2, 111.1, 112.5, 114.1, 124.1, 124.8, 125.4, 126.7, 129.6, 129.7, 131.6, 132.5, 136.9, 145.1, 153.3, 156.5, 180.2. HRMS (ESI) calc. for [C23H19N4O5]+ [M + H]+ 431.1349, found 431.1340.
(7-(2-Hydroxynaphthalen-1-yl)-6-nitro-4,7-dihydroisoxazolo[4,3-b]pyridin-3-yl)(p-tolyl)-methanone (4j) 67%. Yellow powder. M.p. 204–206 °C. 1H NMR (300 MHz, DMSO-d6): δ 2.41 (s, 3H, Me), 6.62 (s, 1H, H7), 7.00 (d, J = 9.2 Hz, 1H, Ar H3), 7.35 (t, J = 7.5 Hz, 1H, Ar H6), 7.44 (d, J = 8.0 Hz, 2H, p-Tolyl), 7.58 (t, J = 7.8 Hz, 1H, Ar H5), 7.72 (d, J = 8.8 Hz, 1H, Ar H8), 7.81 (d, J = 8.2 Hz, 1H, Ar ), 8.06 (d, J = 8.2 Hz, 2H, p-Tolyl), 8.17 (s, 1H, H7), 8.53 (d, J = 8.9 Hz, 1H, Ar H4), 9.89 (s, NH). 13C NMR (75 MHz, DMSO-d6): δ 20.2, 29.4, 117.2, 117.7, 121.4, 121.7, 125.6, 125.8, 126.7, 127.0, 128.2, 128.3, 128.4, 128.5, 131.4, 131.8, 136.3, 136.5, 143.9, 145.2, 151.9, 152.1, 156.3, 179.1. HRMS (ESI) calc. for [C24H18N3O5]+ [M + H]+ 428.1240, found 428.1237.
2-(3-(4-Methylbenzoyl)-6-nitro-4,7-dihydroisoxazolo[4,3-b]pyridin-7-yl)malononitrile (4k) 76%. Yellow powder. M.p. 214–216 °C. 1H NMR (300 MHz, DMSO-d6): δ 2.45 (s, 3H, Me), 5.59 (s, 1H, CH), 5.67 (s, 1H, H7), 7.49 (d, J = 6.1 Hz, 2H, p-Tolyl), 8.12 (d, J = 6.7 Hz, 2H, p-Tolyl), 8.32 (s, 1H. H5), 11.23 (s, 1H, NH). 13C NMR (75 MHz, DMSO-d6): δ 21.4, 27.9, 35.1, 112.1, 112.2, 120.5, 124.7, 129.7, 132.1, 140.8, 145.5, 149.5, 151.6, 180.0. Found, %: C, 58.39; H, 3.22; N, 20.07; C17H11N5O4 Calc., %: C, 58.46; H, 3.17; N, 20.05.
3-(3-(4-Methylbenzoyl)-6-nitro-4,7-dihydroisoxazolo[4,3-b]pyridin-7-yl)pentane-2,4-dione (4l) 87%. Yellow powder. M.p. 188–190 °C. 1H NMR (300 MHz, DMSO-d6): δ 2.05 (s, 3H, Me, p-Tolyl), 2.42 (d, J = 6.4 Hz, 6H, 2Me), 4.90 (s, 1H, CH), 5.30 (s, 1H, H7), 7.45 (d, J = 8.1 Hz, 2H, p-Tolyl), 8.07 (d, J = 7.1 Hz, 3H, p-Tolyl and H5), 10.80 (s, 1H, NH). 13C NMR (75 MHz, DMSO-d6): δ 21.3, 29.6, 31.1, 32.0, 66.9, 124.1, 126.3, 129.6, 132.3, 139.6, 145.2, 154.9, 180.1, 203.2, 204.8. HRMS (ESI) calc. for [C19H17N3O6+NH4]+ [M + NH4]+ 401.1453, found 401.1456.
(7-(3,5-Dimethyl-1H-pyrazol-1-yl)-6-nitro-4,7-dihydroisoxazolo[4,3-b]pyridin-3-yl)(p-tolyl)-methanone (4m) 88%. Yellow powder. M.p. 202–204 °C. 1H NMR (300 MHz, DMSO-d6): δ 1.95 (s, 3H, Me), 2.05 (s, 3H, Me, p-Tolyl), 2.42 (s, 3H, Me), 5.82 (s, 1H, H7), 7.14 (s, 1H), 7.44 (d, J = 8.1 Hz, 2H, p-Tolyl), 8.07 (d, J = 8.1 Hz, 2H, p-Tolyl), 8.34 (s, 1H) 11.19 (s, 1H, NH). Found, %: C, 58.25; H, 4.22; N, 19.07; C18H15N5O4 Calc., %: C, 59.18; H, 4.14; N, 19.17.
Methyl-3-benzoyl-7-(1,3-dimethyl-2,4,6-trioxohexahydropyrimidin-5-yl)-4,7-dihydroisoxazo-lo[4,3-b]pyridine-6-carboxylate (4n) 75%. Beige powder. M.p. 170–172 °C. 1H NMR (300 MHz, DMSO-d6): δ 3.03 (s, 3H, Me), 3.13 (s, 3H, Me), 3.63 (s, 3H, CO2Me), 4.43 (s, 1H, CH), 5.07 (s, 1H, H7), 7.44 (d, J = 5.4 Hz, 1H, H5), 7.63 (t, J = 7.3 Hz, 2H, Ph), 7.74 (t, J = 7.0 Hz, 1H, Ph), 8.12 (d, J = 7.7 Hz, 2H, Ph), 10.2 (d, J = 5.3 Hz, 1H, NH). 13C NMR (75 MHz, DMSO-d6): δ 28.0, 28.1, 33.3, 51.3, 54.0, 99.1, 127.2, 129.0, 129.2, 134.0, 135.2, 138.9, 151.4, 154.9, 166.4, 167.8, 180.5. HRMS (ESI) calc. for [C21H19N4O7]+ [M + H]+ 439.1248, found 439.1242.
Methyl-3-benzoyl-7-(4,4-dimethyl-2,6-dioxocyclohexyl)-4,7-dihydroisoxazolo[4,3-b]pyridine-6-carboxylate (4o) 87%. Beige powder. M.p. 232–234 °C. 1H NMR (300 MHz, DMSO-d6): δ 0.93 (s, 6H, 2Me), 2.16 (br.s, 4H, 2CH2), 3.53 (s, 3H, CO2Me), 5.36 (s, 1H, H7), 7.33 (s, 1H, H5), 7.61 (t, J = 7.3 Hz, 2H, Ph), 7.70 (t, J = 7.1 Hz, 1H, Ph), 8.11 (d, J = 7.6 Hz, 2H, Ph), 9.73 (d, J = 5.0 Hz, NH). 13C NMR (75 MHz, DMSO-d6): δ 26.1, 27.3, 28.3, 31.7, 40.0, 50.7, 102.6, 128.7, 128.8, 129.0, 133.7, 135.6, 136.6, 136.7, 144.5, 157.4, 166.3, 180.4. HRMS (ESI) calc. for [C23H23N2O6]+ [M + H]+ 423.1551, found 423.1545.
2-(3-Benzoyl-4,7-dihydroisoxazolo[4,3-b]pyridin-7-yl)-5,5-dimethylcyclohexane-1,3-dione (4p) 70%. Beige powder. M.p. 180–182 °C. 1H NMR (300 MHz, DMSO-d6): δ 0.91 (s, 3H, Me), 0.99 (s, 3H, Me), 2.08–2.40 (m, 4H, 2CH2), 4.33 (s, 1H, CH), 5.76 (s, 1H, H7), 7.56-7.67 (m, 4H, Ph and H6), 8.08 (d, J = 6.4 Hz, 2H, Ph), 8.44 (s, 1H, H5). 13C NMR (75 MHz, DMSO-d6): δ 19.4, 24.6, 27.0, 28.5, 31.9, 41.3, 49.7, 77.0, 110.4, 124.2, 126.8, 128.7, 128.8, 128.9, 130.3, 133.2, 134.4, 156.5, 169.5, 180.0, 194.2. HRMS (ESI) calc. for [C21H21N2O4]+ [M + H]+ 365.1496, found 365.1494.
4.5. Synthesis of Compounds 6a–g
2,3-Dimethylbutadiene (0.5 mL, 4.5 mmol) was added to a solution of the appropriate isoxazolopyridine 3 (0.5 mmol) in dichloromethane (or CHCl3) (5 mL). The reaction mixture was stirred at r.t. until full completion (normally 4–8 h, TLC control). The solution was diluted with hexane (15 mL), and the obtained precipitate was filtered off.
(5-Hydroxy-7,8-dimethyl-5a-nitro-4,5,5a,6,9,9a-hexahydroisoxazolo[4,3-c]isoquinolin-3-yl)-(phenyl)methanone (6a) 74%. Beige powder. M.p. 173–175 °C. 1H NMR (300 MHz, CDCl3): δ 1.56 (s, 3H, Me), 1.67 (s, 3H, Me), 2.45 (d, J = 18.1 Hz, 1H), 2.77–3.06 (m, 3H), 3.27 (d, J = 3.9 Hz, 1H, OH), 4.35 (d, J = 6.8 Hz, 1H), 5.41 (t, J = 4.0 Hz, 1H), 6.68 (d, J = 3.3 Hz, 1H), 7.55 (t, J = 7.6 Hz, 2H, Ph), 7.65 (t, J = 7.3 Hz, 1H, Ph), 8.27 (d, J = 7.2 Hz, 2H, Ph). 13C NMR (75 MHz, CDCl3): δ 18.8, 19.0, 29.3, 30.2, 35.1, 78.6, 89.3, 119.6, 124.2, 128.9, 129.8, 131.5, 133.9, 135.6, 146.7, 154.3, 181.8. HRMS (ESI) calc. for [C19H20N3O5] + [M + H]+ 370.1397, found 370.1397.
(5-Hydroxy-7,8-dimethyl-5a-nitro-4,5,5a,6,9,9a-hexahydroisoxazolo[4,3-c]isoquinolin-3-yl)-(p-tolyl)methanone (6b) 80%. Beige powder. M.p. 148–150 °C. 1H NMR (300 MHz, CDCl3): δ 1.56 (s, 3H, Me), 1.66 (s, 3H, Me), 2.47–3.06 (m, 7H, 2CH2+Me(p-Tolyl), 3.25 (d, J = 3.9 Hz, 1H, OH), 4.34 (d, J = 6.9 Hz, 1H), 5.39 (t, J = 3.6 Hz, 1H), 6.65 (d, J = 4.0 Hz, 1H, NH), 7.35 (d, J = 8.2 Hz, 2H, p-Tolyl), 8.20 (d, J = 8.1 Hz, 2H, p-Tolyl). 13C NMR (75 MHz, CDCl3): δ 18.8, 19.0, 21.9, 29.3, 30.2, 35.1, 78.7, 89.4, 119.6, 124.2, 129.6, 130.0, 131.3, 133.1, 144.9, 146.8, 154.3, 181.4. HRMS (ESI) calc. for [C20H22N3O5]+ [M + H]+ 384.1553, found 384.1548.
(4-Fluorophenyl)(5-hydroxy-7,8-dimethyl-5a-nitro-4,5,5a,6,9,9a-hexahydroisoxazolo[4,3-c]-isoquinolin-3-yl)methanone (6c) 73%. Beige powder. M.p. 177–179 °C. 1H NMR (300 MHz, CDCl3): δ 1.56 (s, 3H, Me), 1.67 (s, 3H, Me), 2.47(d, J = 17.4Hz, 1H), 2.78–2.91 (m, 3H, 2CH2), 3.18 (d, J = 3.6 Hz, 1H, OH), 4.34 (d, J = 6.9 Hz, 1H), 5.41 (t, J = 3.3 Hz, 1H), 6.65 (d, J = 3.2 Hz, 1H, NH), 7.23 (t, J = 8.6 Hz, 2H, 4F-Ph), 8.34 (dd, J = 8.7, 5.4 Hz, 2H, 4F-Ph). 13C NMR (75 MHz, CDCl3): δ 18.8, 19.0, 29.4, 30.2, 35.1, 78.6, 89.3, 116.2 (d, 2JC–F = 21.9 Hz), 119.6, 124.2, 131.5, 131.9, 132.0, 132.6 (d, 3JC–F = 9.5 Hz), 146.5, 154.3, 166.2 (d, 1JC–F = 256.5 Hz) 180.0. HRMS (ESI) calc. for [C19H19FN3O5]+ [M + H]+ 388.1303, found 388.1316.
Cyclopropyl-(5-hydroxy-7,8-dimethyl-5a-nitro-4,5,5a,6,9,9a-hexahydroisoxazolo[4,3-c]-isoquinolin-3-yl)methanone (6d) 80%. Beige powder. M.p. 148–150 °C. 1H NMR (300 MHz, CDCl3): δ 1.12–1.27 (m, 4H, c-Pr), 1.55 (s, 3H, Me), 1.65 (s, 3H, Me), 2.43 (d, J = 18.6 Hz, 1H), 2.61-3.00 (m, 4H, 2CH2+1H(c-Pr)), 3.67 (s, 1H, OH), 4.30 (d, J = 6.9 Hz, 1H), 5.31 (d, J = 3.5 Hz, 1H), 6.19 (d, J = 3.4 Hz, 1H, NH). 13C NMR (75 MHz, CDCl3): δ 12.2, 12.4, 18.2, 18.8, 18.9, 29.3, 30.1, 35.1, 78.6, 89.3, 119.5, 124.2, 127.4, 146.8, 154.7, 191.5. HRMS (ESI) calc. for [C16H20N3O5+NH4]+ [M + NH4]+ 351.1663, found 351.1668.
Cyclopentyl(5-hydroxy-7,8-dimethyl-5a-nitro-4,5,5a,6,9,9a-hexahydroisoxazolo[4,3-c]-isoquinolin-3-yl)methanone (6e) 51%. Beige powder. M.p. 105–107 °C. 1H NMR (300 MHz, CDCl3): δ 1.55 (s, 3H, Me), 1.60–1.73 (m, 7H, Me+2CH2), 1.80–2.08 (m, 4H, 2CH2), 2.43 (d, J = 18.0 Hz, 1H), 2.76-3.04 (m, 3H, 2CH2), 3.39 (s, 1H, OH), 3.47-3.59 (m, 1H, CH), 4.29 (d, J = 7.1 Hz, 1H), 5.34 (d, J = 3.3 Hz, 1H), 6.23 (d, J = 3.3 Hz, 1H, NH). 13C NMR (75 MHz, CDCl3): δ 18.8, 19.0, 26.4, 29.1, 29.2, 29.3, 30.2, 35.1, 47.9, 78.6, 89.3, 119.5, 124.2, 128.3, 146.2, 154.5, 194.5. HRMS (ESI) calc. for [C18H22N3O5]- [M − H]− 360.1568, found 360.1565.
1-(5-Hydroxy-7,8-dimethyl-5a-nitro-4,5,5a,6,9,9a-hexahydroisoxazolo[4,3-c]isoquinolin-3-yl)-hexan-1-one (6f) 35%. Beige powder. M.p. 96–98 °C. 1H NMR (300 MHz, CDCl3): δ 0.92 (t, J = 6.4 Hz, 3H, Me(n-C5H11)), 1.33–1.42 (m, 4H, 2CH2, n-C5H11), 1.55 (s, 3H, Me), 1.73 (m, 5H, Me+CH2(n-C5H11)), 2.42 (d, J = 18.2 Hz, 1H), 2.55–2.99 (m, 5H, 2CH2+CH2(n-C5H11)), 3.52 (br.s, 1H, OH), 4.29 (d, J = 6.4 Hz, 1H), 5.34 (d, J = 3.6 Hz, 1H), 6.24 (d, J = 3.3 Hz, 1H, NH). 13C NMR (75 MHz, CDCl3): δ 14.0, 18.7, 19.0, 22.5, 23.5, 29.4, 30.2, 31.6, 35.1, 39.4, 78.7, 89.4, 119.6, 124.2, 128.1, 146.4, 154.6, 192.0. HRMS (ESI) calc. for [C18H26N3O5]+ [M + H]+ 364.1866, found 364.1875.
(5-Ethoxy-7,8-dimethyl-5a-nitro-4,5,5a,6,9,9a-hexahydroisoxazolo[4,3-c]isoquinolin-3-yl)-(p-tolyl)methanone (6g) 42%. Yellowish powder. M.p. 134–136 °C. 1H NMR (300 MHz, CDCl3): δ 1.13 (t, J = 7.0 Hz, 3H, Et), 1.54 (s, 3H, Me), 1.65 (s, 3H, Me), 2.47–3.07 (m, 7H, 2CH2+Me(p-Tolyl), 3.50–3.32 (m, 1H, CH2, Et), 3.84–3.67 (m, 1H, CH2, Et), 4.30 (d, J = 6.8 Hz, 1H), 4.95 (d, J = 4.0 Hz, 1H), 6.78 (d, J = 3.4 Hz, 1H, NH), 7.35 (d, J = 8.1 Hz, 2H, p-Tolyl), 8.22 (d, J = 8.2 Hz, 2H, p-Tolyl). 13C NMR (75 MHz, CDCl3): δ 14.7, 18.8, 19.0, 22.0, 29.7, 30.2, 35.2, 63.9, 84.5, 88.9, 119.3, 124.2, 129.6, 130.0, 131.4, 133.2, 144.8, 146.9, 154.6, 181.2. HRMS (ESI) calc. for [C22H25N3O5]+ [M + H]+ 412.1866, found 412.1859.
Supplementary Materials
NMR spectra, HRMS and X-ray analysis data.
Author Contributions
All authors discussed, commented on and wrote the manuscript. All authors have read and agreed to the published version of the manuscript.
Funding
This work was supported by the Russian Science Foundation. Grant 19-73-20259.
Conflicts of Interest
The authors declare no conflict of interest.
References
- Nepali, K.; Lee, H.-Y.; Liou, J.-P. Nitro-group-containing drugs. J. Med. Chem. 2019, 62, 2851–2893. [Google Scholar] [CrossRef] [PubMed]
- Parry, R.; Nishino, S.; Spain, J. Naturally-occurring nitro compounds. Nat. Prod. Rep. 2011, 28, 152–167. [Google Scholar] [CrossRef] [PubMed]
- Le, S.T.; Asahara, H.; Nishiwaki, N. An alternative synthetic approach to 3-alkylated/arylated 5-nitropyridines. J. Org. Chem. 2015, 80, 8856–8858. [Google Scholar] [CrossRef]
- Yang, S.; Yan, J.; Wang, L.; Guo, X.; Li, S.; Wu, G.; Zuo, R.; Huang, X.; Wang, H.; Wang, L.; et al. Nitropyridinyl Ethyleneimine Compound, the Pharmaceutical Composition Containing It, the Preparation Method and Use Thereof. U.S. Patent 2014/0073796 A1, 13 March 2014. [Google Scholar]
- Jhons, B.A.; Spaltenstein, A. HIV Integrase Inhibitors. U.S. Patent WO 2007/09101 A2, 18 January 2007. [Google Scholar]
- Romero, D.L.; Morge, R.A.; Biles, C.; Discovery, synthesis, and bioactivity of bis(heteroaryl)piperazines. 1. a novel class of non-nucleoside HIV-1 reverse transcriptase inhibitors. J. Med. Chem. 1994, 37, 999–1014. [Google Scholar] [CrossRef]
- Korolev, S.P.; Kondrashina, O.V.; Druzhilovsky, D.S.; Starosotnikov, A.M.; Dutov, M.D.; Bastrakov, M.A.; Dalinger, I.L.; Filimonov, D.A.; Shevelev, S.A.; Poroikov, V.V.; et al. Structural-Functional Analysis of 2,1,3-Benzoxadiazoles and Their N-oxides as HIV-1 Integrase Inhibitors. Acta Nat. 2013, 5, 63–72. [Google Scholar] [CrossRef]
- Kaufman, H.A. Process for Producing Certain Amino Substituted Nitro Pyridines. U.S. Patent 3470172 A, 30 September 1969. [Google Scholar]
- Zhang, Q.; Zuo, J.; Chen, X.-L.; Yu, W. Synthesis and application of nitro-pyridine derivatives. Chem. Res. Appl. 2002, 14, 383–386. [Google Scholar]
- Gao, H.; Shreeve, J.M. Azole-based energetic salts. Chem. Rev. 2011, 111, 7377–7436. [Google Scholar] [CrossRef]
- Gryl, M.; Seidler, T.; Wojnarska, J.; Stadnicka, K.; Matulková, I.; Němec, I.; Němec, P. Co-crystals of 2-amino-5-nitropyridine barbital with extreme birefringence and large second harmonic generation effect. Chem. Eur. J. 2018, 24, 8727–8731. [Google Scholar] [CrossRef]
- Terrier, F. Nucleophilic Aromatic Displacement; Feuer, H., Ed.; VCH: New York, NY, USA, 1991; pp. 18–138. [Google Scholar]
- Chupakhin, O.N.; Charushin, V.N. Recent advances in the field of nucleophilic aromatic substitution of hydrogen. Tetrahedron Lett. 2016, 57, 2665–2672. [Google Scholar] [CrossRef]
- Makosza, M. Reactions of nucleophiles with nitroarenes: Multifacial and versatile electrophiles. Chem. Eur. J. 2014, 20, 5536–5545. [Google Scholar] [CrossRef]
- Makosza, M. Nucleophilic substitution of hydrogen in electron-deficient arenes, a general process of great practical value. Chem. Soc. Rev. 2010, 38, 2855–2868. [Google Scholar] [CrossRef] [PubMed]
- Terrier, F.; Millot, F.; Norris, W.P. Meisenheimer complexes: A kinetic study of water and hydroxide ion attacks on 4,6-dinitrobenzofuroxan in aqueous solution. J. Am. Chem. Soc. 1976, 98, 5883–5890. [Google Scholar] [CrossRef]
- Buncel, E.; Crampton, M.R.; Strauss, M.J.; Terrier, F. Electron-Deficient Aromatic and Heteroaromatic Base Interactions; Elsevier: Amsterdam, The Netherlands, 1984; pp. 166–296. [Google Scholar]
- Buncel, E.; Dust, J.; Terrier, F. Rationalizing the regioselectivity in polynitroarene anionic. sigma.-adduct formation. Relevance to nucleophilic aromatic substitution. Chem. Rev. 1995, 95, 2261–2280. [Google Scholar] [CrossRef]
- Spear, R.J.; Norris, W.P.; Read, R.W. Direct (uncatalysed) formation of Meisenheimer complexes from primary, secondary and tertiary arylamines. Tetrahedron Lett. 1983, 24, 1555–1558. [Google Scholar] [CrossRef]
- Terrier, F.; Chatrousse, A.P.; Soudais, Y.; Hlaibi, M. Methanol attack on highly electrophilic 4,6-dinitrobenzofurazan and 4,6-dinitrobenzofuroxan derivatives. A kinetic study. J. Org. Chem. 1984, 49, 4176–4181. [Google Scholar] [CrossRef]
- Strauss, M.J.; Renfrow, R.A.; Buncel, E. Ambident aniline reactivity in meisenheimer complex formation. J. Am. Chem. Soc. 1983, 105, 2473–2474. [Google Scholar] [CrossRef]
- Buncel, E.; Renfrow, R.A.; Strauss, M.J. Ambident nucleophilic reactivity in. sigma.-complex formations. 6. Reactivity-selectivity relationships in reactions of ambident nucleophiles with the superelectrophiles 4,6-dinitrobenzofuroxan and 4,6-dinitro-2-(2,4,6-trinitrophenyl) benzotriazole 1-oxide. J. Org. Chem. 1987, 52, 488–495. [Google Scholar] [CrossRef]
- Strauss, M.J.; De Fusco, A.; Terrier, F. Sulfur base complexes of 4,6-dinitrobenzofuroxan. Isolation of cysteine complex; Support for cellular thiol addition as a primary step in the in vitro inhibition of nucleic acid synthesis by nitrobenzofuroxans. Tetrahedron Lett. 1981, 22, 1945–1948. [Google Scholar] [CrossRef]
- Norris, W.P.; Spear, R.J.; Read, R.W. Explosive Meisenheimer complexes formed by addition of nucleophilic reagents to 4,6-dinitrobenzofurazan 1-oxide. Aust. J. Chem. 1983, 36, 297–309. [Google Scholar] [CrossRef]
- Terrier, F.; Halle’, J.C.; Pouet, M.J.; Simonnin, M.P. The proton sponge as nucleophile. J. Org. Chem. 1986, 51, 410–411. [Google Scholar] [CrossRef]
- Halle´, J.C.; Simonnin, M.P.; Pouet, M.J.; Terrier, F. Nucleophilic displacement of hydrogen in 4,6-dinitro-benzofuroxan and benzofurazan. Synthesis of some novel 7-substituted 4,6-dinitro-benzofuroxans and- benzofurazans. Tetrahedron Lett. 1985, 26, 1307–1310. [Google Scholar] [CrossRef]
- Terrier, F.; Halle´, J.C.; Pouet, M.J.; Simonnin, M.P. Nonconventional electrophilic heteroaromatic substitutions: Ring vs. side-chain reactivity of 2,5-dimethyl five-membered ring heterocycles toward electron-deficient aromatics. J. Org. Chem. 1984, 49, 4363–4367. [Google Scholar] [CrossRef]
- Terrier, F.; Kizilian, E.; Halle´, J.C.; Buncel, E. 4,6-dinitrobenzofuroxan: A stronger electrophile than the p-nitrobenzenediazonium cation and proton. J. Am. Chem. Soc. 1992, 114, 1740–1742. [Google Scholar] [CrossRef]
- Terrier, F.; Pouet, M.J.; Halle´, J.C.; Hunt, S.; Jones, J.R.; Buncel, E. Electrophilic heteroaromatic substitutions: Reactions of 5-X-substituted indoles with 4,6-dinitrobenzofuroxan. J. Chem. Soc. Perkin Trans. 1993, 2, 16651–16672. [Google Scholar] [CrossRef]
- Terrier, F.; Pouet, M.J.; Halle´, J.C.; Kizilian, E.; Buncel, E. Electrophilic aromatic substitutions: Reactions of hydroxyl- and methoxy-substituted benzenes with 4.6-dinitrobenzofuroxan: Kinetics and mechanism. J. Phys. Org. Chem. 1998, 11, 707–714. [Google Scholar] [CrossRef]
- Kind, J.; Niclas, H. Preparation of 5,7-dinitrobenzofurazan-4-yl aryl diketones via meisenheimer complexes. J. Synth. Commun. 1993, 23, 1569–1576. [Google Scholar] [CrossRef]
- Lakhdar, S.; Goumont, R.; Boubaker, T.; Mokhtari, M.; Terrier, F. Nitrobenzoxadiazoles and related heterocycles: A relationship between aromaticity, superelectrophilicity and pericyclic reactivity. Org. Biomol. Chem. 2006, 4, 1910–1919. [Google Scholar] [CrossRef]
- Terrier, F.; Simonnin, M.P.; Pouet, M.J.; Strauss, M.J. Reactivity of carbon acids toward 4,6-dinitrobenzofuroxan. Studies of keto-enol equilibriums and diastereoisomerism in carbon-bonded anionic sigma. Complexes. J. Org. Chem. 1981, 46, 3537–3543. [Google Scholar] [CrossRef]
- Terrier, F.; Sebban, M.; Goumont, R.; Halle´, J.C.; Moutiers, G.; Cangelosi, I.; Buncel, E. Dual behavior of 4-aza-6-nitrobenzofuroxan. A powerful electrophile in hydration and σ-complex formation and a potential dienophile or heterodiene in diels-alder type reactions. J. Org. Chem. 2000, 65, 7391–7398. [Google Scholar] [CrossRef]
- Remennikov, G.Y.; Pirozhenko, V.V.; Vdovenko, S.I.; Kravchenko, S.A. σ-Complexes in the pyrimidine series. 13. Reaction of 7- and 5-methoxyfuroxano-[3,4-d]pyrimidines with some C-nucleophiles. Chem. Heterocycl. Compd. 1998, 34, 104–110. [Google Scholar] [CrossRef]
- Wertjes, W.C.; Southgate, E.H.; Sarlah, D. Recent advances in chemical dearomatization of nonactivated arenes. Chem. Soc. Rev. 2018, 47, 7996–8017. [Google Scholar] [CrossRef] [PubMed]
- Ortiz, F.L.; Iglesias, M.J.; Fernandez, I.; Andujar Sanchez, C.M.; Gomez, G.R. Nucleophilic dearomatizing (DNAr) reactions of aromatic, C,H-Systems. A mature paradigm in organic synthesis. Chem. Rev. 2007, 107, 1580–1691. [Google Scholar] [CrossRef] [PubMed]
- Bastrakov, M.A.; Nikol’skiy, V.V.; Starosotnikov, A.M.; Fedyanin, I.V.; Shevelev, S.A.; Knyazev, D.A. Reactions of 3-R-5-nitropyridines with nucleophiles: Nucleophilic substitution vs. conjugate addition. Tetrahedron 2019, 75, 130659. [Google Scholar] [CrossRef]
- Konstantinova, L.S.; Bastrakov, M.A.; Starosotnikov, A.M.; Glukhov, I.V.; Lysov, K.A.; Rakitin, O.A.; Shevelev, S.A. 4.6-dinitrobenzo[c]isothiazole: Synthesis and 1,3-dipolar cycloaddition to azomethine ylide. Mendeleev Commun. 2010, 20, 353–354. [Google Scholar] [CrossRef]
- Bastrakov, M.A.; Leonov, A.I.; Starosotnikov, A.M.; Fedyanin, I.V.; Shevelev, S.A. 8-R-5,7-dinitroquinolines in [3 + 2]-cycloaddition reactions with N-methylazomethine ylide. Russ. Chem. Bull. Int. Ed. 2013, 62, 1052–1059. [Google Scholar] [CrossRef]
- Bastrakov, M.A.; Starosotnikov, A.M.; Fedyanin, I.V.; Kachala, V.V.; Shevelev, S.A. 5-nitro-7,8-furoxanoquinoline: A new type of fused nitroarenes possessing Diels-Alder reactivity. Mendeleev Commun. 2014, 24, 203–205. [Google Scholar] [CrossRef]
- Bastrakov, M.A.; Starosotnikov, A.M.; Pavlov, A.A.; Dalinger, I.L.; Shevelev, S.A. Synthesis of novel polycyclic heterosystems from 5-nitro[1,2,5]selenadiazolo[3,4-e]benzofuroxans. Chem. Heterocycl. Compd. 2016, 52, 690–693. [Google Scholar] [CrossRef]
- Starosotnikov, A.M.; Bastrakov, M.A.; Pavlov, A.A.; Fedyanin, I.V.; Dalinger, I.L.; Shevelev, S.A. Synthesis of novel polycyclic heterosystems based on 5-nitro[1,2,5]thiadiazolo[3,4-e]benzofuroxan. Mendeleev Commun. 2016, 26, 217–219. [Google Scholar] [CrossRef]
- Bastrakov, M.A.; Kucherova, A.Y.; Fedorenko, A.K.; Starosotnikov, A.M.; Fedyanin, I.V.; Dalinger, I.L.; Shevelev, S.A. Dearomatization of 3,5-dinitropyridines—An atom-efficient approach to fused 3-nitropyrrolidines. Arkivoc 2017. [Google Scholar] [CrossRef]
- Starosotnikov, A.M.; Shkaev, D.V.; Bastrakov, M.A.; Fedyanin, I.V.; Shevelev, S.A.; Dalinger, I.L. Nucleophilic dearomatization of 4-aza-6-nitrobenzofuroxan by CH acids in the synthesis of pharmacology-oriented compounds. Beilstein J. Org. Chem. 2017, 13, 2854–2861. [Google Scholar] [CrossRef]
- Starosotnikov, A.M.; Shkaev, D.V.; Bastrakov, M.A.; Shevelev, S.A.; Dalinger, I.L. Dearomatization of oxa- or selenadiazolopyridines with neutral nucleophiles as an efficient approach to pharmacologically relevant nitrogen compounds. Mendeleev Commun. 2018, 28, 638–640. [Google Scholar] [CrossRef]
- Bastrakov, M.A.; Fedorenko, A.K.; Starosotnikov, A.M.; Kachala, V.V.; Shevelev, S.A. Dearomative (3 + 2) cycloaddition of 2-substituted 3,5-dinitropyridines and N-methyl azomethine ylide. Chem. Heterocycl. Compd. 2019, 55, 72–77. [Google Scholar] [CrossRef]
- Starosotnikov, A.M.; Il’kov, K.V.; Bastrakov, M.A.; Fedyanin, I.V.; Kokorekin, V.A. Mild and efficient addition of carbon nucleophiles to condensed pyridines: Influence of structure and limits of applicability. Chem. Heterocycl. Comp. 2020, 56, 92–100. [Google Scholar] [CrossRef]
- Cikotiene, I. Intramolecular iodine-mediated oxygen transfer from nitro groups to C ≡ C Bonds. Eur. J. Org. Chem. 2012, 27662–27773. [Google Scholar] [CrossRef]
- Bruno, I.J.; Cole, J.C.; Kessler, M.; Luo, J.; Motherwell, W.D.S.; Purkis, L.H.; Smith, B.R.; Taylor, R.; Cooper, R.I.; Harris, S.E.; et al. Retrieval of crystallographically-derived molecular geometry information. J. Chem. Inf. Comput. Sci. 2004, 44, 2133–2144. [Google Scholar] [CrossRef]
- SAINT; Version 8.34A; Bruker AXS Inc.: Madison, WI, USA, 2014.
- Krause, L.; Herbst-Irmer, R.; Sheldrick, G.M.; Stalke, D. Comparison of silver and molybdenum microfocus X-ray sources for single-crystal structure determination. J. Appl. Cryst. 2015, 48, 3–10. [Google Scholar] [CrossRef]
- Sheldrick, G.M. SHELXT—Integrated space-group and crystalstructure determination. Acta Crystallogr. A 2015, 71, 3–8. [Google Scholar] [CrossRef]
- Sheldrick, G.M. Crystal structure refinement with SHELXL. Acta Crystallogr. C 2015, 71, 3–8. [Google Scholar] [CrossRef]
Sample Availability: Samples of the compounds are not available from the authors. |
© 2020 by the authors. Licensee MDPI, Basel, Switzerland. This article is an open access article distributed under the terms and conditions of the Creative Commons Attribution (CC BY) license (http://creativecommons.org/licenses/by/4.0/).








