Antibacterial Activity of Amidodithiophosphonato Nickel(II) Complexes: An Experimental and Theoretical Approach
Abstract
1. Introduction
2. Results
2.1. Antibacterial Activity
2.2. DFT Calculations
3. Materials and Methods
3.1. Theoretical Calculations
3.2. Microbiological Assays
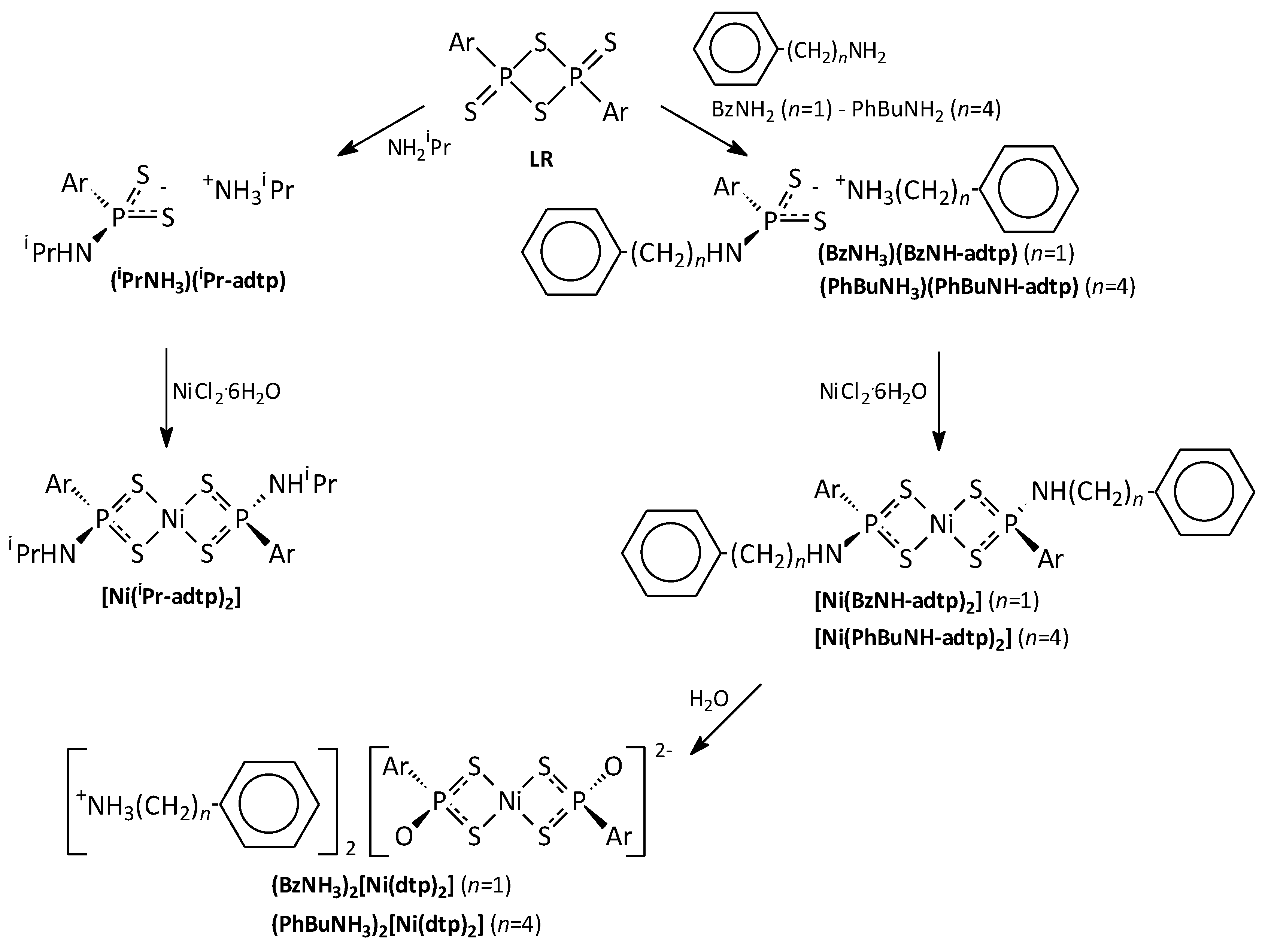
3.3. Synthesis
3.3.1. Synthesis of (PhBuNH3)(PhBuNH-adtp)
3.3.2. Synthesis of [Ni(BzNH-adtp)2]
3.3.3. Synthesis of (BzNH3)2[Ni(dtp)2]
3.3.4. Synthesis of [Ni(PhBuNH-adtp)2]
3.3.5. Synthesis of (PhBuNH3)2[Ni(dtp)2]
3.3.6. Synthesis of (PhBuNH3)2[(ArPS2)2O]
4. Conclusions
Supplementary Materials
Author Contributions
Funding
Acknowledgments
Conflicts of Interest
References
- Van Zyl, W.E.; Woollins, J.D. The coordination chemistry of dithiophosphonates: An emerging and versatile ligand class. Coord. Chem. Rev. 2013, 257, 718–731. [Google Scholar] [CrossRef]
- Haiduc, I. Comprehensive Coordination Chemistry II; McCleverty, J.A., Meyer, J.H., Thomas, J., Eds.; Elsevier: Oxford, UK, 2003; Volume 1, pp. 349–369. [Google Scholar]
- Aragoni, M.C.; Arca, M.; Demartin, F.; Devillanova, F.A.; Graiff, C.; Isaia, F.; Lippolis, V.; Tiripicchio, A.; Verani, A. Ring-Opening of Lawesson’s Reagent: New Syntheses of Phosphono- and Amidophosphono-Dithioato Complexes − Structural and CP-MAS 31P-NMR Characterization of [p-CH3OPh(X)PS2]2M (X = MeO, iPrNH.; M = NiII, PdII, and PtII). Eur. J. Inorg. Chem 2000, 10, 2239–2244. [Google Scholar] [CrossRef]
- Haiduc, I.; Mezeia, G.; Micu-Semeniuca, R.; Edelmann, F.T.; Fischer, A. Differing Coordination Modes of (O-Alkyl)-p-Ethoxyphenyldithiophosphonato Ligands in Copper(I), Silver(I) and Gold(I) Triphenylphosphine Complexes. Z. Anorg. Allg. Chem. 2006, 632, 295–300. [Google Scholar] [CrossRef]
- Haiduc, I.; Sowerby, D.B.; Lu, S.-F. Stereochemical aspects of phosphor-1,1-dithiolato metal complexes (dithiophosphates, dithiophosphinates): Coordination patterns, molecular structures and supramolecular associations—I. Polyhedron 1995, 14, 3389–3472. [Google Scholar] [CrossRef]
- Arca, M.; Cornia, A.; Devillanova, F.A.; Fabretti, A.C.; Isaia, F.; Lippolis, V.; Verani, G. New perspectives in phosphonodithioate coordination chemistry. Synthesis and X-ray crystal structure of trans-bis-[O-ethyl-(4-methoxyphenyl)phosphonodithioato] nickel(II). Inorg. Chim. Acta 1997, 262, 81–84. [Google Scholar] [CrossRef]
- Albano, V.G.; Aragoni, M.C.; Arca, M.; Castellari, C.; Demartin, F.; Devillanova, F.A.; Isaia, F.; Lippolis, V.; Loddo, L.; Verani, G. An unprecedented example of a cis-phosphonodithioato nickel(ii) complex built by an extensive hydrogen bonding supramolecular network. Chem. Commun. 2002, 11, 1170–1171. [Google Scholar] [CrossRef]
- Ajayi, T.J.; Pillay, M.N.; van Zyl, W.E. Solvent-free mechanochemical synthesis of dithiophosphonic acids and corresponding nickel(II) complexes. Phosphorus Sulfur Silicon Relat. Elem. 2017, 192, 1205–1211. [Google Scholar] [CrossRef]
- Alberti, E.; Ardizzoia, G.A.; Brenna, S.; Castelli, F.; Galli, S.; Maspero, A. The synthesis of a new dithiophosphonic acid and its coordination properties toward Ni(II): A combined NMR and X-ray diffraction study. Polyhedron 2007, 26, 958–963. [Google Scholar] [CrossRef]
- Shi, W.; Kelting, R.; Shafaei-Fallah, M.; Rothenberger, A. Transformations of P-chalcogenide precursors with a hydrated metal salt. J. Organomet. Chem. 2007, 692, 2678–2682. [Google Scholar] [CrossRef]
- Alexander, B.E.; Coles, S.J.; Fox, B.C.; Khan, T.F.; Maliszewski, J.; Perry, A.; Pitak, M.B.; Whiteman, M.; Wood, M.E. Investigating the generation of hydrogen sulfide from the phosphonamidodithioate slow-release donor GYY4137. Med. Chem. Commun. 2015, 6, 1649–1655. [Google Scholar] [CrossRef]
- Woods, J.J.; Cao, J.; Lippert, A.R.; Wilson, J.J. Characterization and Biological Activity of a Hydrogen Sulfide-Releasing Red Light-Activated Ruthenium(II) Complex. J. Am. Chem. Soc. 2018, 140, 12383–12387. [Google Scholar] [CrossRef] [PubMed]
- Roca, I.; Akova, M.; Baquero, F.; Carlet, J.; Cavaleri, M.; Coenen, S.; Cohen, J.; Findlay, D.; Gyssens, I.; Heure, O.E.; et al. The global threat of antimicrobial resistance: Science for intervention. New Microbes New Infect. 2015, 6, 22–29. [Google Scholar] [CrossRef]
- World Health Organization. Global Action Plan for Antimicrobial Resistance. 2015. Available online: https://www.who.int/antimicrobial-resistance/publications/global-action-plan/en/ (accessed on 25 September 2019).
- Ventola, C.L. The antibiotic resistance crisis: Part 1: Causes and threats. Pharm. Ther. 2015, 40, 277–283. [Google Scholar]
- Lemire, J.A.; Harrison, J.J.; Turner, R.J. Antimicrobial activity of metals: Mechanisms, molecular targets and applications. Nat. Rev. Microbiol. 2013, 11, 371–384. [Google Scholar] [CrossRef] [PubMed]
- Glišić, B.D.; Djuran, M.I. Gold complexes as antimicrobial agents: An overview of different biological activities in relation to the oxidation state of the gold ion and the ligand structure. Dalton Trans. 2014, 43, 5950–5969. [Google Scholar] [CrossRef]
- Pintus, A.; Aragoni, M.C.; Cinellu, M.A.; Maiore, L.; Isaia, F.; Lippolis, V.; Orrù, G.; Tuveri, E.; Zucca, A.; Arca, M. [Au(pyb-H)(mnt)]: A novel gold(III) 1,2-dithiolene cyclometalated complex with antimicrobial activity (pyb-H=C-deprotonated 2-benzylpyridine; mnt=1,2-dicyanoethene-1,2-dithiolate). J. Inorg. Biochem. 2017, 170, 188–194. [Google Scholar] [CrossRef]
- Karpin, G.W.; Morris, D.M.; Ngo, M.T.; Merola, J.S.; Falkinam, J.O., III. Transition metal diamine complexes with antimicrobial activity against Staphylococcus aureus and methicillin-resistant S. aureus (MRSA). Med. Chem. Commun. 2015, 6, 1471–1478. [Google Scholar] [CrossRef][Green Version]
- Brahma, U.; Kothari, R.; Sharma, P.; Bhandari, V. Antimicrobial and anti-biofilm activity of hexadentated macrocyclic complex of copper (II) derived from thiosemicarbazide against Staphylococcus aureus. Sci. Rep. 2018, 8, 1–8. [Google Scholar] [CrossRef]
- Tong, Y.C.; Davis, J.S.; Eichenberger, E.; Holland, T.L.; Fowler, V.G., Jr. Staphylococcus aureus infections: Epidemiology, pathophysiology, clinical manifestations, and management. Clin. Microbiol. Rev. 2015, 28, 603–661. [Google Scholar] [CrossRef]
- Prestinaci, F.; Pezzotti, P.; Pantosti, A. Antimicrobial resistance: A global multifaceted phenomenon. Pathog. Glob. Health. 2015, 109, 309–318. [Google Scholar] [CrossRef]
- Savage, V.J.; Chopra, I.; O’Neill, A.J. Staphylococcus aureus Biofilms Promote Horizontal Transfer of Antibiotic Resistance. Antimicrob. Agents Chemother. 2013, 57, 1968–1970. [Google Scholar] [CrossRef] [PubMed]
- McConoughey, S.J.; Howlin, R.; Granger, J.F.; Manring, M.M.; Calhoun, J.H.; Shirtliff, M.; Kathju, S.; Stoodley, P.S.J. Biofilms in periprosthetic orthopedic infections. Future Microbiol. 2014, 9, 987–1007. [Google Scholar] [CrossRef] [PubMed]
- Arciola, C.R.; Campoccia, D.; Speziale, P.; Montanaro, L.; Costerton, J.W. Biofilm formation in Staphylococcus implant infections. A review of molecular mechanisms and implications for biofilm-resistant materials. Biomaterials 2012, 33, 5967–5982. [Google Scholar] [CrossRef] [PubMed]
- Burmølle, M.; Thomsen, T.R.; Fazli, M.; Dige, I.; Christensen, L.; Homøe, P.; Tvede, M.; Nyvad, B.; Tolker-Nielsen, T.; Givskov, M.; et al. Biofilms in chronic infections-a matter of opportunity-monospecies biofilms in multispecies infections. FEMS. Immunol. Med. Microbiol. 2010, 59, 324–336. [Google Scholar] [CrossRef]
- Garrido, V.; Collantes, M.; Barberan, M.; Peñuelas, I.I.; Arbizu, J.; Amorena Zabalta, B.; Grillò, M.J. In Vivo Monitoring of Staphylococcus aureus Biofilm Infections and Antimicrobial Therapy by [18F]Fluoro-Deoxyglucose–MicroPET in a Mouse Model. Antimicrob. Agents Chemother. 2014, 58, 6660–6667. [Google Scholar] [CrossRef]
- Olsen, I. Biofilm-specific antibiotic tolerance and resistance. Eur. J. Clin. Microbiol. 2015, 34, 877–886. [Google Scholar] [CrossRef]
- Leverrier, A.; Hilf, M.; Raynaud, F.; Deschamps, P.; Roussel, P.; Tomas, A.; Galardon, E. Synthesis and anti-proliferative activities of ruthenium complexes containing the hydrogen sulfide-releasing ligand GYY4137. J. Organomet. Chem. 2017, 843, 26–31. [Google Scholar] [CrossRef]
- Aragoni, M.C.; Arca, M.; Devillanova, F.A.; Ferraro, J.R.; Isaia, F.; Lelj, F.; Lippolis, V.; Verani, G. An experimental and theoretical approach to phosphonodithioato complexes: Molecular orbital analysis by hybrid-DFT and EHT calculations on trans-bis[O-alkyl-phenylphosphonodithioato]NiII, and vibrational assignments. Can. J. Chem. 2001, 79, 1483–1491. [Google Scholar] [CrossRef]
- Gholivand, K.; Salami, R.; Farshadfar, K.; Butcher, R.J. Synthesis and structural characterization of Pd(II) and Cu(I) complexes containing dithiophosphorus ligand and their catalytic activities for Heck reaction. Polyhedron 2016, 119, 267–276. [Google Scholar] [CrossRef]
- Saadat, A.; Gholivand, K.; McArdle, P. Synthesis, characterization, crystal structure, and antibacterial evaluation of Ni (II) complex with new dithiophosphorus compound. Phosphorus Sulfur Silicon Relat. Elem. 2016, 191, 13131317. [Google Scholar] [CrossRef]
- Arora, S.K.; Hayes, D.M.; Fernando, Q. The ethylammonium salt of the nickel(II) complex of ethylidithiophosphonic acid. Acta Cryst. 1978, 34, 3355–3357. [Google Scholar] [CrossRef]
- Zhu, H.; Ma, Q.; Shi, H.T.; Chen, Q.; Zhang, Q.F. Aqua carbonyl(ferrocenyldithiophosphonato-2S,S′)bis (tri¬phenylphosphane-P)ruthenium(II) dichloromethane monosolvate. Acta Cryst. 2013, 69, m343–m344. [Google Scholar]
- Wang, X.Y.; Li, Y.; Ma, Q.; Zhang, Q.F. Ruthenium Complexes with Dithiophosphonates [Ar(RO)PS2]− and [Fc(RO)PS2]− (Ar = p-CH3OC6H4, Fc = Fe(η5-C5H4)(η5-C5H5)). Organometallics 2010, 29, 2752–2760. [Google Scholar] [CrossRef]
- Thomas, C.M.; Neels, A.; Stoeckli-Evans, H.; Suss-Fink, G. Synthesis and structure of [(C5H5)Fe(C5H4PS2OCH2C6H4N3)]−, a new phosphonodithioate derivative, and its coordination chemistry with rhodium(I) and nickel(II). J. Organomet. Chem. 2001, 633, 85–90. [Google Scholar] [CrossRef]
- Moula, G.; Bose, M.; Datta, H.; Sarkar, S. Photoluminescent Mo(IV) and W(IV) bis-dithiolene complexes with bidentate phosphonodithioato ligand derived from Lawesson’s reagent. Polyhedron 2013, 52, 900–908. [Google Scholar] [CrossRef]
- Saadat, A.; Banaee, A.; McArdle, P.; Zare, K.; Gholivand, K.; Valmoozi, A.A.E. Ni(II) complexes of dithiophosphonic acids. J. Chem. Sci. 2014, 126, 1125–1133. [Google Scholar] [CrossRef]
- Ma, Q.; Wang, X.Y.; Chen, Q.; Leung, W.H.; Zhang, Q.F. Dinuclear ruthenium complexes containing tripodal dithiophosphonate ligands. Inorg. Chim. Acta 2011, 378, 148–153. [Google Scholar] [CrossRef]
- Aragoni, M.C.; Arca, M.; Demartin, F.; Devillanova, F.A.; Isaia, F.; Lippolis, V.; Verani, G. An unusual cis-phosphonodithioato Pd(II) complex in an extensive hydrogen bonding 3D network. Inorg. Chim. Acta 2005, 358, 213–216. [Google Scholar] [CrossRef]
- Kilian, P.; Slawin, A.M.Z.; Woollins, J.D. Novel Condensed Thionated Bis(phosphonic) Acid Salts with a Rigid Naphthalene-1,8-diyl Backbone. Eur. J. Inorg. Chem. 1999, 12, 2327–2333. [Google Scholar] [CrossRef]
- Scano, A.; Serafi, G.; Fais, S.; Bomboi, S.; Peri, M.; Ibba, A.; Girometta, C.; Orrù, G.; Rossi, P.; Sanna, P.; et al. Antimicrobial susceptibility pattern to disinfectants in Pseudomonas aeruginosa strains isolated from dairy sheep breeds in Sardinia. Large Anim. Rev. 2019, 25, 11–15. [Google Scholar]
- Lambert, P.A. Cellular impermeability and uptake of biocides and antibiotics in Gram-positive bacteria and mycobacteria. J. Appl. Microbiol. 2002, 92, 46S–54S. [Google Scholar] [CrossRef] [PubMed]
- Denyer, S.P.; Maillard, J.Y. Cellular impermeability and uptake of biocides and antibiotics in Gram-negative bacteria. J. Appl. Microbiol. 2002, 92, 35S–45S. [Google Scholar] [CrossRef] [PubMed]
- Klis, F.M.; de Groot, P.; Hellingwerf, K. Molecular organization of the cell wall of Candida albicans. Med. Mycol. 2001, 39, 1–8. [Google Scholar] [CrossRef] [PubMed]
- Aragoni, M.C.; Arca, M.; Demartin, F.; Devillanova, F.A.; Garau, A.; Isaia, F.; Lippolis, V.; Verani, G. DFT calculations, structural and spectroscopic studies on the products formed between IBr and N,N′-dimethylbenzoimidazole-2(3H)-thione and -2(3H)-selone. Dalton Trans. 2005, 13, 2252–2258. [Google Scholar] [CrossRef]
- Aragoni, M.C.; Arca, M.; Devillanova, F.A.; Isaia, F.; Lippolis, V.; Mancini, A.; Pala, L.; Slawin, A.M.Z.; Woollins, J.D. [M(R-dmet)2] Bis(1,2-dithiolenes): a Promising New Class Intermediate between [M(dmit)2] and [M(R,R‘-timdt)2] (M = Ni, Pd, Pt). Inorg. Chem. 2005, 26, 9610–9612. [Google Scholar] [CrossRef]
- Aragoni, M.C.; Arca, M.; Devillanova, F.A.; Isaia, F.; Lippolis, V.; Pintus, A. Gold(III) Complexes of Asymmetrically Aryl-Substituted 1,2-Dithiolene Ligands Featuring Potential-Controlled Spectroscopic Properties: An Insight into the Electronic Properties of bis(Pyren-1-yl-ethylene-1,2-dithiolato)Gold(III). Chem. Asian J. 2011, 6, 198–208. [Google Scholar] [CrossRef]
- Aragoni, M.C.; Arca, M.; Blake, A.J.; Cadoni, E.; Copolovici, L.O.; Isaia, F.; Lippolis, V.; Murgia, S.; Pop, A.M.; Silvestru, C.; et al. Reaction of imidazoline-2-selone derivatives with mesityltellurenyl iodide: A unique example of a 3c-4e Se→Te←Se three-body system embedding a tellurenyl cation. New J. Chem. 2019, 43, 11821–11831. [Google Scholar] [CrossRef]
- Koch, W.; Holthausen, M.C.A. Chemist’s Guide to Density Functional Theory, 2nd ed.; Wiley-VCH: Weinheim, Germany, 2002. [Google Scholar]
- Li, L.; Whiteman, M.; Guan, Y.Y.; Neo, K.L.; Cheng, Y.; Lee, S.W.; Zhao, Y.; Baskar, R.; Tan, C.H.; Moore, P.K. Characterization of a Novel, Water-Soluble Hydrogen Sulfide–Releasing Molecule (GYY4137). Circulation 2008, 117, 2351–2360. [Google Scholar] [CrossRef]
- Rigaku Oxford Diffraction, CrysAlisPro Software System; Version 1.171.39.46; Rigaku Corporation: Oxford, UK, 2018.
- Sheldrick, G.M. SHELXT-Integrated space-group and crystal-structure determination. Acta Cryst. 2015, A71, 3–8. [Google Scholar] [CrossRef]
- Dolomanov, O.V.; Bourhis, L.J.; Gildea, R.J.; Howard, J.A.K.; Puschmann, H. OLEX2: A complete structure solution, refinement and analysis program. J. Appl. Cryst. 2009, 42, 339–341. [Google Scholar] [CrossRef]
- Sheldrick, G.M. Crystal structure refinement with SHELXL. Acta Cryst. 2015, 71, 3–8. [Google Scholar]
- Adamo, C.; Barone, V. Exchange functionals with improved long-range behavior and adiabatic connection methods without adjustable parameters: The mPW and mPW1PW models. J. Chem. Phys. 1998, 108, 664–675. [Google Scholar] [CrossRef]
- Frisch, M.J.; Trucks, G.W.; Schlegel, H.B.; Scuseria, G.E.; Robb, M.A.; Cheeseman, J.R.; Scalmani, G.; Barone, V.; Petersson, G.A.; Nakatsuji, H.; et al. Gaussian 16; Revision C.01; Gaussian, Inc.: Wallingford, CT, USA, 2016. [Google Scholar]
- Weigend, F.; Ahlrichs, R. Balanced basis sets of split valence, triple zeta valence and quadruple zeta valence quality for H to Rn: Design and assessment of accuracy. Phys. Chem. Chem. Phys. 2005, 7, 3297–3305. [Google Scholar] [CrossRef] [PubMed]
- Reed, A.E.; Weinstock, R.B.; Weinhold, F. Natural population analysis. J. Chem. Phys. 1985, 83, 735–746. [Google Scholar] [CrossRef]
- Wiberg, K.B. Application of the pople-santry-segal CNDO method to the cyclopropylcarbinyl and cyclobutyl cation and to bicyclobutane. Tetrahedron 1968, 24, 1083–1096. [Google Scholar] [CrossRef]
- Skripnikov, L.V. Chemissian; Version 4.53; Visualization Computer Program, St.: Petersburg, Russia, 2017. [Google Scholar]
- Dennington, R.; Keith, T.; Millam, J. GaussView; Version 6.0; Semichem Inc.: Shawnee, KS, USA, 2009. [Google Scholar]
- Schaftenaar, G.; Noordik, J.H. Molden: A pre- and post-processing program for molecular and electronic structures. J. Comput. Aided Mol. Des. 2000, 14, 123–134. [Google Scholar] [CrossRef]
- Zapantis, A.; Lacy, M.K.; Horvat, R.T.; Grauer, D.; Barnes, B.J.; O’Neal, B.; Couldry, R. Nationwide Antibiogram Analysis Using NCCLS M39-A Guidelines. J. Clin. Microbiol. 2005, 43, 2629–2634. [Google Scholar] [CrossRef]
- Orru, G.; del Nero, S.; Tuveri, E.; Ciusa, M.L.; Pilia, F.; Erriu, M.; Liciardi, M.; Piras, V.; Denotti, G. Evaluation of Antimicrobial-Antibiofilm Activity of a Hydrogen Peroxide Decontaminating System Used in Dental Unit Water Lines. Open Dent. J. 2010, 4, 140–146. [Google Scholar] [CrossRef]
- Biemer, J.J. Antimicrobial Susceptibility Testing by the Kirby-Bauer Disc Diffusion Method. Ann. Clin. Lab. Sci. 1973, 3, 135–140. [Google Scholar]
- Langfield, R.D.; Scarano, F.J.; Heitzman, M.E.; Kondo, M.; Hammond, G.B.; Neto, C.C. Use of a modified microplate bioassay method to investigate antibacterial activity in the Peruvian medicinal plant Peperomia galioides. J. Ethnopharmacol. 2004, 94, 279–281. [Google Scholar] [CrossRef]
- Wiegand, I.; Hilpert, K.; Hancock, R.E. Agar and broth dilution methods to determine the minimal inhibitory concentration (MIC) of antimicrobial substances. Nat. Protoc. 2008, 3, 163–175. [Google Scholar] [CrossRef] [PubMed]
- Merritt, J.H.; Kadouri, D.E.; O’Toole, G.A. Growing and analyzing static biofilms. Curr. Protoc. Microbiol. 2005. [Google Scholar] [CrossRef]
- Gholivand, K.; Salami, R.; Rastegar, S.F.; Roe, S.M. Dithiophosphorus-Palladium Complexes as a Catalyst in the Heck Reaction via Pd(II)/Pd(IV) Catalytic Cycle: A Combined Experimental and Computational Study. Chem. Sel. 2018, 3, 7822–7829. [Google Scholar] [CrossRef]
Sample Availability: Samples of the compounds are available from the authors. |







| (BzNH3)2[Ni(dtp)2]·2H2O | (PhBuNH3)2[Ni(dtp)2] [a] | (PhBuNH3)2[(pdtp)2O] [b] | |
|---|---|---|---|
| Ni–S1 | 2.2255(4) | 2.218(6) | - |
| Ni–S2 | 2.2232(4) | 2.216(7) | - |
| P1–S1 | 2.0409(5) | 2.029(8) | 1.98(1) |
| P1–S2 | 2.0387(5) | 2.029(2) | 1.97(1) |
| P1-C1 | 1.7955(14) | 1.797(5) | 1.79(1) |
| P1-O1 | 1.5094(10) | 1.511(2) | 1.61(3) |
| S1–Ni–S2 | 87.92(2) | 87.8(6) | - |
| S1–P1–S2 | 98.39(2) | 98.7(7) | 116.3(6) |
| C1-P1-O1 | 108.24(6) | 107 (1) | 99 (1) |
| Strain | MIC | MBC | MBIC | |||
|---|---|---|---|---|---|---|
| A | B | A | B | A | B | |
| Staphylococcus aureus | 100 | 100 | >100 | >100 | 100 | 100 |
| Staphylococcus haemolyticus | 6.25 | >100 | >100 | >100 | 50 | 12.5 |
© 2020 by the authors. Licensee MDPI, Basel, Switzerland. This article is an open access article distributed under the terms and conditions of the Creative Commons Attribution (CC BY) license (http://creativecommons.org/licenses/by/4.0/).
Share and Cite
Podda, E.; Arca, M.; Atzeni, G.; Coles, S.J.; Ibba, A.; Isaia, F.; Lippolis, V.; Orrù, G.; Orton, J.B.; Pintus, A.; et al. Antibacterial Activity of Amidodithiophosphonato Nickel(II) Complexes: An Experimental and Theoretical Approach. Molecules 2020, 25, 2052. https://doi.org/10.3390/molecules25092052
Podda E, Arca M, Atzeni G, Coles SJ, Ibba A, Isaia F, Lippolis V, Orrù G, Orton JB, Pintus A, et al. Antibacterial Activity of Amidodithiophosphonato Nickel(II) Complexes: An Experimental and Theoretical Approach. Molecules. 2020; 25(9):2052. https://doi.org/10.3390/molecules25092052
Chicago/Turabian StylePodda, Enrico, Massimiliano Arca, Giulia Atzeni, Simon J. Coles, Antonella Ibba, Francesco Isaia, Vito Lippolis, Germano Orrù, James B. Orton, Anna Pintus, and et al. 2020. "Antibacterial Activity of Amidodithiophosphonato Nickel(II) Complexes: An Experimental and Theoretical Approach" Molecules 25, no. 9: 2052. https://doi.org/10.3390/molecules25092052
APA StylePodda, E., Arca, M., Atzeni, G., Coles, S. J., Ibba, A., Isaia, F., Lippolis, V., Orrù, G., Orton, J. B., Pintus, A., Tuveri, E., & Aragoni, M. C. (2020). Antibacterial Activity of Amidodithiophosphonato Nickel(II) Complexes: An Experimental and Theoretical Approach. Molecules, 25(9), 2052. https://doi.org/10.3390/molecules25092052

