Next Article in Journal
Synthesis and Evaluation of [18F]FEtLos and [18F]AMBF3Los as Novel 18F-Labelled Losartan Derivatives for Molecular Imaging of Angiotensin II Type 1 Receptors
Previous Article in Journal
First Example of Catalytic Synthesis of Cyclic S-Containing Di- and Triperoxides
 
 
Font Type:
Arial Georgia Verdana
Font Size:
Aa Aa Aa
Line Spacing:
Column Width:
Background:
Article

Syntheses and Structure–Activity Relationships in Growth Inhibition Activity against Human Cancer Cell Lines of 12 Substituted Berberine Derivatives

State Key Laboratory of Bioactive Substance and Function of Natural Medicines, Institute of Materia Medica, Chinese Academy of Medical Sciences and Peking Union Medical College, Beijing 100050, China
*
Authors to whom correspondence should be addressed.
Molecules 2020, 25(8), 1871; https://doi.org/10.3390/molecules25081871
Submission received: 19 March 2020 / Revised: 2 April 2020 / Accepted: 5 April 2020 / Published: 18 April 2020

Abstract

In this study, quaternary berberine chloride is used as a lead compound to design and synthesize a series of berberine-12-amine derivatives to evaluate the growth inhibition activity against human cancer cell lines. Forty-two compounds of several series were obtained. The quaternary berberine-12-N,N-di-n-alkylamine chlorides showed the targeted activities with the IC50 values of most active compounds being dozens of times those of the positive control. A significant structure–activity relationship (SAR) was observed. The activities of quaternary berberine-12-N,N-di-n-alkylamine chlorides are significantly stronger than those of the reduced counterparts. In the range of about 6-8 carbon atoms, the activities increase with the elongation of n-alkyl carbon chain of 12-N,N-di-n-alkylamino, and when the carbon atom numbers are more than 6-8, the activities decrease with the elongation of n-alkyl carbon chain. The activities of the tertiary amine structure are significantly higher than that of the secondary amine structure.

1. Introduction

Nearly all kinds of malignant tumors (cancers) are severe diseases endangering human health. The search for effective therapies against malignancies has gone through a long historical period. Currently, surgical therapy, radiotherapy, chemotherapy (including molecular-targeted drug therapy), endocrine therapy, and biotherapy are the most commonly used therapies to treat malignancies in the clinic. However, it is very worrying that while a series of the most commonly diagnosed malignant tumors in the clinic represent one of the leading causes of diseases-related deaths worldwide, the clinical benefits of these therapies are all limited and there are no specific drugs or other therapies available for the treatment of many cancers. Poor curative effect and obvious toxicity or hypertoxicity are the outstanding defects of current anticancer drugs [1]. Thus, better treatment options against malignancies, including innovative antitumor drugs, are urgently needed.
Berberine-type alkaloids are a class of natural isoquinoline alkaloids. Quaternary berberine chloride (QBC, 1, Figure 1) is an outstanding representative of berberine-type alkaloids which exists in many well-known medicinal plants, such as Coptis chinensis Franch. of Ranunculaceae [2,3] and many Berberis species of Berberidaceae [4]. QBC is rich in natural resources and now has been synthesized on a large scale in chemical industry [2,5]. QBC has a wide range of pharmacological activities such as anti-tumor [6,7], antidiarrheal [8], hypoglycemic [9], antibacterial [10,11], hypolipidemic [12], antihypertensive [13], antiarrhythmic [14], neuroprotective [15], and anti-inflammatory [16] activities. In terms of anti-tumor activity, the growth inhibitory effect of QBC against cancer cells was one of the major hot spots that were concerned. However, the problems of poor pharmacological effect and poor pharmacokinetic characteristics of QBC itself further limit its clinical application [17].
Research on berberine-type alkaloids is one of the hot topics in the field of medicinal chemistry at present, particularly research on structural modification and many other pharmacological activities. Our group has also been performing these investigations over the past few years, and has touched on many aspects of several berberine-type alkaloids in pharmaceutical chemistry, such as studies on the structural modifications of quaternary coptisine chloride and quaternary palmatine chloride, the exploration of the pharmacological activities of X-box-binding protein 1 (XBP1), which include transcriptional activation, anti-ulcerative colitis, and antibacterial [18,19,20,21,22]. Recently, we ran a study on the structural modification of QBC to explore the possibility of improving its activity for inhibiting human cancer cell growth, and to investigate the structure–activity relationship (SAR). In our study, the covalently connected hydrogen atom at position 12 of the QBC core was replaced by N-acylamino-, N,N-di-n-alkylamino-, and N-n-alkylamino-, respectively, and the different reduction states of the end-products were also studied in order to yield several classes of new berberine-type alkaloid derivatives as target compounds. All the synthesized compounds were screened for the in vitro inhibition of human cancer cell growth. Two classes of end-products exhibited definite activities and a structure–activity relationship, with one class of compounds showing the activity more than dozens of times that of fluorouracil (5-FU), which was used as a positive control. This article reports on the design and syntheses of the target compounds, the evaluation of the in vitro inhibition of cancer cell growth, and the SAR analysis.

2. Results and Discussion

2.1. Chemistry

By consulting published literature related to QBC, it was found that, in addition to the replacement of hydrogen atom at position-12 of the QBC core by halogens, there has been no research reports on the structural modification based on position-12. However, as far as organic chemistry is concerned, it is obvious that the electrophilic nitration reaction at position-12 is possibly more likely to occur due to the influence of the methoxy groups in positions-9 and -10. Following nitration, the reduction of the nitro group leads to the formation of a primary amino group, which can be capitalized on to carry out multiple other structural modifications.
Thus, in the current study, the QBC was firstly nitrated under the conditions of NaNO2 plus concentrated HNO3 to produce quaternary 12-nitroberberine chloride (2) (Figures S1 and S2, Supplementary Materials). Compound 2 was reduced under the condition of SnCl2•2H2O to yield quaternary 12-aminoberberine chloride (3) (Figures S3 and S4). Then, compound 3 was reacted with relevant acyl chlorides to successfully synthesize the targeted quaternary berberine-12-N-acylamine chloride derivatives (4am) (Scheme 1). On top of the signature signals of H-1 (s, 1H), 4 (s, 1H), 8 (s, 1H), 11 (s, 1H), 13 (s, 1H), MeO-9 (s, 3H), MeO-10 (s, 3H), CH2-5 (t, 2H), CH2-6 (t, 2H), and CH2-14 (s, 2H) of the QBC core, all the synthesized target compounds showed signals that corresponded to acyls in the 1H NMR spectra. All the positive ESIMS data was also consistent with the structures (see Materials and Methods section and Figures S5–S29).
To synthesize the targeted quaternary berberine-12-N,N-di-n-alkylamine chlorides, compound 2 was reduced using NaBH4 and NiCl2·6H2O as reagents to yield the tertiary 12-aminotetrahydroberberine (5). Compound 5 was reacted with relevant aliphatic aldehydes through a process of addition and reduction reactions to obtain tetrahydroberberine-12-N,N-di-n-alkylamine derivatives (6al). Compounds 6al were oxidized using 2,3-dichloro-5,6-dicyano-1,4-benzoquinone (DDQ) as the reagent and then reacted with 2N hydrochloric acid (Scheme 2) to yield the targeted quaternary berberine-12-N,N-di-n-alkylamine chlorides (7al) (Scheme 2) [23]. All the structures of the synthesized compounds were confirmed by NMR and MS methods (see Materials and Methods section and Figures S5–S79).
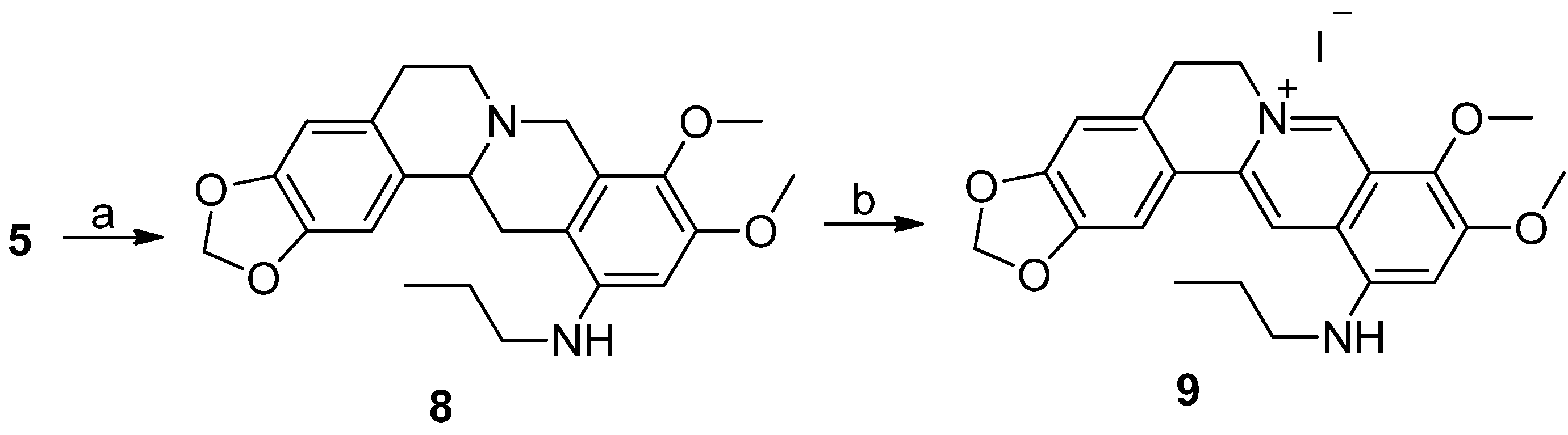
In addition, in order to explore the effect of 12 N-monosubstituted amine counterparts of the synthesized compounds 6al and 7al on the inhibition of human cancer cell growth, tertiary tetrahydroberberine-12-N-n-propylamine derivatives (8) and quaternary berberine-12-N-n-propylamine chloride (9) as representatives were also designed and synthesized by capitalizing on the steric hindrance at position-12 and, in particular, carefully controlling for the amount of aldehyde. The synthesis is indicated in Scheme 3. The tertiary 12-aminotetrahydroberberine (5) was reacted with a carefully controlled amount of propionaldehyde to obtain 8 through the same process of addition and reduction reactions as synthesizing the tetrahydroberberine-12-N,N-di-n-alkylamine derivatives. Then, the target compound, quaternary berberine-12-N-n-propylamine iodide (9), was synthesized by oxidization under the condition of iodine. All the structures of the synthesized compounds were confirmed by NMR and MS methods (see Materials and Methods section and Figures S80 and S81).

2.2. Biological Activities

All the synthesized compounds were evaluated for the growth inhibition activity against several human cancer cell lines using the 3-(4,5-dimethylthiazol-2-yl)-2,5-diphenyltetrazolium bromide (MTT) assay that was modeled after our previous publication [24,25]. The cancer cells in this study included human colorectal cancer cells (HCT-8), human liver cancer cells (Bel7402), human cervical cancer cells (HeLa), human lung cancer cells (A549), and human gastric cancer cells (BGC-823). A clinically applied strong thymidylate synthetase inhibitor, 5-FU, was used as the positive control.
Experimental results showed that the intermediates quaternary 12-nitroberberine chloride (2), quaternary 12-aminoberberine chloride (3), tertiary 12-aminotetrahydroberberine (5), and tertiary tetrahydroberberine-12-N-n-propylamine (8), and the target compounds quaternary berberine-12-N-acylamine chloride derivatives (4am) and quaternary berberine-12-N-n-propylamine iodide (9) showed little or very little growth inhibition activity against the tested human cancer cell lines, each showing IC50 values greater than 10 µM (see Table 1, but data of 4am not shown). Most of the tertiary tetrahydroberberine-12-N,N-di-n-alkylamine derivatives (6al) also showed little or very little growth inhibition activity against the tested human cancer cell lines, but a general SAR is obvious for this series of compounds. In the range of four carbon atoms for the n-alkyl carbon chain from 12-N,N-di-n-alkylaminos of series compounds 6al, the title activity increases with the elongation of the n-alkyl carbon chain, and when there are more than four carbon atoms, the activity decreases with the elongation of the n-alkyl carbon chain. Tetrahydroberberine-12-N,N-di-n-butylamine (6d), as the most active compound in the 6al series, only showed IC50 values inhibiting the growth of HCT-8, Bel7402, HeLa, A549, and BGC-823 by 12.81 μM, 16.38 μM, 9.74 μM, 11.40 μM, and 10.43 μM, respectively.
However, the targeted quaternary berberine-12-N,N-di-n-alkylamine chloride series compounds 7al exhibited, to varying degrees, some or significant growth inhibition activities against the tested human cancer cell lines. By comparison, 7al are much more active than their reduction state counterparts 6al, with the IC50 values of most compounds in the quaternary berberine-12-N,N-di-n-alkylamine chloride series being on or over the micromolar level (Table 1). This result demonstrated the impact of variations in the reduction states of the end-products on the title bioactivity. Still, the carbon chain length of the n-alkyl substituents was found to be an important factor to affect the activity of the end-products for all the tested human cancer cell lines. Quaternary berberine-12-N,N-dimethylamine chloride (7a), which was the nascent compound of the active quaternary berberine-12-N,N-di-n-alkylamine chloride series, showed growth inhibition activities against HCT-8, Bel7402, Hela, A549, and BGC-823 with IC50 values of 53.41 µM, 50.01 µM, 8.95 µM, 13.37 µM, and 28.82 µM, respectively. Then, an obvious trend was shown that in the range of about six to eight carbon atoms; the activity increases with the elongation of the n-alkyl carbon chain of 12-N,N-di-n-alkylaminos, and when there are more than six to eight carbon atoms, the activity decreases with the elongation of the n-alkyl carbon chain. This trend is basically the same as that observed in the tetrahydroberberine-12-N,N-di-n-alkylamine derivatives series (6al), although the activity of the latter series is very weak (Figure 2, Figure 3, Figure 4, Figure 5 and Figure 6). Under this demonstrated SAR, quaternary berberine-12-N,N-di-n-hexylamine chloride (7f) exhibited the most significant growth inhibition activity by IC50 value of 0.29 μM for A549, which translated to 22.4 times that of 5-FU and 71.4 times that of QBC (examined as the positive control and substrate comparison, respectively), in the same batch of experiments. The IC50 values of quaternary berberine-12-N,N-di-n-heptylamine chloride (7g) inhibiting the growth of HCT-8, Bel7402, and Hela were 0.49 μM, 0.51 μM, and 0.26 μM, respectively, which are the most active compounds for the corresponding cancer cells and are 16.3 times, 11.0 times, and 30.2 times the counterparts of 5-FU and 71.8 times, 51.5 times, and 27 times the counterparts of QBC, respectively. The IC50 value of quaternary berberine-12-N,N-di-n-octylamine chloride (7h) as the most active compound against BGC-823, is 0.11 μM, 65.0 times that of 5-FU and 174.5 times that of QBC, respectively.

3. Materials and Methods

3.1. Chemistry

3.1.1. Reagents and Materials

Nuclear magnetic resonance (NMR) spectra (Figures S1–S81) were recorded on a Varian Mercury-400 NMR spectrometer and reported with tetramethylsilane (TMS) as an internal standard and chloroform-d (CDCl3) (D, 99.8% + 0.05% v/v TMS) or dimethyl sulfoxide-d6 (DMSO-d6) (D, 99.9% + 0.05% v/v TMS) (Cambridge Isotope Laboratories, Inc., Andover, MA, USA) as solvents. Chemical shifts (δ values) and coupling constants (J values) are given in ppm and Hz, respectively. ESIMS+ were obtained using an Agilent 1100 series Liquid Chromatograph/Mass Selective Detector (LC/MSD) Trap SL mass spectrometer. QBC was purchased from the market and the purity was determined to be over 98% by high-pressure liquid chromatography (HPLC) and the structure was confirmed on the basis of chemical and spectroscopic data (data not shown). All the reagents and solvents were reagent grade or were purified by standard methods before use. Anhydrous solvents and reagents were all analytically pure and dried through routine protocols. The reaction progress was monitored by thin-layer chromatography (TLC) on a high-efficiency TLC plate with precoated silica gel (GF254) produced by Qingdao Haiyang Chemical (Qingdao, China). The spots were visualized by I2 steam or under UV light (254 nm). Column chromatography (CC) was carried out with silica gel (200–300 mesh size; Qingdao Haiyang Chemical, Qingdao, China). The concentration of solution after reactions involved the use of a rotary evaporator operated at a reduced pressure of ca. 9.0 mbar.

3.1.2. Synthesis

Quaternary 12-nitroberberine chloride (2). NaNO2 (18.6 g, 269.57 mmol) was added into a reaction bottle containing a solution of QBC (20 g, 53.84 mmol) in acetic acid (250 mL) under the condition of stirring at 0 °C batchwise. Then, concentrated HNO3 (30 mL) was added dropwise. The reaction mixture was stirred for 5 min at 0 °C, then heated at 50 °C under stirring for 1h until the raw material was completely reacted. Water (200 mL) was immediately added into the reaction mixture to quench the reaction, and the solution was extracted three times (200 mL/time) using a mixed solution of CHCl3/MeOH (v/v = 10:1) in a separatory funnel. The organic layer was incorporated and concentrated under reduced pressure to remove the solvent. The residue was purified using silica gel CC eluted using a mixed solution of CHCl3/CH3OH (v/v = 20:1) to yield 2 (9.65 g, 43% yield) as a red solid. 1H-NMR (400 MHz, DMSO-d6): δ 3.23 (t, J = 6 Hz, 2H, ArCH2CH2N), 4.16 (s, 3H, OCH3), 4.28 (s, 3H, OCH3), 4.96 (t, J = 6 Hz, 2H, ArCH2CH2N), 6.20 (s, 2H, OCH2O), 7.13 (s, 1H, Ar–H), 7.83 (s, 1H, Ar–H), 8.89 (s, 1H, Ar–H), 9.05 (s, 1H, Ar–H), 10.12 (s, 1H, Ar–H); 13C-NMR: (100 MHz, DMSO-d6) δ 26.02, 55.18, 57.67, 62.56, 102.22, 105.70, 108.41, 115.38, 119.90, 120.66, 124.43, 125.18, 131.71, 138.90, 139.94, 147.19, 147.86, 147.90, 149.65, 150.51; ESI–MS (m/z): 381.2 [M − Cl]+.
Quaternary 12-aminoberberine chloride (3). SnCl2·2H2O (1173 mg, 5.2 mmol) and concentrated HCl (1.3 mL) were added, in turn, into a solution containing compound 2 (540 mg, 1.3 mol) and absolute ethanol (20 mL) in a reaction bottle under stirring. The reaction mixture was refluxed for 0.5 h under stirring until the raw material was completely reacted according to thin-layer chromatography (TLC) test. The solution was concentrated under reduced pressure to remove the solvent. Aqueous 5% NaOH solution was added into the residue dropwise to make the solution alkaline (pH = 10). The solution was extracted using n-butanol three times (20 mL/time) in a separatory funnel. The organic layer was integrated and concentrated under reduced pressure to yield a residue, which was purified using silica gel CC eluted using a mixed solvent of CHCl3/CH3OH (v/v = 15:1) to yield 3 (200 mg, 40% yield) as a red solid. 1H-NMR (400 MHz, DMSO-d6): δ 3.18 (t, J = 6 Hz, 2H, ArCH2CH2N), 3.89 (s, 3H, OCH3), 3.96 (s, 3H, OCH3), 4.87 (t, J = 6 Hz, 2H, ArCH2CH2N), 6.16 (s, 2H, OCH2O), 6.62 (s, 2H, Ar–NH2), 7.06 (s, 1H, Ar–H), 7.14 (s, 1H, Ar–H), 7.88 (s, 1H, Ar–H), 8.85 (s, 1H, Ar–H), 9.61 (s, 1H, Ar–H); 13C-NMR: (100 MHz, DMSO-d6) δ 26.28, 54.82, 56.17, 61.74, 101.88, 104.10, 105.12, 108.31, 116.10, 120.09, 120.89, 121.44, 129.82, 133.21, 134.72, 143.19, 144.50, 147.49, 149.18, 152.32; ESI–MS (m/z): 351.5 [M − Cl]+.
Quaternary berberine-12-N-p-trifluoromethylphenylcarbonylamine chloride (4a). Pyridine (63 μL, 0.78 mmol) was added into a solution containing compound 3 (150 mg, 0.39 mmol) in anhydrous CH2Cl2 (6 mL) in a reaction bottle under stirring. The reaction mixture was stirred at 0°C for 10 min. Then, p-trifluoromethylbenzoyl chloride (63 μL, 0.429 mmol) was added into the reaction mixture, and the reaction solution was stirred at room temperature for 8 h until the raw material was completely reacted according to TLC analysis. After adding a small amount of water (10 mL), the solution was extracted three times (20 mL/time) using n-butanol in a separatory funnel. The organic layer was integrated, dried using anhydrous MgSO4, and filtered. The filtrate was concentrated under reduced pressure to remove the solvent. The residue was purified using silica gel CC eluted using a mixed solvent of CHCl3/CH3OH (v/v = 20:1) to yield 4a (60 mg, 28% yield) as a yellow amorphous solid. 1H-NMR (400 MHz, DMSO-d6): δ 3.21 (t, J = 6 Hz, 2H, ArCH2CH2N), 4.07 (s, 3H, OCH3), 4.11 (s, 3H, OCH3), 4.95 (t, J = 6 Hz, 2H, ArCH2CH2N), 6.15 (s, 2H, OCH2O), 7.10 (s, 1H, Ar–H), 7.96 (s, 1H, Ar–H), 8.01 (d, J = 8 Hz, 2H, Ar–H), 8.39 (d, J = 8 Hz, 2H, Ar–H), 8.41 (s, 1H, Ar–H), 8.78 (s, 1H, Ar–H), 9.95 (s, 1H, Ar–H), 11.17 (s, 1H, ArNHCO); ESI–MS (m/z): 523.2 [M − Cl]+.
Quaternary berberine-12-N-methylcarbonylamine chloride (4b). Target compound 4b was obtained (51 mg, 51% yield) as a yellow amorphous solid from compound 3 (90 mg, 0.233 mmol), pyridine (75 μL, 0.932 mmol), and acetyl chloride (36 μL, 0.513 mmol) using a procedure similar to that for synthesizing compound 4a. 1H-NMR (400 MHz, DMSO-d6): δ 2.31 (s, 3H, NHCOCH3), 3.21 (t, J = 6 Hz, 2H, ArCH2CH2N), 4.03 (s, 3H, OCH3), 4.06 (s, 3H, OCH3), 4.93 (t, J = 6 Hz, 2H, ArCH2CH2N), 6.18 (s, 2H, OCH2O), 7.10 (s, 1H, Ar–H), 8.01 (s, 1H, Ar–H), 8.47 (s, 1H, Ar–H), 8.88 (s, 1H, Ar–H), 9.87 (s, 1H, Ar–H), 10.54 (s, 1H, ArNHCO); 13C-NMR: (100 MHz, DMSO-d6) δ 23.99, 26.31, 55.14, 56.93, 62.03, 102.14, 105.90, 108.49, 116.00, 119.30, 120.62, 121.22, 126.03, 130.78, 130.82, 136.98, 140.42, 145.62, 147.68, 149.86, 150.09, 169.59; ESI–MS (m/z): 393.3 [M − Cl]+.
Quaternary berberine-12-N-isopropylcarbonylamine chloride (4c). Target compound 4c was obtained (31 mg, 59.6% yield) as a yellow amorphous solid from compound 3 (44 mg, 0.114 mmol), pyridine (37 μL, 0.456 mmol), and isobutyryl chloride (26 μL, 0.251 mmol) using a procedure similar to that for synthesizing 4a. 1H-NMR (400 MHz, DMSO-d6): δ 1.22 (d, J = 6.8 Hz, 6H, NHCOCHC2H6), 3.08 (septet, 1H, J = 6.8 Hz, NHCOCHC2H6), 3.20 (t, J = 6 Hz, 2H, ArCH2CH2N), 4.04 (s, 3H, OCH3), 4.06 (s, 3H, OCH3), 4.93 (t, J = 6 Hz, 2H, ArCH2CH2N), 6.18 (s, 2H, OCH2O), 7.10 (s, 1H, Ar–H), 8.02 (s, 1H, Ar–H), 8.51 (s, 1H, Ar–H), 8.91 (s, 1H, Ar–H), 9.88 (s, 1H, Ar–H), 10.58 (s, 1H, ArNHCO); 13C-NMR: (100 MHz, DMSO-d6) δ 19.62 (2 × C), 26.31, 34.53, 55.11, 56.92, 62.03, 102.12, 105.85, 108.46, 116.05, 119.10, 120.67, 121.22, 125.92, 130.80, 130.87, 136.88, 140.29, 145.56, 147.68, 149.85, 150.07, 176.48; ESI–MS (m/z): 421.3 [M − Cl]+.
Quaternary berberine-12-N-p-bromophenylcarbonylamine chloride (4d). Target compound 4d was obtained (84 mg, 56.9% yield) as a yellow amorphous solid from compound 3 (100 mg, 0.259 mmol), pyridine (83 μL, 1.036 mmol), and p-bromobenzoyl chloride (125μL, 0.57 mmol) using a procedure similar to that for 4a. 1H-NMR (400 MHz, DMSO-d6): δ 3.21 (t, J = 6 Hz, 2H, ArCH2CH2N), 4.06 (s, 3H, OCH3), 4.11 (s, 3H, OCH3), 4.95 (t, J = 6 Hz, 2H, ArCH2CH2N), 6.15 (s, 2H, OCH2O), 7.10 (s, 1H, Ar–H), 7.83 (d, J = 8 Hz, 2H, Ar–H), 7.93 (s, 1H, Ar–H), 8.13 (d, J = 8 Hz, 2H, Ar–H), 8.39 (s, 1H, Ar–H), 8.75 (s, 1H, Ar–H), 9.93 (s, 1H, Ar–H), 10.94 (s, 1H, ArNHCO); 13C-NMR: (100 MHz, DMSO-d6) δ 26.32, 55.20, 57.11, 62.08, 102.06, 106.09, 108.41, 116.89, 120.60, 121.26, 122.39, 125.85, 127.66, 130.44 (2 × C), 130.64, 130.83, 131.44 (2 × C), 133.22, 136.93, 141.64, 145.82, 147.60, 149.81, 149.99,165.84; ESI–MS (m/z): 535.0 [M − Cl]+.
Quaternary berberine-12-N-phenylcarbonylamine chloride (4e). Target compound 4e was obtained (74 mg, 58.3% yield) as a yellow amorphous solid from compound 3 (100 mg, 0.259 mmol), pyridine (83 μL, 1.036 mmol), and benzoyl chloride (66 μL, 0.57 mmol) using a procedure similar to that for 4a. 1H-NMR (400 MHz, DMSO-d6): δ 3.22 (t, J = 6 Hz, 2H, ArCH2CH2N), 4.07 (s, 3H, OCH3), 4.11 (s, 3H, OCH3), 4.95 (t, J = 6 Hz, 2H, ArCH2CH2N), 6.15 (s, 2H, OCH2O), 7.10 (s, 1H, Ar–H), 7.62 (t, J = 7.6 Hz, 2H, Ar–H), 7.66 (t, J = 7.2 Hz, 1H, Ar–H) 7.91 (s, 1H, Ar–H), 8.17 (m, 2H, Ar–H), 8.43 (s, 1H, Ar–H), 8.74 (s, 1H, Ar–H), 9.93 (s, 1H, Ar–H), 10.80 (s, 1H, ArNHCO); 13C-NMR: (100 MHz, DMSO-d6) δ 26.33, 55.19, 57.09, 62.09, 102.06, 106.02, 108.42, 116.89, 120.63, 121.27, 122.09, 127.53, 128.32 (2 × C), 128.46(2 × C), 130.83, 130.89, 132.07, 134.11, 136.87, 141.47, 145.78, 147.61, 149.80, 150.02, 166.75; ESI-MS (m/z): 455.2 [M − Cl]+.
Quaternary berberine-12-N-p-fluorophenylcarbonylamine chloride (4f). Target compound 4f was obtained (46 mg, 35% yield) as a yellow amorphous solid from compound 3 (100 mg, 0.259 mmol), pyridine (83 μL, 1.036 mmol), and p-fluorobenzoyl chloride (68 μL, 0.57 mmol) using a procedure similar to that for 4a. 1H-NMR (400 MHz, DMSO-d6): δ 3.21 (t, J = 6 Hz, 2H, ArCH2CH2N), 4.06 (s, 3H, OCH3), 4.11 (s, 3H, OCH3), 4.95 (t, J = 6 Hz, 2H, ArCH2CH2N), 6.15 (s, 2H, OCH2O), 7.09 (s, 1H, Ar–H), 7.46 (t, J = 8.8 Hz, 2H, Ar–H), 7.93 (s, 1H, Ar–H), 8.26 (m, 2H, Ar–H), 8.40 (s, 1H, Ar–H), 8.76 (s, 1H, Ar–H), 9.93 (s, 1H, Ar–H), 10.88 (s, 1H, ArNHCO); 13C-NMR: (150 MHz, DMSO-d6) δ 26.33, 55.17, 57.09, 62.07, 102.02, 106.12, 108.36, 115.32 (d, J=21 Hz, 2C), 117.08, 120.63, 121.24, 122.39, 127.64, 130.48, 130.50, 130.78, 131.17 (d, J=9 Hz, 2C), 136.80, 141.52, 145.70, 147.58, 149.76, 149.96, 164.37 (d, J = 249 Hz, 1C), 165.62; ESI–MS (m/z): 473.2 [M − Cl]+.
Quaternary berberine-12-N-p-methylphenylcarbonylamine chloride (4g). Target compound 4g was obtained (54 mg, 41.3% yield) as a yellow amorphous solid from compound 3 (100 mg, 0.259 mmol), pyridine (83 μL, 1.036 mmol), and p-methylbenzoyl chloride (76 μL, 0.57 mmol) using a procedure similar to that for 4a. 1H-NMR (400 MHz, DMSO-d6): δ 2.44 (s, 3H, NHCOArCH3), 3.21 (t, J = 6 Hz, 2H, ArCH2CH2N), 4.06 (s, 3H, OCH3), 4.11 (s, 3H, OCH3), 4.95 (t, J = 6 Hz, 2H, ArCH2CH2N), 6.15 (s, 2H, OCH2O), 7.10 (s, 1H, Ar–H), 7.42 (d, J = 8 Hz, 2H, Ar–H), 7.88 (s, 1H, Ar–H), 8.06 (d, J = 8 Hz, 2H, Ar–H), 8.41 (s, 1H, Ar–H), 8.71 (s, 1H, Ar–H), 9.92 (s, 1H, Ar–H), 10.70 (s, 1H, ArNHCO); 13C-NMR: (150 MHz, DMSO-d6) δ 21.08, 26.30, 55.14, 57.05, 62.04, 102.01, 105.93, 108.37, 116.91, 120.59, 121.22, 122.05, 127.48, 128.32 (2 × C), 128.90 (2 × C) 130.77, 130.94, 131.20, 136.74, 141.34, 142.09, 145.68, 147.57, 149.75, 149.98, 166.53; ESI–MS (m/z): 469.1 [M − Cl]+.
Quaternary berberine-12-N-m-methylphenylcarbonylamine chloride (4h). Target compound 4h was obtained (90 mg, 68.8% yield) as a yellow amorphous solid from compound 3 (100 mg, 0.259 mmol), pyridine (83 μL, 1.036 mmol), and m-methylbenzoyl chloride (75 μL, 0.57 mmol) using a procedure similar to that for 4a. 1H-NMR (400 MHz, DMSO-d6): δ 2.45 (s, 3H, NHCOArCH3), 3.21 (t, J = 6 Hz, 2H, ArCH2CH2N), 4.06 (s, 3H, OCH3), 4.11 (s, 3H, OCH3), 4.95 (t, J = 6 Hz, 2H, ArCH2CH2N), 6.15 (s, 2H, OCH2O), 7.09 (s, 1H, Ar–H), 7.49 (m, 2H, Ar–H), 7.91 (s, 1H, Ar–H), 7.98 (m, 2H, Ar–H), 8.39 (s, 1H, Ar–H), 8.74 (s, 1H, Ar–H), 9.93 (s, 1H, Ar–H), 10.82 (s, 1H, ArNHCO); 13C-NMR: (100 MHz, DMSO-d6) δ 21.02, 26.33, 55.18, 57.08, 62.08, 102.05, 106.00, 108.41, 116.96, 120.63, 121.27, 122.15, 125.47, 127.57, 128.35, 128.80, 130.82, 130.95, 132.61, 134.09, 136.83, 137.74, 141.47, 145.78, 147.61, 149.80, 150.02, 166.86; ESI–MS (m/z): 469.2 [M − Cl]+.
Quaternary berberine-12-N-ethylcarbonylamine chloride (4i). Target compound 4i was obtained (46 mg, 40.1% yield) as a yellow amorphous solid from compound 3 (100 mg, 0.259 mmol), pyridine (83 μL, 1.036 mmol), and propionyl chloride (50 μL, 0.57 mmol) using a procedure similar to that for 4a. 1H-NMR (400 MHz, DMSO-d6): δ 1.18 (t, J = 7.6 Hz, 3H, NHCOCH2CH3), 2.67 (q, J = 7.6 Hz, 2H, NHCOCH2CH3), 3.21 (t, J = 6 Hz, 2H, ArCH2CH2N), 4.03 (s, 3H, OCH3), 4.06 (s, 3H, OCH3), 4.93 (t, J = 6 Hz, 2H, ArCH2CH2N), 6.18 (s, 2H, OCH2O), 7.09 (s, 1H, Ar-H), 8.02 (s, 1H, Ar-H), 8.51 (s, 1H, Ar–H), 8.91 (s, 1H, Ar–H), 9.87 (s, 1H, Ar–H), 10.53 (s, 1H, ArNHCO); 13C-NMR: (150 MHz, DMSO-d6) δ 9.48, 26.30, 29.22, 55.10, 56.88, 62.00, 102.06, 106.09, 108.37, 116.24, 118.93, 120.67, 121.18, 125.85, 130.69, 130.95, 136.85, 140.13, 145.44, 147.63, 149.77, 150.04, 173.27; ESI–MS (m/z): 407.2 [M − Cl]+.
Quaternary berberine-12-N-n-butylcarbonylamine chloride (4j). Target compound 4j was obtained (60 mg, 49.2% yield) as a yellow amorphous solid from compound 3 (100 mg, 0.259 mmol), pyridine (83 μL, 1.036 mmol), and n-pentanoyl chloride (68 μL, 0.57 mmol) using a procedure similar to that for 4a. 1H-NMR (400 MHz, DMSO-d6): δ 0.95 (t, J = 7.6 Hz, 3H, NHCOCH2CH2CH2CH3), 1.42 (m, 2H, NHCOCH2CH2CH2CH3), 1.68 (m, 2H, NHCOCH2CH2CH2CH3), 2.65 (t, J = 7.6 Hz, 2H, NHCOCH2CH2CH2CH3), 3.21 (t, J = 6 Hz, 2H, ArCH2CH2N), 4.03 (s, 3H, OCH3), 4.06 (s, 3H, OCH3), 4.93 (t, J = 6 Hz, 2H, ArCH2CH2N), 6.18 (s, 2H, OCH2O), 7.10 (s, 1H, Ar–H), 8.02 (s, 1H, Ar–H), 8.50 (s, 1H, Ar–H), 8.90 (s, 1H, Ar–H), 9.87 (s, 1H, Ar–H), 10.60 (s, 1H, ArNHCO); 13C-NMR: (100 MHz, DMSO-d6) δ 13.86, 21.89, 26.30, 27.09, 35.73, 55.11, 56.91, 62.02, 102.12, 105.89, 108.45, 116.09, 119.11, 120.65, 121.21, 125.93, 130.77, 130.85, 136.90, 140.29, 145.55, 147.67, 149.83, 150.08, 172.53; ESI–MS (m/z): 435.3 [M − Cl]+.
Quaternary berberine-12-N-p-methoxyphenylcarbonylamine chloride (4k). Target compound 4k was obtained (60 mg, 44.4% yield) as a yellow amorphous solid from compound 3 (100 mg, 0.259 mmol), pyridine (83 μL, 1.036 mmol), and p-methoxybenzoyl chloride (97 mg, 0.57 mmol) using a procedure similar to that for 4a. 1H-NMR (400 MHz, DMSO-d6): δ 3.21 (t, J = 6 Hz, 2H, ArCH2CH2N), 3.88 (s, 3H, NHCOArOCH3), 4.06 (s, 3H, OCH3), 4.10 (s, 3H, OCH3), 4.95 (t, J = 6 Hz, 2H, ArCH2CH2N), 6.15 (s, 2H, OCH2O), 7.09 (s, 1H, Ar–H), 7.14 (d, J = 8.8 Hz, 2H, Ar–H), 7.92 (s, 1H, Ar–H), 8.19 (d, J = 8.8 Hz, 2H, Ar–H), 8.40 (s, 1H, Ar–H), 8.75 (s, 1H, Ar–H), 9.92 (s, 1H, Ar–H), 10.77 (s, 1H, ArNHCO); 13C-NMR: (100 MHz, DMSO-d6) δ 26.35, 55.17, 55.54, 57.06, 62.07, 102.05, 106.00, 108.42, 113.67 (2 × C), 117.00, 120.66, 121.26, 121.96, 126.12, 127.49, 130.34 (2 × C), 130.81, 131.13, 136.73, 141.27, 145.71, 147.62, 149.78, 150.04, 162.33, 166.08; ESI–MS (m/z): 485.2 [M − Cl]+.
Quaternary berberine-12-N-p-nitrophenylcarbonylamine chloride (4l). Target compound 4l was obtained (36 mg, 26% yield) as a yellow amorphous solid from compound 3 (100 mg, 0.259 mmol), pyridine (83 μL, 1.036 mmol), and p-nitrobenzoyl chloride (106 mg, 0.57 mmol) using a procedure similar to that for 4a. 1H-NMR (400 MHz, DMSO-d6): δ 3.22 (t, J = 6 Hz, 2H, ArCH2CH2N), 4.07 (s, 3H, OCH3), 4.12 (s, 3H, OCH3), 4.95 (t, J = 6 Hz, 2H, ArCH2CH2N), 6.15 (s, 2H, OCH2O), 7.09 (s, 1H, Ar–H), 7.93 (s, 1H, Ar–H), 8.39-8.47 (m, 5H, Ar–H), 8.77 (s, 1H, Ar–H), 9.94 (s, 1H, Ar–H), 11.17 (s, 1H, ArNHCO); 13C-NMR: (100 MHz, DMSO-d6) δ 26.32, 55.23, 57.16, 62.11, 102.07, 106.11, 108.42, 116.82, 120.56, 121.27, 122.69, 123.55 (2 × C), 127.77, 129.85 (2 × C), 130.28, 130.86, 137.07, 139.87, 141.93, 145.92, 147.60, 149.42, 149.84, 149.98, 165.22; ESI–MS (m/z): 500.2 [M − Cl]+.
Quaternary berberine-12-N-t-butylcarbonylamine chloride (4m). Target compound 4m was obtained (30 mg, 24.6% yield) as a yellow amorphous solid from compound 3 (100 mg, 0.259 mmol), pyridine (83 μL, 1.036 mmol), and pivaloyl chloride (70 μL, 0.57 mmol) using a procedure similar to that for 4a. 1H-NMR (400 MHz, DMSO-d6): δ 1.39 (s, 9H, NHCOC(CH3)3), 3.21 (t, J = 6 Hz, 2H, ArCH2CH2N), 4.05 (s, 3H, OCH3), 4.09 (s, 3H, OCH3), 4.94 (t, J = 6 Hz, 2H, ArCH2CH2N), 6.18 (s, 2H, OCH2O), 7.11 (s, 1H, Ar–H), 7.68 (s, 1H, Ar–H), 8.11 (s, 1H, Ar–H), 8.38 (s, 1H, Ar–H), 9.91 (s, 1H, Ar–H), 10.02 (s, 1H, ArNHCO); 13C-NMR: (100 MHz, DMSO-d6) δ 26.33, 27.30 (3 × C), 55.08, 57.13, 62.06, 102.14, 105.12, 108.53, 116.54, 120.54, 121.22, 123.06, 127.87, 130.77, 130.96, 136.58, 141.50, 145.85, 147.77, 149.91, 150.03, 177.67; ESI–MS (m/z): 435.3 [M − Cl]+.
12-Aminotetrahydroberberine (5). NiCl2·6H2O (855.7 mg, 3.6 mmol) was added into a solution containing compound 2 (300 mg, 0.72 mmol) in a mixed solution of THF/MeOH (12 mL, v/v = 1:1). Then, NaBH4 (272 mg, 7.2 mmol) was added batchwise. The reaction was performed at 66 °C for 20 min under stirring until the raw material was completely reacted. The reaction mixture was filtered. The filtrate was evaporated under reduced pressure. The residue was dissolved in CH2Cl2 solvent. The solution was washed in a separatory funnel, first, three times using water, then one time using saturated aqueous NaCl solution. The organic layer was dried using anhydrous MgSO4, and then filtered. The filtrate was concentrated under reduced pressure to yield compound 5 (213 mg, 83.5% yield) as a hazel amorphous solid. 1H-NMR (400 MHz, DMSO-d6): δ 2.07–3.34 (m, 8H), 3.59 (s, 3H, OCH3), 3.69 (s, 3H, OCH3), 3.96 (d, J = 15.2 Hz, 1H), 4.68 (s, 2H, ArNH2), 5.94, 5.96 (2 × br s, 2H, OCH2O), 6.24 (s, 1H, Ar-H), 6.66 (s, 1H, Ar-H), 6.96 (s, 1H, Ar-H); 13C-NMR: (100 MHz, DMSO-d6) δ 28.96, 31.63, 50.95, 53.67, 55.29, 59.09, 59.72, 97.39, 100.52, 105.90, 108.00, 110.63, 127.40, 128.07, 131.40, 135.26, 142.24, 145.36, 145.64, 150.08; ESI–MS (m/z): 355.3 [M + H]+.
Tetrahydroberberine-12-N,N-dimethylamine (6a). To a stirred solution of compound 5 (200 mg, 0.564 mmol) in CH2Cl2 (8 mL), we added aqueous 37% formaldehyde (186 μL, 2.48 mmol), sodium triacetoxyborohydride (597 mg, 2.82 mmol) and HOAc (16 drops). The reaction mixture was stirred for 2h at room temperature until the raw material was completely reacted. A small amount of saturated aqueous NaHCO3 solution was added into the reaction mixture dropwise to make the solution alkaline (pH = 8). The solution was stirred for 2h at room temperature, and then extracted using CH2Cl2 three times in a separatory funnel. The organic layer was washed, first, three times using water, then, one time using saturated aqueous NaCl solution. Then, the organic layer was dried with anhydrous MgSO4 and filtered. The filtrate was concentrated under reduced pressure. The residue was purified using silica gel CC eluted using a mixed solvent of CHCl3/CH3OH (v/v = 80:1) to yield 6a (205 mg, 95% yield) as a hazel solid. 1H-NMR (400 MHz, DMSO-d6): δ 2.32–3.41 (m, 8H), 2.59 (s, 6H, N(CH3)2), 3.68 (s, 3H, OCH3), 3.79 (s, 3H, OCH3), 4.04 (d, J = 16 Hz, 1H), 5.94, 5.96 (2 × br s, 2H, OCH2O), 6.65 (s, 1H, Ar–H), 6.68 (s, 1H, Ar–H), 6.86 (s, 1H, Ar–H); 13C-NMR (100 MHz, DMSO-d6): δ 29.08, 33.45, 44.08 (2 × C), 50.54, 53.80, 55.67, 58.96, 59.51, 100.57, 102.32, 105.77, 108.11, 121.61, 127.63, 128.89, 131.05, 140.06, 145.46, 145.70, 148.09, 149.84; ESI–MS (m/z): 383.4 [M + H]+.
Tetrahydroberberine-12-N,N-diethylamine (6b). Target compound 6b was obtained (277 mg, 96% yield) as a hazel solid from compound 5 (250 mg, 0.705 mmol), aqueous 40% acetaldehyde (313 μL, 3.1 mmol), sodium triacetoxyborohydride (747 mg, 3.525 mmol), and HOAc (16 drops) using a procedure similar to that for 6a. 1H-NMR (400 MHz, CDCl3): δ 0.98 (t, J = 7.2 Hz, 6H, N(CH2CH3)2), 2.47-2.68 (m, 3H), 2.94 (t, J = 7.2 Hz, 4H, N(CH2CH3)2), 3.11-3.21 (m, 2H), 3.41–3.56 (m, 3H), 3.82 (s, 3H, OCH3), 3.84 (s, 3H, OCH3), 4.23 (d, J = 16 Hz,1H), 5.93 (s, 2H, OCH2O), 6.60 (s, 1H, Ar–H), 6.61 (s, 1H, Ar–H), 6.82 (s, 1H, Ar–H); 13C-NMR: (100 MHz, CDCl3) δ 12.76 (2 × C), 29.71, 33.76, 47.89 (2 × C), 51.60, 54.53, 56.09, 59.91, 60.33, 100.89, 105.68, 105.97, 108.50, 125.29, 127.93, 129.02, 131.41, 141.47, 145.51, 145.99, 146.23, 150.29; ESI–MS (m/z): 411.3 [M + H]+.
Tetrahydroberberine-12-N,N-di-n-propylamine (6c). Target compound 6c was obtained (200 mg, 54% yield) as a hazel solid from compound 5 (300 mg, 0.846 mmol), propionaldehyde (147.4 μL, 2.03 mmol), sodium triacetoxyborohydride (537.8 mg, 2.538 mmol), and HOAc (12 drops) using a procedure similar to that for 6a. 1H-NMR (400 MHz, CDCl3): δ 0.83 (t, J = 7.2 Hz, 6H, N(CH2CH2CH3)2), 1.43 (m, 4H), 2.51 (m, 1H), 2.61 (m, 1H), 2.67 (ov, 1H), 2.82 (m, 4H), 3.13 (ov, 1H), 3.19 (ov, 1H), 3.40 (d, J = 10.0 Hz, 1H), 3.49 (m, 1H), 3.53 (d, J = 16.0 Hz), 3.82 (s, 3H, 10-OCH3), 3.83 (s, 3H, 9-OCH3), 4.23 (d, J = 16.0 Hz, 1H), 5.92, 5.93 (2 × br s, 2H, OCH2O), 6.60 (s, 1H, Ar–H), 6.62 (s, 1H, Ar–H), 6.78 (s, 1H, Ar–H); 13C-NMR: (100 MHz, CDCl3) δ 11.92 (2 × C), 20.53 (2 × C), 29.73, 33.79, 51.64, 54.57, 56.11 (3 × C), 59.93, 60.32, 100.88, 105.71, 105.86, 108.51, 124.97, 127.96, 128.98, 131.39, 141.38, 145.98, 146.26 (2 × C), 150.28; ESI–MS (m/z): 439.3 [M + H]+.
Tetrahydroberberine-12-N,N-di-n-butylamine (6d). Target compound 6d was obtained (287 mg, 87.2% yield) as a hazel solid from compound 5 (250 mg, 0.705 mmol), n-butyraldehyde (152 μL, 1.69 mmol), sodium triacetoxyborohydride (448 mg, 2.115 mmol), and HOAc (10 drops) using a procedure similar to that for 6a. 1H-NMR (400 MHz, DMSO-d6): δ 0.83 (t, J = 7.2 Hz, 6H, N(CH2CH2CH2CH3)2), 1.21–1.40 (m, 8H), 2.24–3.39 (m, 8H), 2.83 (t, J = 6.8 Hz, 4H, N(CH2CH2CH2CH3)2), 3.70 (s, 3H, OCH3), 3.76 (s, 3H, OCH3), 4.04 (d, J = 16 Hz, 1H), 5.96 (s, 2H, OCH2O), 6.68 (s, 1H, Ar-H), 6.73 (br s, 2H, Ar–H); 13C-NMR: (100 MHz, DMSO-d6) δ 13.92 (2 × C), 19.93 (2 × C), 28.98, 29.12 (2 × C), 33.34, 50.63, 53.36 (2 × C), 53.71, 55.73, 58.97, 59.51, 100.62, 105.17, 105.55, 108.20, 124.41, 127.63, 128.58, 131.10, 140.65, 145.47, 145.55, 145.73, 149.85; ESI–MS (m/z): 467.3 [M + H]+.
Tetrahydroberberine-12-N,N-di-n-pentylamine (6e). Target compound 6e was obtained (320 mg, 91.8% yield) as a hazel oil from compound 5 (250 mg, 0.705 mmol), n-valeraldehyde (180 μL, 1.69 mmol), sodium triacetoxyborohydride (448 mg, 2.115 mmol), and HOAc (10 drops) using a procedure similar to that for 6a. 1H-NMR (400 MHz, CDCl3): δ 0.85 (t, J = 6.8 Hz, 6H, N(CH2CH2CH2CH2CH3)2), 1.24 (m, 8H), 1.40 (m, 4H), 2.46–2.68 (m, 3H), 2.85 (t, J = 7.2 Hz, 4H, N(CH2CH2CH2CH2CH3)2), 3.11–3.20 (m, 2H), 3.39-3.55 (m, 3H), 3.83 (br s, 6H, OCH3), 4.23 (d, J = 15.6 Hz,1H), 5.92 (s, 2H, OCH2O), 6.60 (s, 1H, Ar–H), 6.62 (s, 1H, Ar–H), 6.79 (s, 1H, Ar-H); 13C-NMR: (100 MHz, CDCl3) δ 14.30 (2 × C), 22.74 (2 × C), 27.06 (2 × C), 29.72, 29.79 (2 × C), 33.79, 51.67, 54.19 (2 × C), 54.55, 56.09, 59.91, 60.33, 100.89, 105.65, 105.88, 108.50, 124.94, 127.93, 128.95, 131.41, 141.33, 145.98, 146.29 (2 × C), 150.26; ESI–MS (m/z): 495.4 [M + H]+.
Tetrahydroberberine-12-N,N-di-n-hexylamine (6f). Target compound 6f was obtained (230 mg, 78% yield) as a hazel oil from compound 5 (200 mg, 0.564 mmol), n-hexanal (164 μL, 1.354 mmol), sodium triacetoxyborohydride (358 mg, 1.692 mmol), and HOAc (10 drops) using a procedure similar to that for 6a. 1H-NMR (400 MHz, CDCl3): δ 0.85 (t, J = 6.8 Hz, 6H, N(CH2CH2CH2CH2CH2CH3)2), 1.23 (m, 12H), 1.40 (m, 4H), 2.46-2.68 (m, 3H), 2.85 (t, J = 7.2 Hz, 4H, N(CH2CH2CH2CH2CH2CH3)2)), 3.12–3.20 (m, 2H), 3.39–3.56 (m, 3H), 3.82 (s, 3H, OCH3), 3.83 (s, 3H, OCH3), 4.23 (d, J = 15.6 Hz,1H), 5.92 (s, 2H, OCH2O), 6.60 (s, 1H, Ar-H), 6.62 (s, 1H, Ar-H), 6.79 (s, 1H, Ar-H); 13C-NMR: (100 MHz, CDCl3) δ 14.17 (2 × C), 22.84 (2 × C), 27.22 (2 × C), 27.33 (2 × C), 29.69, 31.88 (2 × C), 33.77, 51.63, 54.21 (2 × C), 54.52, 56.08, 59.89, 60.32, 100.88, 105.64, 105.87, 108.48, 124.88, 127.89, 128.92, 131.38, 141.31, 145.99, 146.29 (2 × C), 150.25; ESI–MS (m/z): 523.4 [M + H]+.
Tetrahydroberberine-12-N,N-di-n-heptylamine (6g). Target compound 6g was obtained (272 mg, 87.6% yield) as a hazel oil from compound 5 (200 mg, 0.564 mmol), n-heptanal (189 μL, 1.354 mmol), sodium triacetoxyborohydride (358 mg, 1.692 mmol), and HOAc (10 drops) using a procedure similar to that for 6a. 1H-NMR (400 MHz, CDCl3): δ 0.85 (t, J = 6.8 Hz, 6H, N(CH2CH2(CH2)4CH3)2)), 1.23 (m, 16H), 1.40 (m, 4H), 2.46–2.68 (m, 3H), 2.85 (t, J = 7.2 Hz, 4H, N(CH2CH2(CH2)4CH3)2)), 3.12–3.21 (m, 2H), 3.39-3.55 (m, 3H), 3.82 (s, 3H, OCH3), 3.83 (s, 3H, OCH3), 4.23 (d, J = 16 Hz,1H), 5.92 (s, 2H, OCH2O), 6.60 (s, 1H, Ar–H), 6.62 (s, 1H, Ar–H), 6.79 (s, 1H, Ar–H); 13C-NMR: (100 MHz, CDCl3) δ 14.20 (2 × C), 22.75 (2 × C), 27.39 (2 × C), 27.52 (2 × C), 29.36 (2 × C), 29.68, 32.05 (2 × C), 33.74, 51.63, 54.21 (2 × C), 54.51, 56.08, 59.89, 60.32, 100.88, 105.65, 105.87, 108.48, 124.90, 127.88, 128.89, 131.36, 141.32, 146.01, 146.30 (2 × C), 150.26; ESI–MS (m/z): 551.4 [M + H]+.
Tetrahydroberberine-12-N,N-di-n-octylamine (6h). Target compound 6h was obtained (290 mg, 88.8% yield) as a hazel oil from compound 5 (200 mg, 0.564 mmol), n-octanal (300 μL, 1.92 mmol), sodium triacetoxyborohydride (478 mg, 2.256 mmol), and HOAc (13 drops) using a procedure similar to that for 6a. 1H-NMR (400 MHz, CDCl3): δ 0.85 (t, J = 6.8 Hz, 6H, N(CH2CH2(CH2)5CH3)2), 1.23 (m, 20H), 1.40 (m, 4H), 2.46-2.68 (m, 3H), 2.85 (t, J = 7.2 Hz, 4H, N(CH2CH2(CH2)5CH3)2), 3.12-3.21 (m, 2H), 3.39–3.55 (m, 3H), 3.82 (s, 3H, OCH3), 3.83 (s, 3H, OCH3), 4.23 (d, J = 16 Hz, 1H), 5.92 (s, 2H, OCH2O), 6.60 (s, 1H, Ar–H), 6.61 (s, 1H, Ar–H), 6.78 (s, 1H, Ar–H); 13C-NMR: (150 MHz, CDCl3) δ 14.23 (2 × C), 22.78 (2 × C), 27.39 (2 × C), 27.57 (2 × C), 29.51 (2 × C), 29.66 (3 × C), 31.98 (2 × C), 33.76, 51.65, 54.23 (2 × C), 54.53, 56.10, 59.91, 60.34, 100.89, 105.68, 105.88, 108.49, 124.92, 127.89, 128.93, 131.39, 141.33, 146.01, 146.31 (2 × C), 150.27; ESI–MS (m/z): 579.4 [M + H]+.
Tetrahydroberberine-12-N,N-di-n-nonylamine (6i). Target compound 6i was obtained (303 mg, 88.5% yield) as a hazel oil from compound 5 (200 mg, 0.564 mmol), n-nonanal (330 μL, 1.92 mmol), sodium triacetoxyborohydride (478 mg, 2.256 mmol), and HOAc (13 drops) using a procedure similar to that for 6a. 1H-NMR (400 MHz, CDCl3): δ 0.86 (t, J = 6.8 Hz, 6H, N(CH2CH2(CH2)6CH3)2), 1.23 (m, 24H), 1.39 (m, 4H), 2.46-2.68 (m, 3H), 2.85 (t, J = 7.2 Hz, 4H, N(CH2CH2(CH2)6CH3)2), 3.12–3.20 (m, 2H), 3.39–3.55 (m, 3H), 3.82 (s, 3H, OCH3), 3.83 (s, 3H, OCH3), 4.23 (d, J = 15.6 Hz, 1H), 5.92 (s, 2H, OCH2O), 6.60 (s, 1H, Ar-H), 6.61 (s, 1H, Ar-H), 6.79 (s, 1H, Ar-H); 13C NMR: (100 MHz, CDCl3) δ 14.25 (2 × C), 22.80 (2 × C), 27.38 (2 × C), 27.57 (2 × C), 29.43 (2 × C), 29.71 (3 × C), 29.81 (2 × C), 32.00 (2 × C), 33.75, 51.65, 54.22 (2 × C), 54.53, 56.08, 59.90, 60.32, 100.87, 105.65, 105.88, 108.48, 124.91, 127.89, 128.91, 131.38, 141.32, 146.00, 146.29, 146.30, 150.25; ESI-MS (m/z): 607.5 [M + H]+.
Tetrahydroberberine-12-N,N-di-n-decylamine (6j). Target compound 6j was obtained (323 mg, 90% yield) as a hazel oil from compound 5 (200 mg, 0.564 mmol), n-decanal (362 μL, 1.92 mmol), sodium triacetoxyborohydride (478 mg, 2.256 mmol), and HOAc (13 drops) using a procedure similar to that for 6a. 1H-NMR (400 MHz, CDCl3): δ 0.87 (t, J = 6.8 Hz, 6H, N(CH2CH2(CH2)7CH3)2), 1.23 (m, 28H), 1.39 (m, 4H), 2.46-2.68 (m, 3H), 2.85 (t, J = 7.2 Hz, 4H, N(CH2CH2(CH2)7CH3)2), 3.12-3.20 (m, 2H), 3.39-3.55 (m, 3H), 3.82 (s, 3H, OCH3), 3.83 (s, 3H, OCH3), 4.23 (d, J = 16 Hz, 1H), 5.92 (s, 2H, OCH2O), 6.60 (s, 1H, Ar–H), 6.61 (s, 1H, Ar–H), 6.79 (s, 1H, Ar–H); 13C-NMR: (100 MHz, CDCl3) δ 14.25 (2 × C), 22.82 (2 × C), 27.38 (2 × C), 27.58 (2 × C), 29.46 (2 × C), 29.72 (3 × C), 29.73 (2 × C), 29.87 (2 × C), 32.04 (2 × C), 33.77, 51.66, 54.21 (2 × C), 54.55, 56.08, 59.91, 60.32, 100.87, 105.65, 105.88, 108.49, 124.92, 127.90, 128.93, 131.40, 141.32, 145.99, 146.30 (2 × C), 150.25; ESI–MS (m/z): 635.5 [M + H]+.
Tetrahydroberberine-12-N,N-di-n-undecylamine (6k). Target compound 6k was obtained (344 mg, 92% yield) as a hazel oil from compound 5 (200 mg, 0.564 mmol), n-undecaldehyde (393 μL, 1.92 mmol), sodium triacetoxyborohydride (478 mg, 2.256 mmol), and HOAc (13 drops) using a procedure similar to that for 6a. 1H-NMR (400 MHz, CDCl3): δ 0.87 (t, J = 6.8 Hz, 6H, N(CH2CH2(CH2)8CH3)2), 1.23 (m, 32H), 1.39 (m, 4H), 2.45-2.68 (m, 3H), 2.85 (t, J = 7.2 Hz, 4H, N(CH2CH2(CH2)8CH3)2), 3.12–3.20 (m, 2H), 3.38–3.55 (m, 3H), 3.82 (s, 3H, OCH3), 3.83 (s, 3H, OCH3), 4.23 (d, J = 16 Hz, 1H), 5.92 (s, 2H, OCH2O), 6.60 (s, 1H, Ar-H), 6.61 (s, 1H, Ar-H), 6.78 (s, 1H, Ar-H); 13C–NMR: (100 MHz, CDCl3) δ 14.27 (2 × C), 22.83 (2 × C), 27.39 (2 × C), 27.59 (2 × C), 29.49 (2 × C), 29.73 (3 × C) 29.76 (2 × C), 29.79 (2 × C), 29.87 (2 × C), 32.06 (2 × C), 33.77, 51.67, 54.22 (2 × C), 54.55, 56.09, 59.92, 60.34, 100.88, 105.66, 105.89, 108.50, 124.93, 127.90, 128.95, 131.41, 141.33, 145.99, 146.30 (2 × C), 150.27; ESI–MS (m/z): 663.6 [M + H]+.
Tetrahydroberberine-12-N,N-di-n-dodecylamine (6l). Target compound 6l was obtained (330 mg, 84.7% yield) as a hazel oil from compound 5 (200 mg, 0.564 mmol), n-dodecaldehyde (300 μL, 1.35 mmol), sodium triacetoxyborohydride (358 mg, 1.69 mmol), and HOAc (10 drops) using a procedure similar to that for 6a. 1H NMR (400 MHz, CDCl3): δ 0.87 (t, J = 6.8 Hz, 6H, N(CH2CH2(CH2)9CH3)2), 1.23 (m, 36H), 1.40 (m, 4H), 2.45–2.68 (m, 3H), 2.85 (t, J = 7.2 Hz, 4H, N(CH2CH2(CH2)9CH3)2), 3.11–3.21 (m, 2H), 3.39–3.55 (m, 3H), 3.82 (s, 3H, OCH3), 3.83 (s, 3H, OCH3), 4.23 (d, J = 15.6 Hz,1H), 5.92 (s, 2H, OCH2O), 6.60 (s, 1H, Ar–H), 6.61 (s, 1H, Ar–H), 6.78 (s, 1H, Ar–H); 13C-NMR: (100 MHz, CDCl3) δ 14.27 (2 × C), 22.83 (2 × C), 27.39 (2 × C), 27.59 (2 × C), 29.51 (2 × C), 29.72 (3 × C), 29.79 (6 × C), 29.88 (2 × C), 32.06 (2 × C), 33.73, 51.63, 54.22 (2 × C), 54.52, 56.09, 59.90, 60.33, 100.88, 105.66, 105.89, 108.50, 124.91, 127.89, 128.90, 131.37, 141.28, 146.00, 146.30 (2 × C), 150.26; ESI–MS (m/z): 691.6 [M + H]+.
Quaternary berberine-12-N,N-dimethylamine chloride (7a). DDQ (220 mg) was weighed and dissolved in 8 mL of CH2Cl2. The DDQ solution was added dropwise into a solution containing compound 6a (185 mg, 0.484 mmol) in CH2Cl2 (4 mL) under stirring. The reaction solution was stirred for 2h at room temperature until the raw material was completely reacted. The reaction mixture was concentrated to remove the solvent under reduced pressure, then aqueous 10% HCl solution (8 mL) was added into the residue. After stirring the mixture for 2h at room temperature, aqueous 1 N NaOH solution was added to make the solution alkaline. Then, the mixture was stirred for 0.5 h at room temperature and extracted using a mixed solution of CHCl3/CH3OH (v/v = 10:1) in a separatory funnel. The organic layer was washed, first, three times using water, then, one time using saturated aqueous NaCl solution. The organic layer was dried using anhydrous MgSO4 and filtered. The filtrate was concentrated under reduced pressure to remove the solvent. The residue was purified using silica gel CC eluted using a mixed solution of CHCl3/MeOH (v/v = 25:1) to yield 7a (38 mg, 19% yield) as a red solid. 1H-NMR (400 MHz, DMSO-d6): δ 2.95 (s, 6H, N(CH3)2), 3.20 (t, J = 6 Hz, 2H, ArCH2CH2N), 4.00 (s, 3H, OCH3), 4.09 (s, 3H, OCH3), 4.92 (t, J = 6 Hz, 2H, ArCH2CH2N), 6.17 (s, 2H, OCH2O), 7.09 (s, 1H, Ar-H), 7.56 (s, 1H, Ar–H), 7.87 (s, 1H, Ar–H), 8.59 (s, 1H, Ar–H), 9.81 (s, 1H, Ar–H); 13C-NMR (100 MHz, DMSO-d6): δ 26.40, 44.83 (2 × C), 55.10, 56.95, 61.90, 102.05, 105.82, 108.40, 114.15, 116.65, 120.56, 122.14, 127.61, 130.71, 136.75, 138.24, 145.49, 147.57, 147.76, 149.77, 150.89; ESI–MS (m/z): 379.3 [M − Cl]+.
Quaternary berberine-12-N,N-diethylamine chloride (7b). Target compound 7b was obtained (32 mg, 11.6% yield) as a red solid from compound 6b (257 mg, 0.626 mmol) and DDQ (285 mg DDQ in 8 mL CH2Cl2) using a procedure similar to that for 7a. 1H-NMR (400 MHz, DMSO-d6): δ 1.02 (t, J = 7.2 Hz, 6H, N(CH2CH3)2), 3.20 (t, J = 6 Hz, 2H, ArCH2CH2N), 3.27 (q, J = 7.2 Hz, 4H, N(CH2CH3)2), 4.04 (s, 3H, OCH3), 4.07 (s, 3H, OCH3), 4.92 (t, J = 6 Hz, 2H, ArCH2CH2N), 6.18 (s, 2H, OCH2O), 7.10 (s, 1H, Ar–H), 7.72 (s, 1H, Ar–H), 7.76 (s, 1H, Ar–H), 8.60 (s, 1H, Ar–H), 9.84 (s, 1H, Ar–H); 13C-NMR: (100 MHz, DMSO-d6) δ 12.04 (2 × C), 26.39, 47.68 (2 × C), 55.08, 57.15, 61.93, 102.09, 105.51, 108.46, 116.25, 118.78, 120.56, 122.02, 130.41, 130.85, 137.02, 139.37, 144.48, 145.59, 147.79, 149.82, 150.79; ESI–MS (m/z): 407.3 [M − Cl]+.
Quaternary berberine-12-N,N-di-n-propylamine chloride (7c). Target compound 7c was obtained (50 mg, 46.6% yield) as a red solid from compound 6c (100 mg, 0.228 mmol) and DDQ (103 mg DDQ in 6 mL CH2Cl2) using a procedure similar to that for 7a. 1H-NMR (400 MHz, DMSO-d6): δ 0.85 (t, J = 7.2 Hz, 6H, N(CH2CH2CH3)2), 1.47 (m, 4H, N(CH2CH2CH3)2), 3.19 (m, 6H, ArCH2CH2N, N(CH2CH2CH3)2), 4.03 (s, 3H, OCH3), 4.07 (s, 3H, OCH3), 4.92 (t, J = 6 Hz, 2H, ArCH2CH2N), 6.18 (s, 2H, OCH2O), 7.10 (s, 1H, Ar–H), 7.65 (s, 1H, Ar–H), 7.78 (s, 1H, Ar–H), 8.61 (s, 1H, Ar–H), 9.84 (s, 1H, Ar–H); 13C-NMR: (150 MHz, DMSO-d6) δ 11.62 (2 × C), 19.83 (2 × C), 26.38, 55.06, 55.75 (2 × C), 57.17, 61.93, 102.12, 105.11, 108.52, 115.94, 119.14, 120.50, 121.97, 130.25, 130.87, 136.97, 139.53, 145.08, 145.71, 147.78, 149.85, 150.85; ESI–MS (m/z): 435.3 [M − Cl]+.
Quaternary berberine-12-N,N-di-n-butylamine chloride (7d). Target compound 7d was obtained (100 mg, 46.7% yield) as a red solid from compound 6d (200 mg, 0.429 mmol) and DDQ (195 mg DDQ in 8 mL CH2Cl2) using a procedure similar to that for 7a. 1H-NMR (400 MHz, DMSO-d6): δ 0.84 (t, J = 7.2 Hz, 6H, N(CH2CH2CH2CH3)2), 1.28(m, 4H, N(CH2CH2CH2CH3)2), 1.45 (m, 4H, N(CH2CH2CH2CH3)2), 3.21 (m, 6H, ArCH2CH2N, N(CH2CH2CH2CH3)2), 4.03 (s, 3H, OCH3), 4.06 (s, 3H, OCH3), 4.92 (t, J = 6 Hz, 2H, ArCH2CH2N), 6.19 (s, 2H, OCH2O), 7.10 (s, 1H, Ar–H), 7.63 (s, 1H, Ar–H), 7.76 (s, 1H, Ar–H), 8.57 (s, 1H, Ar–H), 9.84 (s, 1H, Ar–H); 13C-NMR: (100 MHz, DMSO-d6) δ 13.86 (2 × C), 19.93 (2 × C), 26.37, 28.74 (2 × C), 53.65 (2 × C), 55.06, 57.18, 61.95, 102.14, 105.09, 108.55, 115.89, 118.86, 120.50, 121.99, 130.14, 130.88, 136.95, 139.43, 145.15, 145.76, 147.79, 149.86, 150.84; ESI–MS (m/z): 463.3 [M − Cl]+.
Quaternary berberine-12-N,N-di-n-pentylamine chloride (7e). Target compound 7e was obtained (70 mg, 11.4% yield) as a red solid from compound 6e (273 mg, 0.552 mmol) and DDQ (251 mg DDQ in 10 mL CH2Cl2) using a procedure similar to that for 7a. 1H-NMR (400 MHz, DMSO-d6): δ 0.82 (t, J = 6.4 Hz, 6H, N(CH2CH2CH2CH2CH3)2), 1.26(m, 8H, N(CH2CH2CH2CH2CH3)2), 1.47 (m, 4H, N(CH2CH2CH2CH2CH3)2), 3.20 (m, 6H, ArCH2CH2N, N(CH2CH2CH2CH2CH3)2), 4.04 (s, 3H, OCH3), 4.06 (s, 3H, OCH3), 4.92 (t, J = 6 Hz, 2H, ArCH2CH2N), 6.18 (s, 2H, OCH2O), 7.11 (s, 1H, Ar–H), 7.60 (s, 1H, Ar–H), 7.78 (s, 1H, Ar–H), 8.59 (s, 1H, Ar–H), 9.84 (s, 1H, Ar–H); 13C-NMR: (100 MHz, DMSO-d6) δ 13.99 (2 × C), 21.96 (2 × C), 26.31 (2 × C), 26.37, 29.03 (2 × C), 53.85 (2 × C), 55.04, 57.19, 61.95, 102.16, 104.96, 108.58, 115.87, 118.95, 120.50, 121.99, 130.19, 130.88, 136.94, 139.49, 145.22, 145.77, 147.80, 149.87, 150.86; ESI–MS (m/z): 491.3 [M − Cl]+.
Quaternary berberine-12-N,N-di-n-hexylamine chloride (7f). Target compound 7f was obtained (52 mg, 29.4% yield) as a red solid from compound 6f (167 mg, 0.32 mmol) and DDQ (145 mg DDQ in 6 mL CH2Cl2) using a procedure similar to that for 7a. 1H-NMR (400 MHz, DMSO-d6): δ 0.81 (t, J = 6.4 Hz, 6H, N(CH2CH2CH2CH2CH2CH3)2), 1.22(m, 12H, N(CH2CH2CH2CH2CH2CH3)2), 1.47 (m, 4H, N(CH2CH2CH2CH2CH2CH3)2), 3.20 (m, 6H, ArCH2CH2N, N(CH2CH2CH2CH2CH2CH3)2), 4.04 (s, 3H, OCH3), 4.06 (s, 3H, OCH3), 4.92 (t, J = 6 Hz, 2H, ArCH2CH2N), 6.18 (s, 2H, OCH2O), 7.11 (s, 1H, Ar–H), 7.59 (s, 1H, Ar–H), 7.78 (s, 1H, Ar–H), 8.58 (s, 1H, Ar–H), 9.85 (s, 1H, Ar–H); 13C-NMR: (100 MHz, DMSO-d6) δ 13.84 (2 × C), 22.13 (2 × C), 26.37, 26.43 (2 × C), 26.60 (2 × C), 31.05 (2 × C), 53.85 (2 × C), 55.04, 57.18, 61.94, 102.17, 104.93, 108.58, 115.87, 118.97, 120.49, 121.98, 130.21, 130.88, 136.93, 139.50, 145.27, 145.76, 147.80, 149.86, 150.87; ESI–MS (m/z): 519.4 [M − Cl]+.
Quaternary berberine-12-N,N-di-n-heptylamine chloride (7g). Target compound 7g was obtained (50 mg, 22.7% yield) as a red solid from compound 6g (208 mg, 0.378 mmol) and DDQ (172 mg DDQ in 8 mL CH2Cl2) using a procedure similar to that for 7a. 1H-NMR (400 MHz, DMSO-d6): δ 0.80 (m, 6H, N(CH2CH2(CH2)4CH3)2), 1.20 (m, 16H, ArN(CH2CH2(CH2)4CH3)2), 1.47 (m, 4H, N(CH2CH2(CH2)4CH3)2), 3.19 (m, 6H, ArCH2CH2N, N(CH2CH2(CH2)4CH3)2), 4.04 (s, 3H, OCH3), 4.07 (s, 3H, OCH3), 4.93 (t, J = 6 Hz, 2H, ArCH2CH2N), 6.18 (s, 2H, OCH2O), 7.12 (s, 1H, Ar–H), 7.58 (s, 1H, Ar–H), 7.79 (s, 1H, Ar-H), 8.59 (s, 1H, Ar-H), 9.87 (s, 1H, Ar-H); 13C-NMR: (100 MHz, DMSO-d6) δ 13.88(2 × C), 22.02 (2 × C), 26.38, 26.65 (2 × C), 26.73 (2 × C), 28.49 (2 × C), 31.32 (2 × C), 53.83 (2 × C), 55.04, 57.18, 61.95, 102.16, 104.87, 108.59, 115.84, 119.09, 120.49, 121.96, 130.26, 130.89, 136.91, 139.57, 145.28, 145.80, 147.80, 149.86, 150.89; ESI–MS (m/z): 547.4 [M − Cl]+.
Quaternary berberine-12-N,N-di-n-octylamine chloride (7h). Target compound 7h was obtained (70 mg, 30% yield) as a red solid from compound 6h (220 mg, 0.380 mmol) and DDQ (173 mg DDQ in 8 mL CH2Cl2) using a procedure similar to that for 7a. 1H-NMR (400 MHz, DMSO-d6): δ 0.80 (t, J = 6.4 Hz, 6H, N(CH2CH2(CH2)5CH3)2), 1.20 (m, 20H, N(CH2CH2(CH2)5CH3)2), 1.46 (m, 4H, N(CH2CH2(CH2)5CH3)2), 3.19 (m, 6H, ArCH2CH2N, N(CH2CH2(CH2)5CH3)2), 4.03 (s, 3H, OCH3), 4.06 (s, 3H, OCH3), 4.92 (t, J = 6 Hz, 2H, ArCH2CH2N), 6.17 (s, 2H, OCH2O), 7.11 (s, 1H, Ar–H), 7.58 (s, 1H, Ar–H), 7.78 (s, 1H, Ar–H), 8.58 (s, 1H, Ar–H), 9.84 (s, 1H, Ar–H); 13C-NMR: (100 MHz, DMSO-d6) δ 13.87 (2 × C), 22.04 (2 × C), 26.38, 26.62 (2 × C), 26.76 (2 × C), 28.74 (2 × C), 28.77 (2 × C), 31.19 (2 × C), 53.79(2 × C), 55.05, 57.17, 61.94, 102.16, 104.87, 108.59, 115.84, 119.06, 120.49, 121.97, 130.24, 130.88, 136.91, 139.55, 145.29, 145.80, 147.81, 149.86, 150.89; ESI–MS (m/z): 575.5 [M − Cl]+.
Quaternary berberine-12-N,N-di-n-nonylamine chloride (7i). Target compound 7i was obtained (87 mg, 34.4% yield) as a red solid from compound 6i (240 mg, 0.396 mmol) and DDQ (180 mg DDQ in 6 mL CH2Cl2) using a procedure similar to that for 7a. 1H-NMR (400 MHz, DMSO-d6): δ 0.81 (t, J = 6.4 Hz, 6H, N(CH2CH2(CH2)6CH3)2), 1.18 (m, 24H, N(CH2CH2(CH2)6CH3)2), 1.46 (m, 4H, N(CH2CH2(CH2)6CH3)2), 3.18 (m, 6H, ArCH2CH2N, N(CH2CH2(CH2)6CH3)2), 4.04 (s, 3H, OCH3), 4.06 (s, 3H, OCH3), 4.92 (t, J = 5.6 Hz, 2H, ArCH2CH2N), 6.17 (s, 2H, OCH2O), 7.11 (s, 1H, Ar–H), 7.57 (s, 1H, Ar–H), 7.79 (s, 1H, Ar–H), 8.58 (s, 1H, Ar–H), 9.85 (s, 1H, Ar–H); 13C-NMR: (100 MHz, DMSO-d6) δ 13.91 (2 × C), 22.03 (2 × C), 26.38, 26.62 (2 × C), 26.75 (2 × C), 28.61 (2 × C), 28.81 (2 × C), 29.03 (2 × C), 31.23 (2 × C), 53.78 (2 × C), 55.05, 57.17, 61.94, 102.15, 104.85, 108.60, 115.82, 119.09, 120.48, 121.97, 130.24, 130.88, 136.90, 139.57, 145.30, 145.81, 147.81, 149.86, 150.89; ESI–MS (m/z): 603.5 [M − Cl]+.
Quaternary berberine-12-N,N-di-n-decylamine chloride (7j). Target compound 7j was obtained (47 mg, 14.2% yield) as a red solid from compound 6j (315 mg, 0.496 mmol) and DDQ (225 mg DDQ in 8 mL CH2Cl2) using a procedure similar to that for 7a. 1H-NMR (400 MHz, DMSO-d6): δ 0.82 (t, J = 6.4 Hz, 6H, N(CH2CH2(CH2)7CH3)2), 1.18 (m, 28H, N(CH2CH2(CH2)7CH3)2), 1.46 (m, 4H, N(CH2CH2(CH2)7CH3)2), 3.18 (m, 6H, ArCH2CH2N, N(CH2CH2(CH2)7CH3)2), 4.04 (s, 3H, OCH3), 4.06 (s, 3H, OCH3), 4.92 (t, J = 6 Hz, 2H, ArCH2CH2N), 6.17 (s, 2H, OCH2O), 7.11 (s, 1H, Ar-H), 7.57 (s, 1H, Ar–H), 7.79 (s, 1H, Ar–H), 8.58 (s, 1H, Ar–H), 9.85 (s, 1H, Ar–H); 13C-NMR: (100 MHz, DMSO-d6) δ 13.92 (2 × C), 22.07 (2 × C), 26.37, 26.61 (2 × C), 26.74 (2 × C), 28.66 (2 × C), 28.79 (2 × C), 28.91 (2 × C), 29.08 (2 × C), 31.23 (2 × C), 53.76 (2 × C), 55.05, 57.16, 61.93, 102.14, 104.84, 108.60, 115.81, 119.08, 120.48, 121.96, 130.23, 130.87, 136.89, 139.55, 145.30, 145.80, 147.80, 149.85, 150.88; ESI–MS (m/z): 631.5 [M − Cl]+.
Quaternary berberine-12-N,N-di-n-undecylamine chloride (7k). Target compound 7k was obtained (55 mg, 16% yield) as a red solid from compound 6k (328 mg, 0.495 mmol) and DDQ (225 mg DDQ in 8 mL CH2Cl2) using a procedure similar to that for 7a. 1H-NMR (400 MHz, DMSO-d6): δ 0.83 (t, J = 6.4 Hz, 6H, N(CH2CH2(CH2)8CH3)2), 1.18 (m, 32H, N(CH2CH2(CH2)8CH3)2), 1.46 (m, 4H, N(CH2CH2(CH2)8CH3)2), 3.18 (m, 6H, ArCH2CH2N, N(CH2CH2(CH2)8CH3)2), 4.04 (s, 3H, OCH3), 4.06 (s, 3H, OCH3), 4.92 (t, J = 5.6 Hz, 2H, ArCH2CH2N), 6.17 (s, 2H, OCH2O), 7.11 (s, 1H, Ar–H), 7.57 (s, 1H, Ar–H), 7.79 (s, 1H, Ar–H), 8.58 (s, 1H, Ar–H), 9.85 (s, 1H, Ar–H); 13C-NMR: (100 MHz, DMSO-d6) δ 13.93 (2 × C), 22.07 (2 × C), 26.37, 26.60 (2 × C), 26.73 (2 × C), 28.66 (2 × C), 28.79 (2 × C), 28.96 (4×C), 29.07 (2 × C), 31.27 (2 × C), 53.74 (2 × C), 55.05, 57.16, 61.93, 102.14, 104.83, 108.60, 115.80, 119.08, 120.47, 121.96, 130.23, 130.87, 136.89, 139.56, 145.30, 145.81, 147.80, 149.85, 150.88; ESI–MS (m/z): 659.6 [M − Cl]+.
Quaternary berberine-12-N,N-di-n-dodecylamine chloride (7l). Target compound 7l was obtained (100 mg, 38.3% yield) as a red solid from compound 6l (250 mg, 0.362 mmol) and DDQ (165 mg DDQ in 8 mL CH2Cl2) using a procedure similar to that for 7a. 1H-NMR (400 MHz, DMSO-d6): δ 0.84 (t, J = 6.4 Hz, 6H, N(CH2CH2(CH2)9CH3)2), 1.18 (m, 36H, N(CH2CH2(CH2)9CH3)2), 1.47 (m, 4H, N(CH2CH2(CH2)9CH3)2), 3.18 (m, 6H, ArCH2CH2N, N(CH2CH2(CH2)9CH3)2), 4.04 (s, 3H, OCH3), 4.06 (s, 3H, OCH3), 4.92 (t, J = 6 Hz, 2H, ArCH2CH2N), 6.17 (s, 2H, OCH2O), 7.11 (s, 1H, Ar–H), 7.56 (s, 1H, Ar–H), 7.79 (s, 1H, Ar–H), 8.58 (s, 1H, Ar–H), 9.84 (s, 1H, Ar–H); 13C-NMR: (100 MHz, DMSO-d6) δ 13.94 (2 × C), 22.09 (2 × C), 26.37, 26.60 (2 × C), 26.73 (2 × C), 28.70 (2 × C), 28.78 (2 × C), 28.96 (4×C), 29.01 (2 × C), 29.07 (2 × C), 31.28 (2 × C), 53.74 (2 × C), 55.05, 57.17, 61.94, 102.14, 104.81, 108.61, 115.79, 119.10, 120.47, 121.97, 130.22, 130.88, 136.89, 139.59, 145.31, 145.83, 147.80, 149.86, 150.89; ESI–MS (m/z): 687.6 [M − Cl]+.
Tetrahydroberberine-12-N-n-propylamine derivatives (8). To a stirred solution of compound 5 (200 mg, 0.564 mmol) in CH2Cl2 (4 mL), we added propionaldehyde (41 μL, 0.564 mmol), sodium sodium triacetoxyborohydride (143 mg, 0.677 mmol), and acetic acid (10 drops), respectively. The reaction solution was stirred for 2h at room temperature until the raw material was completely reacted. Then, aqueous saturated NaHCO3 solution was added dropwise to make the solution alkaline (pH = 8). The solution was extracted three times (20mL/time) using CH2Cl2 in a separatory funnel. The organic layer was washed, first, three times using water, then one time using aqueous saturated NaCl solution. The organic layer was dried using anhydrous MgSO4 and filtered. The filtrate was concentrated under reduced pressure to remove the solvent. The residue was purified using silica gel CC eluted using a mixed solution of CH2Cl2/MeOH (v/v = 80:1) to yield 8 (140 mg, 62.8% yield) as a light grey solid. 1H-NMR (400 MHz, CDCl3): δ 1.02 (t, J = 7.6 Hz, 3H, NHCH2CH2CH3), 1.69 (m, 2H), 2.34–3.58 (m, 10H), 3.77 (s, 3H, OCH3), 3.86 (s, 3H, OCH3), 4.20 (d, J = 15.2 Hz,1H), 5.93 (s, 2H, OCH2O), 6.17 (s, 1H, Ar–H), 6.60 (s, 1H, Ar–H), 6.77 (s, 1H, Ar–H); ESI–MS (m/z): 397.3 [M + H]+.
Quaternary berberine-12-N-n-propylamine iodide (9). To a stirred solution of compound 8 (130 mg, 0.328 mmol) in anhydrous ethanol (8 mL), we added iodine (250 mg, 0.984 mmol). After the reaction solution was refluxed for 10 h, a second batch of iodine (125 mg, 0.492 mmol) was added to the solution. The reaction solution was refluxed for another 10 h and a third batch of iodine (83 mg, 0.328 mmol) was added. After the reaction was refluxed for another 10 h, aqueous saturated sodium thiosulfate solution (2 mL) was added to quench the reaction. The reaction mixture was filtered. The filter cake was dissolved in a mixed solution of CHCl3/MeOH (v/v = 10:1). The organic layer was washed, first, three times using water, then, one time using aqueous saturated NaCl solution in a separatory funnel. Then, the organic layer was dried by anhydrous MgSO4 and filtered. The filtrate was concentrated under reduced pressure to remove the solvent. The residue was purified by silica gel CC eluted using a mixed solution of CH2Cl2/MeOH (v/v = 200:1) to yield 9 (35 mg, 15% yield) as a reddish brown solid. 1H-NMR (400 MHz, DMSO-d6): δ 1.04 (t, J = 7.2 Hz, 3H, NHCH2CH2CH3), 1.38 (m, 2H, NHCH2CH2CH3), 1.77 (m, 2H, NHCH2CH2CH3), 3.19 (t, J = 6 Hz, 2H, Ar-CH2CH2N), 3.90 (s, 3H, OCH3), 4.04 (s, 3H, OCH3), 4.88 (t, J = 6 Hz, 2H, Ar–CH2CH2N), 6.18 (s, 2H, OCH2O), 6.84 (s, 1H, Ar–H), 6.97 (t, J = 5.6 Hz, 1H, NHCH2CH2CH3), 7.08 (s, 1H, Ar–H), 7.88 (s, 1H, Ar–H), 8.87 (s, 1H, Ar–H), 9.61 (s, 1H, Ar–H); ESI–MS (m/z): 393.3 [M − I]+.

3.2. Growth Inhibition Activity Assay Against Human Cancer Cell Lines

The growth inhibitory activity of all the synthesized compounds against the human HCT-8, Bel7402, HeLa, A549, and BGC-823 cell lines were examined using a published method of our group [25]. The compounds were dissolved in DMSO (100 μL), and then the solutions containing the compounds were diluted to working solutions with RPMI 1640 culture medium containing 10% serum. The corresponding human tumor cells were added to 96-well microplates (100 μL/well), and cultured in an incubator with 5% CO2 at 37 °C for 24 h. The working solutions of the compounds were added to microplates at a final concentration of 0.1 μmol/L, 1 μmol/L, 10 μmol/L, and 100 μmol/L (4 replicate wells per concentration). After 72 h, the culture solution was discarded, and RPMI 1640 culture medium (10% serum, 100 μL) containing 0.5 mg/mL MTT was added to each well. After incubating at 37 °C, 5% CO2 for 4 h, the solution was discarded. DMSO (150 μL) was added to each well, and the plates were shaken at room temperature for 10 min to completely dissolve the blue crystals in order to detect the optical density (OD) value at 570 nm (detection wavelength) and 655 nm (reference wavelength) using a Bio-Rad 450 microplate reader (Hercules, CA, USA). The inhibition rate of the test compound was calculated according to the following formula:
Growth inhibition rate % = (negative control OD − pending compound OD)/(negative control OD − background OD) × 100%

4. Conclusions

In this article, quaternary 12-nitroberberine chloride (2), quaternary 12-aminoberberine chloride (3), tertiary 12-aminotetrahydroberberine (5), and five series of 12-aminoberberine derivatives of different reduction states, including quaternary berberine-12-N-acylamine chlorides (4am), tertiary tetrahydroberberine-12-N,N-di-n-alkylamine derivatives (6al), quaternary berberine-12-N,N-di-n-alkylamine chlorides (7al), tertiary tetrahydroberberine-12-N-n-propylamine (8), and quaternary berberine-12-N-n-propylamine iodide (9) were designed and synthesized. The growth inhibition activities of these synthesized compounds against several human cancer cell lines were screened. The series of quaternary berberine-12-N,N-di-n-alkylamine chlorides (7al) showed some or significant growth inhibition activities against the tested human cancer cell lines, with the IC50 values of most compounds being on or over the micromolar level. In addition, significant SAR was observed. Firstly, the activities of quaternary berberine-12-N,N-di-n-alkylamine chlorides series (7al) are obviously stronger than those of the reduced counterparts, the tertiary tetrahydroberberine-12-N,N-di-n-alkylamine derivatives series (6al). Secondly, the length of the n-alkyl carbon chain of 12-N,N-di-n-alkylaminos has a significant effect on the activities. In the range of about six to eight carbon atoms, the activity increases with the elongation of the n-alkyl carbon chain of 12-N,N-di-n-alkylaminos, and when there are more than six to eight carbon atoms, the activity decreases with the elongation of the n-alkyl carbon chain. Regarding the activity feature of 12-N,N-di-n-alkylaminos, we guess that it is relevant to their log P values and their ability to cross cell membranes; this is an area of further research for us. Thirdly, the activities are also affected by the number of n-alkyl groups on the amino nitrogen atom. The activities of the tertiary amine structure of the 12-amino are significantly higher than the secondary amine structure. These findings are very helpful for the further medicinal chemistry study of berberine-type alkaloids.

Supplementary Materials

The following are available online, Figures S1–S81: NMR spectra of all the synthesized compounds.

Author Contributions

H.-L.Q. and A.-J.D conceived and designed the experiments; B.W. and A.-J.D. performed the experiments; N.W. analyzed the data; Z.-H.L. and A.-J.D contributed reagents/materials/analysis tools; A.-J.D. and H.Q. wrote the paper. All authors have read and agreed to the published version of the manuscript.

Funding

This work was financially supported by grants from the National Mega-Project for Innovative Drugs (2019ZX09735002), the Drug Innovation Major Project (2018ZX09711001-005006), and from the CAMS Initiation Fund for Innovative Medicine (2016-I2M-1-010).

Acknowledgments

We are truly thankful for the above-mentioned grants to support the performing of this work.

Conflicts of Interest

The authors declare no conflict of interest.

References

  1. Ismael, G.F.V.; Rosa, D.D.; Mano, M.S.; Awada, A. Novel cytotoxic drugs: Old challenges, new solutions. Cancer Treat. Rev. 2008, 34, 81–91. [Google Scholar] [CrossRef] [PubMed]
  2. Bian, X.; He, L.; Yang, G. Synthesis and antihyperglycemic evaluation of various protoberberine derivatives. Bioorg. Med. Chem. Lett. 2006, 16, 1380–1383. [Google Scholar] [CrossRef] [PubMed]
  3. Iwasa, K.; Kamigauchi, M.; Sugiura, M.; Nanba, H. Antimicrobial activity of some 13-alkyl substituted protoberberinium salts. Planta Med. 1997, 63, 196–198. [Google Scholar] [CrossRef] [PubMed]
  4. Kumar, A.; Chopra, K.; Mukherjee, M.; Pottabathini, R.; Dhull, D.K. Current knowledge and pharmacological profile of berberine: An update. Eur. J. Pharmacol. 2015, 761, 288–297. [Google Scholar] [CrossRef] [PubMed]
  5. Yang, P.; Song, D.Q.; Li, Y.H.; Kong, W.J.; Wang, Y.X.; Gao, L.M.; Liu, S.Y.; Cao, R.Q.; Jiang, J.D. Synthesis and structure-activity relationships of berberine analogues as a novel class of low-density-lipoprotein receptor up-regulators. Bioorg. Med. Chem. Lett. 2008, 18, 4675–4677. [Google Scholar] [CrossRef] [PubMed]
  6. Liu, B.; Wang, G.; Yang, J.; Pan, X.; Yang, Z.; Zang, L. Berberine inhibits human hepatoma cell invasion without cytotoxicity in healthy Hepatocytes. PLoS ONE 2011, 6, e21416. [Google Scholar] [CrossRef]
  7. Wang, L.; Liu, L.; Shi, Y.; Cao, H.; Chaturvedi, R.; Calcutt, M.W.; Hu, T.; Ren, X.; Wilson, K.T.; Polk, D.B.; et al. Berberine induces caspase-independent cell death in colon tumor cells through activation of apoptosis-inducing factor. PLoS ONE 2012, 7, e36418. [Google Scholar] [CrossRef]
  8. Chen, C.; Tao, C.; Liu, Z.; Lu, M.; Pan, Q.; Zheng, L.; Li, Q.; Song, Z.; Fichna, J. A randomized clinical trial of berberine hydrochloride in patients with diarrhea-predominant irritable bowel syndrome. Phytother. Res. 2015, 29, 1822–1827. [Google Scholar] [CrossRef]
  9. Yin, J.; Xing, H.; Ye, J. Efficacy of berberine in patients with type 2 diabetes mellitus. Metab, Clin. Exp. 2008, 57, 712–717. [Google Scholar] [CrossRef]
  10. Freile, M.L.; Giannini, F.; Pucci, G.; Sturniolo, A.; Rodero, L.; Pucci, O.; Balzareti, V.; Enriz, R.D. Antimicrobial activity of aqueous extracts and of berberine isolated from Berberis heterophylla. Fitoterapia 2003, 74, 702–705. [Google Scholar] [CrossRef]
  11. Bandyopadhyay, S.; Patra, P.H.; Mahanti, A.; Mondal, D.K.; Dandapat, P.; Bandyopadhyay, S.; Samanta, I.; Lodh, C.; Bera, A.K.; Bhattacharyya, D.; et al. Potential antibacterial activity of berberine against multi drug resistant enterovirulent Escherichia coli isolated from yaks (Poephagus grunniens) with haemorrhagic diarrhoea. Asian Pac. J. Trop. Med. 2013, 315–319. [Google Scholar] [CrossRef]
  12. Kong, W.; Wei, J.; Abidi, P.; Lin, M.; Inaba, S.; Li, C.; Wang, Y.; Wang, Z.; Si, S.; Pan, H.; et al. Berberine is a novel cholesterol-lowering drug working through a unique mechanism distinct from statins. Nat. Med. 2004, 10, 1344–1351. [Google Scholar] [CrossRef]
  13. Chiou, W.F.; Yen, M.H.; Chen, C.F. Mechanism of vasodilatory effect of berberine in rat mesenteric artery. Eur. J. Pharmacol. 1991, 204, 35–40. [Google Scholar] [PubMed]
  14. Lau, C.W.; Yao, X.Q.; Chen, Z.Y.; Ko, W.H.; Huang, Y. Cardiovascular actions of berberine. Cardiovasc. Drug Rev. 2001, 19, 234–244. [Google Scholar] [CrossRef] [PubMed]
  15. Kulkarni, S.K.; Dhir, A. Berberine: A plant alkaloid with therapeutic potential for central nervous system disorders. Phytother. Res. 2010, 24, 317–324. [Google Scholar] [CrossRef] [PubMed]
  16. Kuo, C.L.; Chi, C.W.; Liu, T.Y. The anti-inflammatory potential of berberine in vitro and in vivo. Cancer Lett. 2004, 203, 127–137. [Google Scholar] [CrossRef]
  17. Liu, C.S.; Zheng, Y.R.; Zhang, Y.F.; Long, X.Y. Research progress on berberine with a special focus on its oral bioavailability. Fitoterapia 2016, 109, 274–282. [Google Scholar] [CrossRef]
  18. Zhang, Z.H.; Zhang, H.J.; Deng, A.J.; Wang, B.; Li, Z.H.; Liu, Y.; Wu, L.Q.; Wang, W.J.; Qin, H.L. Synthesis and structure-activity relationships of quaternary coptisine derivatives as potential anti-ulcerative aolitis agents. J. Med. Chem. 2015, 58, 7557–7571. [Google Scholar] [CrossRef]
  19. Zhang, Z.H.; Li, J.; Zhang, H.J.; Deng, A.J.; Wu, L.Q.; Li, Z.H.; Song, H.R.; Wang, W.J.; Qin, H.L. Versatile methods for synthesizing organic acid salts of quaternary berberine-type alkaloids as anti-ulcerative colitis agents. J. Asian Nat. Prod. Res. 2016, 18, 576–586. [Google Scholar] [CrossRef]
  20. Xie, M.; Zhang, H.J.; Deng, A.J.; Wu, L.Q.; Zhang, Z.H.; Li, Z.H.; Wang, W.J.; Qin, H.L. Synthesis and structure-activity relationships of N-dihydrocoptisine-8-ylidene aromatic amines and N-dihydrocoptisine-8-ylidene aliphatic amides as antiulcerative colitis agents targeting XBP1. J. Nat. Prod. 2016, 79, 775–783. [Google Scholar] [CrossRef]
  21. Song, L.; Zhang, H.J.; Deng, A.J.; Li, J.; Li, X.; Li, Z.H.; Zhang, Z.H.; Wu, L.Q.; Wang, S.Q.; Qin, H.L. Syntheses and structure-activity relationships on antibacterial and anti-ulcerative colitis properties of quaternary 13-substituted palmatines and 8-oxo-13-substituted dihydropalmatines. Bioorg. Med. Chem. 2018, 26, 2586–2598. [Google Scholar] [CrossRef] [PubMed]
  22. Zhang, Z.H.; Yan, Y.; Deng, A.J.; Zhang, H.J.; Li, Z.H.; Yuan, T.Y.; Fang, L.H.; Wu, L.Q.; Du, G.H.; Qin, H.L. Synthesis of quaternary 8-(1-acylethene-1-yl)-13-methylcoptisine chlorides and their selective growth inhibitory activity between human cancer cell lines and normal intestinal epithelial cell-6. Chin. Chem. Lett. 2018, 29, 131–135. [Google Scholar] [CrossRef]
  23. Qin, H.L.; Wu, L.Q.; Wang, B.; Zhang, H.J.; Zhang, Z.H.; Wang, W.J.; Deng, A.J.; Wang, N.; Li, Z.H.; Li, X.; et al. Berberine-Based Derivative and Preparation Method Thereof, Pharmaceutical Composition, and Antitumor Uses of Berberine-Based Derivative and Pharmaceutical Composition. China Patent CN107417695, 01 12 2017. [Google Scholar]
  24. Zhang, Z.H.; Deng, A.J.; Wu, L.Q.; Fang, L.H.; Yu, J.Q.; Li, Z.H.; Yuan, T.Y.; Wang, W.J.; Du, G.H.; Qin, H.L. Syntheses and structure-activity relationships in cytotoxicities of 13-substituted quaternary coptisine derivatives. Eur. J. Med. Chem. 2014, 86, 542–549. [Google Scholar] [CrossRef] [PubMed]
  25. Li, Q.L.; Deng, A.J.; Yan, Z.; Li, Z.H.; Wang, N.; Qin, H.L. Syntheses of alkyl-de-sanguinarine-N5-methyl derivatives and evaluation of in vitro growth inhibitory activities against cancer cell lines. Acta Pharm. Sin. 2018, 53, 1689–1695. [Google Scholar]
Sample Availability: Samples of compounds 1 and 2 are available from the authors.
Figure 1. Structure of quaternary berberine chloride (QBC) (1).
Figure 1. Structure of quaternary berberine chloride (QBC) (1).
Molecules 25 01871 g001
Scheme 1. Syntheses of compounds 2, 3, and 4a–m. Reagents and conditions: (a) NaNO2, concentrated HNO3, AcOH, 50°C, 1h; (b) SnCl2·2H2O, concentrated HCl, EtOH, reflux, 30min; (c) RCOCl, pyridine, CH2Cl2, room temperature (rt), 12h. R= a: p-trifluoromethylphenyl; b: Me; c: isopropyl; d: p-bromophenyl; e: phenyl; f: p-fluorophenyl; g: p-methylphenyl; h: m-methylphenyl; i: Et; j: n-Bu; k: p-methoxyphenyl; l: p-nitrophenyl; m: t-Bu.
Scheme 1. Syntheses of compounds 2, 3, and 4a–m. Reagents and conditions: (a) NaNO2, concentrated HNO3, AcOH, 50°C, 1h; (b) SnCl2·2H2O, concentrated HCl, EtOH, reflux, 30min; (c) RCOCl, pyridine, CH2Cl2, room temperature (rt), 12h. R= a: p-trifluoromethylphenyl; b: Me; c: isopropyl; d: p-bromophenyl; e: phenyl; f: p-fluorophenyl; g: p-methylphenyl; h: m-methylphenyl; i: Et; j: n-Bu; k: p-methoxyphenyl; l: p-nitrophenyl; m: t-Bu.
Molecules 25 01871 sch001
Scheme 2. Syntheses of compounds 5, 6al, and 7al. Reagents and conditions: (a) NaBH4, NiCl2·6H2O, THF/CH3OH, 66 °C, 20 min; (b) RCHO, NaBH(OCOCH3)3, AcOH, CH2Cl2, rt, 1h; (c) 2,3-dichloro-5,6-dicyano-1,4-benzoquinone (DDQ), CH2Cl2, 2N HCl, rt, 2h. R = al: CnH2n + 1 (n = 0–11).
Scheme 2. Syntheses of compounds 5, 6al, and 7al. Reagents and conditions: (a) NaBH4, NiCl2·6H2O, THF/CH3OH, 66 °C, 20 min; (b) RCHO, NaBH(OCOCH3)3, AcOH, CH2Cl2, rt, 1h; (c) 2,3-dichloro-5,6-dicyano-1,4-benzoquinone (DDQ), CH2Cl2, 2N HCl, rt, 2h. R = al: CnH2n + 1 (n = 0–11).
Molecules 25 01871 sch002
Scheme 3. Syntheses of compounds 8 and 9. Reagents and conditions: (a) RCHO, NaBH(OCOCH3)3, AcOH, CH2Cl2, rt, 1h; (b) I2, absolute EtOH, reflux, 24h.
Scheme 3. Syntheses of compounds 8 and 9. Reagents and conditions: (a) RCHO, NaBH(OCOCH3)3, AcOH, CH2Cl2, rt, 1h; (b) I2, absolute EtOH, reflux, 24h.
Molecules 25 01871 sch003
Figure 2. Effects of the active compounds inhibiting HCT-8 growth (n = 3).
Figure 2. Effects of the active compounds inhibiting HCT-8 growth (n = 3).
Molecules 25 01871 g002
Figure 3. Effects of the active compounds inhibiting Bel7402 growth (n = 3).
Figure 3. Effects of the active compounds inhibiting Bel7402 growth (n = 3).
Molecules 25 01871 g003
Figure 4. Effects of the active compounds inhibiting Hela growth (n = 3).
Figure 4. Effects of the active compounds inhibiting Hela growth (n = 3).
Molecules 25 01871 g004
Figure 5. Effects of the active compounds inhibiting A549 growth (n = 3).
Figure 5. Effects of the active compounds inhibiting A549 growth (n = 3).
Molecules 25 01871 g005
Figure 6. Effects of the active compounds inhibiting BGC-823 growth (n = 3).
Figure 6. Effects of the active compounds inhibiting BGC-823 growth (n = 3).
Molecules 25 01871 g006
Table 1. IC50 values of the active compounds inhibiting human cancer cell growth (μM).
Table 1. IC50 values of the active compounds inhibiting human cancer cell growth (μM).
CompoundsHCT-8Bel7402HeLaA549BGC-823
Fluorouracil (5-FU)8.005.617.846.497.15
QBC35.1626.267.0320.7019.20
250.3631.4117.2950.4127.89
3- a- a56.3241.1090.57
594.6357.2962.3391.33- a
6a34.7934.3931.0955.9638.19
6b32.6841.9826.3735.4760.62
6c29.6832.0218.7231.2122.53
6d12.8116.389.7411.4010.43
6e17.2822.9214.5419.0312.34
6f18.0728.7813.0914.7318.29
6g26.8054.0026.4319.1617.88
6h26.2242.7626.8017.3118.54
6i- a- a62.7873.3859.13
6j- a- a44.7747.1781.70
7a53.4150.018.9513.3728.82
7b14.2928.342.147.147.83
7c5.636.031.575.266.07
7d2.212.570.530.541.04
7e0.921.300.820.900.75
7f0.950.800.360.290.94
7g0.490.510.26- a0.35
7h1.403.210.550.460.11
7i2.152.590.950.660.28
7j9.5116.212.141.291.42
7k20.7118.9010.447.878.18
7l31.4823.4027.3026.3220.89
a Data not available.

Share and Cite

MDPI and ACS Style

Wang, B.; Deng, A.-J.; Li, Z.-H.; Wang, N.; Qin, H.-L. Syntheses and Structure–Activity Relationships in Growth Inhibition Activity against Human Cancer Cell Lines of 12 Substituted Berberine Derivatives. Molecules 2020, 25, 1871. https://doi.org/10.3390/molecules25081871

AMA Style

Wang B, Deng A-J, Li Z-H, Wang N, Qin H-L. Syntheses and Structure–Activity Relationships in Growth Inhibition Activity against Human Cancer Cell Lines of 12 Substituted Berberine Derivatives. Molecules. 2020; 25(8):1871. https://doi.org/10.3390/molecules25081871

Chicago/Turabian Style

Wang, Bo, An-Jun Deng, Zhi-Hong Li, Nan Wang, and Hai-Lin Qin. 2020. "Syntheses and Structure–Activity Relationships in Growth Inhibition Activity against Human Cancer Cell Lines of 12 Substituted Berberine Derivatives" Molecules 25, no. 8: 1871. https://doi.org/10.3390/molecules25081871

APA Style

Wang, B., Deng, A.-J., Li, Z.-H., Wang, N., & Qin, H.-L. (2020). Syntheses and Structure–Activity Relationships in Growth Inhibition Activity against Human Cancer Cell Lines of 12 Substituted Berberine Derivatives. Molecules, 25(8), 1871. https://doi.org/10.3390/molecules25081871

Article Metrics

Back to TopTop