Next Article in Journal
Removal of V(V) From Solution Using a Silica-Supported Primary Amine Resin: Batch Studies, Experimental Analysis, and Mathematical Modeling
Next Article in Special Issue
Multitarget Anticancer Agents Based on Histone Deacetylase and Protein Kinase CK2 Inhibitors
Previous Article in Journal
NMR-Based Plant Metabolomics in Nutraceutical Research: An Overview
Previous Article in Special Issue
Understanding the Pyrimethamine Drug Resistance Mechanism via Combined Molecular Dynamics and Dynamic Residue Network Analysis
 
 
Font Type:
Arial Georgia Verdana
Font Size:
Aa Aa Aa
Line Spacing:
Column Width:
Background:
Article

Design, Synthesis and Biological Evaluation of Phenyl Urea Derivatives as IDO1 Inhibitors

1
Beijing Key Laboratory of Active Substances Discovery and Druggability Evaluation, Institute of Materia Medica, Chinese Academy of Medical Sciences and Peking Union Medical College, Beijing 100050, China
2
State Key Laboratory of Bioactive Substance and Function of Natural Medicines, Institute of Materia Medica, Chinese Academy of Medical Sciences and Peking Union Medical College, Beijing 100050, China
*
Authors to whom correspondence should be addressed.
Molecules 2020, 25(6), 1447; https://doi.org/10.3390/molecules25061447
Submission received: 3 March 2020 / Revised: 18 March 2020 / Accepted: 19 March 2020 / Published: 23 March 2020
(This article belongs to the Special Issue Design, Synthesis, and Biological Evaluation of Enzyme Inhibitors)

Abstract

Indoleamine 2,3-dioxygenase 1 (IDO1) is a heme-containing intracellular enzyme that catalyzes the first and rate-determining step of tryptophan metabolism and is an important immunotherapeutic target for the treatment of cancer. In this study, we designed and synthesized a new series of compounds as potential IDO1 inhibitors. These compounds were then evaluated for inhibitory activity against IDO1 and tryptophan 2,3-dioxygenase (TDO). Among them, the three phenyl urea derivatives i12, i23, i24 as showed potent IDO1 inhibition, with IC50 values of 0.1–0.6 μM and no compound exhibited TDO inhibitory activity. Using molecular docking, we predicted the binding mode of compound i12 within IDO1. Compound i12 was further investigated by determining its in vivo pharmacokinetic profile and anti-tumor efficacy. The pharmacokinetic study revealed that compound i12 had satisfactory properties in mice, with moderate plasma clearance (22.45 mL/min/kg), acceptable half-life (11.2 h) and high oral bioavailability (87.4%). Compound i12 orally administered at 15 mg/kg daily showed tumor growth inhibition (TGI) of 40.5% in a B16F10 subcutaneous xenograft model and 30 mg/kg daily showed TGI of 34.3% in a PAN02 subcutaneous xenograft model. In addition, the body weight of i12-treated mice showed no obvious reduction compared with the control group. Overall, compound i12 is a potent lead compound for developing IDO1 inhibitors and anti-tumor agents.

1. Introduction

The tryptophan/kynurenine pathway plays an important role in cancer immunotherapy [1]. Activation of this pathway promotes the degradation of tryptophan and leads to the formation of kynurenine and other bioactive metabolites, such as 3-hydroxykynurenine and 3-hydroxyanthranilic acid. A local depletion of tryptophan induces T cell cycle arrest and the accumulation of tryptophan metabolites converses naïve T cells into regulatory T cells and induces T cell apoptosis. These exert a local immunosuppressive effect which can lead to tumor progression and recurrence [2,3,4].
Indoleamine 2, 3-dioxygenase 1 (IDO1, EC 1.13.11.52) catalyzes the initial and rate-limiting step in the catabolism of tryptophan along the kynurenine pathway [5]. Cancer cells and a variety of immune cells in the tumor microenvironment are shown to overexpress IDO1, which is often associated with worse response to anticancer therapies and decreased survival of cancer patients [6,7]. Inhibition of IDO1 was shown to increase the therapeutic efficacy of cancer vaccines, immune checkpoint inhibitors, or chemotherapy in multiple clinical mouse models [8,9,10]. On this basis, several IDO1 inhibitors have been developed and are currently under clinical development (Figure 1) [1].
In this study, a new series of compounds were designed based on the phenyl urea scaffold in order to search for new IDO1 inhibitors. The compounds were synthesized and their IDO1/TDO inhibitory activities were determined. The in vivo pharmacokinetic profile and anti-tumor efficacy of a potent IDO1 inhibitor were evaluated to explore its potential as an anti-tumor agent.

2. Results and Discussion

2.1. Design Strategies of the Compounds

It was disclosed that the compound BMS-E30 showed potent IDO1 inhibitory activity (IC50 = 0.7 nM) in the IDO1 kynurenine assay with human IDO1/HEK 293 cells (Scheme 1) [11], however, its enzyme inhibitory activity was relatively weak with an IC50 of 8.569 μM (Table 1). The lack of heme-coordinating element distinguished compound BMS-E30 from other IDO1 inhibitors in the literature. We considered that BMS-E30 effectively inhibited IDO1 by targeting its apo-form subsequent to the disclosure of the IDO1/BMS-978587 crystal structure (6AZV) because the structures of BMS-E30 and BMS-978587 were similar (Scheme 1) [12]. Considering the two flexible chains of diisobutylamino group in compound BMS-E30, a new series of compounds were designed by replacing the diisobutylamino group with a 3,5-dimethylpiperidinyl group for reducing the entropy loss of binding IDO1. The peripheral phenyl urea group was also modified to explore the structure-activity relationship (SAR) which was used for further optimization to obtain better IDO1 inhibitors.

2.2. Synthesis of Selected Compounds

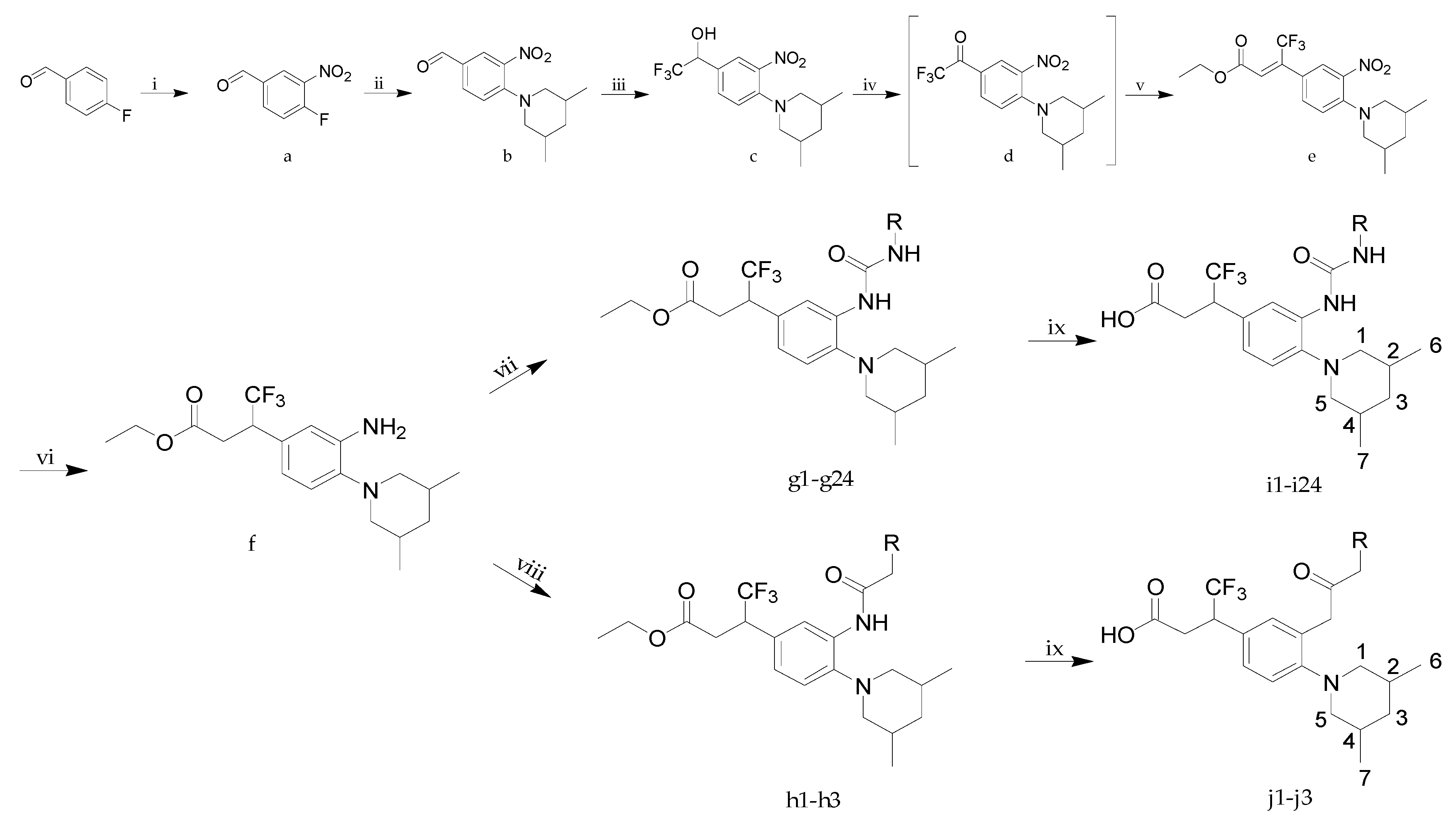
In Scheme 2, nitration of 4-fluorobenzaldehyde was performed with nitric acid and sulfuric acid to produce compound a [13]. Under basic conditions, compound b was obtained through a nucleophilic aromatic substitution reaction with 3,5-dimethylpiperidine. An aldehyde group addition reaction was performed in the presence of (trifluoromethyl)trimethylsilane to obtain compound c [14], which was oxidized to compound d with Dess-Martin periodinane. Compound e was prepared by a Horner-Wadsworth-Emmons reaction reaction of d with triethyl phosphonoacetate. The double bond and nitro group were reduced simultaneously with palladium on carbon under a hydrogen atmosphere to give compound f. Treatment of compound f with a suitable isocyanate afforded compounds g1g24, which were further subjected to hydrolysis to obtain final products i1i24. HATU-mediated amide coupling reaction between compound f and a suitable p-substituted phenylacetic acid formed the intermediates h1h3, which were converted into the final products j1j3 by hydrolysis reactions.

2.3. In Vitro Biological Evaluation

We prepared the compounds using the synthetic scheme in Section 2.2 and these compounds were screened in vitro for their IDO1 and TDO inhibitory activities. The reported IDO1 inhibitor epacadostat was used as the reference compound in this study [15].
As shown in Table 1, compounds g1g3 showed no IDO1 inhibitory activity. When the carboxyl group in compounds i1i3 was exposed by hydrolysis, IDO1 inhibitory activity appeared. The enzymatic results of compounds g1g3 and i1i3 indicated that the carboxyl group plays a critical role in the binding activity. In addition, the replacement of phenyl ring with a cyclohexyl group (compound i4) or an n-hexyl group (compound i5) resulted in loss of inhibition. This suggested that phenyl ring is important for the binding activity.
Modification of the benzene ring of compound i1 was performed and the results are presented in Table 2. When the ortho-position or the meta-position was substituted by CH3 (i6, i7), Cl (i8, i9), CN (i10, i11) or OCH3 (i13, i14), respectively, the obtained compounds lost all IDO1 inhibitory activity. However, p-substituted phenyl urea derivatives (i2, i3, i12 and i15) showed more potent IDO1 inhibitory activity than the unsubstituted i1.
The o,p-disubstituted phenyl urea derivatives, bearing o,p-difluoro (i16) or o,p-dichloro (i17) substituents, were also explored and had no inhibitory activities. These results demonstrated a strong preference for para-substitution.
At the para-position, substitution with other halogens such as fluorine (i18, 5.475 μM) and bromine (i19, 4.077 μM) had similar activity as chlorine (i3, 5.687 μM). In addition, small para-alkyl substituents (i2, 8.613 μM; i20, 9.975 μM) produced inhibition against IDO1, whereas substitution with an isopropyl group (i21) led to the loss of activity. This result suggested that the size of the para-substituent on the benzene ring cannot be too large. Further optimization revealed that substitution with electron withdrawing groups at the para-position was beneficial for the activity (i12, 0.331 μM; i23, 0.415 μM; i24, 0.157 μM) and the p-NO2 derivative (i24) was 55-fold more potent than compound BMS-E30.
Finally, replacement of proximal NH of the urea with methylene was also investigated. The observation that phenylacetamide derivatives j1, j2, j3 had no inhibitory activity was suggestive that the proximal NH was crucial to IDO1 potency. As shown in Table 1 and Table 2, none of the synthesized compounds showed inhibitory activity against TDO, which demonstrated that the phenyl urea derivatives were selective IDO1 inhibitors.
In summary, compound i24 showed the most potent IDO1 inhibitory activity based on the SAR study, however, it contains a nitro group which is considered to be easily metabolized and toxic in vivo [16,17,18], so the second most potent IDO1 inhibitor i12 was used as the lead compound for further study.

2.4. Predicted Binding Mode of Compound i12 with IDO1

The molecular docking study was performed to investigate the binding mode of compound i12 with IDO1 (6AZV) by using CDOCKER protocol integrated in Accelrys Discovery Studio [12,19]. As shown in Figure 2, the carboxylic group in compound i12 forms hydrogen bonds with the backbone amide of Ala-264 and with His-346, which is supposed to make critical contributions to the binding since the carboxylic group is an essential pharmacophore as SAR demonstrated.
The phenyl urea group in compound i12 binds via edge-to-face π-interaction with Tyr126 and hydrogen bonds with Ser167, which is also important for potency and is consistent with the SAR results. The peripheral phenyl ring was placed into the hydrophobic pocket where it is suited to extend a small para-substituent, which explained the loss of activity of compounds bearing bulky substituents or substituents at the ortho- and meta-positions. Particularly, electron-withdrawing groups at the para-position of the benzene ring were beneficial to the phenyl urea group as hydrogen bond donors, providing a rationale for 100-fold improvement in IDO1 inhibitory activity observed when compound i12 is compared to compound i1.

2.5. Pharmacokinetic Study of Compound i12

Compound i12 was further evaluated in in vivo pharmacokinetic study using male C57BL/6 mice. The plasma concentration-time profiles are shown in Figure 3 and the pharmacokinetic parameters were determined by non-compartmental analysis (Table 3).
When intravenously administered at a dose of 3 mg/kg, compound i12 had moderate clearance of 22.45 mL/min/kg and an extensive distribution in tissues with Vss value of 15.80 L/kg. After an oral administration of 30 mg/kg, compound i12 was absorbed with Tmax value of 2 h and Cmax value of 2702 ng/mL. Compound i12 was eliminated slowly with a half-time of 11.2 h and showed reasonable oral exposure with AUC(0–∞) value of 11,523 h·ng/mL. The oral bioavailability of compound i12 was determined to be 87.4%, supporting a further evaluation of its in vivo efficacy.

2.6. In Vivo Anti-Tumor Efficacy Study of Compound i12

Compound i12 was tested for its in vivo antitumor activities in melanoma and pancreatic cancer xenograft models (Figure 4 and Figure 5). In a mouse B16F10 subcutaneous xenograft model, compound i12 orally administered at 15 mg/kg daily demonstrated obvious in vivo anti-tumor activity and showed tumor growth inhibition (TGI) of 40.5%. In addition, the body weight of i12-treated mice showed no significant changes compared with the control group. The classic first line anti-cancer drug cyclophosphamide (CTX) was used as the reference drug.
We also evaluated compound i12 in a PAN02 pancreatic cancer xenograft model, in which compound i12 oral treatment resulted in a 34.3% decrease in tumor weight at a dose of 30 mg/kg daily compared with the control group.

3. Experimental Section

3.1. General Information

Reagents and solvents were obtained from commercial suppliers and used as received. 1H-NMR spectra were obtained on a 400 MHz Mercury NMR spectrometer (Varian, San Diego, CA, USA). Electrospray ionization (ESI) mass spectra and high-resolution mass spectroscopy (HRMS) were performed with a liquid chromatograph/mass selective detector time-of-flight mass spectrometer (LC/MSD TOF, Agilent Technologies, Santa Clara, CA, USA). Silica gel column chromatography was performed with silica gel 60G (Qingdao Haiyang Chemical, Qingdao, China). Purity was determined using HPLC, LC/MS and NMR spectroscopy (Supplementary Materials). All of the synthesized compounds have purities over 95%.

3.1.1. Preparation of 4-Fluoro-3-nitro-benzaldehyde (a)

To a solution of sulfuric acid (24 mL) and nitric acid (3 mL) was slowly added 4-fluoro-benzaldehyde (6 g, 48.3 mmol) at −5 °C. The reaction mixture was stirred at room temperature for 2 h, poured onto ice and extracted with ethyl acetate (200 mL). The organic extract was washed with brine (60 mL × 2), dried over anhydrous Na2SO4 and concentrated. The residue was purified by column chromatography (silica gel, PE/EA = 30:1, v/v) to afford compound a as a light yellow solid (7.8 g, 95.4% yield). 1H-NMR (CDCl3): δ 10.05 (s, 1H, CHO), 8.60 (dd, J = 7.0, 1.7 Hz, 1H, H-phenyl), 8.21 (ddd, J = 8.6, 4.2, 2.1 Hz, 1H, H-phenyl), 7.51 (dd, J = 9.9, 8.7 Hz, 1H, H-phenyl). HRMS (ESI) m/z: [M + H]+ calculated for C7H5O3NF, 170.02480; found, 170.02446, Δ −1.99 ppm.

3.1.2. Preparation of 4-(3,5-Dimethylpiperidin-1-yl)-3-nitro-benzaldehyde (b)

To a solution of 4-fluoro-3-nitrobenzaldehyde (a, 5.9 g, 34.9 mmol) in dichloromethane (100 mL) was added 3,5-dimethylpiperidine (5.9 g, 52.1 mmol) and ethylamine (5.3 g, 52.4 mmol) at 0 °C. The resulting mixture was stirred at room temperature for 0.5 h, poured into water (200 mL) and extracted with dichloromethane (200 mL × 2). The combined organic layers were washed with 1N HCl aqueous solution (150 mL × 2), saturated NaCl aqueous solution (150 mL × 2), dried over anhydrous Na2SO4 and concentrated. The residue was purified by column chromatography (silica gel, PE/EA = 10:1, v/v) to afford the product b as a yellow solid (8.6 g, 93.5% yield). 1H-NMR (DMSO-d6): δ 9.82 (s, 1H, CHO), 8.31 (s, 1H, H-phenyl), 7.90 (t, J = 9.8 Hz, 1H, H-phenyl), 7.39 (d, J = 8.6 Hz, 1H, 1H-phenyl), 3.30 (d, J = 12.9 Hz, 2H, CHa-1 and CHa-5), 2.58 (t, J = 12.0 Hz, 2H, CHb-1 and CHb-5), 1.84–1.65 (m, 3H, CHa-3, CH-2, CH-4), 0.92–0.74 (m, 8H, CH3-6, CH3-7 and CHb-3). HRMS (ESI) m/z: [M + H]+ calculated for C14H19O3N2, 263.13902; found, 263.13876, Δ −0.98 ppm.

3.1.3. Preparation of 1-[4-(3,5-Dimethylpiperidin-1-yl)-3-nitro-phenyl]-2,2,2-trifluoroethanol (c)

To a solution of 4-(3,5-dimethylpiperidin-1-yl)-3-nitrobenzaldehyde (b, 4.2 g, 16.0 mmol) and trimethyl(trifluoromethyl)silane (4.6 g, 32.0 mmol) in dimethylformamide (40 mL) was added potassium carbonate (4.4 g, 32.0 mmol) at 0 °C. The resulting mixture was warmed to room temperature and stirred for 12 h. The mixture was then treated with 40 mL of 1 mol/L HCl aqueous solution, stirred for another 30 min, poured into water (200 mL) and extracted with ethyl acetate (200 mL × 2). The organic extract was washed with saturated NaCl aqueous solution (150 mL × 3), dried over anhydrous Na2SO4 and concentrated. The residue was purified by column chromatography (silica gel, PE/EA = 8:1, v/v) to afford the product c as a brown red oil (4.6 g, 86.8% yield). 1H-NMR (DMSO-d6): δ 7.91 (d, J = 1.9 Hz, 1H, H-phenyl), 7.64 (dd, J = 8.6, 1.7 Hz, 1H, H-phenyl), 7.31 (dd, J = 8.7, 2.5 Hz, 1H, H-phenyl), 7.00–6.94 (m, 1H, CH), 5.24 (d, J = 7.0 Hz, 1H, OH), 3.13 (dd, J = 12.0, 1.5 Hz, 2H, CHa-1 and CHa-5), 2.38 (t, J = 11.5 Hz, 2H, CHb-1 and CHb-5), 1.81–1.65 (m, 3H, CHa-3, CH-2, CH-4), 0.85 (d, J = 6.5 Hz, 6H, CH3-6, CH3-7), 0.69 (q, J = 9.6 Hz, 1H, CHb-3). HRMS (ESI) m/z: [M + H]+ calculated for C15H20O3N2F3, 333.14205; found, 333.14246, Δ 1.22 ppm.

3.1.4. Preparation of 3-[4-(3,5-Dimethylpiperidin-1-yl)-3-nitrophenyl]-4,4,4-trifluorobut-2-enoic Acid Ethyl Ester (e)

To a solution of 1-[4-(3,5-dimethylpiperidin-1-yl)-3-nitrophenyl]-2,2,2-trifluoroethanol (c, 4.2 g, 12.6 mmol) in dichloromethane (200 mL) at 0 °C was added sodium bicarbonate (3.2 g, 37.8 mmol) followed by Dess-Martin periodinane (8.0 g, 18.9 mmol). The resulting solution was warmed to room temperature and stirred for 2 h. The reaction mixture was then diluted with saturated NaHCO3 aqueous solution (100 mL) and stirred for another 30 min. The organic layer was separated and washed with saturated NaCl aqueous solution (100 mL × 2), dried over anhydrous Na2SO4 and concentrated. The residue was preliminarily purified by column chromatography (silica gel, PE/EA = 20:1, v/v) to afford crude product d as a yellow solid. The crude product d was used directly without further purification. Next ethyl 2-(diethoxyphosphoryl)acetate (1.1 g, 4.9 mmol) was added to a solution of NaH (2.28 mg, 5.7 mmol) in dry tetrahydrofuran at 0 °C. The reaction mixture became a clear solution after stirring for 30 min. The crude product d in dry tetrahydrofuran was then added. The resulting mixture was warmed to room temperature, stirred for 2 h, quenched with saturated NH4Cl aqueous solution (10 mL). The aqueous layer was further extracted with ethyl acetate (50 mL × 2) and the combined organic extracts were washed with saturated NaCl aqueous solution (50 mL × 2), dried over anhydrous Na2SO4 and concentrated. The residue was purified by column chromatography (silica gel, PE/EA = 40:1, v/v) to afford the product e as an orange yellow oil (1.64 g, 32.5% yield). 1H-NMR (DMSO-d6): δ 7.73 (d, J = 2.2 Hz, 1H, H-phenyl), 7.44 (dd, J = 8.7, 2.0 Hz, 1H, H-phenyl), 7.32 (dd, J = 8.8, 2.8 Hz, 1H, H-phenyl), 6.86 (s, 1H, =CH), 4.04 (q, J = 7.2 Hz, 2H, CH2), 3.21–3.13 (m, 2H, CHa-1 and CHa-5), 2.44 (t, J = 11.7 Hz, 2H, CHb-1 and CHb-5), 1.83–1.64 (m, 3H, CHa-3, CH-2, CH-4), 1.04 (t, J = 7.2 Hz, 3H, CH3), 0.85 (d, J = 6.5 Hz, 6H, CH3-6, CH3-7), 0.73 (q, J = 11.8 Hz, 1H, CHb-3). HRMS (ESI) m/z: [M + H]+ calculated for C15H20O3N2F3, 401.16827; found, 401.16788, Δ −0.97 ppm.

3.1.5. Preparation of 3-[3-Amino-4-(3,5-dimethylpiperidin-1-yl)-phenyl]-4,4,4-trifluorobutyric Acid Ethyl Ester (f)

To a solution of 3-[4-(3,5-dimethylpiperidin-1-yl)-3-nitrophenyl]-4,4,4-trifluorobut-2-enoic acid ethyl ester (e, 2.4 g, 6.0 mmol) in dry tetrahydrofuran (60 mL) was added palladium on carbon (640 mg, 10% Pd/C, 0.6 mmol) and the suspension was hydrogenated (1 atm, balloon) for 2 h. Thin layer chromatography (TLC) indicated completion. The suspension was filtered through a pad of Celite and the filter cake was rinsed with ethyl acetate (50 mL × 3). The combined filtrate and rinses were concentrated and the residue was purified by column chromatography (silica gel, PE/EA = 30:1, v/v) to afford the product f as a colorless oil (945 mg, 42.3% yield). 1H-NMR (DMSO-d6): δ 6.82 (d, J = 8.1 Hz, 1H, H-phenyl), 6.67 (d, J = 1.7 Hz, 1H, H-phenyl), 6.54 (dd, J = 8.0, 1.8 Hz, 1H, H-phenyl), 4.76 (s, 2H, NH2), 4.07–3.93 (m, 2H, CH2), 3.85–3.70 (m, 1H, CH), 3.02–2.76 (m, 4H, CH2, CHa-1 and CHa-5), 2.00 (td, J = 10.9, 4.4 Hz, 2H, CHb-1 and CHb-5), 1.86–1.70 (m, 3H, CHa-3, CH-2, CH-4), 1.08 (t, J = 7.1 Hz, 3H, CH3), 0.85 (d, J = 6.4 Hz, 6H, CH3-6, CH3-7), 0.68–0.56 (m, 1H, CHb-3). HRMS (ESI) m/z: [M + H]+ calculated for C15H20O3N2F3, 373.20974; found, 373.20999, Δ 0.67 ppm.

3.1.6. General Procedure A for the Synthesis of g1g24

To a solution of 3-[3-amino-4-(3,5-dimethylpiperidin-1-yl)-phenyl]-4,4,4-trifluorobutyric acid ethyl ester (f, 1 equiv.) in tetrahydrofuran was added a suitable isocyanate (1 equiv.). The reaction mixture was stirred at room temperature until the starting material disappeared in TLC. The reaction mixture was concentrated and the residue was purified by column chromatography (silica gel, PE/EA = 8:1, v/v) to afford the products g1g24.

3.1.7. General Procedure B for the Synthesis of i1–i24 and j1–j3

To a solution of compound g1–g24 or h1–h3 (1 equiv.) in tetrahydrofuran (4 volumes), methanol (1 volume) and water (1 volume) was added sodium hydroxide (3 equiv.). The resulting mixture was stirred at room temperature until the starting material disappeared in TLC. Part of the tetrahydrofuran and methanol was removed in vacuo and the crude was diluted with water (2 volumes) and the pH was adjusted to ca. 4 using 1 N HCl solution. The aqueous phase was then extracted with ethyl acetate (15 v × 3) and the combined organic extracts were washed with saturated NaCl solution, dried over anhydrous Na2SO4 and concentrated. The residue was purified by column chromatography (silica gel, DCM/MeOH = 30:1, v/v) to afford the products i1–i24 or j1–j3.

3.1.8. Preparation of Racemic 3-[4-(3,5-dimethylpiperidin-1-yl)-3-(3-phenylureido)-phenyl]-4,4,4-trifluorobutyric Acid Ethyl Ester (g1)

Reaction of compound f and phenyl isocyanate following the general procedure A afforded compound g1 (white solid, 85.3% yield). 1H-NMR (DMSO-d6): δ 9.54 (s, 1H, NH), 8.14 (d, J = 1.6 Hz, 1H, H-phenyl), 8.07 (s, 1H, NH), 7.49 (d, J = 7.9 Hz, 2H, H-phenyl), 7.29 (t, J = 7.8 Hz, 2H, H-phenyl), 7.13 (d, J = 8.2 Hz, 1H, H-phenyl), 7.02–6.95 (m, 2H, H-phenyl), 4.07–3.87 (m, 3H, CH2, CH), 3.07–2.79 (m, 4H, CH2, CHa-1 and CHa-5), 2.14 (t, J = 10.3 Hz, 2H, CHb-1 and CHb-5), 2.06–1.91 (m, 2H, CH-2, CH-4), 1.80 (d, J = 12.7 Hz, 1H, CHa-3), 1.08 (t, J = 7.1 Hz, 3H, CH3), 0.87 (d, J = 6.6 Hz, 6H, CH3-6, CH3-7), 0.67 (q, J = 12.0 Hz, 1H, CHb-3). 13C-NMR (DMSO-d6): δ 169.61, 152.54, 141.92, 139.82, 134.19, 129.17, 128.87 (2C), 128.14, 122.53, 122.04, 120.38, 119.34, 118.56 (2C), 60.48, 59.72 (2C), 45.02, 41.62, 33.81, 30.87 (2C), 19.33 (2C), 13.92. HRMS (ESI) m/z: [M + H]+ calculated for C26H33O3N3F3, 492.24685; found, 492.24582, Δ −2.10 ppm.

3.1.9. Preparation of Racemic 3-[4-(3,5-dimethylpiperidin-1-yl)-3-(3-phenylureido)-phenyl]-4,4,4-trifluorobutyric Acid (i1)

Hydrolysis of compound g1 (80 mg, 0.16 mmol) following the general procedure B afforded compound h1 (white solid, 61 mg, 80.7% yield). mp: 94.1–95.7 °C. 1H-NMR (DMSO-d6): δ 12.61 (s, 1H, COOH), 9.58 (s, 1H, NH), 8.14 (d, J = 1.9 Hz, 1H, H-phenyl), 8.09 (s, 1H, NH), 7.49 (dd, J = 8.6, 1.0 Hz, 2H, H-phenyl), 7.33–7.26 (m, 2H, H-phenyl), 7.13 (d, J = 8.2 Hz, 1H, H-phenyl), 7.02–6.95 (m, 2H, H-phenyl), 3.95–3.83 (m, 1H, CH), 2.97–2.71 (m, 4H, CH2, CHa-1 and CHa-5), 2.14 (td, J = 11.2, 3.7 Hz, 2H, CHb-1 and CHb-5), 2.05–1.91 (m, 2H, CH-2, CH-4), 1.80 (d, J = 12.8 Hz, 1H, CHa-3), 0.87 (d, J = 6.6 Hz, 6H, CH3-6, CH3-7), 0.66 (q, J = 12.4 Hz, 1H, CHb-3). HRMS(ESI) m/z: [M + H]+ calculated for C24H29O3N3F3, 464.21555; found, 464.21466, Δ −1.92 ppm.

3.1.10. Preparation of Racemic 3-[4-(3,5-dimethylpiperidin-1-yl)-3-(3-p-tolylureido)phenyl]-4,4,4-trifluorobutyric Acid Ethyl Ester (g2)

Reaction of compound f and p-tolyl isocyanate following the general procedure A afforded compound g2 (white solid, 86.1% yield). 1H-NMR (DMSO-d6): δ 9.42 (s, 1H, NH), 8.14 (d, J = 2.0 Hz, 1H, H-phenyl), 8.02 (s, 1H, NH), 7.38–7.35 (m, 2H, H-phenyl), 7.15–7.07 (m, 3H, H-phenyl), 6.97 (dd, J = 8.2, 2.0 Hz, 1H, H-phenyl), 4.07–3.88 (m, 3H, CH2, CH), 3.06–2.79 (m, 4H, CH2, CHa-1 and CHa-5), 2.25 (s, 3H, CH3-phenyl), 2.13 (td, J = 11.2, 2.0 Hz, 2H, CHb-1 and CHb-5), 2.02–1.90 (m, 2H, CH-2, CH-4), 1.79 (d, J = 13.1 Hz, 1H, CHa-3), 1.07 (t, J = 6.8 Hz, 3H, CH3), 0.86 (d, J = 6.6 Hz, 6H, CH3-6, CH3-7), 0.66 (q, J = 12.4 Hz, 1H, CHb-3). 13C-NMR (DMSO-d6): δ 169.61, 152.59, 141.81, 137.19, 134.32, 130.95, 129.28 (2C), 129.20, 122.40, 120.39, 119.19, 118.79 (2C), 118.27, 60.48, 59.71 (2C), 44.90, 41.62, 33.81, 30.87 (2C), 20.42, 19.33 (2C), 13.92. HRMS (ESI) m/z: [M + H]+ calculated for C27H35O3N3F3, 506.26250; found, 506.26242, Δ −0.16 ppm.

3.1.11. Preparation of Racemic 3-[4-(3,5-dimethylpiperidin-1-yl)-3-(3-p-tolylureido)phenyl]-4,4,4-trifluorobutyric Acid (i2)

Hydrolysis of compound g2 (140 mg, 0.28 mmol) following the general procedure B afforded compound i2 (white solid, 113 mg, 85.4% yield). mp: 134.3–136.1 °C. 1H-NMR (DMSO-d6): δ 12.50 (s, 1H, COOH), 9.45 (s, 1H, NH), 8.15 (d, J = 1.8 Hz, 1H, H-phenyl), 8.04 (s, 1H, NH), 7.37 (d, J = 8.4 Hz, 2H, ArH-phenyl), 7.15–7.06 (m, 3H, H-phenyl), 6.97 (dd, J = 8.2, 1.8 Hz, 1H, H-phenyl), 3.96–3.82 (m, 1H, CH), 2.99–2.75 (m, 4H, CH2, CHa-1 and CHa-5), 2.25 (s, 3H, -CH3, CH3-phenyl), 2.13 (td, J = 11.1, 3.3 Hz, 2H, CHb-1 and CHb-5), 2.03–1.89 (m, 2H, CH-2, CH-4), 1.79 (d, J = 12.7 Hz, 1H, CHa-3), 0.86 (d, J = 6.6 Hz, 6H, CH3-6, CH3-7), 0.66 (q, J = 12.0 Hz, 1H, CHb-3). 13C-NMR (DMSO-d6): δ 171.05, 152.62, 141.76, 137.22, 134.36, 130.95, 129.48, 129.28 (2C), 126.88, 122.49, 120.39, 119.17, 118.82 (2C), 59.75 (2C), 45.14, 41.65, 33.80, 30.87 (2C), 20.42, 19.33 (2C). HRMS (ESI) m/z: [M + H]+ calculated for C25H31O3N3F3, 478.23120; found, 478.23230, Δ 2.29 ppm.

3.1.12. Preparation of Racemic 3-[3-[3-(4-chlorophenyl)-ureido]-4-(3,5-dimethylpiperidin-1-yl)-phenyl]-4,4,4-trifluorobutyric Acid Ethyl Ester (g3)

Reaction of compound f and 4-chlorophenyl isocyanate following the general procedure A afforded compound g3 (white solid, 83.4% yield). 1H-NMR (DMSO-d6): δ 9.69 (s, 1H, NH), 8.14 (d, J = 1.9 Hz, 1H, H-phenyl), 8.09 (s, 1H, NH), 7.55–7.49 (m, 2H, H-phenyl), 7.37–7.31 (m, 2H, H-phenyl), 7.14 (d, J = 8.2 Hz, 1H, H-phenyl), 7.00 (dd, J = 8.2, 1.9 Hz, 1H, H-phenyl), 4.07–3.88 (m, 3H, CH2, CH), 3.07–2.76 (m, 4H, CH2, CHa-1 and CHa-5), 2.14 (t, J = 10.6 Hz, 2H, CHb-1 and CHb-5), 2.06–1.91 (m, 2H, CH-2, CH-4), 1.80 (d, J = 12.9 Hz, 1H, CHa-3), 1.07 (t, J = 7.2 Hz, 3H, CH3), 0.87 (d, J = 6.6 Hz, 6H, CH3-6, CH3-7), 0.67 (q, J = 12.4 Hz, 1H, CHb-3). 13C-NMR (DMSO-d6): δ 169.59, 152.40, 141.96, 138.84, 134.02, 129.22, 128.72 (2C), 125.51, 122.73, 120.44, 120.21, 119.96 (2C), 119.32, 60.48, 59.72 (2C), 45.00, 41.61, 33.79, 30.88 (2C), 19.32 (2C), 13.92. HRMS (ESI) m/z: [M + H]+ calculated for C26H32O3N3ClF3, 526.20788; found, 526.20862, Δ 1.41 ppm.

3.1.13. Preparation of Racemic 3-[3-[3-(4-chlorophenyl)ureido]-4-(3,5-dimethylpiperidin-1-yl)-phenyl]-4,4,4-trifluorobutyric Acid (i3)

Hydrolysis of compound g3 (134 mg, 0.26 mmol) following the general procedure B afforded compound i3 (light yellow solid, 102 mg, 80.3% yield). mp: 123.5–124.7 °C. 1H-NMR (DMSO-d6): δ 12.51 (s, 1H, COOH), 9.70 (s, 1H, NH), 8.13 (d, J = 1.8 Hz, 1H, H-phenyl), 8.10 (s, 1H, NH), 7.55–7.49 (m, 2H, H-phenyl), 7.36–7.31 (m, 2H, H-phenyl), 7.14 (d, J = 8.2 Hz, 1H, H-phenyl), 6.99 (dd, J = 8.2, 1.9 Hz, 1H, H-phenyl), 3.95–3.83 (m, 1H, CH), 2.98–2.76 (m, 4H, CH2, CHa-1 and CHa-5), 2.15 (td, J = 11.2, 2.9 Hz, 2H, CHb-1 and CHb-5), 2.05–1.92 (m, 2H, CH-2, CH-4), 1.80 (d, J = 12.9 Hz, 1H, CHa-3), 0.87 (d, J = 6.6 Hz, 6H, CH3-6, CH3-7), 0.67 (q, J = 12.4 Hz, 1H, CHb-3). 13C-NMR (DMSO-d6): δ 171.08, 152.47, 141.93, 138.91, 134.13, 129.58, 128.73 (2C), 126.94, 125.52, 122.83, 120.46, 120.01 (2C), 119.34, 59.80 (2C), 45.20, 41.65, 33.86, 30.92 (2C), 19.32 (2C). HRMS (ESI) m/z: [M + H]+ calculated for C24H28O3N3ClF3, 498.17658; found, 498.17761, Δ 2.07 ppm.

3.1.14. Preparation of Racemic 3-[3-(3-cyclohexylureido)-4-(3-methylpiperidin-1-yl)-phenyl]-4,4,4-trifluorobutyric Acid Ethyl Ester (g4)

Reaction of compound f and cyclohexyl isocyanate following the general procedure A afforded compound g4 (white solid, 86.3% yield). 1H-NMR (DMSO-d6): δ 8.08 (s, 1H, NH), 7.63 (s, 1H, NH), 7.12–7.02 (m, 2H, H-phenyl), 6.89 (d, J = 8.2 Hz, 1H, H-phenyl), 4.06–3.93 (m, 2H, CH2), 3.92–3.80 (m, 1H, CH), 3.52–3.40 (m, 1H, CH-cyclohexyl), 3.04–2.75 (m, 4H, CH2, CHa-1 and CHa-5), 2.09 (dt, J = 11.0, 5.5 Hz, 2H, CHb-1 and CHb-5), 1.96 (d, J = 6.7 Hz, 2H, CH-2, CH-4), 1.87–1.49 (m, 6H, CHa-3, CH-cyclohexyl), 1.36–0.99 (m, 8H, CH-cyclohexyl, CH3), 0.86 (d, J = 6.5 Hz, 6H, CH3-6, CH3-7), 0.65 (q, J = 12.0 Hz, 1H, CHb-3). HRMS (ESI) m/z: [M + H]+ calculated for C26H39O3N3F3, 498.29380; found, 498.29480, Δ 2.00 ppm.

3.1.15. Preparation of Racemic 3-[3-(3-cyclohexylureido)-4-(3,5-dimethylpiperidin-1-yl)phenyl]-4,4,4-trifluorobutyric Acid (i4)

Hydrolysis of compound g4 (80 mg, 0.16 mmol) following the general procedure B afforded compound i4 (white solid, 53 mg, 70.1% yield). mp: 134.2–135.7 °C. 1H-NMR (DMSO-d6): δ 7.91–7.76 (m, 1H, H-phenyl), 7.45–7.21 (m, 2H, NH, H-phenyl), 7.15–6.98 (m, 1H, H-phenyl), 4.00–3.85 (m, 1H, CH), 3.54–3.42 (m, 1H, CH-cyclohexyl), 3.14–2.75 (m, 4H, CHa-1 and CHa-5, CH2), 2.06–1.90 (m, 2H, CHb-1 and CHb-5), 1.85–1.76 (m, 3H, CH-2, CH-4, CH-cyclohexyl), 1.75–1.62 (m, 3H, CHa-3, CH-cyclohexyl), 1.60–1.48 (m, 1H, CH-cyclohexyl), 1.37–1.11 (m, 6H, CH-cyclohexyl), 0.89 (d, J = 6.6 Hz, 6H, CH3-6, CH3-7), 0.75 (q, J = 12.6 Hz, 1H, CHb-3). HRMS(ESI) m/z: [M + H]+ calculated for C24H35O3N3F3, 470.26250; found, 470.26343, Δ 1.97 ppm.

3.1.16. Preparation of Racemic 3-[3-(3-butylureido)-4-(3,5-dimethylpiperidin-1-yl)-phenyl]-4,4,4-trifluorobutyric Acid Ethyl Ester (g5)

Reaction of compound f and butyl isocyanate following the general procedure A afforded compound g5 (white solid, 84.1% yield). 1H-NMR (DMSO-d6): δ 8.08 (d, J = 1.2 Hz, 1H, H-phenyl), 7.65 (s, 1H, NH), 7.15 (t, J = 5.4 Hz, 1H, NH), 7.06 (d, J = 8.2 Hz, 1H, H-phenyl), 6.92–6.87 (m, 1H, H-phenyl), 4.06–3.93 (m, 2H, CH2), 3.93–3.81 (m, 1H, CH), 3.12–3.05 (m, 2H, CH-butyl), 3.04–2.76 (m, 4H, CH2, CHa-1 and CHa-5), 2.10 (td, J = 11.0, 2.9 Hz, 2H, CHb-1 and CHb-5), 2.03–1.88 (m, 2H, CH-2, CH-4), 1.78 (d, J = 12.7 Hz, 1H, CHa-3), 1.47–1.26 (m, 4H, CH-butyl), 1.07 (t, J = 7.1 Hz, 3H, CH3), 0.93–0.82 (m, 9H, CH- butyl, CH3-6, CH3-7), 0.65 (q, J = 12.0 Hz, 1H, CHb-3). HRMS (ESI) m/z: [M + H]+ calculated for C24H37O3N3F3, 472.27815; found, 472.27792, Δ −0.49 ppm.

3.1.17. Preparation of Racemic 3-[3-(3-butylureido)-4-(3,5-dimethylpiperidin-1-yl)-phenyl]-4,4,4-trifluorobutyric Acid (i5)

Hydrolysis of compound g5 (80 mg, 0.17 mmol) following the general procedure B afforded compound i5 (white solid, 56 mg, 74.3% yield). mp: 131.0–132.9 °C. 1H-NMR (DMSO-d6): δ 8.00–7.80 (m, 1H, -phenyl), 7.36–7.15 (m, 2H, NH, H-phenyl), 7.09–6.96 (m, 1H, H-phenyl), 3.98–3.83 (m, 1H, H-phenyl), 3.11 (t, J = 6.6 Hz, 2H, CH- butyl), 3.04–2.76 (m, 4H, CH2, CHa-1 and CHa-5), 2.46–2.21 (m, 2H, CHb-1 and CHb-5), 2.05–1.89 (m, 2H, CH-2, CH-4), 1.80 (d, J = 12.6 Hz, 1H, CHa-3), 1.49–1.29 (m, 4H, CH-butyl), 0.95–0.83 (m, 9H, CH- butyl, CH3-6, CH3-7), 0.73 (q, J = 11.7 Hz, 1H, CHb-3). HRMS (ESI) m/z: [M + H]+ calculated for C22H33O3N3F3, 444.24685; found, 444.24750, Δ 1.46 ppm.

3.1.18. Preparation of Racemic 3-[4-(3,5-dimethylpiperidin-1-yl)-3-(3-o-tolylureido)phenyl]-4,4,4-trifluorobutyric Acid Ethyl Ester (g6)

Reaction of compound f and o-tolyl isocyanate following the general procedure A afforded compound g6 (white solid, 78.4% yield). 1H-NMR (DMSO-d6): δ 8.62 (s, 1H, NH), 8.07 (s, 1H, NH), 8.04–8.01 (m, 1H, H-phenyl) 7.58–7.54 (m, 1H, H-phenyl), 7.20–7.09 (m, 2H, H-phenyl), 7.06–6.90 (m, 3H, H-phenyl), 4.03–3.80 (m, 3H, CH2, CH), 3.01–2.75 (m, 4H, CH2, CHa-1 and CHa-5), 2.20 (s, 3H, CH3-phenyl), 2.05 (t, J = 10.4 Hz, 2H, CHb-1 and CHb-5), 1.84–1.66 (m, 3H, CH-2, CH-4, CHa-3), 1.03 (t, J = 7.0 Hz, 3H, CH3), 0.79 (d, J = 6.5 Hz, 6H, CH3-6, CH3-7), 0.57 (q, J = 12.0 Hz, 1H, CHb-3). HRMS (ESI) m/z: [M + H]+ calculated for C27H35O3N3F3, 506.26250; found, 506.26297, Δ 0.92 ppm.

3.1.19. Preparation of Racemic 3-[4-(3,5-dimethylpiperidin-1-yl)-3-(3-o-tolylureido)phenyl]-4,4,4-trifluorobutyric Acid (i6)

Hydrolysis of compound g6 (203 mg, 0.40 mmol) following the general procedure B afforded compound i6 (white solid, 156 mg, 81.3% yield). mp: 109.3–111.2 °C. 1H-NMR (DMSO-d6): δ 12.53 (s, 1H, COOH), 8.67 (s, 1H, NH), 8.08 (s, 1H, NH), 8.04 (d, J = 1.0 Hz, 1H, H-phenyl), 7.56 (d, J = 7.7 Hz, 1H, H-phenyl), 7.25–7.14 (m, 2H, H-phenyl), 7.11–6.94 (m, 3H, H-phenyl), 3.96–3.80 (m, 1H, CH), 2.98–2.72 (m, 4H, CHa-1 and CHa-5, CH2), 2.25 (s, 3H, CH3-phenyl), 2.10 (td, J = 11.1, 3.7 Hz, 2H, CHb-1 and CHb-5), 1.86–1.68 (m, 3H, CH-2, CH-4, CHa-3), 0.84 (d, J = 6.4 Hz, 6H, CH3-6, CH3-7), 0.62 (q, J = 12.2 Hz, 1H, CHb-3). 13C-NMR (DMSO-d6): δ 171.12, 153.19, 142.24, 136.94, 133.95, 130.91, 130.47, 129.16, 126.93, 126.34, 124.53, 124.37, 122.80, 120.12, 119.96, 59.50 (2C), 45.13, 41.62, 33.87, 30.88 (2C), 19.31 (2C), 18.02. HRMS (ESI) m/z: [M + H]+ calculated for C25H31O3N3F3, 478.23120; found, 478.23215, Δ 1.98 ppm.

3.1.20. Preparation of Racemic 3-[4-(3,5-dimethylpiperidin-1-yl)-3-(3-m-tolylureido)phenyl]-4,4,4-trifluorobutyric Acid Ethyl Ester (g7)

Reaction of compound f and m-tolyl isocyanate following the general procedure A afforded compound g7 (white solid, 86.1% yield). 1H-NMR (DMSO-d6): δ 9.46 (s, 1H, NH), 8.14 (d, J = 1.9 Hz, 1H, H-phenyl), 8.05 (s, 1H, NH), 7.37–7.33 (m, 1H, H-phenyl), 7.28–7.23 (m, 1H, H-phenyl), 7.20–7.11 (m, 2H, H-phenyl), 6.98 (dd, J = 8.2, 1.9 Hz, 1H, H-phenyl), 6.81 (d, J = 7.4 Hz, 1H, H-phenyl), 4.07–3.87 (m, 3H, CH2, CH), 3.07–2.80 (m, 4H, CH2, CHa-1 and CHa-5), 2.29 (s, 3H, CH3-phenyl), 2.14 (td, J = 11.1, 3.0 Hz, 2H, CHb-1 and CHb-5), 2.04–1.89 (m, 2H, CH-2, CH-4), 1.80 (d, J = 13.2 Hz, 1H, CHa-3), 1.08 (t, J = 7.1, 3H, CH3), 0.87 (d, J = 6.6 Hz, 6H, CH3-6, CH3-7), 0.66 (q, J = 12.4 Hz, 1H, CHb-3). HRMS (ESI) m/z: [M + H]+ calculated for C27H35O3N3F3, 506.26250; found, 506.26297, Δ 0.92 ppm.

3.1.21. Preparation of Racemic 3-[4-(3,5-dimethylpiperidin-1-yl)-3-(3-m-tolylureido)phenyl]-4,4,4-trifluorobutyric Acid (i7)

Hydrolysis of compound g7 (209 mg, 0.41 mmol) following the general procedure B afforded compound i7 (white solid, 148 mg, 75.0% yield). mp: 121.2–122.4 °C. 1H-NMR (DMSO-d6): δ 9.48 (s, 1H, NH), 8.14 (d, J = 1.5 Hz, 1H, H-phenyl), 8.06 (s, 1H, NH), 7.37–7.34 (m, 1H, H-phenyl), 7.26 (d, J = 8.6 Hz, 1H, H-phenyl), 7.20–7.10 (m, 2H, H-phenyl), 6.97 (dd, J = 8.2, 1.6 Hz, 1H, H-phenyl), 6.81 (d, J = 7.4 Hz, 1H, H-phenyl), 3.96–3.82 (m, 1H, CH), 3.00–2.74 (m, 4H, CH2, CHa-1 and CHa-5), 2.29 (s, 3H, CH3-phenyl), 2.14 (td, J = 11.0, 4.2 Hz, 2H, CHb-1 and CHb-5), 2.05–1.91 (m, 2H, CH-2, CH-4), 1.80 (d, J = 12.8 Hz, 1H, CHa-3), 0.87 (d, J = 6.6 Hz, 6H, CH3-6, CH3-7), 0.66 (q, J = 12.0 Hz, 1H, CHb-3). 13C-NMR (DMSO-d6): δ 171.16, 152.57, 141.84, 139.79, 138.09, 134.28, 129.56, 128.75, 126.94, 122.82, 122.60, 120.39, 119.30, 119.17, 115.78, 59.77 (2C), 45.21, 41.67, 33.93, 30.90 (2C), 21.30, 19.35 (2C). HRMS (ESI) m/z: [M + H]+ calculated for C25H31O3N3F3, 478.23120; found, 478.23227, Δ 2.23 ppm.

3.1.22. Preparation of Racemic 3-[3-[3-(2-chlorophenyl)-ureido]-4-(3,5-dimethylpiperidin-1-yl)-phenyl]-4,4,4-trifluorobutyric Acid Ethyl Ester (g8)

Reaction of compound f and 2-chlorophenyl isocyanate following the general procedure A afforded compound g8 (white solid, 81.7% yield). 1H-NMR (DMSO-d6): δ 9.03 (s, 1H, NH), 8.43 (s, 1H, NH), 7.97–7.90 (m, 2H, H-phenyl), 7.47 (dd, J = 8.0, 1.2 Hz, 1H, H-phenyl), 7.34–7.27 (m, 1H, H-phenyl), 7.13–6.99 (m, 3H, H-phenyl), 4.07–3.87 (m, 3H, CH2, CH), 3.07–2.82 (m, 4H, CH2, CHa-1 and CHa-5), 2.12 (t, J = 11.0 Hz, 2H, CHb-1 and CHb-5), 2.00–1.86 (m, 2H, CH-2, CH-4), 1.80 (d, J = 12.8 Hz, 1H, CHa-3), 1.08 (t, J = 7.2 Hz, 3H, CH3), 0.86 (d, J = 6.6 Hz, 6H, CH3-6, CH3-7), 0.65 (q, J = 12.0 Hz, 1H, CHb-3). HRMS (ESI) m/z: [M + H]+ calculated for C26H32O3N3ClF3, 526.20788; found, 526.20917, Δ 2.45 ppm.

3.1.23. Preparation of Racemic 3-[3-[3-(2-chlorophenyl)ureido]-4-(3,5-dimethylpiperidin-1-yl)-phenyl]-4,4,4-trifluorobutyric Acid (i8)

Hydrolysis of compound g8 (60 mg, 0.11 mmol) following the general procedure B afforded compound i8 (white solid, 46 mg, 80.7% yield). mp: 111.2–113.7 °C. 1H-NMR (DMSO-d6): δ 12.43 (s, 1H, COOH), 9.01 (s, 1H, NH), 8.40 (s, 1H, NH), 7.95–7.85 (m, 2H, H-phenyl), 7.43 (d, J = 7.9 Hz, 1H, H-phenyl), 7.31–7.22 (m, 1H, H-phenyl), 7.09–6.93 (m, 3H, H-phenyl), 3.89–3.79 (m, 1H, CH), 2.93–2.71 (m, 4H, CH2, CHa-1 and CHa-5), 2.08 (td, J = 11.0, 2.6 Hz, 2H, CHb-1 and CHb-5), 1.96–1.87 (m, 2H, CH-2, CH-4), 1.74 (d, J = 12.7 Hz, 1H, CHa-3), 0.82 (d, J = 6.5 Hz, 6H, CH3-6, CH3-7), 0.61 (q, J = 12.0 Hz, 1H, CHb-3). HRMS (ESI) m/z: [M + H]+ calculated for C24H28O3N3ClF3, 498.17658; found, 498.17786, Δ 2.57 ppm.

3.1.24. Preparation of Racemic 3-[3-[3-(3-chlorophenyl)ureido]-4-(3,5-dimethylpiperidin-1-yl)-phenyl]-4,4,4-trifluorobutyric Acid Ethyl Ester (g9)

Reaction of compound f and 3-chlorophenyl isocyanate following the general procedure A afforded compound g9 (white solid, 79.7% yield). 1H-NMR (DMSO-d6): δ 9.76 (s, 1H, NH), 8.15–8.09 (m, 2H, H-phenyl, NH), 7.79–7.75 (m, 1H, H-phenyl), 7.35–7.25 (m, 2H, H-phenyl), 7.15 (d, J = 8.2 Hz, 1H, H-phenyl), 7.05–6.98 (m, 2H, H-phenyl), 4.06–3.92 (m, 3H, CH2, CH), 3.08–2.79 (m, 4H, CH2, CHa-1 and CHa-5), 2.15 (t, J = 11.0 Hz, 2H, CHb-1 and CHb-5), 2.05–1.90 (m, 2H, CH-2, CH-4), 1.78 (d, J = 12.0 Hz, 1H, CHa-3), 1.08 (t, J = 7.1 Hz, 3H, CH3), 0.87 (d, J = 6.5 Hz, 6H, CH3-6, CH3-7), 0.67 (q, J = 12.4 Hz, 1H, CHb-3). HRMS (ESI) m/z: [M + H]+ calculated for C26H32O3N3ClF3, 526.20788; found, 526.20776, Δ −0.23 ppm.

3.1.25. Preparation of Racemic 3-[3-[3-(3-chlorophenyl)ureido]-4-(3,5-dimethylpiperidin-1-yl)-phenyl]-4,4,4-trifluorobutyric Acid (i9)

Hydrolysis of compound g9 (300 mg, 0.57 mmol) following the general procedure B afforded compound i9 (white solid, 234 mg, 82.5% yield). mp: 129.3–131.7 °C. 1H-NMR (DMSO-d6) δ 12.50 (s, 1H, COOH), 9.77 (s, 1H, NH), 8.14–8.09 (m, 2H, NH, H-phenyl), 7.77 (t, J = 1.9 Hz, 1H, H-phenyl), 7.35–7.25 (m, 2H, H-phenyl), 7.15 (d, J = 8.1 Hz, 1H, H-phenyl), 7.07–6.97 (m, 2H, H-phenyl), 3.98–3.84 (m, 1H, CH), 3.01–2.75 (m, 4H, CH2, CHa-1 and CHa-5), 2.15 (td, J = 11.1, 2.9 Hz, 2H, CHb-1 and CHb-5), 2.06–1.91 (m, 2H, CH-2, CH-4), 1.81 (d, J = 12.9 Hz, 1H, CHa-3), 0.87 (d, J = 6.6 Hz, 6H, CH3-6, CH3-7), 0.67 (q, J = 12.1 Hz, 1H, CHb-3). 13C-NMR (DMSO-d6): δ 171.03, 152.36, 141.97, 141.42, 133.92, 133.33, 130.49, 129.55, 126.86, 122.91, 121.60, 120.48, 119.38, 117.78, 116.74, 59.75 (2C), 45.10, 41.61, 33.78, 30.90 (2C), 19.32 (2C). HRMS (ESI) m/z: [M + H]+ calculated for C24H28O3N3ClF3, 498.17658; found, 498.17770, Δ 2.25 ppm.

3.1.26. Preparation of Racemic 3-[3-[3-(2-cyanophenyl)ureido]-4-(3,5-dimethylpiperidin-1-yl)-phenyl]-4,4,4-trifluorobutyric Acid Ethyl Ester (g10)

Reaction of compound f and 2-cyanophenyl isocyanate following the general procedure A afforded compound g10 (white solid, 79.1% yield). 1H-NMR (DMSO-d6): δ 10.17 (s, 1H, NH), 8.28 (s, 1H, NH), 8.17–8.11 (m, 2H, H-phenyl), 8.03 (dd, J = 8.0, 3.8 Hz, 1H, H-phenyl), 7.63–7.57 (m, 1H, H-phenyl), 7.22–7.01 (m, 3H, H-phenyl), 4.07–3.87 (m, 3H, CH2, CH), 3.08–2.82 (m, 4H, CH2, CHa-1 and CHa-5), 2.13 (t, J = 11.0 Hz, 2H, CHb-1 and CHb-5), 2.03–1.88 (m, 2H, CH-2, CH-4), 1.80 (d, J = 12.8 Hz, 1H, CHa-3), 1.07 (t, J = 7.1 Hz, 3H, CH3), 0.86 (d, J = 6.6 Hz, 6H, CH3-6, CH3-7), 0.65 (q, J = 12.4 Hz, 1H, CHb-3). HRMS (ESI) m/z: [M + H]+ calculated for C27H32O3N4F3, 517.24210; found, 517.24335, Δ 2.41 ppm.

3.1.27. Preparation of Racemic 3-[3-[3-(2-cyanophenyl)ureido]-4-(3,5-dimethylpiperidin-1-yl)-phenyl]-4,4,4-trifluorobutyric Acid (i10)

Hydrolysis of compound g10 (40 mg, 0.08 mmol) following the general procedure B afforded compound i10 (white solid, 30 mg, 79.8% yield). mp: 178.2–179.9 °C. 1H-NMR (DMSO-d6): δ 12.51 (s, 1H, COOH), 10.18 (s, 1H, NH), 8.28 (s, 1H, NH), 8.16–8.10 (m, 2H, H-phenyl), 8.02 (dd, J = 8.1, 3.6 Hz, 1H, H-phenyl), 7.62–7.56 (m, 1H, H-phenyl), 7.22–7.01 (m, 3H, H-phenyl), 3.99–3.84 (m, 1H, CH), 3.02–2.76 (m, 4H, CH2, CHa-1 and CHa-5), 2.14 (t, J = 10.6 Hz, 2H, CHb-1 and CHb-5), 2.04–1.89 (m, 2H, CH-2, CH-4), 1.80 (d, J = 12.8 Hz, 1H, CHa-3), 0.87 (d, J = 6.6 Hz, 6H, CH3-6, CH3-7), 0.66 (q, J = 12.4 Hz, 1H, CHb-3). HRMS (ESI) m/z: [M + H]+ calculated for C25H28O3N4F3, 489.20987; found, 489.21080, Δ −1.90 ppm.

3.1.28. Preparation of Racemic 3-[3-[3-(3-cyanophenyl)ureido]-4-(3,5-dimethylpiperidin-1-yl)-phenyl]-4,4,4-trifluorobutyric Acid Ethyl Ester (g11)

Reaction of compound f and 3-cyanophenyl isocyanate following the general procedure A afforded compound g11 (white solid, 87.5% yield). 1H-NMR (DMSO-d6): δ 9.91 (s, 1H, NH), 8.17 (s, 1H, NH), 8.14–8.11 (m, 1H, H-phenyl), 8.06–8.03 (m, 1H, H-phenyl), 7.66 (d, J = 8.2 Hz, 1H, H-phenyl), 7.54–7.41 (m, 2H, H-phenyl), 7.16 (d, J = 8.1 Hz, 1H, H-phenyl), 7.02 (d, J = 8.4 Hz, 1H, H-phenyl), 4.08–3.88 (m, 3H, CH2, CH), 3.07–2.81 (m, 4H, CH2, CHa-1 and CHa-5), 2.15 (t, J = 10.8 Hz, 2H, CHb-1 and CHb-5), 2.06–1.92 (m, 2H, CH-2, CH-4), 1.81 (d, J = 12.8 Hz, 1H, CHa-3), 1.08 (t, J = 7.2 Hz, 3H, CH3), 0.87 (d, J = 6.5 Hz, 6H, CH3-6, CH3-7), 0.67 (q, J = 12.1 Hz, 1H, CHb-3). HRMS (ESI) m/z: [M + H]+ calculated for C27H32O3N4F3, 517.24210; found, 517.24121, Δ −1.72 ppm.

3.1.29. Preparation of Racemic 3-[3-[3-(3-cyanophenyl)ureido]-4-(3,5-dimethylpiperidin-1-yl)-phenyl]-4,4,4-trifluorobutyric Acid (i11)

Hydrolysis of compound g11 (180 mg, 0.35 mmol) following the general procedure B afforded compound i11 (white solid, 121 mg, 71.2% yield). mp: 128.4–130.2 °C. 1H-NMR (DMSO-d6): δ 12.52 (s, 1H, COOH), 9.94 (s, 1H, NH), 8.01–8.23 (m, 3H, NH, H-phenyl), 7.66 (d, J = 7.3 Hz, 1H, H-phenyl), 7.57–7.39 (m, 2H, H-phenyl), 7.16 (d, J = 8.2 Hz, 1H, H-phenyl), 7.01 (d, J = 8.2 Hz, 1H, H-phenyl), 3.98–3.83 (m, 1H, CH), 3.04–2.74 (m, 4H, CH2, CHa-1 and CHa-5), 2.16 (t, J = 9.9 Hz, 2H, CHb-1 and CHb-5), 2.06–1.92 (m, 2H, CH-2, CH-4), 1.81 (d, J = 11.3 Hz, 1H, CHa-3), 0.87 (d, J = 6.1 Hz, 6H, CH3-6, CH3-7), 0.67 (q, J = 11.6 Hz, 1H, CHb-3). 13C-NMR (DMSO-d6): δ 171.03, 152.38, 142.03, 140.76, 133.79, 130.31, 129.58, 126.90, 125.47, 123.06, 122.96, 120.92, 120.52, 119.40, 118.91, 111.72, 59.75 (2C), 45.10, 41.60, 33.78, 30.90 (2C), 19.33 (2C). HRMS (ESI) m/z: [M + H]+ calculated for C25H28O3N4F3, 489.21080; found, 489.21274, Δ 1.94 ppm.

3.1.30. Preparation of Racemic 3-[3-[3-(4-cyanophenyl)ureido]-4-(3,5-dimethylpiperidin-1-yl)-phenyl]-4,4,4-trifluorobutyric Acid Ethyl Ester (g12)

Reaction of compound f and 4-cyanophenyl isocyanate following the general procedure A afforded compound g12 (white solid, 84.1% yield). 1H-NMR (DMSO-d6): δ 10.05 (s, 1H, NH), 8.21 (s, 1H, NH), 8.12 (d, J = 1.8 Hz, 1H, H-phenyl), 7.77–7.72 (m, 2H, H-phenyl), 7.70–7.66 (m, 2H, H-phenyl), 7.16 (d, J = 8.3 Hz, 1H, H-phenyl), 7.03 (dd, J = 8.1, 2.0 Hz, 1H, H-phenyl), 4.07–3.88 (m, 3H, CH2, CH), 3.08–2.82 (m, 4H, CH2, CHa-1 and CHa-5), 2.15 (t, J = 10.9 Hz, 2H, CHb-1 and CHb-5), 2.05–1.90 (m, 2H, CH-2, CH-4), 1.81 (d, J = 12.7 Hz, 1H, CHa-3), 1.07 (t, J = 7.1 Hz, 3H, CH3), 0.90–0.81 (m, 6H, CH3-6, CH3-7), 0.67 (q, J = 12.8 Hz, 1H, CHb-3). HRMS (ESI) m/z: [M + H]+ calculated for C27H32O3N4F3, 517.24210; found, 517.24298, Δ 1.70 ppm.

3.1.31. Preparation of Racemic 3-[3-[3-(4-cyanophenyl)ureido]-4-(3,5-dimethylpiperidin-1-yl)-phenyl]-4,4,4-trifluorobutyric Acid (i12)

Hydrolysis of compound g12 (331 mg, 0.64 mmol) following the general procedure B afforded compound i12 (white solid, 271 mg, 86.5% yield). mp: 172.3–172.9 °C. 1H-NMR (DMSO-d6): δ 10.18 (s, 1H, NH), 8.27 (s, 1H, NH), 8.12 (d, J = 1.4 Hz, 1H, H-phenyl), 7.76–7.67 (m, 4H, H-phenyl), 7.16 (dd, J = 8.0, 4.2 Hz, 1H, H-phenyl), 7.02 (dd, J = 8.2, 1.8 Hz, 1H, H-phenyl), 3.98–3.83 (m, 1H, CH), 3.03–2.75 (m, 4H, CH2, CHa-1 and CHa-5), 2.16 (td, J = 11.1, 1.9 Hz, 2H, CHb-1 and CHb-5), 2.06–1.94 (m, 2H, CH-2, CH-4), 1.80 (d, J = 12.7 Hz, 1H, CHa-3), 0.86 (d, J = 6.5 Hz, 6H, CH3-6, CH3-7), 0.67 (q, J = 12.4 Hz, 1H, CHb-3). 13C-NMR (DMSO-d6): δ 170.92, 152.17, 144.35, 141.88, 133.53, 133.25 (2C), 129.64, 126.77 (q, Jc-f = 280.8 Hz), 123.29, 120.49, 119.75, 119.31, 118.11 (2C), 103.25, 59.73 (2C), 44.97 (q, J = 27.3 Hz), 41.45, 33.67, 30.62 (2C), 19.21 (2C). HRMS (ESI) m/z: [M + H]+ calculated for C25H28O3N4F3, 489.21080; found, 489.20990, Δ −1.84 ppm.

3.1.32. Preparation of Racemic 3-{4-(3,5-dimethylpiperidin-1-yl)-3-[3-(2-methoxyphenyl)ureido]-phenyl}-4,4,4-trifluorobutyric Acid Ethyl Ester (g13)

Reaction of compound f and 2-methoxyphenyl isocyanate following the general procedure A afforded compound g13 (white solid, 85.9% yield). 1H-NMR (DMSO-d6): δ 8.91 (s, 1H, NH), 8.42 (s, 1H, NH), 8.00–7.93 (m, 2H, H-phenyl), 7.10–6.96 (m, 4H, H-phenyl), 6.93–6.86 (m, 1H, H-phenyl), 4.07–3.87 (m, 3H, CH2, CH), 3.85 (s, 3H, OCH3-phenyl), 3.05–2.83 (m, 4H, CH2, CHa-1 and CHa-5), 2.10 (td, J = 11.1, 2.1 Hz, 2H, CHb-1 and CHb-5), 2.02–1.87 (m, 2H, CH-2, CH-4), 1.77 (d, J = 12.8 Hz, 1H, CHa-3), 1.07 (t, J = 7.1 Hz, 3H, CH3), 0.85 (d, J = 6.6 Hz, 6H, CH3-6, CH3-7), 0.64 (q, J = 12.4 Hz, 1H, CHb-3). HRMS (ESI) m/z: [M + H]+ calculated for C27H35O4N3F3, 522.25742; found, 522.25598, Δ −2.75 ppm.

3.1.33. Preparation of Racemic 3-{4-(3,5-dimethylpiperidin-1-yl)-3-[3-(2-methoxyphenyl)ureido]-phenyl}-4,4,4-trifluorobutyric Acid (i13)

Hydrolysis of compound g13 (80 mg, 0.15 mmol) following the general procedure B afforded compound i13 (white solid, 61 mg, 80.8% yield). mp: 119.3–120.2 °C. 1H-NMR (DMSO-d6): δ 12.64 (s, 1H, COOH), 8.91 (s, 1H, NH), 8.42 (s, 1H, NH), 7.99–7.93 (m, 2H, H-phenyl), 7.10–6.86 (m, 5H, H-phenyl), 3.94–3.81 (m, 4H, CH, OCH3-phenyl), 2.93–2.65 (m, 4H, CHa-1 and CHa-5, CH2), 2.10 (td, J = 11.2, 4.6 Hz, 2H, CHb-1 and CHb-5), 2.01–1.86 (m, 2H, CH-2, CH-4), 1.77 (d, J = 13.3 Hz, 1H, CHa-3), 0.85 (d, J = 6.5 Hz, 6H, CH3-6, CH3-7), 0.63 (q, J = 12.4 Hz, 1H, CHb-3). HRMS (ESI) m/z: [M + H]+ calculated for C25H31O4N3F3, 494.22612; found, 494.22455, Δ −3.17 ppm.

3.1.34. Preparation of Racemic 3-{4-(3,5-dimethylpiperidin-1-yl)-3-[3-(3-methoxyphenyl)ureido]-phenyl}-4,4,4-trifluorobutyric Acid Ethyl Ester (g14)

Reaction of compound f and 3-methoxyphenyl isocyanate following the general procedure A afforded compound g14 (white solid, 83.9% yield). 1H-NMR (DMSO-d6): δ 9.55 (s, 1H, NH), 8.13 (d, J = 1.9 Hz, 1H, H-phenyl), 8.07 (s, 1H, NH), 7.22–7.17 (m, 2H, H-phenyl), 7.13 (d, J = 8.2 Hz, 1H, H-phenyl), 7.03–6.96 (m, 2H, H-phenyl), 6.59–6.55 (m, 1H, H-phenyl), 4.07–3.88 (m, 3H, CH2, CH), 3.75 (s, 3H, OCH3-phenyl), 3.06–2.75 (m, 4H, CH2, CHa-1 and CHa-5), 2.13 (td, J = 11.2, 1.6 Hz, 2H, CHb-1 and CHb-5), 2.04–1.91 (m, 2H, CH-2, CH-4), 1.80 (d, J = 12.7 Hz, 1H, CHa-3), 1.10-1.06 (t, J = 7.2 Hz, 3H, CH3), 0.87 (d, J = 6.6 Hz, 6H, CH3-6, CH3-7), 0.66 (q, J = 12.4 Hz, 1H, CHb-3). HRMS (ESI) m/z: [M + H]+ calculated for C27H35O4N3F3, 522.25742; found, 522.25769, Δ 0.52 ppm.

3.1.35. Preparation of Racemic 3-{4-(3,5-dimethylpiperidin-1-yl)-3-[3-(3-methoxyphenyl)ureido]-phenyl}-4,4,4-trifluorobutyric Acid (i14)

Hydrolysis of compound g14 (245 mg, 0.47 mmol) following the general procedure B afforded compound i14 (white solid, 178 mg, 76.7% yield). mp: 112.3–113.7 °C. 1H-NMR (DMSO-d6): δ 12.52 (s, 1H, COOH), 9.56 (s, 1H, NH), 8.14 (d, J = 1.6 Hz, 1H, H-phenyl), 8.08 (s, 1H, NH), 7.22–7.11 (m, 3H, H-phenyl), 7.03–6.96 (m, 2H, H-phenyl), 6.57 (dd, J = 8.2, 2.5 Hz, 1H, H-phenyl), 3.96–3.81 (m, 1H, CH), 3.75 (s, 3H, OCH3-phenyl), 3.00–2.77 (m, 4H, CH2, CHa-1 and CHa-5), 2.14 (td, J = 11.0, 2.1 Hz, 2H, CHb-1 and CHb-5), 2.05–1.92 (m, 2H, CH-2, CH-4), 1.80 (d, J = 12.9 Hz, 1H, CHa-3), 0.87 (d, J = 6.6 Hz, 6H, CH3-6, CH3-7), 0.67 (q, J = 12.0 Hz, 1H, CHb-3). 13C-NMR (DMSO-d6): δ 171.08, 159.82, 152.50, 141.89, 141.09, 134.19, 129.66, 129.52, 126.90, 122.58, 120.44, 119.38, 110.87, 107.65, 104.23, 59.74 (2C), 55.06, 45.15, 41.64, 33.83, 30.88 (2C), 19.34 (2C). HRMS (ESI) m/z: [M + H]+ calculated for C25H31O4N3F3, 494.22612; found, 494.22699, Δ 1.77 ppm.

3.1.36. Preparation of Racemic 3-{4-(3,5-dimethylpiperidin-1-yl)-3-[3-(4-methoxyphenyl)ureido]-phenyl}-4,4,4-trifluorobutyric Acid Ethyl Ester (g15)

Reaction of compound f and 4-methoxyphenyl isocyanate following the general procedure A afforded compound g15 (light yellow solid, 81.3% yield). 1H-NMR (DMSO-d6): δ 9.34 (s, 1H, NH), 8.16 (d, J = 1.9 Hz, 1H, H-phenyl), 7.99 (s, 1H, NH), 7.41–7.36 (m, 2H, H-phenyl), 7.12 (d, J = 8.2 Hz, 1H, H-phenyl), 6.96 (dd, J = 8.2, 1.9 Hz, 1H, H-phenyl), 6.91–6.87 (m, 2H, H-phenyl), 4.05–3.88 (m, 3H, CH2, CH), 3.73 (s, 3H, OCH3-phenyl), 3.06–2.80 (m, 4H, CH2, CHa-1 and CHa-5), 2.12 (dt, J = 11.2, 5.6 Hz, 2H, CHb-1 and CHb-5), 1.99–1.86 (m, 2H, CH-2, CH-4), 1.78 (d, J = 13.0 Hz, 1H, CHa-3), 1.08 (t, J = 7.2 Hz, 3H, CH3), 0.86 (d, J = 6.8 Hz, 6H, CH3-6, CH3-7), 0.66 (q, J = 12.0 Hz, 1H, CHb-3). HRMS (ESI) m/z: [M + H]+ calculated for C27H35O4N3F3, 522.25665; found, 522.25742, Δ −1.47 ppm.

3.1.37. Preparation of Racemic 3-{4-(3,5-dimethylpiperidin-1-yl)-3-[3-(4-methoxyphenyl)ureido]-phenyl}-4,4,4-trifluorobutyric Acid (i15)

Hydrolysis of compound g15 (230 mg, 0.44 mmol) following the general procedure B afforded compound i15 (white solid, 181 mg, 81.8% yield). mp: 108.9–120.1 °C. 1H-NMR (DMSO-d6): δ 12.50 (s, 1H, COOH), 9.32 (s, 1H, NH), 8.15 (d, J = 1.9 Hz, 1H, H-phenyl), 7.99 (s, 1H, NH), 7.40–7.36 (m, 2H, H-phenyl), 7.12 (d, J = 8.3, 1H, H-phenyl), 6.95 (dd, J = 8.2, 1.9 Hz, 1H, H-phenyl), 6.90–6.86 (m, 2H, H-phenyl), 3.94–3.83 (m, 1H, CH), 3.73 (s, 3H, OCH3-phenyl), 2.98–2.75 (m, 4H, CH2, CHa-1 and CHa-5), 2.13 (td, J = 11.1, 3.1 Hz, 2H, CHb-1 and CHb-5), 1.98-1.85 (d, J = 6.6 Hz, 2H, CH-2, CH-4), 1.78 (d, J = 12.8 Hz, 1H, CHa-3), 0.86 (d, J = 6.6 Hz, 6H, CH3-6, CH3-7), 0.66 (q, J = 12.4 Hz, 1H, CHb-3). HRMS (ESI) m/z: [M + H]+ calculated for C25H31O4N3F3, 494.22612; found, 494.22815, Δ 4.11 ppm.

3.1.38. Preparation of Racemic 3-[3-[3-(2,4-difluorophenyl)ureido]-4-(3,5-dimethylpiperidin-1-yl)-phenyl]-4,4,4-trifluorobutyric Acid Ethyl Ester (g16)

Reaction of compound f and 2,4-difluorophenyl isocyanate following the general procedure A afforded compound g16 (white solid, 80.8% yield). 1H-NMR (DMSO-d6): δ 9.36 (s, 1H, NH), 8.34 (s, 1H, NH), 8.09–7.98 (m, 2H, H-phenyl), 7.31 (ddd, J = 11.6, 8.9, 2.9 Hz, 1H, H-phenyl), 7.14–6.97 (m, 3H, H-phenyl), 4.07–3.85 (m, 3H, CH2, CH), 3.06–2.82 (m, 4H, CH2, CHa-1 and CHa-5), 2.13 (t, J = 10.8 Hz, 2H, CHb-1 and CHb-5), 2.04–1.89 (m, 2H, CH-2, CH-4), 1.79 (d, J = 13.0 Hz, 1H, CHa-3), 1.07 (t, J = 7.1 Hz, 3H, CH3), 0.86 (d, J = 6.6 Hz, 6H, CH3-6, CH3-7), 0.66 (q, J = 12.4 Hz, 1H, CHb-3). HRMS (ESI) m/z: [M + H]+ calculated for C26H31O3N3F5, 528.22801; found, 528.22894, Δ 1.76 ppm.

3.1.39. Preparation of Racemic 3-[3-[3-(2,4-difluorophenyl)ureido]-4-(3,5-dimethylpiperidin-1-yl)-phenyl]-4,4,4-trifluorobutyric Acid (i16)

Hydrolysis of compound g16 (190 mg, 0.36 mmol) following the general procedure B afforded compound i16 (white solid, 149 mg, 82.0% yield). mp: 119.6–120.6 °C. 1H-NMR (DMSO-d6): δ 9.38 (s, 1H, -NH-), 8.36 (s, 1H, -NH-), 8.08–7.97 (m, 2H, H-phenyl), 7.31 (ddd, J = 11.6, 8.9, 2.9 Hz, 1H, H-phenyl), 7.14–6.95 (m, 3H, H-phenyl), 4.07–3.86 (m, 1H, CH), 2.94–2.70 (m, 4H, CH2, CHa-1 and CHa-5), 2.13 (td, J = 11.0, 3.8 Hz, 2H, CHb-1 and CHb-5), 2.04–1.88 (m, 2H, CH-2, CH-4), 1.79 (d, J = 12.6 Hz, 1H, CHa-3), 0.86 (d, J = 6.5 Hz, 6H, CH3-6, CH3-7), 0.65 (q, J = 12.0 Hz, 1H, CHb-3). 13C-NMR (DMSO-d6): δ 171.31, 155.16 (2C), 152.71, 142.28, 133.78, 129.47, 126.97, 123.85, 123.82, 123.10, 120.20, 120.08, 111.07, 103.92, 59.65 (2C), 45.23, 41.65, 34.18, 30.77 (2C), 19.33 (2C). HRMS (ESI) m/z: [M + H]+ calculated for C24H27O3N3F5, 500.19671; found, 500.19440, Δ −4.62 ppm.

3.1.40. Preparation of Racemic 3-[3-[3-(2,4-dichlorophenyl)ureido]-4-(3,5-dimethylpiperidin-1-yl)-phenyl]-4,4,4-trifluorobutyric Acid Ethyl Ester (g17)

Reaction of compound f and 2,4-dichlorophenyl isocyanate following the general procedure A afforded compound g17 (white solid, 81.3% yield). 1H-NMR (DMSO-d6): δ 9.12 (s, 1H, NH), 8.50 (s, 1H, NH), 8.00 (d, J = 8.9 Hz, 1H, H-phenyl), 7.93 (d, J = 1.8 Hz, 1H, H-phenyl), 7.63 (d, J = 2.5 Hz, 1H, H-phenyl), 7.39 (dd, J = 8.9, 2.5 Hz, 1H, H-phenyl), 7.10 (d, J = 8.3 Hz, 1H, H-phenyl), 7.03 (dd, J = 8.2, 1.9 Hz, 1H, H-phenyl), 4.07–3.86 (m, 3H, CH2, CH), 3.06–2.82 (m, 4H, CH2, CHa-1 and CHa-5), 2.12 (t, J = 11.1 Hz, 2H, CHb-1 and CHb-5), 2.02–1.88 (m, 2H, CH-2, CH-4), 1.79 (d, J = 12.7 Hz, 1H, CHa-3), 1.07 (t, J = 7.1 Hz, 3H, CH3), 0.86 (d, J = 6.6 Hz, 6H, CH3-6, CH3-7), 0.65 (q, J = 12.4 Hz, 1H, CHb-3). HRMS (ESI) m/z: [M + H]+ calculated for C26H31O3N3Cl2F3, 560.16891; found, 560.17065, Δ 3.11 ppm.

3.1.41. Preparation of Racemic 3-[3-[3-(2,4-dichlorophenyl)ureido]-4-(3,5-dimethylpiperidin-1-yl)-phenyl]-4,4,4-trifluorobutyric Acid (i17)

Hydrolysis of compound g17 (80 mg, 0.14 mmol) following the general procedure B afforded compound i17 (white solid, 61 mg, 80.1% yield). mp: 119.3–110.5 °C. 1H-NMR (DMSO-d6): δ 9.14 (s, 1H, NH), 8.50 (s, 1H, NH), 8.00 (d, J = 8.9 Hz, 1H, H-phenyl), 7.92 (d, J = 1.7 Hz, 1H, H-phenyl), 7.63 (d, J = 2.4 Hz, 1H, H-phenyl), 7.38 (dd, J = 8.9, 2.5 Hz, 1H, H-phenyl), 7.09 (d, J = 8.3 Hz, 1H, H-phenyl), 7.01 (dd, J = 8.2, 1.8 Hz, 1H, H-phenyl), 3.96–3.82 (m, 1H, CH), 2.96–1.71 (m, 4H, CHa-1 and CHa-5, CH2), 2.12 (td, J = 11.1, 3.9 Hz, 2H, CHb-1 and CHb-5), 2.03–1.87 (m, 2H, CH-2, CH-4), 1.83–1.75 (m, 1H, CHa-3), 0.86 (d, J = 6.6 Hz, 6H, CH3-6, CH3-7), 0.65 (q, J = 12.4 Hz, 1H, CHb-3). 13C-NMR (DMSO-d6): δ 171.29, 152.61, 143.00, 135.17, 133.12, 129.07, 128.72, 127.56, 127.24, 126.97, 125.07, 124.91, 123.65, 121.31, 119.86, 59.44 (2C), 45.12, 41.66, 34.15, 30.75 (2C), 19.33 (2C). HRMS (ESI) m/z: [M + H]+ calculated for C24H27O3N3Cl2F3, 532.13761; found, 532.13892, Δ 2.47 ppm.

3.1.42. Preparation of Racemic 3-{4-(3,5-dimethylpiperidin-1-yl)-3-[3-(4-fluorophenyl)ureido]-phenyl}-4,4,4-trifluorobutyric Acid Ethyl Ester (g18)

Reaction of compound f and 4-fluorophenyl isocyanate following the general procedure A afforded compound g18 (white solid, 81.3% yield). 1H-NMR (DMSO-d6): δ 9.57 (s, 1H, NH), 8.13 (d, J = 1.8 Hz, 1H, H-phenyl), 8.04 (s, 1H, NH), 7.54–7.46 (m, 2H, H-phenyl), 7.18–7.09 (m, 3H, H-phenyl), 6.98 (dd, J = 8.2, 1.9 Hz, 1H, H-phenyl), 4.08–3.85 (m, 3H, CH2, CH), 3.07–2.79 (m, 4H, CH2, CHa-1 and CHa-5), 2.14 (t, J = 10.6 Hz, 2H, CHb-1 and CHb-5), 2.05–1.88 (m, 2H, CH-2, CH-4), 1.80 (d, J = 12.8 Hz, 1H, CHa-3), 1.07 (t, J = 7.1 Hz, 3H, CH3), 0.87 (d, J = 6.6 Hz, 6H, CH3-6, CH3-7), 0.67 (q, J = 12.4 Hz, 1H, CHb-3). 13C-NMR (DMSO-d6): δ 169.60, 158.68, 156.31, 152.59, 141.88, 136.13, 134.17, 129.20, 122.57, 120.34 (2C), 120.33, 119.25, 115.38 (2C), 60.47, 59.71 (2C), 45.02, 41.61, 33.79, 30.90 (2C), 19.32 (2C), 13.92. HRMS (ESI) m/z: [M + H]+ calculated for C26H32O3N3F4, 510.23743; found, 510.23688, Δ −1.08 ppm.

3.1.43. Preparation of Racemic 3-{4-(3,5-dimethylpiperidin-1-yl)-3-[3-(4-fluorophenyl)ureido]-phenyl}-4,4,4-trifluorobutyric Acid (i18)

Hydrolysis of compound g18 (456 mg, 0.89 mmol) following the general procedure B afforded compound i18 (white solid, 371 mg, 86.3% yield). mp: 125.1–126.4 °C. 1H-NMR (DMSO-d6): δ 12.50 (s, 1H, COOH), 9.76 (s, 1H, NH), 8.14 (d, J = 1.8 Hz, 1H, H-phenyl), 8.11 (s, 1H, NH), 7.55–7.48 (m, 2H, H-phenyl), 7.16–7.09 (m, 3H, H-phenyl), 6.98 (dd, J = 8.2, 1.9 Hz, 1H, H-phenyl), 3.96–3.79 (m, 1H, CH), 2.99–2.74 (m, 4H, CH2, CHa-1 and CHa-5), 2.14 (td, J = 11.0, 2.8 Hz, 2H, CHb-1 and CHb-5), 2.08–1.93 (m, 2H, CH-2, CH-4), 1.79 (d, J = 12.8 Hz, 1H, CHa-3), 0.86 (d, J = 6.5 Hz, 6H, CH3-6, CH3-7), 0.66 (q, J = 12.4 Hz, 1H, CHb-3). HRMS (ESI) m/z: [M + H]+ calculated for C24H28O3N3F4, 482.20613; found, 482.20630, Δ 0.35 ppm.

3.1.44. Preparation of Racemic 3-[3-[3-(4-bromophenyl)ureido]-4-(3,5-dimethylpiperidin-1-yl)-phenyl]-4,4,4-trifluorobutyric Acid Ethyl Ester (g19)

Reaction of compound f and 4-bromophenyl isocyanate following the general procedure A afforded compound g19 (white solid, 100 mg, 81.5% yield). 1H-NMR (DMSO-d6): δ 9.69 (s, 1H, NH), 8.13 (d, J = 1.7 Hz, 1H, H-phenyl), 8.09 (s, 1H, NH), 7.50–7.44 (m, 4H, H-phenyl), 7.14 (d, J = 8.2 Hz, 1H, H-phenyl), 7.00 (dd, J = 8.2, 1.8 Hz, 1H, H-phenyl), 4.07–3.87 (m, 3H, CH2, CH), 3.07–2.80 (m, 4H, CH2, CHa-1 and CHa-5), 2.14 (t, J = 10.7 Hz, 2H, CHb-1 and CHb-5), 2.05–1.91 (m, 2H, CH-2, CH-4), 1.80 (d, J = 12.6 Hz, 1H, CHa-3), 1.07 (t, J = 7.1 Hz, 3H, CH3), 0.87 (d, J = 6.6 Hz, 6H, CH3-6, CH3-7), 0.67 (q, J = 12.0 Hz, 1H, CHb-3). HRMS (ESI) m/z: [M + H]+ calculated for C26H33O3N3BrF3, 570.15737; found, 570.15735, Δ −0.03 ppm.

3.1.45. Preparation of Racemic 3-[3-[3-(4-bromophenyl)ureido]-4-(3,5-dimethylpiperidin-1-yl)-phenyl]-4,4,4-trifluorobutyric Acid (i19)

Hydrolysis of compound g19 (100 mg, 0.18 mmol) following the general procedure B afforded compound i19 (white solid, 71 mg, 74.8% yield). mp: 136.9–137.7 °C. 1H-NMR (DMSO-d6): δ 12.58 (s, 1H, COOH), 9.75 (s, 1H, -NH-), 8.15–8.09 (m, 2H, H-phenyl, NH), 7.51–7.42 (m, 4H, H-phenyl), 7.14 (d, J = 8.2 Hz, 1H, H-phenyl), 6.98 (dd, J = 8.1, 1.6 Hz, 1H, H-phenyl), 3.96–3.82 (m, 1H, CH), 2.98–2.71 (m, 4H, CH2, CHa-1 and CHa-5), 2.14 (td, J = 11.0, 3.3 Hz, 2H, CHb-1 and CHb-5), 2.06–1.91 (m, 2H, CH-2, CH-4), 1.80 (d, J = 13.7 Hz, 1H, CHa-3), 0.86 (d, J = 6.5 Hz, 6H, CH3-6, CH3-7), 0.66 (q, J = 12.4 Hz, 1H, CHb-3). 13C-NMR (DMSO-d6): δ 171.14, 152.47, 141.95, 139.41, 134.10, 131.57 (2C), 129.57, 126.92, 122.81, 120.42, 120.34 (2C), 119.36, 113.30, 59.79 (2C), 45.20, 41.68, 33.98, 30.79 (2C), 19.34 (2C). HRMS (ESI) m/z: [M + H]+ calculated for C24H28O3N3BrF3, 542.12607; found, 542.12616, Δ 0.17 ppm.

3.1.46. Preparation of Racemic 3-{4-(3,5-dimethylpiperidin-1-yl)-3-[3-(4-ethylphenyl)ureido]phenyl}-4,4,4-trifluorobutyric Acid Ethyl Ester (g20)

Reaction of compound f and 4-ethylphenethyl isocyanate following the general procedure A afforded compound g20 (white solid, 83.7% yield). 1H-NMR (DMSO-d6): δ 9.42 (s, 1H, NH), 8.15 (d, J = 1.9 Hz, 1H, H-phenyl), 8.03 (s, 1H, NH), 7.41–7.37 (m, 2H, H-phenyl), 7.16–7.10 (m, 3H, H-phenyl), 6.97 (dd, J = 8.2, 2.0 Hz, 1H, H-phenyl), 4.08–3.86 (m, 3H, CH2, CH), 3.06–2.78 (m, 4H, CH2, CHa-1 and CHa-5), 2.55 (q, J = 7.6 Hz, 2H, CH3CH2-phenyl), 2.13 (td, J = 11.2, 2.3 Hz, 2H, CHb-1 and CHb-5), 2.01–1.87 (m, 2H, CH-2, CH-4), 1.78 (d, J = 12.8 Hz, 1H, CHa-3), 1.16 (t, J = 7.6 Hz, 3H, CH3CH2-phenyl), 1.07 (t, J = 7.6 Hz, 3H, CH3), 0.86 (d, J = 6.6 Hz, 6H, CH3-6, CH3-7), 0.66 (q, J = 12.4 Hz, 1H, CHb-3). HRMS (ESI) m/z: [M + H]+ calculated for C28H37O3N3F3, 520.27815; found, 520.27795, Δ −0.39 ppm.

3.1.47. Preparation of Racemic 3-{4-(3,5-dimethylpiperidin-1-yl)-3-[3-(4-ethylphenyl)ureido]phenyl}-4,4,4-trifluorobutyric Acid (i20)

Hydrolysis of compound g20 (134 mg, 0.26 mmol) following the general procedure B afforded compound i20 (white solid, 103 mg, 81.2% yield). mp: 122.1–122.9 °C. 1H-NMR (DMSO-d6): δ 9.44 (s, 1H, NH), 8.14 (d, J = 1.6 Hz, 1H, H-phenyl), 8.04 (s, 1H, NH), 7.39 (d, J = 8.4 Hz, 2H, H-phenyl), 7.16–7.10 (m, 3H, H-phenyl), 6.96 (dd, J = 8.2, 1.5 Hz, 1H, H-phenyl), 3.95–3.81 (m, 1H, CH), 2.96–2.73 (m, 4H, CH2, CHa-1 and CHa-5), 2.55 (q, J = 7.6 Hz, 2H, CH3CH2-phenyl), 2.13 (td, J = 11.0, 3.8 Hz, 2H, CHb-1 and CHb-5), 2.00–1.88 (m, 2H, CH-2, CH-4), 1.78 (d, J = 12.7 Hz, 1H, CHa-3), 1.16 (t, J = 7.6 Hz, 3H, CH3CH2-phenyl), 0.86 (d, J = 6.6 Hz, 6H, CH3-6, CH3-7), 0.65 (q, J = 12.4 Hz, 1H, CHb-3). 13C-NMR (DMSO-d6): δ 171.21, 152.63, 141.72, 137.54, 137.40, 134.33, 129.60, 128.10 (2C), 126.93, 122.49, 120.36, 119.19, 118.97 (2C), 59.74 (2C), 45.18, 41.64, 34.00, 30.86 (2C), 27.60, 19.32 (2C), 15.85. HRMS (ESI) m/z: [M + H]+ calculated for C26H33O3N3F3, 492.24685; found, 492.24774, Δ 1.80 ppm.

3.1.48. Preparation of Racemic 3-{4-(3,5-dimethylpiperidin-1-yl)-3-[3-(4-isopropylphenyl)ureido]-phenyl}-4,4,4-trifluorobutyric Acid Ethyl Ester (g21)

Reaction of compound f and 4-isopropylphenyl isocyanate following the general procedure A afforded compound g21 (white solid, 80.7% yield). 1H-NMR (DMSO-d6): δ 9.42 (s, 1H, NH), 8.15 (d, J = 1.9 Hz, 1H, H-phenyl), 8.03 (s, 1H, NH), 7.42–7.37 (m, 2H, H-phenyl), 7.14–7.20 (m, 2H, H-phenyl), 7.12 (d, J = 8.4 Hz, 1H, H-phenyl), 6.97 (dd, J = 8.2, 1.9 Hz, 1H, H-phenyl), 4.08–3.86 (m, 3H, CH2, CH), 3.07–2.79 (m, 5H, CH2, CHa-1 and CHa-5, (CH3)2CH-phenyl), 2.13 (td, J = 11.1, 2.5 Hz, 2H, CHb-1 and CHb-5), 2.00–1.85 (m, 2H, CH-2, CH-4), 1.78 (d, J = 12.9 Hz, 1H, CHa-3), 1.18 (d, J = 6.8 Hz, 6H, (CH3)2CH-phenyl), 1.08 (t, J = 7.2 Hz, 3H, CH3), 0.86 (d, J = 6.6 Hz, 6H, CH3-6, CH3-7), 0.65 (q, J = 12.4 Hz, 1H, CHb-3). HRMS (ESI) m/z: [M + H]+ calculated for C29H39O3N3F3, 534.29380; found, 534.29602, Δ 4.15 ppm.

3.1.49. Preparation of Racemic 3-{4-(3,5-dimethylpiperidin-1-yl)-3-[3-(4-isopropylphenyl)ureido]-phenyl}-4,4,4-trifluorobutyric Acid (i21)

Hydrolysis of compound g21 (200 mg, 0.35 mmol) following the general procedure B afforded compound i21 (white solid, 142 mg, 81.4% yield). mp: 121.7–122.7 °C. 1H-NMR (DMSO-d6): δ 9.43 (s, 1H, NH), 8.15 (d, J = 1.6 Hz, 1H, H-phenyl), 8.04 (s, 1H, NH), 7.39 (d, J = 8.4 Hz, 2H, H-phenyl), 7.16 (d, J = 8.5 Hz, 2H, H-phenyl), 7.12 (d, J = 8 Hz, 1H, H-phenyl), 6.96 (dd, J = 8.3, 1.7 Hz, 1H, H-phenyl), 3.95–3.82 (m, 1H, CH), 2.98–2.73 (m, 5H, CH2, CHa-1 and CHa-5, (CH3)2CH-phenyl), 2.13 (td, J = 11.0, 3.9 Hz, 2H, CHb-1 and CHb-5), 2.00–1.85 (m, 2H, CH-2, CH-4), 1.77 (d, J = 12.7 Hz, 1H, CHa-3), 1.18 (t, J = 7.1 Hz, 6H, (CH3)2CH-phenyl), 0.85 (d, J = 6.6 Hz, 6H, CH3-6, CH3-7), 0.65 (q, J = 12.4 Hz, 1H, CHb-3). 13C-NMR (DMSO-d6): δ 171.13, 152.64, 142.30, 141.72, 137.44, 134.34, 129.56, 126.92, 126.62 (2C), 122.47, 120.37, 119.18, 119.09 (2C), 59.73 (2C), 45.19, 41.63, 33.92, 32.87, 30.87 (2C), 24.09 (3C), 19.32 (2C). HRMS (ESI) m/z: [M + H]+ calculated for C27H35O3N3F3, 506.26250; found, 506.26373, Δ 2.42 ppm.

3.1.50. Preparation of Racemic 3-{4-(3,5-dimethylpiperidin-1-yl)-3-[3-(4-trifluoromethoxyphenyl)-ureido]phenyl}-4,4,4-trifluorobutyric Acid Ethyl Ester (g22)

Reaction of compound f and 4-fluorophenyl isocyanate following the general procedure A afforded compound g22 (white solid, 81.5% yield). 1H-NMR (DMSO-d6): δ 9.75 (s, 1H, NH), 8.14 (d, J = 1.9 Hz, 1H, H-phenyl), 8.10 (s, 1H, NH), 7.62–7.58 (m, 2H, H-phenyl), 7.30 (d, J = 8.5 Hz, 2H, H-phenyl), 7.14 (d, J = 8.2 Hz, 1H, H-phenyl), 7.00 (dd, J = 8.2, 1.9 Hz, 1H, H-phenyl), 4.07–3.88 (m, 3H, CH2, CH), 3.07–2.81 (m, 4H, CH2, CHa-1 and CHa-5), 2.15 (t, J = 10.4 Hz, 2H, CHb-1 and CHb-5), 2.05–1.90 (m, 2H, CH-2, CH-4), 1.80 (d, J = 12.8 Hz, 1H, CHa-3), 1.07 (t, J = 7.1 Hz, 3H, CH3), 0.87 (d, J = 6.6 Hz, 6H, CH3-6, CH3-7), 0.67 (q, J = 12.8 Hz, 1H, CHb-3). HRMS (ESI) m/z: [M + H]+ calculated for C27H32O4N3F6, 576.22915; found, 576.22772, Δ −2.49 ppm.

3.1.51. Preparation of Racemic 3-{4-(3,5-dimethylpiperidin-1-yl)-3-[3-(4-trifluoromethoxyphenyl)-ureido]phenyl}-4,4,4-trifluorobutyric Acid (i22)

Hydrolysis of compound g22 (586 mg, 1.02 mmol) following the general procedure B afforded compound i22 (white solid, 455 mg, 81.5% yield). mp: 196.2–197.8 °C. 1H-NMR (DMSO-d6): δ 12.37 (s, 1H, COOH), 9.78 (s, 1H, NH), 8.17–8.08 (m, 2H, H-phenyl, NH), 7.64–7.56 (m, 2H, H-phenyl), 7.30 (d, J = 8.7 Hz, 2H, H-phenyl), 7.15 (d, J = 8.2 Hz, 1H, H-phenyl), 7.00 (dd, J = 8.2, 1.5 Hz, 1H, H-phenyl), 3.97–3.82 (m, 1H, -CH-), 3.01–2.74 (m, 4H, CH2, CHa-1 and CHa-5), 2.15 (td, J = 11.0, 2.8 Hz, 2H, CHb-1 and CHb-5), 2.07–1.91 (m, 2H, CH-2, CH-4), 1.80 (d, J = 12.6 Hz, 1H, CHa-3), 0.87 (d, J = 6.5 Hz, 6H, CH3-6, CH3-7), 0.67 (q, J = 12.4 Hz, 1H, CHb-3). 13C-NMR (DMSO-d6): δ 171.02, 152.47, 142.73, 141.93, 139.14, 134.00, 129.51, 126.86, 122.87, 121.79 (2C), 120.44, 120.28, 119.65 (2C), 119.32, 59.74 (2C), 45.09, 41.62, 33.77, 30.89 (2C), 19.32 (2C). HRMS (ESI) m/z: [M + H]+ calculated for C25H28O4N3F6, 548.19785; found, 548.19781, Δ −0.08 ppm.

3.1.52. Preparation of Racemic 3-{4-(3,5-dimethylpiperidin-1-yl)-3-[3-(4-trifluoromethylphenyl)-ureido]phenyl}-4,4,4-trifluorobutyric Acid Ethyl Ester (g23)

Reaction of compound f and 4-(trifluoromethyl)phenyl isocyanate following the general procedure A afforded compound g23 (white solid, 80.6% yield). 1H-NMR (DMSO-d6): δ 9.96 (s, 1H, NH), 8.26–8.12 (m, 2H, NH, H-phenyl), 7.81–7.61 (m, 4H, H-phenyl), 7.16 (d, J = 8.2 Hz, 1H, H-phenyl), 7.02 (d, J = 8.2 Hz, 1H, H-phenyl), 4.12–3.89 (m, 3H, CH2, CH), 3.13–2.79 (m, 4H, CH2, CHa-1 and CHa-5), 2.15 (t, J = 10.6 Hz, 2H, CHb-1 and CHb-5), 2.08–1.92 (m, 2H, CH-2, CH-4), 1.81 (d, J = 12.1 Hz, 1H, CHa-3), 1.14–1.03 (m, 3H, CH3), 0.87 (d, J = 6.4 Hz, 6H, CH3-6, CH3-7), 0.67 (q, J = 12.0 Hz, 1H, CHb-3). HRMS (ESI) m/z: [M + H]+ calculated for C27H32O3N3F6, 560.23424; found, 560.23425, Δ 0.02 ppm.

3.1.53. Preparation of Racemic 3-{4-(3,5-dimethylpiperidin-1-yl)-3-[3-(4-trifluoromethylphenyl)-ureido]phenyl}-4,4,4-trifluorobutyric Acid (i23)

Hydrolysis of compound g23 (350 mg, 0.63 mmol) following the general procedure B afforded compound i23 (white solid, 270 mg, 80.6% yield). mp: 179.7–180.5 °C. 1H-NMR (DMSO-d6): δ 12.50 (s, 1H, COOH), 9.97 (s, 1H, NH), 8.19 (s, 1H, NH), 8.14 (d, J = 1.9 Hz, 1H, H-phenyl), 7.74–7.62 (m, 4H, H-phenyl), 7.16 (d, J = 8.2 Hz, 1H, H-phenyl), 7.01 (dd, J = 8.3, 2.0 Hz, 1H, H-phenyl), 3.98–3.82 (m, 1H, CH), 3.00–2.76 (m, 4H, CH2, CHa-1 and CHa-5), 2.16 (td, J = 11.1, 3.1 Hz, 2H, CHb-1 and CHb-5), 2.07–1.92 (m, 2H, CH-2, CH-4), 1.81 (d, J = 12.8 Hz, 1H, CHa-3), 0.87 (d, J = 6.6 Hz, 6H, CH3-6, CH3-7), 0.67 (q, J = 12.4 Hz, 1H, CHb-3). HRMS (ESI) m/z: [M + H]+ calculated for C25H28O3N3F6, 532.20294; found, 532.20508, Δ 4.03 ppm.

3.1.54. Preparation of Racemic 3-{4-(3,5-dimethylpiperidin-1-yl)-3-[3-(4-nitrophenyl)ureido]phenyl}-4,4,4-trifluorobutyric Acid Ethyl Ester (g24)

Reaction of compound f and 4-nitrophenyl isocyanate following the general procedure A afforded compound g24 (yellow solid, 86.5% yield). 1H-NMR (DMSO-d6): δ 10.28 (s, 1H, NH), 8.29 (s, 1H, NH), 8.24–8.19 (m, 2H, H-phenyl), 8.15 (d, J = 1.8 Hz, 1H, H-phenyl), 7.78–7.73 (m, 2H, H-phenyl), 7.17 (d, J = 8.2 Hz, 1H, H-phenyl), 7.04 (dd, J = 8.2, 1.9 Hz, 1H, H-phenyl), 4.07–3.91 (m, 3H, CH2, CH), 3.08–2.82 (m, 4H, CH2, CHa-1 and CHa-5), 2.15 (dd, J = 16.1, 6.1 Hz, 2H, CHb-1 and CHb-5), 2.07–1.92 (m, 2H, CH-2, CH-4), 1.81 (d, J = 12.8 Hz, 1H, CHa-3), 1.08 (t, J = 7.1 Hz, 3H, CH3), 0.87 (d, J = 6.6 Hz, 6H, CH3-6, CH3-7), 0.67 (q, J = 12.4 Hz, 1H, CHb-3). HRMS (ESI) m/z: [M + H]+ calculated for C26H32O5N4F3, 537.23193; found, 537.23126, Δ −1.25 ppm.

3.1.55. Preparation of Racemic 3-{4-(3,5-dimethylpiperidin-1-yl)-3-[3-(4-nitrophenyl)ureido]phenyl}-4,4,4-trifluorobutyric Acid (i24)

Hydrolysis of compound g24 (160 mg, 0.30 mmol) following the general procedure B afforded compound i24 (yellow solid, 121 mg, 79.3% yield). mp: 151.3–153.0 °C. 1H-NMR (DMSO-d6): δ 12.51 (s, 1H, COOH), 10.29 (s, 1H, NH), 8.29 (s, 1H, NH), 8.23–8.19 (m, 2H, H-phenyl), 8.14 (d, J = 1.6 Hz, 1H, H-phenyl), 7.77–7.72 (m, 2H, H-phenyl), 7.17 (d, J = 8.3 Hz, 1H, H-phenyl), 7.04 (dd, J = 8.2, 1.7 Hz, 1H, H-phenyl), 3.98–3.85 (m, 1H, CH), 3.01–2.77 (m, 4H, CH2, CHa-1 and CHa-5), 2.16 (td, J = 11.0, 2.8 Hz, 2H, CHb-1 and CHb-5), 2.08-1.93 (m, 2H, CH–2, CH-4), 1.81 (d, J = 12.8 Hz, 1H, CHa-3), 0.86 (t, J = 8.4 Hz, 6H, CH3-6, CH3-7), 0.68 (q, J = 12.4 Hz, 1H, CHb-3). 13C-NMR (DMSO-d6): δ 171.00, 152.05, 146.58, 142.19, 141.09, 133.52, 129.62, 126.84, 125.24 (2C), 123.49, 120.59, 119.65, 117.62 (2C), 59.79 (2C), 45.04, 41.59, 33.74, 30.80 (2C), 19.32 (2C). HRMS (ESI) m/z: [M + H]+ calculated for C24H28O5N4F3, 509.20063; found, 509.20267, Δ 4.00 ppm.

3.1.56. Preparation of Racemic 3-[3-[2-(4-cyanophenyl)acetylamino]-4-(3,5-dimethylpiperidin-1-yl)-phenyl]-4,4,4-trifluorobutyric Acid Ethyl Ester (h1)

To a solution of racemic 3-[3-amino-4-(3,5-dimethylpiperidin-1-yl)-phenyl]-4,4,4-trifluoro-butyric acid ethyl ester (f, 120 mg, 0.32 mmol) in N,N-dimethylformamide (4 mL) was added 4-cyanophenylacetic acid (52 mg, 0.32 mmol), 1-hydroxybenzotriazole (43 mg, 0.32 mmol), N-(3-dimethylaminopropyl)-N’-ethylcarbodiimide hydrochloride (61 mg, 0.32 mmol) and N,N-diisopropylethylamine (106 μL, 0.64 mmol). The reaction mixture was stirred at room temperature until the starting material disappeared in TLC. The reaction mixture was then diluted with ethyl acetate (100 mL), washed with 1 N HCl aqueous solution (40 mL × 2), saturated NaCl aqueous solution (40 mL × 2), dried over anhydrous Na2SO4 and concentrated. The residue was purified by column chromatography (silica gel, PE/EA = 10:1, v/v) to afford the product as a colorless oil (117 mg, 70.5% yield). 1H-NMR (DMSO-d6): δ 8.85 (s, 1H, NH), 8.04 (s, 1H, H-phenyl), 7.84 (d, J = 8.1 Hz, 2H, H-phenyl), 7.59 (d, J = 8.1 Hz, 2H, H-phenyl), 7.11 (d, J = 8.0 Hz, 2H, H-phenyl), 4.05–3.86 (m, 5H, CH2, CH, CH2-phenyl), 3.06–2.82 (m, 2H, CH2), 2.73–2.63 (m, 2H, CHa-1 and CHa-5), 2.04 (t, J = 11.1 Hz, 2H, CHb-1 and CHb-5), 1.67 (d, J = 12.0 Hz, 1H, CHa-3), 1.61–1.45 (m, 2H, CH-2, CH-4), 1.05 (t, J = 7.1 Hz, 3H, CH3), 0.77 (d, J = 6.6 Hz, 6H, CH3-6, CH3-7), 0.57 (q, J = 12.0 Hz, 1H, CHb-3). HRMS (ESI) m/z: [M + H]+ calculated for C28H33O3N3F3, 516.24685; found, 516.24878, Δ 3.73 ppm.

3.1.57. Preparation of Racemic 3-[3-[2-(4-cyanophenyl)acetylamino]-4-(3,5-dimethylpiperidin-1-yl)-phenyl]-4,4,4-trifluorobutyric Acid (j1)

Hydrolysis of compound h1 (70 mg, 0.14 mmol) following the general procedure B afforded compound j1 (white solid, 49 mg, 73.9% yield). mp: 108.2–108.9 °C. 1H-NMR (DMSO-d6): δ 8.83 (s, 1H), 8.07 (s, 1H, H-phenyl), 7.84 (d, J = 6.1 Hz, 2H, H-phenyl), 7.59 (d, J = 6.6 Hz, 2H, H-phenyl), 7.13–7.03 (m, 2H, H-phenyl), 3.98–3.82 (m, 3H, CH, CH2-phenyl), 2.91–2.61 (m, 4H, CH2, CHa-1 and CHa-5), 2.03 (t, J = 11.0 Hz, 2H, CHb-1 and CHb-5), 1.68 (d, J = 12.4 Hz, 1H, CHa-3), 1.59–1.43 (m, 2H, CH-2, CH-4), 0.79–0.68 (m, 6H, CH3-6, CH3-7), 0.57 (q, J = 12.0 Hz, 1H, CHb-3). 13C-NMR (DMSO-d6): δ 168.08, 143.22, 141.42, 132.58 (2C), 132.40, 130.58 (2C), 129.58, 127.02, 125.04, 121.43, 120.35, 118.84, 109.88, 59.35 (2C), 45.16, 43.55, 41.42, 34.36, 31.00 (2C), 19.16 (2C). HRMS (ESI) m/z: [M + H]+ calculated for C26H29O3N3F3, 488.21555; found, 488.21490, Δ −1.34 ppm.

3.1.58. Preparation of Racemic 3-{4-(3,5-dimethylpiperidin-1-yl)-3-[2-(4-trifluoromethylphenyl)-acetylamino]phenyl}-4,4,4-trifluorobutyric Acid Ethyl Ester (h2)

Reaction of compound f and 4-(trifluoromethyl)phenylacetic acid following the similar procedure described for the preparation of h1 afforded h2 as a colorless oil (128 mg, 71.2%). 1H-NMR (DMSO-d6): δ 8.78 (s, 1H, NH), 8.12 (s, 1H, H-phenyl), 7.74 (d, J = 8.2 Hz, 2H, H-phenyl), 7.63 (d, J = 8.2 Hz, 2H, H-phenyl), 7.10 (s, 2H, H-phenyl), 4.05–3.92 (m, 3H, CH, CH2), 3.90 (s, 2H, CH2-phenyl), 3.06–2.82 (m, 2H, CH2), 2.59–2.69 (m, 2H, CHa-1 and CHa-5), 2.01 (t, J = 11.1 Hz, 2H, CHb-1 and CHb-5), 1.62 (d, J = 13.0 Hz, 1H, CHa-3), 1.47-1.34 (dt, J = 22.8, 11.6 Hz, 2H, CH-2, CH-4), 1.06 (t, J = 7.1 Hz, 3H, CH3), 0.73 (d, J = 6.6 Hz, 6H, CH3-6, CH3-7), 0.53 (q, J = 12.4 Hz, 1H, CHb-3). HRMS (ESI) m/z: [M + H]+ calculated for C28H33O3N2F6, 559.23899; found, 559.24072, Δ 3.10 ppm.

3.1.59. Preparation of Racemic 3-{4-(3,5-dimethylpiperidin-1-yl)-3-[2-(4-trifluoromethylphenyl)-acetylamino]phenyl}-4,4,4-trifluorobutyric Acid (j2)

Hydrolysis of compound h2 (80 mg, 0.14 mmol) following the general procedure B afforded compound j2 (white solid, 49 mg, 77.8% yield). mp: 93.2–93.6 °C. 1H-NMR (DMSO-d6): δ 8.77 (s, 1H, NH), 8.13 (s, 1H, H-phenyl), 7.74 (d, J = 8.1 Hz, 2H, H-phenyl), 7.63 (d, J = 8.0 Hz, 2H, H-phenyl), 7.13–7.02 (m, 2H, H-phenyl), 3.98–3.82 (m, 3H, CH, CH2), 2.90–2.58 (m, 4H, CH2, CHa-1 and CHa-5), 2.01 (td, J = 11.1, 4.2 Hz, 2H, CHb-1 and CHb-5), 1.61 (d, J = 12.6 Hz, 1H, CHa-3), 1.46–1.30 (m, 2H, CH-2, CH-4), 0.73 (d, J = 6.6 Hz, 6H, CH3-6, CH3-7), 0.53 (q, J = 12.0 Hz, 1H, CHb-3). 13C-NMR (DMSO-d6): δ 171.22, 168.28, 143.04, 140.23, 132.59, 130.44 (2C), 129.50, 127.98-125.48 (4C), 124.89, 123.05, 120.92, 120.49, 59.36 (2C), 45.02, 43.47, 41.29, 33.96, 30.91 (2C), 19.07 (2C). HRMS (ESI) m/z: [M + H]+ calculated for C26H29O3N2F6, 531.20769; found, 531.20703, Δ −1.24 ppm.

3.1.60. Preparation of Racemic 3-{4-(3,5-dimethylpiperidin-1-yl)-3-[2-(4-nitrophenyl)acetylamino]-phenyl}-4,4,4-trifluorobutyric Acid Ethyl Ester (h3)

Reaction of compound f and 4-nitrophenylacetic acid following the similar procedure described for the preparation of h1 afforded h3 as a light yellow oil (99 mg, 68.7%). 1H-NMR (DMSO-d6): δ 8.91 (s, 1H, NH), 8.24 (d, J = 8.6 Hz, 2H, H-phenyl), 8.03 (s, 1H, H-phenyl), 7.67 (d, J = 8.5 Hz, 2H, H-phenyl), 7.11 (s, 2H, H-phenyl), 4.05–3.88 (m, 5H, CH2, CH, CH2-phenyl), 3.06–1.99 (m, 2H, CH2), 2.75–2.65 (m, 2H, CHa-1 and CHa-5), 2.04 (t, J = 11.1 Hz, 2H, CHb-1 and CHb-5), 1.70–1.50 (m, 3H, CHa-3, CH-2, CH-4), 1.05 (t, J = 7.1 Hz, 3H, CH3), 0.75 (d, J = 6.6 Hz, 6H, CH3-6, CH3-7), 0.56 (q, J = 12.0 Hz, 1H, CHb-3). HRMS (ESI) m/z: [M + H]+ calculated for C27H33O5N3F3, 536.23668; found, 536.23749, Δ 1.51 ppm.

3.1.61. Preparation of Racemic 3-{4-(3,5-dimethylpiperidin-1-yl)-3-[2-(4-nitrophenyl)acetylamino]-phenyl}-4,4,4-trifluorobutyric Acid (j3)

Hydrolysis of compound h3 (70 mg, 0.13 mmol) following the general procedure B afforded compound j3 (yellow solid, 52 mg, 78.2% yield). mp: 92.1–92.7 °C. 1H-NMR (DMSO-d6): δ 12.51 (s, 1H, COOH), 8.90 (s, 1H, NH), 8.24 (d, J = 8.7 Hz, 2H, H-phenyl), 8.04 (s, 1H, H-phenyl), 7.67 (d, J = 8.6 Hz, 2H, H-phenyl), 7.11 (s, 2H, H-phenyl), 3.99–3.84 (m, 3H, CH2-phenyl, CH), 2.94–2.64 (m, 4H, CH2, CHa-1 and CHa-5), 2.04 (t, J = 9.9 Hz, 2H, CHb-1 and CHb-5), 1.69–1.48 (m, 3H, CHa-3, CH-2, CH-4), 0.75 (d, J = 6.6 Hz, 6H, CH3-6, CH3-7), 0.56 (q, J = 12.4 Hz, 1H, CHb-3). 13C-NMR (DMSO-d6): δ 170.95, 168.00, 146.64, 143.69, 132.37, 130.95, 130.83 (2C), 129.17, 126.78, 125.12, 123.73 (2C), 121.62, 120.45, 59.34 (2C), 45.85, 43.20, 41.37, 33.66, 30.96 (2C), 19.09 (2C). HRMS (ESI) m/z: [M + H]+ calculated for C25H29O5N3F3, 508.20538; found, 508.20618, Δ 1.57 ppm.

3.2. Pharmacological Methods

3.2.1. The Enzyme Assay for IDO1 and TDO Inhibition

Recombinant human IDO1 and TDO were expressed and purified according to the reported procedures [20]. The assay was performed according to the literature: A standard reaction mixture (100 µL) containing 100 mM potassium phosphate buffer (pH 6.5), 40 mM ascorbic acid (neutralized with NaOH), 200 µg/mL catalase, 20 µM methylene blue and 0.05 µM rhIDO1 or rhTDO was added to the solution containing the substrate L-tryptophan and the test sample at a determined concentration. The reaction was carried out at 37 °C for 45 min and stopped by adding 20 µL of 30% (w/v) trichloroacetic acid. After heating at 65 °C for 15 min, 100 µL of 2% (w/v) p-dimethylaminobenzaldehyde in acetic acid was added to each well. The yellow pigment derived from kynurenine was measured at 492 nm using a SYNERGY-H1 microplate reader (Biotek Instruments, Inc., Winooski, VT, USA). IC50 was analyzed using the GraphPad Prism 8.0 software (GraphPad Software, San Diego, CA, USA) [21].

3.2.2. Mice

C57BL/6 mice were obtained from Beijing Vital River Laboratory Animal Technology Co., Ltd. (Beijing, China). Studies involving mice were approved by the Experimental Animal Management and Welfare Committee at the Institute of Materia Medica, Peking Union Medical College (Approval No. 00000522).

3.2.3. Pharmacokinetic Studies

The animal Care and Welfare Committee of Institute of Materia Medica, Chinese Academy of Medical Sciences approved all animal care, housing, and laboratory procedures. Male C57BL/6 mice were used in the single dose pharmacokinetic studies. Compound i12 was prepared as a 3 mg/mL suspension with 0.5% CMC for oral use and was formulated as a 3 mg/mL solution with 10% DMSO in 20% HP-β-CD for intravenous injection. Sixteen mice were divided into two groups, 10 in the oral group and six in the intravenous group. After fasting 12 h with free access to water, mice were treated with a 3 mg/kg i.v. or 30 mg/kg oral dose of compound i12. Blood samples (50 µL) were collected at 5, 15, 30 min, 1, 2, 4, 6, 8, 12 and 24 h after oral administration and 2, 5, 15, 30 min, 1, 2, 4, 6, 8, 12 and 24 h after intravenous injection. After centrifugation, the plasma samples (20 µL) were precipitated by four volumes of acetonitrile. The supernatant were analyzed by liquid chromatography/tandem mass spectrometry with a Zorbax C18 column (50 mm × 2.1 mm, 3.5 µm). Compound detection was performed with the mass spectrometer in positive ionization mode by t-SIM: m/z 489.209 for compound i12. The pharmacokinetic parameters were calculated with WinNonlin software V6.3 using non-compartmental analysis (Pharsight Corporation, Mountain View, CA, USA).

3.2.4. In Vivo Studies

The mouse melanoma cells B16F10 were cultured and harvested in saline at 6 × 106 cells/0.2 mL volume. Cells (0.2 mL) were injected subcutaneously into male C57BL/6 mice at day 0 of the experiment, and treatment was initiated at day 1 following the mice enrolled randomly in control and experimental groups. For control group, 0.5% CMCNa was orally administered every day. The CTX group were administered CTX intraperitoneally at the dose of 100 mg/kg. Compound i12 was dissolved in 0.5% CMC-Na for oral treatment. After 17 days, the mice were sacrificed and the tumors were stripped and weighted. The tumor growth inhibition (TGI) was calculated as TGI = (1 − tumor weight treatment/tumor weight vehicle) × 100%. The statistical analysis was performed with GraphPad Prism 8.0 software and the significance level was evaluated with one-way ANOVA model [22].
The mouse pancreatic cancer cells PAN02 were cultured and harvested in saline at 6 × 106 cells/0.2 mL volume. Cells (0.2 mL) were injected subcutaneously into male C57BL/6 mice at day 0 of the experiment, and treatment was initiated at day 1 following the mice enrolled randomly in control and experimental groups. For control group, 0.5% CMCNa was orally administered every day. The CTX group were administered CTX intraperitoneally at the dose of 60 mg/kg Compound i12 was dissolved in 0.5% CMC-Na for oral treatment. After 15 days, the mice were sacrificed and the tumors were stripped and weighted. The tumor growth inhibition (TGI) was calculated as TGI = (1 − tumor weight treatment/tumor weight vehicle) × 100%. The statistical analysis was performed with GraphPad Prism 8.0 software and the significance level was evaluated with one-way ANOVA model [22].

4. Conclusions

In summary, we designed a new series of phenyl urea derivatives as IDO1 inhibitors through a ring formation strategy. Systematic SAR led to the discovery of the promising anticancer compound i12 with favourable drug-like properties. Compound i12 had potent IDO1 inhibitory activity with the IC50 of 0.331 μM and exhibited a satisfactory PK profile with moderate plasma clearance (22.45 mL/min/kg) and high oral bioavailability (87.4%). In addition, Compound i12 orally administered at 15 mg/kg daily showed a TGI of 40.5% in a B16F10 subcutaneous xenograft model and at 30 mg/kg daily showed a TGI of 34.3% in a PAN02 subcutaneous xenograft model. Overall, compound i12 is a promising anti-tumor agent with the potent in vitro enzymatic activity, good pharmacokinetic properties and satisfied in vivo anti-tumor efficacy.

Supplementary Materials

The following are available online, Figures are 1H NMR, 13C NMR and MS spectra of the synthesized compounds.

Author Contributions

Conceptualization, Z.F.; Data curation, C.Z., F.L. and L.S.; Formal analysis, C.Z.; Funding acquisition, Z.F.; Investigation, C.Z., F.L. and L.S.; Methodology, F.L., L.S., X.C. and Y.L.; Project administration, C.Z.; Resources, X.C., Y.L. and Z.F.; Supervision, Z.F.; Validation, X.C. and Y.L.; Visualization, C.Z.; Writing–original draft, C.Z.; Writing–review and editing, F.L., L.S. and Z.F. All authors have read and agreed to the published version of the manuscript.

Funding

The research was funded by Beijing Municipal Natural Science Foundation (7192133) and the Non-profit Central Research Institute Fund of Chinese Academy of Medical Sciences (2018PT35003).

Acknowledgments

We would like to thank Lu Zhang for her support in the molecular docking study.

Conflicts of Interest

The authors declare no conflict of interest.

References

  1. Platten, M.; Nollen, E.A.A.; Rohrig, U.F.; Fallarino, F.; Opitz, C.A. Tryptophan metabolism as a common therapeutic target in cancer, neurodegeneration and beyond. Nat. Rev. Drug Discov. 2019, 18, 379–401. [Google Scholar] [CrossRef] [PubMed]
  2. Munn, D.H.; Zhou, M.; Attwood, J.T.; Bondarev, I.; Conway, S.J.; Marshall, B.; Brown, C.; Mellor, A.L. Prevention of allogeneic fetal rejection by tryptophan catabolism. Science 1998, 281, 1191–1193. [Google Scholar] [CrossRef] [PubMed]
  3. Hwu, P.; Du, M.X.; Lapointe, R.; Do, M.; Taylor, M.W.; Young, H.A. Indoleamine 2,3-dioxygenase production by human dendritic cells results in the inhibition of T cell proliferation. J. Immunol. 2000, 164, 3596–3599. [Google Scholar] [CrossRef] [PubMed]
  4. Terness, P.; Bauer, T.M.; Rose, L.; Dufter, C.; Watzlik, A.; Simon, H.; Opelz, G. Inhibition of allogeneic T cell proliferation by indoleamine 2,3-dioxygenase-expressing dendritic cells: Mediation of suppression by tryptophan metabolites. J. Exp. Med. 2002, 196, 447–457. [Google Scholar] [CrossRef] [PubMed]
  5. Rohrig, U.F.; Majjigapu, S.R.; Grosdidier, A.; Bron, S.; Stroobant, V.; Pilotte, L.; Colau, D.; Vogel, P.; den Eynde, B.J.V.; Zoete, V.; et al. Rational Design of 4-Aryl-1,2,3-Triazoles for Indoleamine 2,3-Dioxygenase 1 Inhibition. J. Med. Chem. 2012, 55, 5270–5290. [Google Scholar] [CrossRef]
  6. Cheong, J.E.; Ekkati, A.; Sun, L. A patent review of IDO1 inhibitors for cancer. Expert Opin. Ther. Pat. 2018, 28, 317–330. [Google Scholar] [CrossRef]
  7. Théate, I.; van Baren, N.; Pilotte, L.; Moulin, P.; Larrieu, P.; Renauld, J.C.; Hervé, C.; Gutierrez-Roelens, I.; Marbaix, E.; Sempoux, C.; et al. Extensive profiling of the expression of the indoleamine 2,3-dioxygenase 1 protein in normal and tumoral human tissues. Cancer Immunol Res. 2015, 3, 161–172. [Google Scholar] [CrossRef]
  8. Blair, A.B.; Kleponis, J.; Thomas, D.L., 2nd; Muth, S.T.; Murphy, A.G.; Kim, V.; Zheng, L. IDO1 inhibition potentiates vaccine-induced immunity against pancreatic adenocarcinoma. J. Clin. Investig. 2019, 129, 1742–1755. [Google Scholar] [CrossRef]
  9. Holmgaard, R.B.; Zamarin, D.; Munn, D.H.; Wolchok, J.D.; Allison, J.P. Indoleamine 2,3-dioxygenase is a critical resistance mechanism in antitumor T cell immunotherapy targeting CTLA-4. J. Exp. Med. 2013, 210, 1389–1402. [Google Scholar] [CrossRef]
  10. Muller, A.J.; DuHadaway, J.B.; Donover, P.S.; Sutanto-Ward, E.; Prendergast, G.C. Inhibition of indoleamine 2,3-dioxygenase, an immunoregulatory target of the cancer suppression gene Bin1, potentiates cancer chemotherapy. Nat. Med. 2005, 11, 312–319. [Google Scholar] [CrossRef]
  11. Balog, J.A.; Huang, A.; Chen, B.; Chen, L.; Shan, W. IDO inhibitors. WO 2014150646 (A1). Available online: https://worldwide.espacenet.com/publicationDetails/originalDocument?CC=WO&NR=2014150646A1&KC=A1&FT=D&ND=3&date=20140925&DB=&locale=en_EP (accessed on 25 September 2014).
  12. Nelp, M.T.; Kates, P.A.; Hunt, J.T.; Newitt, J.A.; Balog, A.; Maley, D.; Zhu, X.; Abell, L.; Allentoff, A.; Borzilleri, R.; et al. Immune-modulating enzyme indoleamine 2,3-dioxygenase is effectively inhibited by targeting its apo-form. Proc. Natl. Acad. Sci. USA 2018, 115, 3249–3254. [Google Scholar] [CrossRef] [PubMed]
  13. Li, R.J.; Zhao, Y.; Harukuni, T.; Yang, X.M.; Wang, Y.H.; Shi, Q.; Morris-Natschke, S.L.; Lou, H.X.; Lee, K.H. Total synthesis of plagiochin G and derivatives as potential cancer chemopreventive agents. Tetrahedron Lett. 2014, 55, 6500–6503. [Google Scholar] [CrossRef] [PubMed]
  14. Cheng, H.; Pei, Y.; Leng, F.; Li, J.; Liang, A.; Zou, D.; Wu, Y.; Wu, Y. Highly efficient synthesis of aryl and heteroaryl trifluoromethyl ketones via o-iodobenzoic acid (IBX). Tetrahedron Lett. 2013, 54, 4483–4486. [Google Scholar] [CrossRef]
  15. Yue, E.W.; Sparks, R.; Polam, P.; Modi, D.; Douty, B.; Wayland, B.; Glass, B.; Takvorian, A.; Glenn, J.; Zhu, W.; et al. INCB24360 (Epacadostat), a Highly Potent and Selective Indoleamine-2,3-dioxygenase 1 (IDO1) Inhibitor for Immuno-oncology. ACS Med. Chem. Lett. 2017, 8, 486–491. [Google Scholar] [CrossRef]
  16. Rickert, D.E. Metabolism of Nitroaromatic Compounds. Drug Metab. Rev. 1987, 18, 23–53. [Google Scholar] [CrossRef] [PubMed]
  17. Purohit, V.; Basu, A.K. Mutagenicity of Nitroaromatic Compounds. Chem. Res. Toxicol. 2000, 13, 673–692. [Google Scholar] [CrossRef]
  18. Padda, R.S.; Wang, C.; Hughes, J.B.; Kutty, R.; Bennett, G.N. Mutagenicity of nitroaromatic degradation compounds. Environ. Toxicol. Chem. 2003, 22, 2293–2297. [Google Scholar] [CrossRef]
  19. Wu, G.; Robertson, D.H.; Brooks, C.L.; Vieth, M. Detailed analysis of grid-based molecular docking: A case study of CDOCKER—A CHARMm-based MD docking algorithm. J. Comput. Chem. 2003, 24, 1549–1562. [Google Scholar] [CrossRef]
  20. Austin, C.J.; Mizdrak, J.; Matin, A.; Sirijovski, N.; Kosim-Satyaputra, P.; Willows, R.D.; Roberts, T.H.; Truscott, R.J.; Polekhina, G.; Parker, M.W.; et al. Optimised expression and purification of recombinant human indoleamine 2,3-dioxygenase. Protein Expr. Purif. 2004, 37, 392–398. [Google Scholar] [CrossRef]
  21. Wen, H.; Liu, Y.; Wang, S.; Wang, T.; Zhang, G.; Chen, X.; Li, Y.; Cui, H.; Lai, F.; Sheng, L. Design and Synthesis of Indoleamine 2,3-Dioxygenase 1 Inhibitors and Evaluation of Their Use as Anti-Tumor Agents. Molecules 2019, 24, 2124. [Google Scholar] [CrossRef]
  22. Cui, G.; Lai, F.; Wang, X.; Chen, X.; Xu, B. Design, synthesis and biological evaluation of indole-2-carboxylic acid derivatives as IDO1/TDO dual inhibitors. Eur. J. Med. Chem. 2020, 188, 111985. [Google Scholar] [CrossRef] [PubMed]
Sample Availability: Samples of all compounds are available from the authors.
Figure 1. IDO1 inhibitors in clinical trials.
Figure 1. IDO1 inhibitors in clinical trials.
Molecules 25 01447 g001
Scheme 1. Design strategies of the inhibitors and the chemical structure of BMS-978587. The flexible disobutylamino group was replaced with the rigid 3, 5-dimethylpiperidinyl group to optimize the space steric effect of substituent and NH of the phenyl urea group was further replaced with CH to test whether the phenyl urea group is essential to IDO1 potency.
Scheme 1. Design strategies of the inhibitors and the chemical structure of BMS-978587. The flexible disobutylamino group was replaced with the rigid 3, 5-dimethylpiperidinyl group to optimize the space steric effect of substituent and NH of the phenyl urea group was further replaced with CH to test whether the phenyl urea group is essential to IDO1 potency.
Molecules 25 01447 sch001
Scheme 2. Synthesis of compounds i1–i24 and j1–j3. Reagents and Conditions: (i) sulfuric acid, nitric acid, yield = 95.4%; (ii) 3,5-dimethylpiperidine, Et3N, dichloromethane, yield = 93.5%; (iii) (trifluoromethyl)trimethylsilan, K2CO3, DMF, yield = 86.8%; (iv) Dess-Martin periodinane, NaHCO3, dichloromethane; (v) NaH, triethyl phosphonoacetate, dry tetrahydrofuran, yield = 32.5% (two steps); (vi) Pd-C, hydrogen balloon, dry tetrahydrofuran, yield = 42.3%; (vii) appropriate isocyanate, dry tetrahydrofuran, yield = 78.4%–87.5%; (viii) p-substituted phenylacetic acid, HATU, Et3N, DMF, yield = 68.7%–71.2%; (ix) NaOH, THF/MeOH/H2O; 1N HCl, yield = 70.1%–86.5%.
Scheme 2. Synthesis of compounds i1–i24 and j1–j3. Reagents and Conditions: (i) sulfuric acid, nitric acid, yield = 95.4%; (ii) 3,5-dimethylpiperidine, Et3N, dichloromethane, yield = 93.5%; (iii) (trifluoromethyl)trimethylsilan, K2CO3, DMF, yield = 86.8%; (iv) Dess-Martin periodinane, NaHCO3, dichloromethane; (v) NaH, triethyl phosphonoacetate, dry tetrahydrofuran, yield = 32.5% (two steps); (vi) Pd-C, hydrogen balloon, dry tetrahydrofuran, yield = 42.3%; (vii) appropriate isocyanate, dry tetrahydrofuran, yield = 78.4%–87.5%; (viii) p-substituted phenylacetic acid, HATU, Et3N, DMF, yield = 68.7%–71.2%; (ix) NaOH, THF/MeOH/H2O; 1N HCl, yield = 70.1%–86.5%.
Molecules 25 01447 sch002
Figure 2. Predicated binding mode of compound i12 with IDO1 using CDOCKER. (A) The binding mode of compound i12 with IDO1 (6AZV), the enzyme is shown in yellowish brown, compound i12 is shown as sticks with cyan carbon atoms. The residues that interact with compound i12 are shown as sticks with pink carbon atoms, and hydrogen bonds are indicated by yellow dashed lines. The images were generated by using Chimera 1.12. (B) Schematic 2D diagram of the key interactions between compound i12 with IDO1 (6AZV).
Figure 2. Predicated binding mode of compound i12 with IDO1 using CDOCKER. (A) The binding mode of compound i12 with IDO1 (6AZV), the enzyme is shown in yellowish brown, compound i12 is shown as sticks with cyan carbon atoms. The residues that interact with compound i12 are shown as sticks with pink carbon atoms, and hydrogen bonds are indicated by yellow dashed lines. The images were generated by using Chimera 1.12. (B) Schematic 2D diagram of the key interactions between compound i12 with IDO1 (6AZV).
Molecules 25 01447 g002
Figure 3. Mean plasma concentration-time profile in male C57BL/6 mice after administration of a single oral (30 mg/kg) and intravenous (3 mg/kg) dose of compound i12. PO stands for oral administration of drug; IV stands for intravenous administration of drug.
Figure 3. Mean plasma concentration-time profile in male C57BL/6 mice after administration of a single oral (30 mg/kg) and intravenous (3 mg/kg) dose of compound i12. PO stands for oral administration of drug; IV stands for intravenous administration of drug.
Molecules 25 01447 g003
Figure 4. In vivo anti-tumor activity of i12 in B16F10 xenograft mice. (A) Tumor weights of each group after 17 days of treatment. The control group mice bearing B16F10 xenografts were dosed orally with vehicle (0.5% sodium salt of carboxymethyl cellulose, CMC-Na); the CTX group were administered CTX intraperitoneally at the dose of 100 mg/kg; the treated group were administered i12 orally at the dose of 15, 30 or 100 mg/kg. * p < 0.05, ** p < 0.01 and **** p < 0.0001 versus vehicle. (B) The body weight of each group after the treatment. There is no obvious body weight difference among all of the i12-treated groups.
Figure 4. In vivo anti-tumor activity of i12 in B16F10 xenograft mice. (A) Tumor weights of each group after 17 days of treatment. The control group mice bearing B16F10 xenografts were dosed orally with vehicle (0.5% sodium salt of carboxymethyl cellulose, CMC-Na); the CTX group were administered CTX intraperitoneally at the dose of 100 mg/kg; the treated group were administered i12 orally at the dose of 15, 30 or 100 mg/kg. * p < 0.05, ** p < 0.01 and **** p < 0.0001 versus vehicle. (B) The body weight of each group after the treatment. There is no obvious body weight difference among all of the i12-treated groups.
Molecules 25 01447 g004
Figure 5. In vivo anti-tumor activity of i12 in PAN02 pancreatic cancer xenograft mice. (A) Tumor weights of each group after 15 days of treatment. The control group mice bearing PAN02 pancreatic cancer xenografts were dosed orally with vehicle (0.5% sodium salt of carboxymethyl cellulose, CMC-Na); the CTX group were administered CTX intraperitoneally at the dose of 60 mg/kg; the treated group were administered i12 orally at the dose of 10, 30 or 100 mg/kg. ** p < 0.01 and *** p < 0.001 versus vehicle. (B) The body weight of each group after the treatment. There is no obvious body weight difference among any of the i12-treated groups.
Figure 5. In vivo anti-tumor activity of i12 in PAN02 pancreatic cancer xenograft mice. (A) Tumor weights of each group after 15 days of treatment. The control group mice bearing PAN02 pancreatic cancer xenografts were dosed orally with vehicle (0.5% sodium salt of carboxymethyl cellulose, CMC-Na); the CTX group were administered CTX intraperitoneally at the dose of 60 mg/kg; the treated group were administered i12 orally at the dose of 10, 30 or 100 mg/kg. ** p < 0.01 and *** p < 0.001 versus vehicle. (B) The body weight of each group after the treatment. There is no obvious body weight difference among any of the i12-treated groups.
Molecules 25 01447 g005
Table 1. IC50 values of compounds g1g3 and i1i5 against IDO1 and TDO.
Table 1. IC50 values of compounds g1g3 and i1i5 against IDO1 and TDO.
Molecules 25 01447 i001
CompoundR1R2IC50 (μM)
IDO1TDO
g1Molecules 25 01447 i002Et>100>100
g2Molecules 25 01447 i003Et>100>100
g3Molecules 25 01447 i004Et>100>100
i1Molecules 25 01447 i005H34.130>100
i2Molecules 25 01447 i006H8.613>100
i3Molecules 25 01447 i007H5.687>100
i4Molecules 25 01447 i008H>100>100
i5Molecules 25 01447 i009H>100>100
BMS-E30-2--8.569>100
Epacadostat--0.049-
Table 2. IC50 values of compounds i1–i3, i6–i24 and j1–j3 against IDO1 and TDO.
Table 2. IC50 values of compounds i1–i3, i6–i24 and j1–j3 against IDO1 and TDO.
Molecules 25 01447 i010
CompoundArXIC50 (μM)
IDO1TDO
i1Molecules 25 01447 i011NH34.130>100
i6Molecules 25 01447 i012NH>100>100
i7Molecules 25 01447 i013NH>100>100
i2Molecules 25 01447 i014NH8.613>100
i8Molecules 25 01447 i015NH>100>100
i9Molecules 25 01447 i016NH>100>100
i3Molecules 25 01447 i017NH5.687>100
i10Molecules 25 01447 i018NH>100>100
i11Molecules 25 01447 i019NH>100>100
i12Molecules 25 01447 i020NH0.331>100
i13Molecules 25 01447 i021NH>100>100
i14Molecules 25 01447 i022NH>100>100
i15Molecules 25 01447 i023NH1.617>100
i16Molecules 25 01447 i024NH>100>100
i17Molecules 25 01447 i025NH>100>100
i18Molecules 25 01447 i026NH5.475>100
i19Molecules 25 01447 i027NH4.077 >100
i20Molecules 25 01447 i028NH9.975>100
i21Molecules 25 01447 i029NH>100>100
i22Molecules 25 01447 i030NH1.324 >100
i23Molecules 25 01447 i031NH0.415>100
i24Molecules 25 01447 i032NH0.157 >100
j1Molecules 25 01447 i033CH>100>100
j2Molecules 25 01447 i034CH>100>100
j3Molecules 25 01447 i035CH>100>100
BMS-E30--8.569>100
Epacadostat--0.049-
Table 3. Pharmacokinetic parameters of compound i12 after a single oral or intravenous dose in male C57BL/6 mice.
Table 3. Pharmacokinetic parameters of compound i12 after a single oral or intravenous dose in male C57BL/6 mice.
ParametersUnitsPO
30 mg/kg
IV
3 mg/kg
t1/2βh11.27.17
Tmaxh2-
Cmaxng/mL27026958
AUC(0–t)h·ng/mL11,5231318
AUC(0–∞)h·ng/mL12,8492159
MRT(0–∞)h8.188.60
VssL/kg-15.80
ClmL/min/kg-22.45
F% 87.4-

Share and Cite

MDPI and ACS Style

Zhou, C.; Lai, F.; Sheng, L.; Chen, X.; Li, Y.; Feng, Z. Design, Synthesis and Biological Evaluation of Phenyl Urea Derivatives as IDO1 Inhibitors. Molecules 2020, 25, 1447. https://doi.org/10.3390/molecules25061447

AMA Style

Zhou C, Lai F, Sheng L, Chen X, Li Y, Feng Z. Design, Synthesis and Biological Evaluation of Phenyl Urea Derivatives as IDO1 Inhibitors. Molecules. 2020; 25(6):1447. https://doi.org/10.3390/molecules25061447

Chicago/Turabian Style

Zhou, Chuan, Fangfang Lai, Li Sheng, Xiaoguang Chen, Yan Li, and Zhiqiang Feng. 2020. "Design, Synthesis and Biological Evaluation of Phenyl Urea Derivatives as IDO1 Inhibitors" Molecules 25, no. 6: 1447. https://doi.org/10.3390/molecules25061447

APA Style

Zhou, C., Lai, F., Sheng, L., Chen, X., Li, Y., & Feng, Z. (2020). Design, Synthesis and Biological Evaluation of Phenyl Urea Derivatives as IDO1 Inhibitors. Molecules, 25(6), 1447. https://doi.org/10.3390/molecules25061447

Article Metrics

Back to TopTop