Thermally-Induced Lactosylation of Whey Proteins: Identification and Synthesis of Lactosylated β-lactoglobulin Epitope
Abstract
1. Introduction
2. Results and Discussion
2.1. Milk Samples Screening
2.2. Whey Proteins Identification and Quantification
2.3. Identification of Lactosylation Sites in Whey Proteins
2.4. Identification of Lactosylation Sites in IgE Binding Epitopes
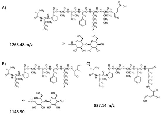
2.5. Peptide Synthesis and Lactose Conjugation
3. Materials and Methods
3.1. Reagents
3.2. Whey Proteins Isolation
3.3. UPLC-MS Analysis
3.4. SDS-PAGE Analysis
3.5. In Solution Proteins’ Tryptic and Chymotryptic Digestion
3.6. Peptide Synthesis
3.7. Peptide Purification and Quantification
3.8. Conjugation of Peptide TKIPAVFKIDALNEN with Lactose
3.9. Conjugation of Peptide TK(Dde)IPAVFKIDALNEN with Lactose
4. Conclusions
Supplementary Materials
Author Contributions
Conflicts of Interest
Appendix A


References
- Arena, S.; Renzone, G.; D’Ambrosio, C.; Salzano, A.M.; Scaloni, A. Dairy products and the Maillard reaction: A promising future for extensive food characterization by integrated proteomics studies. Food Chem. 2017, 219, 477–489. [Google Scholar] [CrossRef] [PubMed]
- Dalabasmaz, S.; Dittrich, D.; Kellner, I.; Drewello, T.; Pischetsrieder, M. Identification of peptides reflecting the storage of UHT milk by MALDI-TOF-MS peptide profiling. J. Proteomics 2019, 207, 103444. [Google Scholar] [CrossRef] [PubMed]
- Deeth, H.C.; Datta, N. Heat Treatment of Milk: Ultra-High Temperature Treatment (UHT): Heating Systems. In Encyclopedia of Dairy Sciences, 2nd ed.; Academic Press: San Diego, CA, USA, 2011; pp. 699–707. [Google Scholar]
- van Lieshout, G.A.A.; Lambers, T.T.; Bragt, M.C.E.; Hettinga, K.A. How processing may affect milk protein digestion and overall physiological outcomes: A systematic review. Crit. Rev. Food Sci. Nutr. 2019, 1–24. [Google Scholar] [CrossRef]
- Pellegrino, L.; Masotti, F.; Cattaneo, S.; Hogenboom, J.A.; de Noni, I. Nutritional Quality of Milk Proteins. In Advanced Dairy Chemistry: Volume 1A: Proteins: Basic Aspects; McSweeney, P.L.H., Fox, P.F., Eds.; Springer: New York, NY, USA, 2013; Volume 1A, pp. 1–548. ISBN 9781461447146. [Google Scholar]
- Siciliano, R.A.; Mazzeo, M.F.; Arena, S.; Renzone, G.; Scaloni, A. Mass spectrometry for the analysis of protein lactosylation in milk products. Food Res. Int. 2013, 54, 988–1000. [Google Scholar] [CrossRef]
- Milkovska-Stamenova, S.; Hoffmann, R. Identification and quantification of bovine protein lactosylation sites in different milk products. J. Proteomics 2016, 134, 112–126. [Google Scholar] [CrossRef]
- Rutherfurd, S.M. Use of the guanidination reaction for determining reactive lysine, bioavailable lysine and gut endogenous lysine. Amino Acids 2015, 47, 1805–1815. [Google Scholar] [CrossRef]
- Boekel, M.A.J.S. Van Effect of heating on Maillard reactions in milk. Food Chem. 1998, 62, 403–414. [Google Scholar] [CrossRef]
- Fogliano, V.; Monti, S.M.; Visconti, A.; Randazzo, G.; Facchiano, A.M.; Colonna, G.; Ritieni, A. Identification of a β-lactoglobulin lactosylation site. Biochim. Biophys. Acta - Protein Struct. Mol. Enzymol. 1998, 1388, 295–304. [Google Scholar] [CrossRef]
- Mehta, B.M.; Deeth, H.C. Blocked Lysine in Dairy Products: Formation, Occurrence, Analysis, and Nutritional Implications. Compr. Rev. Food Sci. Food Saf. 2016, 15, 206–218. [Google Scholar] [CrossRef]
- Erbersdobler, H.F.; Somoza, V. Forty years of furosine—Forty years of using Maillard reaction products as indicators of the nutritional quality of foods. Mol. Nutr. Food Res. 2007, 51, 423–430. [Google Scholar] [CrossRef] [PubMed]
- Schouten, B.; van Esch, B.C.A.M.; van Thuijl, A.O.J.; Blokhuis, B.R.J.; Groot Kormelink, T.; Hofman, G.A.; Moro, G.E.; Boehm, G.; Arslanoglu, S.; Sprikkelman, A.B.; et al. Contribution of IgE and immunoglobulin free light chain in the allergic reaction to cow’s milk proteins. J. Allergy Clin. Immunol. 2010, 125, 1308–1314. [Google Scholar] [CrossRef] [PubMed]
- Villa, C.; Costa, J.; Oliveira, M.B.P.P.; Mafra, I. Bovine Milk Allergens: A Comprehensive Review. Compr. Rev. Food Sci. Food Saf. 2018, 17, 137–164. [Google Scholar] [CrossRef]
- Taheri-Kafrani, A.; Gaudin, J.C.; Rabesona, H.; Nioi, C.; Agarwal, D.; Drouet, M.; Chobert, J.M.; Bordbar, A.K.; Haertle, T. Effects of heating and glycation of β-lactoglobulin on its recognition by ige of sera from cow milk allergy patients. J. Agric. Food Chem. 2009, 57, 4974–4982. [Google Scholar] [CrossRef]
- Zhong, J.Z.; Xu, Y.J.; Liu, W.; Liu, C.M.; Luo, S.J.; Tu, Z.C. Antigenicity and functional properties of β-lactoglobulin conjugated with fructo-oligosaccharides in relation to conformational changes. J. Dairy Sci. 2013, 96, 2808–2815. [Google Scholar] [CrossRef]
- Hattori, M.; Miyakawa, S.; Ohama, Y.; Kawamura, H.; Yoshida, T.; To-O, K.; Kuriki, T.; Takahashi, K. Reduced immunogenicity of β-lactoglobulin by conjugation with acidic oligosaccharides. J. Agric. Food Chem. 2004, 52, 4546–4553. [Google Scholar] [CrossRef]
- Xu, L.; Gong, Y.; Gern, J.E.; Ikeda, S.; Lucey, J.A. Glycation of whey protein with dextrans of different molar mass: Effect on immunoglobulin E–binding capacity with blood sera obtained from patients with cow milk protein allergy. J. Dairy Sci. 2018, 101, 6823–6834. [Google Scholar] [CrossRef]
- Buhler, S.; Solari, F.; Gasparini, A.; Montanari, R.; Sforza, S.; Tedeschi, T. UV irradiation as a comparable method to thermal treatment for producing high quality stabilized milk whey. Lwt 2019, 105, 127–134. [Google Scholar] [CrossRef]
- Milkovska-Stamenova, S.; Hoffmann, R. Hexose-derived glycation sites in processed bovine milk. J. Proteomics 2016, 134, 102–111. [Google Scholar] [CrossRef]
- Wada, Y.; Lönnerdal, B. Effects of Different Industrial Heating Processes of Milk on SIte-Specific Protein Modifications and Their Relationship to in Vitro and in Vivo Digestibility. J. Agric. Food Chem. 2014, 62, 4175–4185. [Google Scholar] [CrossRef]
- Deng, Y.; Wierenga, P.A.; Schols, H.A.; Sforza, S.; Gruppen, H. Effect of Maillard induced glycation on protein hydrolysis by lysine/arginine and non-lysine/arginine specific proteases. Food Hydrocoll. 2017, 69, 210–219. [Google Scholar] [CrossRef]
- Meltretter, J.; Wüst, J.; Pischetsrieder, M. Modified peptides as indicators for thermal and nonthermal reactions in processed milk. J. Agric. Food Chem. 2014, 62, 10903–10915. [Google Scholar] [CrossRef] [PubMed]
- Schuck, P. Dairy Protein Powders. In Advances in Dairy Ingredients; Smithers, G.W., Augustin, M.A., Eds.; John Wiley & Sons, Inc.: Hoboken, NJ, USA, 2013. [Google Scholar]
- Delatour, T.; Hegele, J.; Parisod, V.; Richoz, J.; Maurer, S.; Steven, M.; Buetler, T. Analysis of advanced glycation endproducts in dairy products by isotope dilution liquid chromatography-electrospray tandem mass spectrometry. The particular case of carboxymethyllysine. J. Chromatogr. A 2009, 1216, 2371–2381. [Google Scholar] [CrossRef]
- Matsuo, H.; Yokooji, T.; Taogoshi, T. Common food allergens and their IgE-binding epitopes. Allergol. Int. 2015, 64, 332–343. [Google Scholar] [CrossRef] [PubMed]
- Ter Haar, R.; Schols, H.A.; Gruppen, H. Effect of saccharide structure and size on the degree of substitution and product dispersity of α-lactalbumin glycated via the maillard reaction. J. Agric. Food Chem. 2011, 59, 9378–9385. [Google Scholar] [CrossRef] [PubMed]
- Chevalier, F.; Chobert, J.M.; Mollé, D.; Haertlé, T. Maillard glycation of β-lactoglobulin with several sugars: Comparative study of the properties of the obtained polymers and of the substituted sites. Lait 2001, 81, 651–666. [Google Scholar] [CrossRef]
- Chen, Y.; Chen, X.; Guo, T.L.; Zhou, P. Improving the thermostability of β-lactoglobulin via glycation: The effect of sugar structures. Food Res. Int. 2015, 69, 106–113. [Google Scholar] [CrossRef]
- Frolov, A.; Singer, D.; Hoffmann, R. Sites-specific synthesis of Amadori-modified peptides on solid phase. J. Pept. Sci. 2006, 12, 389–395. [Google Scholar] [CrossRef]
- Frolov, A.; Singer, D.; Hoffmann, R. Solid-phase synthesis of glucose-derived Amadori peptides. J. Pept. Sci. 2007, 13, 862–867. [Google Scholar] [CrossRef]
- Carganico, S.; Rovero, P.; Halperin, J.A.; Papini, A.M.; Chorev, M. Building blocks for the synthesis of post-translationally modified glycated peptides and proteins. J. Pept. Sci. 2009, 15, 67–71. [Google Scholar] [CrossRef]
- Kuipers, B.J.H.; Gruppen, H. Prediction of molar extinction coefficients of proteins and peptides using UV absorption of the constituent amino acids at 214 nm to enable quantitative reverse phase high-performance liquid chromatography-mass spectrometry analysis. J. Agric. Food Chem. 2007, 55, 5445–5451. [Google Scholar] [CrossRef] [PubMed]
Sample Availability: Samples of the compounds: TK(Dde)IPAVFKIDALNEN and TK(Dde)IPAVFK(lact)IDALNEN..... are available from the authors. |






| α-lactalbumin | β-lactoglobulin | |
|---|---|---|
| Milk sample | % of lactosylated forms | % of lactosylated forms |
| Raw milk (n = 1) | 8 | 12 |
| Pasteurized milk (n = 7) | 6–7 | 15–16 |
| UHT milk (n = 17) | 12–36 | 26–52 |
| Residue | Trypsin | Chimotrypsin |
|---|---|---|
| K5 | - | Hexose |
| K13 | - | Lactose/Hexose |
| K16 | - | Hexose |
| K58 | Lactose | Lactose/Hexose |
| K62 | Lactose | Lactose |
| K79 | Lactose/Hexose | - |
| K93 | Hexose | - |
| K94 | - | Lactose |
| K98 | Lactose | - |
| K108 | - | Hexose |
| K114 | - | - |
| K122 | Hexose | - |
| Residue | Trypsin | Chimotrypsin |
|---|---|---|
| K8 | - | - |
| K14 | Lactose | Lactose |
| K47 | Lactose/Hexose | Lactose |
| K60 | - | - |
| K69 | Lactose | - |
| K70 | Hexose | Lactose |
| K75 | Hexose | - |
| K77 | Hexose | - |
| K83 | Lactose | Lactose |
| K91 | Lactose | - |
| K100 | Hexose | - |
| K101 | Hexose | Lactose/Hexose |
| K135 | Lactose | Lactose/Hexose |
| K138 | - | Lactose/Hexose |
| K141 | Hexose | Lactose |
| Peptide | Modification | MS Ions |
|---|---|---|
| KIDALNENKVL | Lactosylation | 1581 [M+H]+ 791 [M+2H]2+ 473.7 (Y4)+ 132.1 (Y1)+ |
| TPEVDDEALEKFDK | Lactosylation | 980.6 [M+2H]2+ 654.1 [M+3H]3+ |
| WENGECAQK | Carboxymethyl lysine | 1179.5 [M+H]+ 590.4 [M+2H]2+ |
| IDALNENKVLVLDTDYK | Lactosylation | 1145.0 [M+2H]2+ 763.1 [M+3H]3+ |
| VLVLDTDYKK | Lactosylation | 1518.5 [M+H]+ 759.6 [M+2H]2+ |
| VRTPEVDDEALEKF | Lactosylation | 986.8 [M+2H]2+ 658.2 [M+3H]3+ 166.0 (Y1)+ |
| IgE-binding Epitope |
|---|
| TKIPAVFKIDALNEN |
| TKIPAVFKIDALNENKVLVL |
| CLVRTPEVDDEALEKFDKAL |
| LEKFDKALKALPMHIRLSFN |
| Peptide:Lactose Molar Ratio | Temperature (°C) | Reaction Time (hours) | Reaction Yields * | |
|---|---|---|---|---|
| 1 | 1:4 | 60 | 20 | 27% |
| 2 | 1:8 | 60 | 20 | 29% |
| 3 | 1:12 | 70 | 48 | 25% |
| 4 | 1:16 | 70 | 48 | 39% |
| MS Calculated Ions | MS Identified Ions | |
|---|---|---|
| Unreacted Dde protected peptide (retention time 38.9 min) | 1879.15 [M+H]+; 940.07 [M+2H]2+; 627.05 [M+3H]3+; 470.54 [M+4H]4+ | 1878.7 [M+H]+; 940.1 [M+2H]2+; 627.2 [M+3H]3+ |
| Lactosylated Dde protected peptide (retention time 38.07 min) | 2203.45 [M+H]+; 1102.23 [M+2H]2+; 735.16 [M+3H]3+; 551.62 [M+4H]4+ | 1102.2 [M+2H]2+; 735.2 [M+3H]3+; 550.6 [M+4H]4+ |
| Peptide/Lactose Molar Ratio | Solvent | Temperature (°C) | Reaction Time (hours) | Reaction Yields | |
|---|---|---|---|---|---|
| 1 | 1:12 | Dry | 70 | 48 | 22% |
| 2 | 1:24 | Dry | 70 | 48 | 19% |
| 3 | 1:24 | Dry | 80 | 48 | 23% |
| 4 | 1:50 | Dry | 70 | 48 | 21% |
| 5 | 1:100 | Dry | 70 | 48 | 42% |
| 6 | 1:70 | Dry | 70 | 48 | 46% |
| 7 | 1:25 | DMF | 70 | 24 | 74% |
| 8 | 1:25 | DMF | 70 | 48 | 61% |
| 9 | 1:50 | DMF | 70 | 4 | 63% |
| 10 | 1:50 | DMF | 70 | 24 | 80% |
| 11 | 1:50 | DMF | 70 | 48 | 90% |
© 2020 by the authors. Licensee MDPI, Basel, Switzerland. This article is an open access article distributed under the terms and conditions of the Creative Commons Attribution (CC BY) license (http://creativecommons.org/licenses/by/4.0/).
Share and Cite
Gasparini, A.; Buhler, S.; Faccini, A.; Sforza, S.; Tedeschi, T. Thermally-Induced Lactosylation of Whey Proteins: Identification and Synthesis of Lactosylated β-lactoglobulin Epitope. Molecules 2020, 25, 1294. https://doi.org/10.3390/molecules25061294
Gasparini A, Buhler S, Faccini A, Sforza S, Tedeschi T. Thermally-Induced Lactosylation of Whey Proteins: Identification and Synthesis of Lactosylated β-lactoglobulin Epitope. Molecules. 2020; 25(6):1294. https://doi.org/10.3390/molecules25061294
Chicago/Turabian StyleGasparini, Alessandra, Sofie Buhler, Andrea Faccini, Stefano Sforza, and Tullia Tedeschi. 2020. "Thermally-Induced Lactosylation of Whey Proteins: Identification and Synthesis of Lactosylated β-lactoglobulin Epitope" Molecules 25, no. 6: 1294. https://doi.org/10.3390/molecules25061294
APA StyleGasparini, A., Buhler, S., Faccini, A., Sforza, S., & Tedeschi, T. (2020). Thermally-Induced Lactosylation of Whey Proteins: Identification and Synthesis of Lactosylated β-lactoglobulin Epitope. Molecules, 25(6), 1294. https://doi.org/10.3390/molecules25061294

